Sign in to use this feature.

Years

Between: -

Subjects

remove_circle_outline
remove_circle_outline
remove_circle_outline
remove_circle_outline
remove_circle_outline

Journals

Article Types

Countries / Regions

Search Results (40)

Search Parameters:
Keywords = intra-articular collagen

Order results
Result details
Results per page
Select all
Export citation of selected articles as:
17 pages, 4341 KB  
Article
Moon Jellyfish Mucin and Collagen Attenuate Catabolic Activity in Chondrocytes but Show Limited Efficacy in an Osteoarthritis Rat Model
by Haruka Omura, Eriko Toyoda, Takayuki Baba, Ryoka Uchiyama, Masahiko Watanabe and Masato Sato
Int. J. Mol. Sci. 2025, 26(22), 10920; https://doi.org/10.3390/ijms262210920 - 11 Nov 2025
Viewed by 311
Abstract
Cartilage regeneration has long been a major challenge in the treatment of osteoarthritis (OA). Aiming to develop a simple outpatient treatment for knee OA, we have demonstrated the potential of combining Nomura’s jellyfish mucin (JM) and hyaluronic acid (HA) to contribute to cartilage [...] Read more.
Cartilage regeneration has long been a major challenge in the treatment of osteoarthritis (OA). Aiming to develop a simple outpatient treatment for knee OA, we have demonstrated the potential of combining Nomura’s jellyfish mucin (JM) and hyaluronic acid (HA) to contribute to cartilage repair and regeneration in chondrocytes. In this study, we examined the effects of moon jellyfish JM and jellyfish collagen (JC) on chondrocytes. Polydactyly-derived chondrocytes (PDs), obtained from polydactyly surgery, were used. PDs were cultured in media supplemented with JM or JC, harvested, and evaluated by RT-qPCR. The effects of simultaneous addition of the inflammatory cytokine IL-1β were also examined. Furthermore, the effects on rat articular cartilage were investigated. A mono-iodoacetate (MIA) model was created by intra-articular injection in 6-week-old rats, followed by four intra-articular injections. Evaluations were performed using macroscopic observation and histological assessment with the OARSI scoring system. In vitro, the addition of JM or JC significantly affected the expression of ACAN, MMP3, and ADAMTS5. However, in vivo, intra-articular injection of JM alone did not significantly suppress cartilage degeneration in MIA-induced OA model rats. Both JM and JC may contribute to the suppression of cartilage degeneration as well as to cartilage repair and regeneration, even in the absence of HA. However, further studies are needed to clarify the optimal conditions, such as dosage, timing, and delivery method, that are required to achieve these effects in articular cartilage. Full article
(This article belongs to the Special Issue Molecular Mechanisms and Therapeutic Approaches to Osteoarthritis)
Show Figures

Figure 1

15 pages, 4708 KB  
Article
mRNA-Based Combination Therapy for Inflammation-Driven Osteoarthritis Induced by Monosodium Iodoacetate
by Yuki Terai, Erica Yada, Hideyuki Nakanishi and Keiji Itaka
Pharmaceutics 2025, 17(10), 1254; https://doi.org/10.3390/pharmaceutics17101254 - 24 Sep 2025
Viewed by 871
Abstract
Background/Objectives: Osteoarthritis (OA) is a progressive joint disease characterized by inflammation, cartilage degradation, and subchondral bone changes, for which effective disease-modifying therapies are lacking. Messenger RNA (mRNA)-based therapeutics offer a versatile approach to modulate joint pathology, but their application to OA remains limited. [...] Read more.
Background/Objectives: Osteoarthritis (OA) is a progressive joint disease characterized by inflammation, cartilage degradation, and subchondral bone changes, for which effective disease-modifying therapies are lacking. Messenger RNA (mRNA)-based therapeutics offer a versatile approach to modulate joint pathology, but their application to OA remains limited. Methods: We evaluated intra-articular delivery of therapeutic mRNAs using polyplex nanomicelles, a non-inflammatory and minimally invasive carrier system, in a rat model of inflammation-driven OA induced by monosodium iodoacetate (MIA). Results: IL-1 receptor antagonist (IL-1Ra) mRNA reduced synovial inflammation and alleviated pain and swelling. RUNX1 mRNA, a transcription factor critical for chondrogenesis, supported chondrocyte viability, type II collagen expression, and cartilage structure. Under conditions of pronounced inflammation, however, the protective effects of RUNX1 mRNA alone were modest. Notably, combined administration of IL-1Ra and RUNX1 mRNAs produced synergistic therapeutic benefits, with enhanced chondroprotection and preservation of subchondral bone integrity. Conclusions: These findings suggest that while RUNX1 is essential for maintaining cartilage homeostasis, effective control of joint inflammation is required for its therapeutic activity. Dual mRNA therapy delivered by polyplex nanomicelles therefore represents a promising strategy to address the multifactorial pathology of OA. Full article
Show Figures

