Sign in to use this feature.

Years

Between: -

Subjects

remove_circle_outline
remove_circle_outline
remove_circle_outline
remove_circle_outline
remove_circle_outline
remove_circle_outline
remove_circle_outline
remove_circle_outline
remove_circle_outline

Journals

remove_circle_outline
remove_circle_outline
remove_circle_outline
remove_circle_outline
remove_circle_outline
remove_circle_outline
remove_circle_outline
remove_circle_outline
remove_circle_outline
remove_circle_outline
remove_circle_outline

Article Types

Countries / Regions

remove_circle_outline
remove_circle_outline
remove_circle_outline
remove_circle_outline
remove_circle_outline

Search Results (867)

Search Parameters:
Keywords = isotropic materials

Order results
Result details
Results per page
Select all
Export citation of selected articles as:
18 pages, 4921 KB  
Article
Multi-State Photoluminescence of Donor–π–Acceptor Tetrafluorinated Tolane Mesogenic Dimers in Solution, Crystal, and Liquid-Crystalline Phases
by Sorato Inui, Yuto Eguchi, Masato Morita, Motohiro Yasui, Tsutomu Konno and Shigeyuki Yamada
Crystals 2025, 15(12), 1050; https://doi.org/10.3390/cryst15121050 - 11 Dec 2025
Abstract
Photoluminescent liquid crystals with photoluminescence (PL) and liquid-crystalline (LC) properties have attracted attention as PL-switching materials owing to their thermally induced phase transitions, such as crystal → smectic A/nematic → isotropic phase transitions. Our group previously developed tetrafluorinated tolane mesogenic dimers linked by [...] Read more.
Photoluminescent liquid crystals with photoluminescence (PL) and liquid-crystalline (LC) properties have attracted attention as PL-switching materials owing to their thermally induced phase transitions, such as crystal → smectic A/nematic → isotropic phase transitions. Our group previously developed tetrafluorinated tolane mesogenic dimers linked by flexible alkylene-1,n-dioxy spacers, demonstrating that the position of the tetrafluorinated aromatic ring critically influences the LC behavior. However, these compounds exhibited very weak fluorescence owing to an insufficient D–π–A character of the π-conjugated mesogens, which facilitated internal conversion from emissive ππ* to non-emissive πσ* states. We designed and synthesized derivatives in which the mesogen–spacer linkage was modified from ether to ester, thereby enhancing the D–π–A character. Thermal and structural analyses revealed spacer-length parity effects: even-numbered spacers induced nematic phases, whereas odd-numbered spacers stabilized smectic A phases. Photophysical studies revealed multi-state PL across solution, crystal, and LC phases. Strong blue PL (ΦPL = 0.39–0.48) was observed in solution, while crystals exhibited aggregation-induced emission enhancement (ΦPL = 0.48–0.77) with spectral diversity. In LC states, ΦPL values up to 0.36 were maintained, showing reversible intensity and spectral shifts with phase transitions. These findings establish design principles that correlate spacer parity, phase behavior, and PL properties, enabling potential applications in PL thermosensors and responsive optoelectronic devices. Full article
(This article belongs to the Section Liquid Crystals)
Show Figures

Figure 1

10 pages, 494 KB  
Article
Rayleigh–Ritz Approximation of the Acoustic Vibrations of Clamped Superquadrics—Application to Free Core–Shell Objects
by Sajana S, María del Carmen Marco de Lucas and Lucien Saviot
Nanomaterials 2025, 15(24), 1865; https://doi.org/10.3390/nano15241865 - 11 Dec 2025
Abstract
A numerical approach based on the Rayleigh-Ritz method and using a modification of the so-called xyz algorithm is introduced to calculate the acoustic vibrations of clamped objects whose shape is delimited by superquadrics. It is then used to improve the convergence [...] Read more.
A numerical approach based on the Rayleigh-Ritz method and using a modification of the so-called xyz algorithm is introduced to calculate the acoustic vibrations of clamped objects whose shape is delimited by superquadrics. It is then used to improve the convergence for the free vibrations of core–shell objects. The issue in this case is first illustrated in the simpler one-dimensional case of the thickness breathing vibration of an infinite “core-shell” plate. Functions suitable for solving the clamped vibrations of the core are added to the original xyz basis of functions to improve the convergence for core–shell superquadrics. The new basis obeys the same symmetry rules as the original one, which allows calculating vibrations for individual irreducible representations when the objects are made of cubic, tetragonal, or orthorhombic materials whose principal axes are aligned with those of the superquadrics. This method is validated for an isotropic spherical core–shell system for which analytic solutions exist. Full article
(This article belongs to the Section Theory and Simulation of Nanostructures)
Show Figures

