Sign in to use this feature.

Years

Between: -

Subjects

remove_circle_outline
remove_circle_outline
remove_circle_outline
remove_circle_outline
remove_circle_outline
remove_circle_outline
remove_circle_outline

Journals

Article Types

Countries / Regions

Search Results (39)

Search Parameters:
Keywords = inverse degree polynomial

Order results
Result details
Results per page
Select all
Export citation of selected articles as:
31 pages, 11720 KB  
Article
A New Integrated Method to Improve the Computation of the Robotics’ Inverse Kinematics in a Simple and Unified Formula
by Abubaker Ahmed, Hehua Ju, Yang Yang, Hosham Wahballa and Ghazally I. Y. Mustafa
Machines 2025, 13(12), 1073; https://doi.org/10.3390/machines13121073 - 21 Nov 2025
Viewed by 380
Abstract
Formulating mathematical models and deriving efficient algorithms are crucial for meeting the requirements of future robotics applications. This paper proposes a novel approach for analyzing kinematic systems and computing inverse kinematics (IK) solutions for serial robotic arms. The aim is to reduce modeling [...] Read more.
Formulating mathematical models and deriving efficient algorithms are crucial for meeting the requirements of future robotics applications. This paper proposes a novel approach for analyzing kinematic systems and computing inverse kinematics (IK) solutions for serial robotic arms. The aim is to reduce modeling complexity and the computational cost of IK solution algorithms, while enhancing accuracy and efficiency by reformulating the kinematic equations using simplified constraints. This is achieved by integrating the rotation matrix and the unit quaternion to represent kinematic equations in a simple and unified form without compromising the degrees of freedom or raising the order of the kinematic equations, as in traditional approaches. The method combines analytical and numerical techniques to obtain an exact IK solution in two steps: first, the wrist joint variables are substituted into the position equations, resulting in a modified position vector equation obtained analytically; second, numerical iteration is applied to compensate for the error between the current and desired positions, leading to the ultimate exact inverse solution. The method is tested on a 5R robot and a 6R (UR-10) robot with an offset wrist to demonstrate the mathematical process and real-time algorithm performance. The results demonstrate that the absolute position error is less than 1015 m, with no orientation error, and the mean calculation time for the IK solution is less than 5 ms. Furthermore, the results indicate higher accuracy and reduced computational time compared to other common IK methods. Moreover, the algorithm’s improved performance in processing continuous paths demonstrates its advantages in both simulation and practical applications. Finally, the proposed methodology is expected to advance further research in kinematic modeling and enhance polynomial-based numerical iterative algorithms. Full article
(This article belongs to the Special Issue The Kinematics and Dynamics of Mechanisms and Robots)
Show Figures

Figure 1

28 pages, 12894 KB  
Article
Evolution of Rainfall Characteristics in Catalonia, Spain, Using a Moving-Window Approach (1950–2022)
by Carina Serra, María del Carmen Casas-Castillo, Raül Rodríguez-Solà and Cristina Periago
Hydrology 2025, 12(7), 194; https://doi.org/10.3390/hydrology12070194 - 19 Jul 2025
Viewed by 2939
Abstract
A comprehensive analysis of the evolution of rainfall characteristics in Catalonia, NE Spain, was conducted using monthly data from 72 rain gauges over the period 1950–2022. A moving-window approach was applied at annual, seasonal, and monthly scales, calculating mean values, coefficients of variation [...] Read more.
A comprehensive analysis of the evolution of rainfall characteristics in Catalonia, NE Spain, was conducted using monthly data from 72 rain gauges over the period 1950–2022. A moving-window approach was applied at annual, seasonal, and monthly scales, calculating mean values, coefficients of variation (CV), and trends across 43 overlapping 31-year periods. To assess trends in these moving statistics, a modified Mann–Kendall test was applied to both the 31-year means and CVs. Results revealed a significant 10% decrease in annual rainfall, with summer showing the most pronounced decline, as nearly 90% of stations exhibited negative trends, while the CV showed negative trends in coastal areas and mostly positive trends inland. At the monthly scale, February, March, June, August, and December exhibited negative trends at more than 50% of stations, with rainfall reductions ranging from 20% to 30%. Additionally, the temporal evolution of Mann–Kendall trend coefficients within each 31-year moving window displayed a fourth-degree polynomial pattern, with a periodicity of 30–35 years at annual and seasonal scales, and for some months. Finally, at the annual scale and in two centennial series, the 80-year oscillations found were inversely correlated with the large-scale climate indices North Atlantic Oscillation (NAO) and Atlantic Multidecadal Oscillation (AMO). Full article
Show Figures