Figure 1

23 pages, 4540 KB  
Brief Report
Injectable Porcine Collagen in Musculoskeletal Disorders: A Delphi Consensus
by Orazio De Lucia, Federico Giarda, Andrea Bernetti, Chiara Ceccarelli, Giulia Letizia Mauro, Fabrizio Gervasoni, Lisa Berti and Antonio Robecchi Majnardi
J. Clin. Med. 2025, 14(17), 6058; https://doi.org/10.3390/jcm14176058 - 27 Aug 2025
Cited by 1 | Viewed by 1265
Abstract
Background/Objectives: Musculoskeletal disorders causing chronic pain are increasingly prevalent due to factors such as injury, overuse, and aging, leading to interest in porcine collagen injections as a potential therapeutic and conservative option. Despite promising results, evidence-based information on this treatment is scarce. To [...] Read more.
Background/Objectives: Musculoskeletal disorders causing chronic pain are increasingly prevalent due to factors such as injury, overuse, and aging, leading to interest in porcine collagen injections as a potential therapeutic and conservative option. Despite promising results, evidence-based information on this treatment is scarce. To address this gap, the authors conducted an eDelphi consensus among expert Italian physicians in musculoskeletal pain to gather their perspectives on collagen injections. Methods: A Steering Committee and a Panel of 23 physicians developed the statements list (36) including the modalities, safety, and efficacy of intra- and extra-articular collagen injections. Panelists rated their agreement with each statement on a 5-point Likert scale (5 means “Strong Agreement”). Consensus was defined as when at least 75% of the panelists voted with a score of ≥4/5 after two rounds of votes. The weighted average (WA) was calculated for each statement. As control, we elaborated a Hypothetical Parametric Distribution (HPD WA equal to 3.00), where the percent of panelists is equally distributed along each Likert Scale Value (LSV). The maximum WA for 75% of the consensus is established at 3.75. Indeed, the combination of 75% having WA > 3.75 was defined as “Strong Agreement”. While, if the consensus was under 75%, the WA vs. HPD comparison was performed using the Wilcoxon Test. Significant differences among the distribution of LSVs judged the statement as “Low Level of Agreement”. Disagreement was evaluated when the WA was under the PHD. Results: The consensus was reached “Strong Agreement” after twin rounds in 29 out of 36 (8.55%). In 5 out of 36 statements (13.89%), the panelists reached the “Low Level of Agreement” by statistical tests. In the remaining two statements, there was a “Consensus of Disagreement”. All panelists unanimously agreed on crucial points, such as contraindications, non-contraindication based solely on comorbidity, and the importance of monitoring collagen’s effectiveness. Unanimous agreement was reached on recommending ultrasound guidance and associating collagen injections with therapeutic exercise and physical modalities. Substantial consensus (concordance > 90%) supported collagen injections for osteoarthritis, chondropathy, and degenerative tendinopathies, emphasizing intra- and peri-articular treatment, even simultaneously. However, areas with limited evidence, such as the combination of collagen with other injectable drugs, treatment of myofascial syndrome, and injection frequency, showed disagreement. The potential of intra-tendinous porcine collagen injections for tendon regeneration yielded mixed results. Conclusions: Clinicians experts in musculoskeletal pain agree on using collagen injections to treat pain originating from joints (e.g., osteoarthritis) and periarticular (e.g., tendinopathies). Full article
Show Figures