Figure 1

24 pages, 8157 KB  
Article
Large In-Plane Tensile Deformation of a Novel Pre-Wound Six-Ligament Chiral Structure
by Naixin He, Yanping Song, Pengfei Huang and Jiachen Zeng
Materials 2025, 18(24), 5514; https://doi.org/10.3390/ma18245514 - 8 Dec 2025
Viewed by 146
Abstract
The anti-pillow effect of mesh antennas has adverse effects on satellite communication. The curvature isotropy of a negative Poisson’s ratio material is expected to be applied and solved for the anti-pillow effect of mesh deployable antennas. Based on the tension characteristics of mesh [...] Read more.
The anti-pillow effect of mesh antennas has adverse effects on satellite communication. The curvature isotropy of a negative Poisson’s ratio material is expected to be applied and solved for the anti-pillow effect of mesh deployable antennas. Based on the tension characteristics of mesh antennas, our research group has proposed a novel pre-wound six-ligament chiral material, and provided the analytical solutions of Poisson’s ratio and Young’s modulus under the assumption of a small deformation. Following on from the above work, this paper takes into account the variable curvature deformation of pre-wound ligaments and the bending deformation of straight ligaments. The analytical solutions of Poisson’s ratio and Young’s modulus under large deformations are derived, and verified by finite element simulation combined for both small and large deformations. The results show that theoretical solutions considering large deformation of the ligament are more consistent with the simulation results in the large-strain range of anisotropy in the material plane. The analytical solution of Young’s modulus derived from the energy equivalent principle of elastic deformation with a curved beam and a straight beam is consistent with the simulation results under large tensile strain. It has been verified that the existence of a pre-wound ligament can slow down the deformation of the node and reduce the loss of in-plane isotropy to a certain extent, so it is easier to maintain the negative Poisson’s ratio characteristic and maintain an excellent in-plane isotropic deformation mechanism over a larger strain range under tensile load. This characteristic proves the reliability of the prospects applying the pre-wound six-ligament chiral structure in deployable mesh antennas, which lays a theoretical foundation for the subsequent prototype. Full article
(This article belongs to the Section Materials Simulation and Design)
Show Figures