Figure 1

13 pages, 290 KB  
Article
Notes on Cauchy–Stieltjes Kernel Families
by Shokrya S. Alshqaq, Raouf Fakhfakh and Fatimah Alshahrani
Axioms 2025, 14(3), 189; https://doi.org/10.3390/axioms14030189 - 4 Mar 2025
Cited by 5 | Viewed by 681
Abstract
The free Meixner family (FMF) is the family of measures that produces quadratic Cauchy–Stieltjes Kernel (CSK) families (i.e., meaning that the associated variance function (VF) is a polynomial with degree 2 in the mean). Furthermore, a cubic class is introduced [...] Read more.
The free Meixner family (FMF) is the family of measures that produces quadratic Cauchy–Stieltjes Kernel (CSK) families (i.e., meaning that the associated variance function (VF) is a polynomial with degree 2 in the mean). Furthermore, a cubic class is introduced in the context of CSK families and is connected to the quadratic class via a reciprocity relation. The associated probability measures are the so-called free analog of the Letac–Mora class (with VF of degree 3). In free probability theory, these two classes of probabilities are crucial. However, a novel transformation of measures is introduced in the setting of free probability, known as the Ta-transformation of probability measures. Denote by P the set of (non-degenerate) real probabilities. For νP and aR, consider the transformation of measure ν, denoted Ta(ν), defined by FTa(ν)(w)=Fν(wa)+a, where Fν(·) is the inverse of the Cauchy–Stieltjes transformation of ν. In this study, we provide important insights into the notion of the Ta-transformation of probabilities. We demonstrate that the FMF (respectively, the free counterpart of the Letac–Mora class of measures) is invariant under the Ta-transformation. Furthermore, we develop additional characteristics of the Ta-transformation, which yield intriguing findings for significant free probability distributions such as the free Poisson and free Gamma distributions. Full article
(This article belongs to the Section Mathematical Analysis)
27 pages, 392 KB  
Article
Complete Homogeneous Symmetric Polynomials with Repeating Variables
by Luis Angel González-Serrano and Egor A. Maximenko
Mathematics 2025, 13(1), 34; https://doi.org/10.3390/math13010034 - 26 Dec 2024
Viewed by 1736
Abstract
In this paper, we consider complete homogeneous symmetric polynomials evaluated for variables repeated with given multiplicities; in other words, we consider polynomials obtained from complete homogeneous polynomials by identifying some subsets of their variables. We represent such polynomials as linear combinations of the [...] Read more.
In this paper, we consider complete homogeneous symmetric polynomials evaluated for variables repeated with given multiplicities; in other words, we consider polynomials obtained from complete homogeneous polynomials by identifying some subsets of their variables. We represent such polynomials as linear combinations of the powers of the variables, where all exponents are equal to the degree of the original polynomial. We give two proofs for the proposed formulas: the first proof uses the decomposition of the generating function into partial fractions, and the second involves the inverse of the confluent Vandermonde matrix. We also discuss the computational feasibility of the proposed formulas. Full article
(This article belongs to the Section A: Algebra and Logic)
22 pages, 841 KB  
Article
An Area-Efficient and Configurable Number Theoretic Transform Accelerator for Homomorphic Encryption
by Jingwen Huang, Chiayi Kuo, Sihuang Liu and Tao Su
Electronics 2024, 13(17), 3382; https://doi.org/10.3390/electronics13173382 - 26 Aug 2024
Cited by 2 | Viewed by 2142
Abstract
Homomorphic Encryption (HE) allows for arbitrary computation of encrypted data, offering a method for preserving privacy in cloud computations. However, efficiency remains a significant obstacle, particularly with the polynomial multiplication of large parameter sets, which occupies substantial computing and memory overhead. Prior studies [...] Read more.
Homomorphic Encryption (HE) allows for arbitrary computation of encrypted data, offering a method for preserving privacy in cloud computations. However, efficiency remains a significant obstacle, particularly with the polynomial multiplication of large parameter sets, which occupies substantial computing and memory overhead. Prior studies proposed the use of Number Theoretic Transform (NTT) to accelerate polynomial multiplication, which proved efficient, owing to its low computational complexity. However, these efforts primarily focused on NTT designs for small parameter sets, and configurability and memory efficiency were not considered carefully. This paper focuses on designing a unified NTT/Inverse NTT (INTT) architecture with high area efficiency and configurability, which is more suitable for HE schemes. We adopt the Constant-Geometry (CG) NTT algorithm and propose a conflict-free access pattern, demonstrating a 16.7% reduction in coefficients of storage capacity compared to the state-of-the-art CG NTT design. Additionally, we propose a twiddle factor generation strategy to minimize storage for Twiddle Factors (TFs). The proposed architecture offers configurability of both compile time and runtime, allowing for the deployment of varying parallelism and parameter sets during compilation while accommodating a wide range of polynomial degrees and moduli after compilation. Experimental results on the Xilinx FPGA show that our design can achieve higher area efficiency and configurability compared with previous works. Furthermore, we explore the performance difference between precomputed TFs and online-generated TFs for the NTT architecture, aiming to show the importance of online generation-based NTT architecture in HE applications. Full article
(This article belongs to the Special Issue System-on-Chip (SoC) and Field-Programmable Gate Array (FPGA) Design)
Show Figures