Figure 1

15 pages, 2605 KB  
Article
Dual-Compartment Anti-Inflammatory and Chondroprotective Effects of Intra-Articular Hydrolyzed Collagen in Experimental Osteoarthritis
by Mustafa Dinç, Ömer Cevdet Soydemir, Recep Karasu, Aysun Saricetin and Hunkar Cagdas Bayrak
Medicina 2025, 61(8), 1461; https://doi.org/10.3390/medicina61081461 - 14 Aug 2025
Viewed by 1114
Abstract
Background and Objectives: Osteoarthritis (OA) is a degenerative joint disease involving inflammation, oxidative stress, and extracellular matrix (ECM) degradation, leading to cartilage damage and joint dysfunction. This study aimed to evaluate the chondroprotective effects of intra-articular hydrolyzed collagen in a rat model [...] Read more.
Background and Objectives: Osteoarthritis (OA) is a degenerative joint disease involving inflammation, oxidative stress, and extracellular matrix (ECM) degradation, leading to cartilage damage and joint dysfunction. This study aimed to evaluate the chondroprotective effects of intra-articular hydrolyzed collagen in a rat model of knee OA using a dual-compartment biochemical and histological approach. Materials and Methods: Twenty male Sprague-Dawley rats underwent ACL transection to induce osteoarthritis and were randomly assigned to receive intra-articular hydrolyzed collagen or saline once weekly for three weeks. At six weeks, knee joints were evaluated histologically using the Mankin score. Synovial fluid and cartilage homogenates were analyzed via enzyme-linked immunosorbent assay (ELISA) for cytokines, cartilage degradation markers, and oxidative stress indicators. Results: The collagen-treated group demonstrated significantly lower Mankin scores. Levels of pro-inflammatory cytokines, interleukin-1 beta (IL-1β), interleukin-6 (IL-6), and tumor necrosis factor-alpha (TNF-α), as well as cartilage degradation markers, matrix metalloproteinase-13 (MMP-13), C-terminal crosslinked telopeptide of type II collagen (CTX-II), and cartilage oligomeric matrix protein (COMP), were significantly reduced (p < 0.05). Additionally, oxidative stress indicators including inducible nitric oxide synthase (iNOS), total oxidant status (TOS), and oxidative stress index (OSI) were decreased, while total antioxidant status (TAS) was increased in both synovial fluid and cartilage homogenates (p < 0.05). Conclusions: Intra-articular hydrolyzed collagen reduced inflammation, oxidative stress, and extracellular matrix (ECM) degradation, indicating potential chondroprotective effects across both synovial and cartilage compartments. Full article
(This article belongs to the Section Orthopedics)
Show Figures

Figure 1

13 pages, 689 KB  
Article
Clinical Efficacy and Safety of Two Cycles of Intra-Articular Injection of Porcine Atelocollagen Versus Hyaluronic Acid in Knee Osteoarthritis
by Yong In, Keun Young Choi and Man Soo Kim
Bioengineering 2025, 12(7), 710; https://doi.org/10.3390/bioengineering12070710 - 29 Jun 2025
Viewed by 3425
Abstract
(1) Background: Knee osteoarthritis (KOA) induces pain, stiffness, and impaired mobility, particularly in aging populations. Despite providing symptom relief, the long-term efficacy of intra-articular hyaluronic acid (HA) injections remains unclear. With its longer intra-articular residence time and potential chondroprotective effects, porcine-derived atelocollagen is [...] Read more.
(1) Background: Knee osteoarthritis (KOA) induces pain, stiffness, and impaired mobility, particularly in aging populations. Despite providing symptom relief, the long-term efficacy of intra-articular hyaluronic acid (HA) injections remains unclear. With its longer intra-articular residence time and potential chondroprotective effects, porcine-derived atelocollagen is an alternative to HA. We aimed to compare the safety and efficacy of collagen versus HA injections in symptomatic KOA. (2) Methods: This retrospective observational study included 40 patients with KOA who received either two cycles of collagen or HA injections at 6-month intervals. Clinical outcomes were assessed using the visual analog scale (VAS) and the Western Ontario and McMaster Universities Osteoarthritis Index (WOMAC) at baseline and 6 months after the first and second injections (Cycle 1 and Cycle 2, respectively). Patient satisfaction and adverse events were recorded. Non-inferiority analysis was conducted for VAS and WOMAC score changes. (3) Results: Significant intragroup improvements in VAS and WOMAC scores were noted after each injection cycle (p < 0.05), albeit without significant between-group differences, non-inferiority of collagen to HA based on predefined margins, and comparable patient-reported satisfaction (>85% reported improvement after each cycle), with similar incidence of mild adverse events (collagen: 20%, HA: 25%, p = 0.705). (4) Conclusions: Intra-articular collagen injections were clinically non-inferior to HA in reducing pain and improving function in patients with KOA across two treatment cycles. Given its favorable safety profile and potential structural benefits, collagen may serve as a viable alternative injectable therapy for the non-surgical management of KOA. Full article
Show Figures