Figure 1

24 pages, 3276 KB  
Review
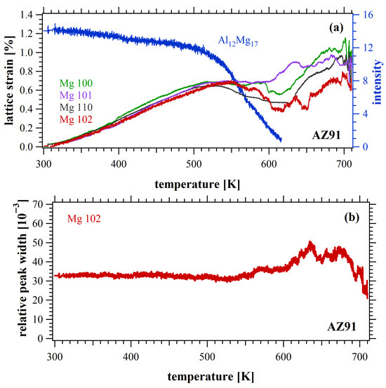
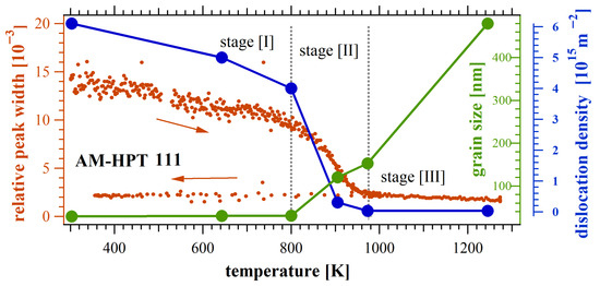
In Situ Neutron and Synchrotron X-Ray Analysis of Structural Evolution on Plastically Deformed Metals During Annealing
by Xiaojing Liu, Zheng Lei and Zhengxing Men
Coatings 2025, 15(12), 1438; https://doi.org/10.3390/coatings15121438 - 7 Dec 2025
Viewed by 252
Abstract
This review highlights the significance of modern quantum-beam techniques, particularly neutron and synchrotron radiation sources, for advanced microstructural characterization of metallic systems. Following a brief introduction to neutron and synchrotron diffraction, selected studies demonstrate their application in probing thermally induced structural evolution in [...] Read more.
This review highlights the significance of modern quantum-beam techniques, particularly neutron and synchrotron radiation sources, for advanced microstructural characterization of metallic systems. Following a brief introduction to neutron and synchrotron diffraction, selected studies demonstrate their application in probing thermally induced structural evolution in plastically deformed metals. Additively manufactured CoCrFeNi alloys and 316L stainless steels subjected to high-pressure torsion (HPT) were investigated by in situ neutron diffraction during heating, revealing the sequential regimes of recovery, recrystallization, and grain growth. Coupled with mechanical measurements, the results show that HPT followed by controlled thermal treatment improves the mechanical performance, offering strategies for designing engineering materials with enhanced properties. The thermal anisotropy behavior of Ti-45Al-7.5Nb alloys under in situ neutron diffraction is defined as anisotropic ordering upon heating, while the HPT-processed alloy displayed isotropic recovery of order at earlier temperatures. Complementary in situ synchrotron studies in rolled-sheet magnesium alloys unveiled microstructural rearrangement, grain rotation, recovery, and precipitate dissolution during annealing. And phase transformation, recovery, and recrystallization processes were detected in steel using HEXRD. This work emphasizes the complementary strengths of the neutron and synchrotron methods and recommends their broader application as powerful tools to unravel microstructure–property relationships in plastically deformed metals. Full article
(This article belongs to the Special Issue Surface Treatment and Mechanical Properties of Metallic Materials)
Show Figures

Figure 1

10 pages, 1733 KB  
Article
Cyclo[48]carbon—Evaluation of Its Inherent Magnetic Behavior and Anisotropy from DFT Calculations
by Peter L. Rodríguez-Kessler and Alvaro Muñoz-Castro
Chemistry 2025, 7(6), 192; https://doi.org/10.3390/chemistry7060192 - 1 Dec 2025
Viewed by 328
Abstract
Cyclo[48]carbon (C48) exhibits an aesthetically pleasant structure featuring a cyclic polyyne, and it serves as a prototypical medium-sized ring that moves us towards an understanding of its overall magnetic behavior in a challenging molecular shape through analysis of its induced magnetic field. The [...] Read more.
Cyclo[48]carbon (C48) exhibits an aesthetically pleasant structure featuring a cyclic polyyne, and it serves as a prototypical medium-sized ring that moves us towards an understanding of its overall magnetic behavior in a challenging molecular shape through analysis of its induced magnetic field. The isotropic induced magnetic field (NICS) profile shows a strong deshielding region at the ring center and a shielding region near the carbon rim, indicating antiaromatic behavior. Under a perpendicular magnetic field, a pronounced deshielding cone extends from the ring center, whereas a parallel external field induces a localized shielding near the carbon backbone. This results in significant magnetic anisotropy above and below the ring plane, characteristic of its medium-sized cyclic structure. Decomposition of the magnetic shielding highlights that paramagnetic effects predominantly govern the magnetic response and anisotropy of C48, with diamagnetic contributions playing a minor role. These insights suggest that chemical modifications targeting frontier orbitals could effectively tune the magnetic properties of cyclo[48]carbon, providing a foundation for the design of substituted derivatives with tailored diamagnetic anisotropy for advanced material applications. Full article
Show Figures