Figure 1

19 pages, 1531 KB  
Article
Direct and Inverse Kinematics of a 3RRR Symmetric Planar Robot: An Alternative of Active Joints
by Jordy Josue Martinez Cardona, Manuel Cardona, Jorge I. Canales-Verdial and Jose Luis Ordoñez-Avila
Symmetry 2024, 16(5), 590; https://doi.org/10.3390/sym16050590 - 10 May 2024
Cited by 3 | Viewed by 3014
Abstract
Existing direct and inverse kinematic models of planar parallel robots assume that the robot’s active joints are all at the bases. However, this approach becomes excessively complex when modeling a planar parallel robot in which the active joints are within one single kinematic [...] Read more.
Existing direct and inverse kinematic models of planar parallel robots assume that the robot’s active joints are all at the bases. However, this approach becomes excessively complex when modeling a planar parallel robot in which the active joints are within one single kinematic chain. To address this problem, our article unveils an alternative for a 3RRR symmetric planar robot modeling technique for the derivation of the robot workspace and the analysis of its direct and inverse kinematics. The workspace was defined using a system of inequalities, and the direct and inverse kinematics models were generated using vectorial analysis and an optimized geometrical approach, respectively. The resulting models are systematically presented and validated. Two final model renditions are delivered supplying a thorough equation analysis and an applicability discussion based on the importance of the robot’s mobile platform orientation. The advantages of this model are discussed in comparison to the traditional modeling approach: whereas conventional techniques require the solution of complex eighth-degree polynomials for the analysis of the active joint configuration of these robots, these models provide an efficient back-of-the-envelope analysis approach that requires the solution of a simple second-degree polynomial. Full article
(This article belongs to the Special Issue Symmetry in Mechanical Engineering: Properties and Applications)
Show Figures

