A New Integrated Method to Improve the Computation of the Robotics’ Inverse Kinematics in a Simple and Unified Formula
Abstract
1. Introduction
- We introduce a novel approach for solving and improving the IK solution that is achieved by deriving a new kinematic equation resulting from the integrating of the rotation matrix with a quaternion, utilizing tangent-half angles as a univariate to describe the kinematic modeling of the position and orientation of the robot arm’s end effector (EE) with non-redundant variables.
- We reconstruct the robot’s equations of motion using a non-redundant parameter set, analytically integrating the structural vectors and wrist joint variables with the position variables, without losing any degrees of freedom or changing the working space of the robot arm.
- The proposed approach reduces computational cost by requiring only position variables as inputs; orientation variables are computed independently outside the algorithm.
2. Mathematical Framework for Robot Kinematics Modeling and Limitations of Related Work
2.1. The Kinematics Modeling
2.1.1. Natural Coordinate System
2.1.2. Robot Arm and Wrist Configurations
2.2. Inverse Kinematics of 6R Robot Arms with Wrist Simplification: Related Work
2.2.1. Kinematic Analysis for Wrist Decoupling
2.2.2. Simplification of the Position Equation
2.2.3. Obtaining the Wrist Joint Variables
- Real simplification: The methods mentioned above rely on artificial simplifications, resulting in a redundant computational process for obtaining the actual IK solutions.
- Consideration of workspace: Most approaches do not consider the loss of the workspace due to the simplification from an offset wrist to Euler’s wrist Equation (7), which can lead to failure of the iterative method.
- Use of univariate equations: Indeed, the kinematic systems with univariate polynomial equations have been previously studied [12]. Nevertheless, it is not easy to obtain direct IK solutions from these approaches, as most of these methods need additional tools to obtain the equations’ roots. In addition, they contain some unnecessary solutions that must be eliminated, such as imaginary roots which increase the computational time and cost.
3. Reformulation of the Kinematic Equations
3.1. Modification of the Kinematic Rotation Formula
3.1.1. The Direction Tangent Matrix
3.1.2. The Tangent Quaternion
3.2. Kinematic Modeling of the 6R Robot Arm in a Unified Form
3.2.1. Compact Position Equation of 6R Robot Arm
3.2.2. Simplification of Wrist Variables and Structure
4. A Novel Algorithm for Simplifying 6R Robot Arm Inverse Kinematics
4.1. Position Joint Angles
4.2. Wrist Joint Angles
4.3. IK Solution for 7R Robot Arm with Spherical and Non-Spherical Wrist
4.4. The Inverse Kinematics Solution Algorithm
- Unify the variables from sin/cos to tangent half angles by converting the rotation matrix into a tangent rotation matrix and the desired orientation into a tangent quaternion.
- Separate the wrist’s variables from the position variables, then obtain the structural parameters matrix ().
- Simplify the kinematic position equations by substituting the wrist variables with the position variables.
- Use random or home joint angles as inputs to the simplified position equations to obtain an initial solution, if none is available.
- Calculate the position increment and obtain the synthetically generated errors.
- If the synthetic error is within range, jump to step (viii); otherwise, compute determine the updated values for the three joint variables, and substitute them into the modified position equation for the next iteration.
- Repeat steps (iv∼vi) until the synthetic error reaches the preset criteria () or the number of iterations reaches the maximum set number.