Graphical abstract

16 pages, 4991 KB  
Article
Simulation for Transversely Isotropic Citrus Tree Vibration Characteristics Based on the Frenet Frame
by Haobo Jiao, Weihong Liu, Liang Pan, Jiwei Dong, Guiying Ren, Chengsong Li, Lihong Wang, Chen Ma, Yipeng Wang, Bangtai Zhao and Xi Guo
Agriculture 2025, 15(23), 2498; https://doi.org/10.3390/agriculture15232498 - 30 Nov 2025
Viewed by 200
Abstract
Vibration technology is a commonly used method for detaching citrus fruits, and studying the vibrational properties of citrus trees can helpfully improve the effectiveness of vibrating harvesters. The existing mechanical properties of wood have shown that tree materials in nature have transversely isotropic [...] Read more.
Vibration technology is a commonly used method for detaching citrus fruits, and studying the vibrational properties of citrus trees can helpfully improve the effectiveness of vibrating harvesters. The existing mechanical properties of wood have shown that tree materials in nature have transversely isotropic characteristics instead of isotropic ones. However, in the study of the vibrational characteristics of fruit trees, the material of fruit trees is still defined as isotropic. This paper presents a vibration simulation approach for transversely isotropic citrus trees using the Frenet frame to reveal the true physical characteristics of fruit trees. A comparison was carried between the vibration spectrum obtained from experiments on citrus branches and the simulated spectra from transversely isotropic and isotropic material models. The findings reveal that the simulated vibration spectra for the transversely isotropic citrus branch can closely match the experimentally measured spectra. This supports the effectiveness of simulation method for transversely isotropic citrus trees. Furthermore, simulations of the vibration frequency response characteristics for citrus trees with both transversely isotropic and isotropic materials showed notable differences in their spectra. The proposed simulation method for transversely isotropic citrus trees offers a more precise depiction of their actual vibrational properties. This simulation technique is crucial for optimizing the parameters of citrus harvesting equipment, leading to enhanced machine performance. Full article
(This article belongs to the Topic Digital Agriculture, Smart Farming and Crop Monitoring)
Show Figures

Figure 1

15 pages, 3772 KB  
Article
Effects of Build Orientation and Loading Direction on the Compressive Behavior of Additively Manufactured Re-Entrant Auxetic Materials
by Mehmet Ermurat and Mevlut Safa Dag
Polymers 2025, 17(23), 3123; https://doi.org/10.3390/polym17233123 - 25 Nov 2025
Viewed by 381
Abstract
Additive manufacturing (AM) technologies, particularly Fused Deposition Modeling (FDM) and Digital Light Processing (DLP), offer viable solutions for producing Auxetic materials characterized by their negative Poisson’s ratio. This study investigates the influence of build orientation and loading direction on the mechanical behavior of [...] Read more.
Additive manufacturing (AM) technologies, particularly Fused Deposition Modeling (FDM) and Digital Light Processing (DLP), offer viable solutions for producing Auxetic materials characterized by their negative Poisson’s ratio. This study investigates the influence of build orientation and loading direction on the mechanical behavior of re-entrant honeycomb auxetic structures fabricated using both FDM- and LCD-based DLP techniques. Specimens were produced in three principal build orientations (X, Y, and Z) and subjected to compression along two directions (X and Y) to capture the anisotropic mechanical response. Standard PLA filament was used for FDM, while standard and tough resins were used for DLP. Uniaxial compression tests were conducted to evaluate maximum compressive stress, Poisson’s ratio, and energy absorption behavior. The results reveal significant anisotropy in mechanical performance depending on build orientation and printing technology. DLP-printed specimens exhibited more isotropic behavior compared to FDM due to superior interlayer adhesion. Furthermore, build orientation was found to have a pronounced effect on auxetic response and load-bearing capacity. This study highlights the critical importance of considering build orientation and loading direction during the design and manufacturing of auxetic structures, especially for applications requiring targeted mechanical performance. Full article
(This article belongs to the Section Polymer Processing and Engineering)
Show Figures