Graphical abstract

19 pages, 8290 KB  
Article
Numerical Estimation of Nonlinear Thermal Conductivity of SAE 1020 Steel
by Ariel Flores Monteiro de Oliveira, Elisan dos Santos Magalhães, Kahl Dick Zilnyk, Philippe Le Masson and Ernandes José Gonçalves do Nascimento
Computation 2024, 12(5), 92; https://doi.org/10.3390/computation12050092 - 4 May 2024
Cited by 1 | Viewed by 2309
Abstract
Thermally characterizing high-thermal conductivity materials is challenging, especially considering high temperatures. However, the modeling of heat transfer processes requires specific material information. The present study addresses an inverse approach to estimate the thermal conductivity of SAE 1020 relative to temperature during an autogenous [...] Read more.
Thermally characterizing high-thermal conductivity materials is challenging, especially considering high temperatures. However, the modeling of heat transfer processes requires specific material information. The present study addresses an inverse approach to estimate the thermal conductivity of SAE 1020 relative to temperature during an autogenous LASER Beam Welding (LBW) experiment. The temperature profile during LBW is computed with the aid of an in-house CUDA-C algorithm. Here, the governing three-dimensional heat diffusion equation is discretized through the Finite Volume Method (FVM) and solved using the Successive Over-Relaxation (SOR) parallelized iterative solver. With temperature information, one may employ a minimization procedure to assess thermal properties or process parameters. In this work, the Quadrilateral Optimization Method (QOM) is applied to perform estimations because it allows for the simultaneous optimization of variables with no quantity restriction and renders the assessment of parameters in unsteady states valid, thereby preventing the requirement for steady-state experiments. We extended QOM’s prior applicability to account for more parameters concurrently. In Case I, the optimization of the three parameters that compose the second-degree polynomial function model of thermal conductivity is performed. In Case II, the heat distribution model’s gross heat rate (Ω) is also estimated in addition to the previous parameters. Ω [W] quantifies the power the sample receives and is related to the process’s efficiency. The method’s suitability for estimating the parameters was confirmed by investigating the reduced sensitivity coefficients, while the method’s stability was corroborated by performing the estimates with noisy data. There is a good agreement between the reference and estimated values. Hence, this study introduces a proper methodology for estimating a temperature-dependent thermal property and an LBW parameter. As the performance of the present algorithm is increased using parallel computation, a pondered solution between estimation reliability and computational cost is achieved. Full article
Show Figures

Figure 1

11 pages, 282 KB  
Article
Inverses for Fourth-Degree Permutation Polynomials Modulo 32Ψ or 96Ψ, with Ψ as a Product of Different Prime Numbers Greater than Three
by Lucian Trifina, Daniela Tărniceriu and Ana-Mirela Rotopănescu
AppliedMath 2024, 4(1), 383-393; https://doi.org/10.3390/appliedmath4010020 - 16 Mar 2024
Viewed by 1475
Abstract
In this paper, we address the inverse of a true fourth-degree permutation polynomial (4-PP), modulo a positive integer of the form 32kLΨ, where kL{1,3} and Ψ is a product of different prime [...] Read more.
In this paper, we address the inverse of a true fourth-degree permutation polynomial (4-PP), modulo a positive integer of the form 32kLΨ, where kL{1,3} and Ψ is a product of different prime numbers greater than three. Some constraints are considered for the 4-PPs to avoid some complicated coefficients’ conditions. With the fourth- and third-degree coefficients of the form k4,fΨ and k3,fΨ, respectively, we prove that the inverse PP is (I) a 4-PP when k4,f{1,3} and k3,f{1,3,5,7} or when k4,f=2 and (II) a 5-PP when k4,f{1,3} and k3,f{0,2,4,6}. Full article
19 pages, 6506 KB  
Article
Design and Test of Seed–Fertilizer Replenishment Device for Wheat Seeder
by Liguo Wei, Qi Wang, Kang Niu, Shenghe Bai, Liang Wei, Conghui Qiu and Nana Han
Agriculture 2024, 14(3), 374; https://doi.org/10.3390/agriculture14030374 - 26 Feb 2024
Cited by 6 | Viewed by 2634
Abstract
In view of existing problems, such as the seed and fertilizer supply link for wheat seeders still relying on manual installation and the lack of practical application equipment, a seed–fertilizer replenishment device based on the three-degree-of-freedom mechanical arm and screw conveying principle is [...] Read more.
In view of existing problems, such as the seed and fertilizer supply link for wheat seeders still relying on manual installation and the lack of practical application equipment, a seed–fertilizer replenishment device based on the three-degree-of-freedom mechanical arm and screw conveying principle is designed using the seed box installation and supply as the operation scenario to replace the manual installation process. Combined with the requirements of the seed box replenishment operation, the key parameters of the replenishment robot arm and the screw conveyor auger are determined. Then, the kinematic model of the replenishment robot arm is established based on the modified D-H method, forward and inverse kinematics calculations are performed, and the workspace is analyzed using the Monte Carlo method. Based on this, the robotic arm task path is designed, the fifth-degree polynomial interpolation method is used to complete the trajectory planning, and MATLAB R2016a software is used to simulate the motion trajectories of each joint, verifying the feasibility of the trajectory planning solution. Finally, a prototype is trial-produced and quadratic regression orthogonal testing and response surface analyses are conducted to obtain the optimal working parameters of the replenishment device. The verification test shows that when the angular velocity of the lumbar joint of the replenishment device is 4°/s, the speed of screw conveyor is 90 r/min, and the angle of the big arm is 12°, the conveying loss rate is 3.98%, and the conveying efficiency is 0.833 kg/s. The relative errors with the theoretical optimal values are 4.2% and 2.4%, respectively, both less than 5%. The supply trajectory is reasonable, and the robot arm runs smoothly. This study can provide reference for the design of seed–fertilizer replenishment device for wheat seeders. Full article
(This article belongs to the Section Agricultural Technology)
Show Figures