- Obtain the wrist joint variables from Equation (47) after the IK solution of the position joint variables is obtained. The algorithm’s pseudocode is detailed below Algorithm 1:
| Algorithm 1 The IK pseudocode of the algorithm. |
|
5. Numerical Experiments, Simulations, and Practical Applications
5.1. Performance Analysis of a Proposed IK Algorithm for a 5R Robot Arm
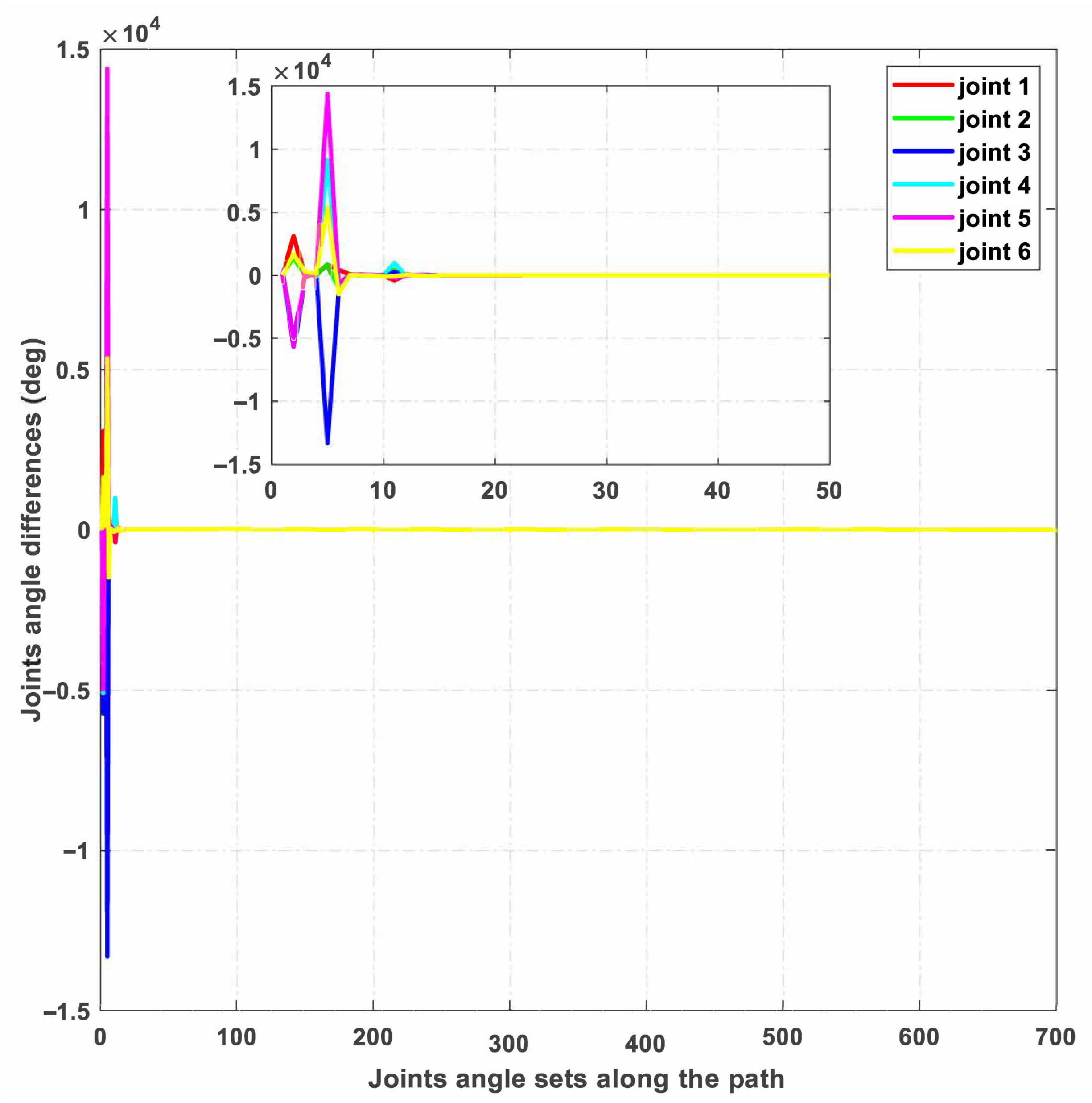
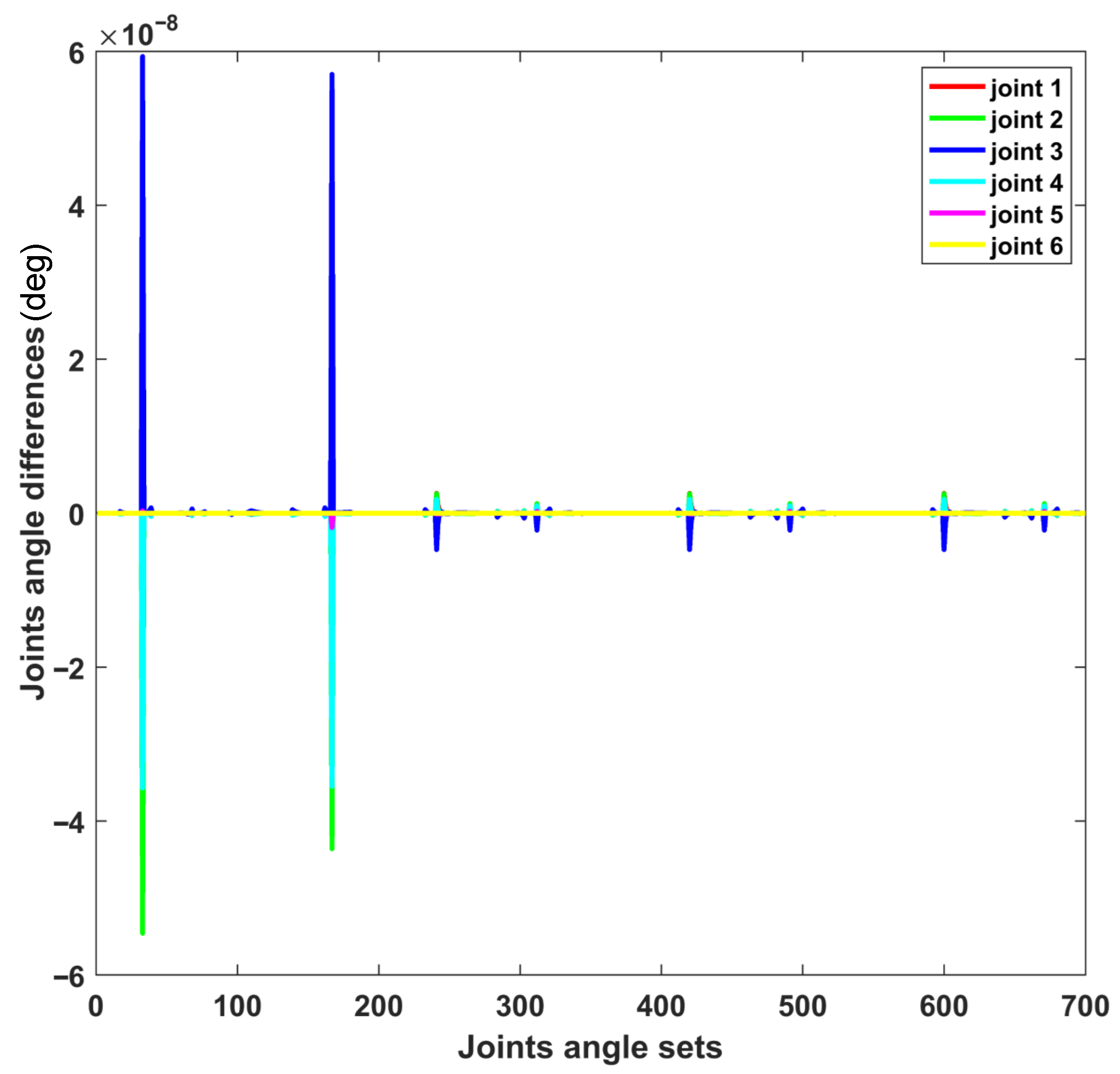
5.2. Solving Inverse Kinematics of the 6R Industrial Robot Arm UR10
5.3. Comparative Analysis of Inverse Kinematics Methods
5.3.1. Comparing with NR and DLS Algorithm UR-10
5.3.2. Comparative Performance of Traditional and Proposed Inverse Kinematics Methods
5.4. Simulation and Practical Application of Trajectory Planning
5.4.1. Simulation
5.4.2. Practical Application
6. Conclusions
Supplementary Materials
Author Contributions
Funding
Informed Consent Statement
Data Availability Statement
Acknowledgments
Conflicts of Interest
Nomenclature and Abbreviations
| Symbols | Definition | Symbols | Definition | Symbols | Definition |
| Length and offset of link | Axis vector of link | skew- symmetric matrix of () | |||
| Rotation matrix | Quaternion vector part | Structural parameter matrix | |||
| Tangent quaternion | Tangent half-angle | Modulus squares | |||
| Scalar part of quaternion | Orientation error | Position error | |||
| Position vector | Desired position | Desired attitude | |||
| identity matrix | zero vector | Matrix of adjacent wrist axes |
| DTM | Direction tangent matrix |
| DCM | Direction cosine matrix |
| DOF | Degrees of freedom |
| IK | Inverse kinematic |
| FK | Forward kinematic |
| EE | End effector |
| INS | Initial solution |
Appendix A
- The linear Jacobian is a (3 ) matrix, and () denotes the DOF of the robot arm, represented as follows:where,
- The angular Jacobian is (3 ) matrix is donated aswhere i = 1,2... 6 and is the transformation rotation matrix, which represents the direction of the joint axis rotation and it give the 3-rd column of [16].