Graphical abstract

41 pages, 3028 KB  
Review
Coefficient of Linear Thermal Expansion of Polymers and Polymer Composites: A Comprehensive Review
by Alexander G. Khina, Denis P. Bulkatov, Ivan P. Storozhuk and Alexander P. Sokolov
Polymers 2025, 17(23), 3097; https://doi.org/10.3390/polym17233097 - 21 Nov 2025
Viewed by 1296
Abstract
This work presents a comprehensive literature review of the coefficient of linear thermal expansion (CLTE) of polymers and polymer composite materials (PCMs). It systematizes CLTE measurement methods for isotropic and anisotropic materials, including contact techniques such as dilatometry and thermomechanical analysis and non-contact [...] Read more.
This work presents a comprehensive literature review of the coefficient of linear thermal expansion (CLTE) of polymers and polymer composite materials (PCMs). It systematizes CLTE measurement methods for isotropic and anisotropic materials, including contact techniques such as dilatometry and thermomechanical analysis and non-contact methods such as digital image correlation, laser interferometry, diffraction-based techniques, and strain-gauge methods, with attention to their accuracy and fields of applicability. Furthermore, the review describes the principal mathemaical modeling approaches used to predict the CLTE of polymers and PCMs. The review also provides a comparative analysis of CLTE values for a broad range of thermoplastics (commodity, engineering, and high-performance grades) and thermosets, identifying the key factors that govern CLTE, such as the transition from the glassy to the viscous-flow state, the presence and anisotropy of a crystalline phase, and related structure–property effects. Special consideration is given to the factors determining the CLTE of polymer composites, including the properties of the polymer matrix, the nature, size, orientation and surface treatment of the filler, the architecture and reinforcement scheme of the composite, and the manufacturing process. The review also outlines application areas in which PCMs with controlled or reduced CLTE are required and illustrates these with specific examples. Thus, the article provides integrated view of the CLTE of polymers and PCMs, compiles reference data for CLTE values of various polymers and common composite fillers and offers practical recommendations for selecting polymer materials for fabricating goods that require high thermal dimensional stability. Full article
(This article belongs to the Section Polymer Composites and Nanocomposites)
Show Figures

Graphical abstract

34 pages, 7403 KB  
Article
Numerical Simulation of Aortic Valve Leaflets Calcification Influence on Hemodynamic Performance Using Fluid–Structure Interaction Approach
by Polina Fedotova, Nikita Pil, Alex G. Kuchumov, Ekaterina Barbashina, Vladimir Tsilibin, Fulufhelo Nemavhola, Thanyani Pandelani, Bakytbek Kadyraliev and Truong Sang Ha
Processes 2025, 13(11), 3750; https://doi.org/10.3390/pr13113750 - 20 Nov 2025
Viewed by 378
Abstract
Aortic valve calcification is the process of calcium buildup on the leaflets of the aortic valve, preceding functional insufficiency. Calcification underlies the development of aortic stenosis by stiffening the valve leaflets, leading to restricted aortic valve opening during systole and obstructed blood flow. [...] Read more.
Aortic valve calcification is the process of calcium buildup on the leaflets of the aortic valve, preceding functional insufficiency. Calcification underlies the development of aortic stenosis by stiffening the valve leaflets, leading to restricted aortic valve opening during systole and obstructed blood flow. However, a more comprehensive understanding of the hemodynamic effects of altered valve properties is required. Therefore, it is crucial to investigate the biomechanical properties of aortic valve leaflets susceptible to calcification. To examine fluid flow in an aorta segment with leaflets of different stiffness, a two-way fluid–structure interaction model was developed. The leaflet’s behavior was modeled using two constitutive laws—linear-elastic and isotropic hyperelastic—followed by numerical testing and comparative analysis. Using the material parameter values c01 and c10 within the ranges of 22–60 and 22–60 kPa, respectively, the hyperelastic model was examined. The valve leaflets’ Young’s modulus ranged from 1 to 22 MPa, while their Poisson’s ratio ranged from 0.35 to 0.45. A high correlation between Poisson’s ratio and wall shear stress was found. With an elastic modulus of 22 MPa and the highest Poisson’s ratio of 0.45, the maximum wall shear stress was 81.78 Pa during peak flow velocity and complete valve opening, while the lowest wall shear stress was 0.38 Pa. We can infer from the study’s results that, when considering the isotropic structure and nonlinear characteristics of valve leaflets, the Delfino hyperelastic model more accurately depicts their complex behavior. Full article
(This article belongs to the Special Issue Design, Fabrication, Modeling, and Control in Biomedical Systems)
Show Figures