Figure 1

16 pages, 3324 KB  
Article
Rational Involutions and an Application to Planar Systems of ODE
by Ivan Mastev, Valery G. Romanovski and Yun Tian
Mathematics 2024, 12(3), 486; https://doi.org/10.3390/math12030486 - 2 Feb 2024
Viewed by 1615
Abstract
An involution refers to a function that acts as its own inverse. In this paper, our focus lies on exploring two-dimensional involutive maps defined by rational functions. These functions have denominators represented by polynomials of degree one and numerators by polynomials of a [...] Read more.
An involution refers to a function that acts as its own inverse. In this paper, our focus lies on exploring two-dimensional involutive maps defined by rational functions. These functions have denominators represented by polynomials of degree one and numerators by polynomials of a degree of, at most, two, depending on parameters. We identify the sets in the parameter space of the maps that correspond to involutions. The investigation relies on leveraging algorithms from computational commutative algebra based on the Groebner basis theory. To expedite the computations, we employ modular arithmetic. Furthermore, we showcase how involution can serve as a valuable tool for identifying reversible and integrable systems within families of planar polynomial ordinary differential equations. Full article
(This article belongs to the Section C2: Dynamical Systems)
Show Figures

Figure 1

18 pages, 1247 KB  
Article
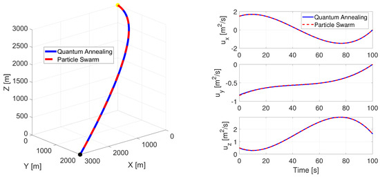
Cutting-Edge Trajectory Optimization through Quantum Annealing
by Andrea Carbone, Federico De Grossi and Dario Spiller
Appl. Sci. 2023, 13(23), 12853; https://doi.org/10.3390/app132312853 - 30 Nov 2023
Cited by 6 | Viewed by 3481
Abstract
This paper introduces an innovative approach to explore the capabilities of Quantum Annealing (QA) for trajectory optimization in dynamic systems. The proposed method involves transforming trajectory optimization problems into equivalent binary optimization problems using Quadratic Unconstrained Binary Optimization (QUBO) representation. The procedure is [...] Read more.
This paper introduces an innovative approach to explore the capabilities of Quantum Annealing (QA) for trajectory optimization in dynamic systems. The proposed method involves transforming trajectory optimization problems into equivalent binary optimization problems using Quadratic Unconstrained Binary Optimization (QUBO) representation. The procedure is general and adaptable, making it applicable to a wide range of optimal control problems that entail the satisfaction of dynamic, boundary, and path constraints. Specifically, the trajectory is discretized and approximated using polynomials. In contrast to the conventional approach of determining the polynomial degree (n) solely based on the number of boundary conditions, a specific factor is introduced in our method to augment the polynomial degree. As a result, the ultimate polynomial degree is calculated as a composite of two components: n = l + (m1), where m denotes the count of boundary conditions and l signifies the number of independent variables. By leveraging inverse dynamics, the control required to follow the approximated trajectory can be determined as a linear function of independent variables l. As a result, the optimization function, which is represented by the integral of the square of the control, can be formulated as a QUBO problem and the QA is employed to find the optimal binary solutions. Full article
(This article belongs to the Section Aerospace Science and Engineering)
Show Figures