References
- Haslwanter, T. 3D Kinematics; Springer Nature: Cham, Switzerland, 2018; pp. 15–191. [Google Scholar] [CrossRef]
- Angeles, J. Fundamentals of Robotic Mechanical Systems: Theory, Methods, and Algorithms; Springer: Berlin/Heidelberg, Germany, 2014. [Google Scholar] [CrossRef]
- Abdolraheem, K.; Yang, J.; Xiao, L. Nmf-dunet: Nonnegative matrix factorization inspired deep unrolling networks for hyperspectral and multispectral image fusion. IEEE J. Sel. Appl. Earth Obs. Remote Sens. 2022, 15, 5704–5720. [Google Scholar] [CrossRef]
- Damos, M.A.; Zhu, J.; Li, W.; Khalifa, E.; Hassan, A.; Elhabob, R.; Hm, A.; Ei, E. Enhancing the K-Means Algorithm through a Genetic Algorithm Based on Survey and Social Media Tourism Objectives for Tourism Path Recommendations. ISPRS Int. J. Geo-Inf. 2024, 13, 40. [Google Scholar] [CrossRef]
- Aristidou, A.; Lasenby, J. Inverse Kinematics: A Review of Existing Techniques and Introduction of a New Fast Iterative Solver. 2009. Available online: https://www.researchgate.net/profile/Andreas-Aristidou/publication/273166356_Inverse_Kinematics_a_review_of_existing_techniques_and_introduction_of_a_new_fast_iterative_solver/links/54faeca10cf20b0d2cb8782b/Inverse-Kinematics-a-review-of-existing-techniques-and-introduction-of-a-new-fast-iterative-solver.pdf (accessed on 20 May 2025).
- Hjorth, S.; Chrysostomou, D. Human-robot collaboration in industrial environments: A literature review on non-destructive disassembly. Robot. Comput.-Integr. Manuf. 2022, 73, 102208. [Google Scholar] [CrossRef]
- Pieper, D.L. The Kinematics of Manipulators Under Computer Control. Ph.D. Thesis, Stanford University, Stanford, CA, USA, 1969. [Google Scholar]
- Ahmed, A.; Yu, M.; Chen, F. Inverse kinematic solution of 6-dof robot-arm based on dual quaternions and axis invariant methods. Arab. J. Sci. Eng. 2022, 47, 15915–15930. [Google Scholar] [CrossRef]
- Hentout, A.; Aouache, M.; Maoudj, A.; Akli, I. Human-robot interaction in industrial collaborative robotics: A literature review of the decade 2008–2017. Adv. Robot. 2019, 33, 764–799. [Google Scholar] [CrossRef]
- Abbes, M.; Poisson, G. Geometric Approach for Inverse Kinematics of the FANUC CRX Collaborative Robot. Robotics 2024, 13, 91. [Google Scholar] [CrossRef]
- Kucuk, S.; Bingul, Z. Inverse kinematics solutions for industrial robot manipulators with offset wrists. Appl. Math. Model. 2014, 38, 1983–1999. [Google Scholar] [CrossRef]
- Raghavan, M.; Roth, B. Inverse Kinematics of the General 6R Manipulator and Related Linkages. ASME J. Mech. Des. 1993, 115, 502–508. [Google Scholar] [CrossRef]
- Vito, D.D.; Natale, C.; Antonelli, G. A comparison of damped least squares algorithms for inverse kinematics of robot manipulators. IFAC-PapersOnLine 2017, 50, 6869–6874. [Google Scholar] [CrossRef]
- Sugihara, T. Solvability-unconcerned inverse kinematics by the levenberg-marquardt method. IEEE Trans. Robot. 2011, 27, 984–991. [Google Scholar] [CrossRef]