Figure 1

10 pages, 520 KB  
Article
Infrared Dielectric Function of Dragonfly Dielectric Ink 1092 Polymer from 300 cm−1 to 6000 cm−1
by Dustin Louisos, Joseph Engeland, Nuren Z. Shuchi, Samuel I. Gatley, John F. Federici, Benjamin Thomas, Ian Gatley, Glenn D. Boreman and Tino Hofmann
Optics 2025, 6(4), 59; https://doi.org/10.3390/opt6040059 - 19 Nov 2025
Viewed by 244
Abstract
This work focuses on the characterization of the complex dielectric function of a polymer material, which is UV-cured dielectric ink 1092, used in the DragonFly IV 3D inkjet printer. Infrared spectroscopic ellipsometry was performed over the spectral range of 300–4000 cm−1 at [...] Read more.
This work focuses on the characterization of the complex dielectric function of a polymer material, which is UV-cured dielectric ink 1092, used in the DragonFly IV 3D inkjet printer. Infrared spectroscopic ellipsometry was performed over the spectral range of 300–4000 cm−1 at multiple angles of incidence to extract both real and imaginary components of the dielectric response. In addition, polarized transmission measurements were taken over the spectral range from 300–6000 cm−1 to aid in characterization. We report an isotropic dielectric function model that is composed of oscillators with both Gaussian and Lorentzian broadening. This model reveals strong absorption bands at 925–1500 cm−1, 1600–1775cm1, and 2840–3000 cm−1 while otherwise appearing largely transparent. This parameterized dielectric function is critical in first-principles modeling of infrared optical components and metamaterials fabricated using this polymer. Full article
Show Figures

Figure 1

23 pages, 6546 KB  
Article
Photon-Counting Micro-CT for Bone Morphometry in Murine Models
by Rohan Nadkarni, Zay Yar Han, Alex J. Allphin, Darin P. Clark, Alexandra Badea and Cristian T. Badea
Tomography 2025, 11(11), 127; https://doi.org/10.3390/tomography11110127 - 13 Nov 2025
Viewed by 448
Abstract
Background/Objectives: This study evaluates photon-counting CT (PCCT) for the imaging of mouse femurs and investigates how APOE genotype, sex, and humanized nitric oxide synthase (HN) expression influence bone morphology during aging. Methods: A custom-built micro-CT system with a photon-counting detector (PCD) was used [...] Read more.
Background/Objectives: This study evaluates photon-counting CT (PCCT) for the imaging of mouse femurs and investigates how APOE genotype, sex, and humanized nitric oxide synthase (HN) expression influence bone morphology during aging. Methods: A custom-built micro-CT system with a photon-counting detector (PCD) was used to acquire dual-energy scans of mouse femur samples. PCCT projections were corrected for tile gain differences, iteratively reconstructed with 20 µm isotropic resolution, and decomposed into calcium and water maps. PCD spatial resolution was benchmarked against an energy-integrating detector (EID) using line profiles through trabecular bone. The contrast-to-noise ratio quantified the effects of iterative reconstruction and material decomposition. Femur features such as mean cortical thickness, mean trabecular spacing (TbSp_mean), and trabecular bone volume fraction (BV/TV) were extracted from calcium maps using BoneJ. The statistical analysis used 57 aged mice representing the APOE22, APOE33, and APOE44 genotypes, including 27 expressing HN. We used generalized linear models (GLMs) to evaluate the main interaction effects of age, sex, genotype, and HN status on femur features and Mann–Whitney U tests for stratified analyses. Results: PCCT outperformed EID-CT in spatial resolution and enabled the effective separation of calcium and water. Female HN mice exhibited reduced BV/TV compared to both male HN and female non-HN mice. While genotype effects were modest, a genotype-by-sex stratified analysis found significant effects of HN status in female APOE22 and APOE44 mice only. Linear regression showed that age significantly decreased cortical thickness and increased TbSp_mean in male mice only. Conclusions: These results demonstrate PCCT’s utility for femur analysis and reveal strong effects of sex/HN interaction on trabecular bone health in mice. Full article
Show Figures