Figure 1

14 pages, 2201 KB  
Article
Quantification and Detection of Ground Garlic Adulteration Using Fourier-Transform Near-Infrared Reflectance Spectra
by Michal Daszykowski, Michal Kula and Ivana Stanimirova
Foods 2023, 12(18), 3377; https://doi.org/10.3390/foods12183377 - 8 Sep 2023
Cited by 6 | Viewed by 2425
Abstract
This study demonstrates the rapid and cost-effective possibility of quantifying adulterant amounts (corn flour or corn starch) in ground and dried garlic samples. Prepared mixtures with different concentrations of selected adulterant were effectively characterized using Fourier-transform near-infrared reflectance spectra (FT-NIR), and multivariate calibration [...] Read more.
This study demonstrates the rapid and cost-effective possibility of quantifying adulterant amounts (corn flour or corn starch) in ground and dried garlic samples. Prepared mixtures with different concentrations of selected adulterant were effectively characterized using Fourier-transform near-infrared reflectance spectra (FT-NIR), and multivariate calibration models were developed using two methods: principal component regression (PCR) and partial least squares regression (PLSR). They were constructed for optimally preprocessed FT-NIR spectra, and PLSR models generally performed better regarding model fit and predictions than PCR. The optimal PLSR model, built to estimate the amount of corn flour present in the ground and dried garlic samples, was constructed for the first derivative spectra obtained after Savitzky–Golay smoothing (fifteen sampling points and polynomial of the second degree). It demonstrated root mean squared errors for calibration and validation samples equal to 1.8841 and 1.8844 (i.e., 1.88% concerning the calibration range), respectively, and coefficients of determination equal to 0.9955 and 0.9858. The optimal PLSR model constructed for spectra after inverse scattering correction to assess the amount of corn starch had root mean squared errors for calibration and validation samples equal to 1.7679 and 1.7812 (i.e., 1.77% and 1.78% concerning the calibration range), respectively, and coefficients of determination equal to 0.9961 and 0.9873. It was also possible to discriminate samples adulterated with corn flour or corn starch using partial least squares discriminant analysis (PLS-DA). The optimal PLS-DA model had a very high correct classification rate (99.66%), sensitivity (99.96%), and specificity (99.36%), calculated for external validation samples. Uncertainties of these figures of merit, estimated using the Monte Carlo validation approach, were relatively small. One-class classification partial least squares models, developed to detect the adulterant type, presented very optimistic sensitivity for validation samples (above 99%) but low specificity (64% and 45.33% for models recognizing corn flour or corn starch adulterants, respectively). Through experimental investigation, chemometric data analysis, and modeling, we have verified that the FT-NIR technique exhibits the required sensitivity to quantify adulteration in dried ground garlic, whether it involves corn flour or corn starch. Full article
Show Figures

Figure 1

24 pages, 781 KB  
Article
Valuing Exchange Options under an Ornstein-Uhlenbeck Covariance Model
by Enrique Villamor and Pablo Olivares
Int. J. Financial Stud. 2023, 11(2), 55; https://doi.org/10.3390/ijfs11020055 - 27 Mar 2023
Cited by 2 | Viewed by 2407
Abstract
In this paper we study the pricing of exchange options between two underlying assets whose dynamic show a stochastic correlation with random jumps. In particular, we consider a Ornstein-Uhlenbeck covariance model, with Levy Background Noise Processes driven by Inverse Gaussian subordinators. We use [...] Read more.
In this paper we study the pricing of exchange options between two underlying assets whose dynamic show a stochastic correlation with random jumps. In particular, we consider a Ornstein-Uhlenbeck covariance model, with Levy Background Noise Processes driven by Inverse Gaussian subordinators. We use expansions in terms of Taylor polynomials and cubic splines to approximately compute the price of the derivative contract. Our findings show that the later approach provides an efficient way to compute the price when compared with a Monte Carlo method, while maintaining an equivalent degree of accuracy. Full article
Show Figures