- Funda, J.; Taylor, R.H.; Paul, R.P. On homogeneous transforms, quaternions, and computational efficiency. IEEE Trans. Robot. Autom. 1990, 6, 382–388. [Google Scholar] [CrossRef]
- Corke, P. Robotics, Vision and Control: Fundamental Algorithms in MATLAB® Second, Completely Revised; Springer: Berlin/Heidelberg, Germany, 2017; Volume 118. [Google Scholar] [CrossRef]
- Guzman-Gimenez, J.; Valera Fernandez, A.; Mata Amela, V.; Díaz-Rodríguez, M.Á. Automatic selection of the Gröbner Basis’ monomial order employed for the synthesis of the inverse kinematic model of non-redundant open-chain robotic systems. Mech. Based Des. Struct. Mach. 2023, 51, 2458–2480. [Google Scholar] [CrossRef]
- Lee, C.; Ziegler, M. Geometric approach in solving inverse kinematics of puma robots. IEEE Trans. Aerosp. Electron. Syst. 1984, 6, 695–706. [Google Scholar] [CrossRef]
- Wu, L.; Yang, X.; Miao, D.; Xie, Y.; Chen, K. Inverse kinematics of a class of 7r 6-dof robots with non-spherical wrist. In Proceedings of the IEEE International Conference on Mechatronics and Automation, Takamatsu, Japan, 4–7 August 2013; pp. 69–74. [Google Scholar] [CrossRef]
- Wang, X.; Zhang, D.; Zhao, C. Inverse kinematics of a 7r 6-dof robot with nonspherical wrist based on transformation into the 6r robot. Math. Probl. Eng. 2017, 2017, 2074137. [Google Scholar] [CrossRef]
- Zhou, X.; Xian, Y.; Chen, Y.; Chen, T.; Yang, L.; Chen, S.; Huang, J. An improved inverse kinematics solution for 6-dof robot manipulators with offset wrists. Robotica 2022, 40, 2275–2294. [Google Scholar] [CrossRef]
- Toz, M. Chaos-based vortex search algorithm for solving inverse kinematics problem of serial robot manipulators with offset wrist. Appl. Soft Comput. 2020, 89, 106074. [Google Scholar] [CrossRef]
- Li, J.; Yu, H.; Shen, N.; Zhong, Z.; Lu, Y.; Fan, J. A novel inverse kinematics method for 6-dof robots with non-spherical wrist. Mech. Mach. Theory 2021, 57, 104180. [Google Scholar] [CrossRef]
- Dai, J.S. Euler-rodrigues formula variations, quaternion conjugation and intrinsic connections. Mech. Mach. Theory 2015, 92, 144–152. [Google Scholar] [CrossRef]
- Xu, J.; Song, K.; He, Y.; Dong, Z.; Yan, Y. Inverse kinematics for 6-dof serial manipulators with offset or reduced wrists via a hierarchical iterative algorithm. IEEE Access 2018, 6, 52899–52910. [Google Scholar] [CrossRef]
- Ahmed, A.; Ju, H.; Yang, Y.; Xu, H. An Improved Unit Quaternion for Attitude Alignment and Inverse Kinematic Solution of the Robot Arm Wrist. Machines 2023, 11, 669. [Google Scholar] [CrossRef]
- Wahballa, H.; Ahmed, A.; Duan, J.; Chen, X.; Weining, L. Force tracking in robotic control systems using an online work object stiffness hybrid impedance PI control approach. Results Eng. 2025, 26, 105520. [Google Scholar] [CrossRef]