Figure 1

16 pages, 2964 KB  
Article
In Silico Polymerisation and Characterisation of Auxetic Liquid Crystalline Elastomers Using Atomistic Molecular Dynamics Simulations
by Richard Mandle, Thomas Raistrick, Devesh Mistry and Helen Gleeson
Polymers 2025, 17(22), 3011; https://doi.org/10.3390/polym17223011 - 12 Nov 2025
Viewed by 439
Abstract
Using reactive atomistic molecular dynamics, we simulate the network formation and bulk properties of chemically identical liquid crystal elastomers (LCEs) and isotropic elastomers. The nematic elastomer is from a family of materials that have been shown to be auxetic at a molecular level. [...] Read more.
Using reactive atomistic molecular dynamics, we simulate the network formation and bulk properties of chemically identical liquid crystal elastomers (LCEs) and isotropic elastomers. The nematic elastomer is from a family of materials that have been shown to be auxetic at a molecular level. The network orientational order parameters and glass transition temperatures measured from our simulations are in strong agreement with experimental data. We reproduce, in silico, the magnitude and onset of strain-induced nematic order in isotropic simulations. Application of uniaxial strain to nematic LCE simulations causes biaxial order to emerge, as has been seen experimentally for these auxetic LCEs. At strains of ~1.0, the director reorients to be parallel to the applied strain, again as seen experimentally. The simulations shed light on the strain-induced order at a molecular level and allow insight into the individual contributions of the side-groups and crosslinker. Further, the agreement between our simulations and experimental data opens new possibilities in the computational design of high-molecular-weight liquid crystals, especially where an understanding of the properties under mechanical actuation is desired. Moreover, the simulation methodology we describe will be applicable to other combinations of orientational and/or positional order (e.g., smectics, cubics). Full article
(This article belongs to the Section Polymer Chemistry)
Show Figures

Graphical abstract

30 pages, 978 KB  
Article
Computational Strategy for Analyzing Effective Properties of Random Composites—Part II: Elasticity
by Roman Czapla, Piotr Drygaś, Simon Gluzman, Tomasz Ligocki and Vladimir Mityushev
Materials 2025, 18(21), 5041; https://doi.org/10.3390/ma18215041 - 5 Nov 2025
Cited by 1 | Viewed by 533
Abstract
We suggest a novel strategy in the theory of elastic plane composites. The macroscopic properties are quantified, and an analytical–numerical algorithm to derive expressions for the effective constants is designed. The effective elastic constants of dispersed random composites are given by new analytical [...] Read more.
We suggest a novel strategy in the theory of elastic plane composites. The macroscopic properties are quantified, and an analytical–numerical algorithm to derive expressions for the effective constants is designed. The effective elastic constants of dispersed random composites are given by new analytical and approximate formulas where the dependence on the location of inclusions is explicitly shown in symbolic form. This essentially extends the results of previous numerical simulations for a fixed set of material constants and fixed locations of inclusions. This paper extends the analysis from Part I, which addressed dispersed random conducting composites, to the two-dimensional elastic composites. Hill’s concept of Representative Volume Element (RVE), traditionally used in elastic composites, is revised. It is rigorously demonstrated that the RVE must be a fundamental domain of the plane torus, for instance, a periodicity parallelogram, since other shapes of RVE may lead to incorrect values of the effective constants. The effective tensors of the elasticity theory are decomposed into geometrical and physical parts, represented by structural sums and material constants of the components. Novel computational methodology based on such decomposition is applied to a two-phase isotropic composite with non-overlapping circular inclusions embedded in an elastic matrix. For the first time, it is demonstrated explicitly how the effective tensors depend on the geometric probabilistic distributions of inclusions and the computational protocols involved. Analytical polynomial formulas for the effective shear modulus for the moderate concentration of inclusions are transformed using the resummation methods into practical expressions valid for all concentrations of inclusions. The critical index for the effective shear modulus is calculated from the polynomials derived for the modulus. Full article
Show Figures