Figure 1

20 pages, 3223 KB  
Article
A Novel Cipher-Based Data Encryption with Galois Field Theory
by Mohammad Mazyad Hazzazi, Sasidhar Attuluri, Zaid Bassfar and Kireet Joshi
Sensors 2023, 23(6), 3287; https://doi.org/10.3390/s23063287 - 20 Mar 2023
Cited by 21 | Viewed by 3592
Abstract
Both the act of keeping information secret and the research on how to achieve it are included in the broad category of cryptography. When people refer to “information security,” they are referring to the study and use of methods that make data transfers [...] Read more.
Both the act of keeping information secret and the research on how to achieve it are included in the broad category of cryptography. When people refer to “information security,” they are referring to the study and use of methods that make data transfers harder to intercept. When we talk about “information security,” this is what we have in mind. Using private keys to encrypt and decode messages is a part of this procedure. Because of its vital role in modern information theory, computer security, and engineering, cryptography is now considered to be a branch of both mathematics and computer science. Because of its mathematical properties, the Galois field may be used to encrypt and decode information, making it relevant to the subject of cryptography. The ability to encrypt and decode information is one such use. In this case, the data may be encoded as a Galois vector, and the scrambling process could include the application of mathematical operations that involve an inverse. While this method is unsafe when used on its own, it forms the foundation for secure symmetric algorithms like AES and DES when combined with other bit shuffling methods. A two-by-two encryption matrix is used to protect the two data streams, each of which contains 25 bits of binary information which is included in the proposed work. Each cell in the matrix represents an irreducible polynomial of degree 6. Fine-tuning the values of the bits that make up each of the two 25-bit binary data streams using the Discrete Cosine Transform (DCT) with the Advanced Encryption Standard (AES) Method yields two polynomials of degree 6. Optimization is carried out using the Black Widow Optimization technique is used to tune the key generation in the cryptographic processing. By doing so, we can produce two polynomials of the same degree, which was our original aim. Users may also use cryptography to look for signs of tampering, such as whether a hacker obtained unauthorized access to a patient’s medical records and made any changes to them. Cryptography also allows people to look for signs of tampering with data. Indeed, this is another use of cryptography. It also has the added value of allowing users to check for indications of data manipulation. Users may also positively identify faraway people and objects, which is especially useful for verifying a document’s authenticity since it lessens the possibility that it was fabricated. The proposed work achieves higher accuracy of 97.24%, higher throughput of 93.47%, and a minimum decryption time of 0.0047 s. Full article
Show Figures

Figure 1

19 pages, 856 KB  
Article
Unified Singularity Crossing of a 3-(rR)PS Metamorphic Parallel Mechanism through Dynamic Modeling
by Latifah Nurahmi, Dongming Gan and Wega Tama Adi Setya
Machines 2023, 11(3), 361; https://doi.org/10.3390/machines11030361 - 7 Mar 2023
Cited by 5 | Viewed by 2244
Abstract
Metamorphic parallel mechanisms can change into multiple configurations with different motion types and mobility, which consequently yield different solutions of inverse dynamics when crossing singularity. Thus, a unified solution of inverse dynamics to cross singularity becomes important. This solution relies on the consistency [...] Read more.
Metamorphic parallel mechanisms can change into multiple configurations with different motion types and mobility, which consequently yield different solutions of inverse dynamics when crossing singularity. Thus, a unified solution of inverse dynamics to cross singularity becomes important. This solution relies on the consistency condition, the first indeterminate form, and this paper proposes an additional condition by extending into the second indeterminate form. This paper presents unified dynamic models of a 3-(rR)PS metamorphic parallel mechanism to pass through singularities. The analysis is carried out on all three configurations of the 3-(rR)PS metamorphic parallel mechanism. The dynamic models are established using Lagrange formulation, and three conditions to cross singularities are employed. The first condition is based on the consistency condition where the uncontrollable motion should be reciprocal to the wrench matrix. The denominator of inverse Jacobian is its determinant whose value is zero at singularities. This singularity can be discarded by compensating the numerator to be zero. Both the numerator and denominator are null, and this indeterminate form becomes the second condition. Both conditions are sufficient for inverse dynamics of one configuration to pass through singularity, but not for other configurations. Therefore, the second indeterminate form is proposed to be the third condition to be fulfilled. Consequently, the 11th-degree polynomial is required for path planning. The results are presented and confirmed by ADAMS simulation. Full article
(This article belongs to the Special Issue Development and Applications of Parallel Robots)
Show Figures

Figure 1

Back to TopTop