- Tatar, A.B. W-Leg Jumping Robot: Mechanical Design, Dynamical Analysis and Simulation of Jumping Dual Wheel-Leg Hybrid Robot. Arab. J. Sci. Eng. 2024, 49, 15463–15481. [Google Scholar] [CrossRef]
- Wahballa, H.; Ahmed, A.; Mustafa, G.I.Y.; Gibreel, M.; Weining, L. Robotic Contact on Complex Curved Surfaces Using Adaptive Trajectory Planning Through Precise Force Control. Machines 2025, 13, 794. [Google Scholar] [CrossRef]
- Gibbs, J.W. Quaternions and vector analysis. Nature 1893, 48, 364–367. [Google Scholar] [CrossRef]


















| Operation | Definition |
|---|---|
| Scalar multiplication | |
| Unit quaternion | |
| Direction quaternion | |
| Conjugate and inverse | |
| Multiplication |
| Axes | Axis Vector | Position Vector (m) | ||||
|---|---|---|---|---|---|---|
| No. | ||||||
| 1 | 0 | 0 | 1 | 0.0 | 0.0 | 0.1833 |
| 2 | 0 | 1 | 0 | 0.7373 | 0.0 | 0.0 |
| 3 | 0 | 1 | 0 | 0.0 | −0.1723 | 0.3878 |
| 4 | 0 | 1 | 0 | 0.1155 | 0.0 | 0.0 |
| 5 | 0 | 0 | 1 | 0.0 | 0.0995 | 0.0 |
| Statistical Analysis | Joint 1 | Joint 2 | Joint 3 | Joint 4 | Joint 5 |
|---|---|---|---|---|---|
| Min | |||||
| Max | |||||
| Mean | |||||
| Std |
| Axes | Axis Vector | Position Vector (m) | ||||
|---|---|---|---|---|---|---|
| No. | ||||||
| 1 | 0 | 0 | 1 | 0.0 | 0.0 | 0.089 |
| 2 | 0 | −1 | 0 | 0.425 | 0.0 | 0.0 |
| 3 | 0 | −1 | 0 | 0.392 | 0.0 | 0.0 |
| 4 | 0 | −1 | 0 | 0.0 | −0.109 | 0.0 |
| 5 | 0 | 0 | 1 | 0.0 | 0.0 | 0.094 |
| 6 | 0 | −1 | 0 | 0.0 | −0.161 | 0.0 |
| IK Solution Joint Angles (Deg) | ||||||
|---|---|---|---|---|---|---|
| No. | ||||||
| 1 | −42.1383 | 135.8865 | 107.9325 | −112.77 | 73.04824 | 6.527121 |
| 2 | −42.1383 | −126.811 | −107.932 | 5.7919 | 73.04824 | 6.527121 |
| 3 | −42.1383 | 176.9473 | −46.6189 | −272.608 | −73.0485 | −173.564 |
| 4 | −42.1383 | 44.48952 | 46.61868 | −70.3628 | 81.60569 | −20.978 |
| 5 | 100.7149 | −139.901 | −107.319 | 137.4768 | −73.0485 | −173.564 |
| 6 | 100.7149 | 307.6839 | 107.3192 | −171.804 | −81.6059 | −20.978 |
| 7 | 100.7149 | 3.111478 | −47.4185 | 91.2056 | −81.6059 | 159.1134 |
| 8 | 100.7149 | 319.2229 | 47.41836 | −40.258 | 81.60569 | 159.1134 |
| Statistical Analysis | Joint 1 | Joint 2 | Joint 3 | Joint 4 | Joint 5 | Joint 6 |
|---|---|---|---|---|---|---|
| Min | ||||||
| Max | ||||||
| Mean | ||||||
| Std |
| Poses | Joint 1 | Joint 2 | Joint 3 | Joint 4 | Joint 5 | Joint 6 |
|---|---|---|---|---|---|---|
| Pose I | ||||||
| Pose II | ||||||
| Pose III | ||||||
| Pose IV |
| Poses | Method | Time (s) | IK Solutions of the Joint Angles | |||||
|---|---|---|---|---|---|---|---|---|
| Pose I | INS | 0.0 | −18.05 | −115.97 | −112.57 | −50.94 | 86.93 | −17.8 |
| NR | 0.02 | −13.81 | −129.48 | −86.1 | −64.1 | 87.63 | −13.61 | |
| DLS | 0.187 | 13.18 | −132.41 | −87.9 | −58.25 | 91.98 | 13.08 | |
| PM | 0.002 | −13.81 | −129.48 | −86.10 | −46.10 | 87.63 | −13.61 | |
| Pose II | INS | 0.0 | 45.08 | −132.73 | −93.82 | −50.51 | 97.02 | 44.65 |