Graphical abstract

18 pages, 5097 KB  
Article
Development of Deployable Reflector Antenna for the SAR Satellite: Part 4—Thermal Analysis-Assumed Orbital Environment Using Well-Correlated Antenna Assembly Model Based on Thermal Balance Test
by Ryoon-Ho Do, Hyun-Guk Kim, Dong-Geon Kim and Kyung-Rae Koo
Appl. Sci. 2025, 15(21), 11766; https://doi.org/10.3390/app152111766 - 4 Nov 2025
Viewed by 383
Abstract
The deployable reflector antenna mounted on the SAR satellite is an antenna with a folding structure and is one of the main components of the satellite body. Due to the limited space inside the launch vehicle fairing, the mounting efficiency was improved by [...] Read more.
The deployable reflector antenna mounted on the SAR satellite is an antenna with a folding structure and is one of the main components of the satellite body. Due to the limited space inside the launch vehicle fairing, the mounting efficiency was improved by applying a structural feature that allows the antenna to be stowed compactly. In addition, weight reduction was required to lower launch costs and improve the satellite revisiting cycle; therefore, the main reflector of the deployable reflector antenna was designed and manufactured using carbon fiber reinforced polymer and aramid honeycomb core. Since the main reflector made of carbon fiber-reinforced polymer and aramid honeycomb core is not an isotropic material, differences between theoretical and actual thermal properties were expected. Therefore, in this study, a thermal balance test was performed on the thermal structure model of the deployable reflector antenna, and the thermal analysis model simulated by the ground test was corrected using the verified temperature conditions as a reference. The thermal properties of the composite material and the thermal conductivity coefficient between the main reflector and the main components connected to it were the targets of correction. In addition, a numerical optimization technique was applied to reduce computational costs, and the thermal analysis assumed the orbital environment model of the deployable reflector antenna was optimized using the corrected thermal properties. Full article
(This article belongs to the Section Aerospace Science and Engineering)
Show Figures

Figure 1

24 pages, 4510 KB  
Article
Response of Well-Graded Gravel–Rubber Mixtures in Triaxial Compression: Application of a Critical State-Based Generalized Plasticity Model
by Angela Fiamingo and Gabriele Chiaro
Geotechnics 2025, 5(4), 75; https://doi.org/10.3390/geotechnics5040075 - 3 Nov 2025
Cited by 1 | Viewed by 404
Abstract
The reuse of rubber inclusions obtained from End-of-Life Tires (ELTs) offers both environmental and technical benefits in civil engineering applications, reducing landfill disposal and enhancing the dynamic properties of geomaterials. The use of well-graded Gravel–Rubber Mixtures (wgGRMs), produced by blending well-graded [...] Read more.
The reuse of rubber inclusions obtained from End-of-Life Tires (ELTs) offers both environmental and technical benefits in civil engineering applications, reducing landfill disposal and enhancing the dynamic properties of geomaterials. The use of well-graded Gravel–Rubber Mixtures (wgGRMs), produced by blending well-graded gravel with granulated rubber, has been investigated for use in different geotechnical applications. The percentage of rubber inclusions included in wgGRMs significantly modifies the mechanical response of these mixtures, influencing stiffness, strength, dilatancy and dynamic properties. Due to the material heterogeneity (i.e., stiff gravel and soft rubber), the effective implementation of wgGRMs requires the development of constitutive models that can capture the non-linear stress–strain response of wgGRMs subjected to representative in situ loading conditions. In this study, a critical state-based generalized plasticity model is presented and tailored for wgGRMs. Calibration is performed using experimental data from isotropically consolidated drained triaxial tests on wgGRMs with different rubber contents. It is shown that the model accurately reproduces key features observed experimentally, including post-peak strain softening, peak strength variation, and volumetric changes across different confining pressure levels and rubber content fractions. This model represents a useful tool for predicting the behavior of wgGRMs in engineering practice, supporting the reuse of ELT-derived rubber. Full article
Show Figures

Figure 1

Back to TopTop