| NR | 0.035 | 44.13 | −134.2 | −91.86 | −51.12 | 96.91 | 43.7 | |
| DLS | 0.5 | 44.61 | −133.46 | −92.84 | −50.82 | 96.97 | 44.18 | |
| PM | 0.0017 | 43.18 | −135.67 | −89.89 | −51.74 | 96.80 | 42.74 | |
| Pose III | INS | 0.0 | 53.66 | −119.51 | −111.48 | −44.94 | 98 | 53.25 |
| NR | 0.0065 | 54.14 | −118.78 | −112.46 | −44.63 | 98.05 | 53.73 | |
| DLS | 0.265 | 50.11 | −116.74 | −114.53 | −44.76 | 97.4 | 56.28 | |
| PM | 0.0036 | 55.09 | −117.31 | −114.43 | −44.01 | 98.16 | 54.68 | |
| Pose IV | INS | 0.0 | 0 | 0 | 0 | 0 | 0 | 0 |
| NR | - | - | - | - | - | - | - | |
| DLS | 2.455 | 18.69 | 251.08 | −115.93 | −55.18 | 273.7 | 78.2 | |
| PM | 0.0005 | −18.37 | −114.97 | −114.53 | −49.97 | 86.87 | −18.11 | |
| Algorithm | Position | Orientation Error | Computation | Avg. Iterations | Error | Remarks |
|---|---|---|---|---|---|---|
| Error (mm) | Error (deg) | Time (s) | to Converge | Tolerance (m) | ||
| NR | 0.002207 | 0.04882 | 0.0205 | 6–10 | Fast & Unstable | |
| DLS | 0.004312 | 0.20903 | 0.8518 | 8–12 | Stable & Slower | |
| PM | 0.000009 | 0.000002 | 0.0015 | 2–4 | Fast & stable |
| Poses | Desired Position | Desired Orientation |
|---|---|---|
| Pose I | ||
| Pose II | ||
| Pose III | ||
| Pose IV |
Disclaimer/Publisher’s Note: The statements, opinions and data contained in all publications are solely those of the individual author(s) and contributor(s) and not of MDPI and/or the editor(s). MDPI and/or the editor(s) disclaim responsibility for any injury to people or property resulting from any ideas, methods, instructions or products referred to in the content. |
© 2025 by the authors. Licensee MDPI, Basel, Switzerland. This article is an open access article distributed under the terms and conditions of the Creative Commons Attribution (CC BY) license (https://creativecommons.org/licenses/by/4.0/).
Share and Cite
Ahmed, A.; Ju, H.; Yang, Y.; Wahballa, H.; Mustafa, G.I.Y. A New Integrated Method to Improve the Computation of the Robotics’ Inverse Kinematics in a Simple and Unified Formula. Machines 2025, 13, 1073. https://doi.org/10.3390/machines13121073
Ahmed A, Ju H, Yang Y, Wahballa H, Mustafa GIY. A New Integrated Method to Improve the Computation of the Robotics’ Inverse Kinematics in a Simple and Unified Formula. Machines. 2025; 13(12):1073. https://doi.org/10.3390/machines13121073
Chicago/Turabian StyleAhmed, Abubaker, Hehua Ju, Yang Yang, Hosham Wahballa, and Ghazally I. Y. Mustafa. 2025. "A New Integrated Method to Improve the Computation of the Robotics’ Inverse Kinematics in a Simple and Unified Formula" Machines 13, no. 12: 1073. https://doi.org/10.3390/machines13121073
APA StyleAhmed, A., Ju, H., Yang, Y., Wahballa, H., & Mustafa, G. I. Y. (2025). A New Integrated Method to Improve the Computation of the Robotics’ Inverse Kinematics in a Simple and Unified Formula. Machines, 13(12), 1073. https://doi.org/10.3390/machines13121073