Figure 1

22 pages, 5948 KB  
Article
Extracellular Vesicles Derived from Human Umbilical Mesenchymal Stem Cells Transfected with miR-7704 Improved Damaged Cartilage and Reduced Matrix Metallopeptidase 13
by Kun-Chi Wu, Hui-I Yang, Yu-Hsun Chang, Raymond Yuh-Shyan Chiang and Dah-Ching Ding
Cells 2025, 14(2), 82; https://doi.org/10.3390/cells14020082 - 9 Jan 2025
Cited by 5 | Viewed by 1533
Abstract
We aimed to explore the therapeutic efficacy of miR-7704-modified extracellular vesicles (EVs) derived from human umbilical cord mesenchymal stem cells (HUCMSCs) for osteoarthritis (OA) treatment. In vitro experiments demonstrated the successful transfection of miR-7704 into HUCMSCs and the isolation of EVs from these [...] Read more.
We aimed to explore the therapeutic efficacy of miR-7704-modified extracellular vesicles (EVs) derived from human umbilical cord mesenchymal stem cells (HUCMSCs) for osteoarthritis (OA) treatment. In vitro experiments demonstrated the successful transfection of miR-7704 into HUCMSCs and the isolation of EVs from these cells. In vivo experiments used an OA mouse model to assess the effects of the injection of miR-7704-modified EVs intra-articularly. Walking capacity (rotarod test), cartilage morphology, histological scores, and the expression of type II collagen, aggrecan, interleukin-1 beta, and matrix metalloproteinase 13 (MMP13) in the cartilage were evaluated. The EVs were characterized to confirm their suitability for therapeutic use. IL-1beta-treated chondrocytes increased type II collagen and decreased MMP13 after treatment with miR-7704-overexpressed EVs. In vivo experiments revealed that an intra-articular injection of miR-7704-overexpressed EVs significantly improved walking capacity, preserved cartilage morphology, and resulted in higher histological scores compared to in the controls. Furthermore, the decreased expression of MMP13 in the cartilage post treatment suggests a potential mechanism for the observed therapeutic effects. Therefore, miR-7704-overexpressed EVs derived from HUCMSCs showed potential as an innovative therapeutic strategy for treating OA. Further investigations should focus on optimizing dosage, understanding mechanisms, ensuring safety and efficacy, developing advanced delivery systems, and conducting early-phase clinical trials to establish the therapeutic potential of HUCMSC-derived EVs for OA management. Full article
Show Figures

Graphical abstract

21 pages, 10821 KB  
Article
Therapeutic Potential of Olfactory Ensheathing Cells and Adipose-Derived Stem Cells in Osteoarthritis: Insights from Preclinical Studies
by Yu-Hsun Chang, Kun-Chi Wu, Chih-Jung Hsu, Tsui-Chin Tu, Mei-Chun Liu, Raymond Yuh-Shyan Chiang and Dah-Ching Ding
Cells 2024, 13(15), 1250; https://doi.org/10.3390/cells13151250 - 25 Jul 2024
Cited by 1 | Viewed by 2074
Abstract
Olfactory-ensheathing cells (OECs) are known for their role in neuronal regeneration and potential to promote tissue repair. Adipose-derived stem cells (ADSCs), characterized by mesenchymal stem cell (MSC) traits, display a fibroblast-like morphology and express MSC surface markers, making them suitable for regenerative therapies [...] Read more.
Olfactory-ensheathing cells (OECs) are known for their role in neuronal regeneration and potential to promote tissue repair. Adipose-derived stem cells (ADSCs), characterized by mesenchymal stem cell (MSC) traits, display a fibroblast-like morphology and express MSC surface markers, making them suitable for regenerative therapies for osteoarthritis (OA). In this study, OECs and ADSCs were derived from tissues and characterized for their morphology, surface marker expression, and differentiation capabilities. Collagenase-induced OA was created in 10-week-old C57BL/6 mice, followed by intra-articular injections of ADSCs (1 × 105), OECs (1 × 105), or a higher dose of OECs (5 × 105). Therapeutic efficacy was evaluated using rotarod performance tests, MRI, histology, and immunohistochemistry. Both cell types exhibited typical MSC characteristics and successfully differentiated into adipocytes, osteoblasts, and chondrocytes, confirmed by gene expression and staining. Transplantation significantly improved rotarod performance and preserved cartilage integrity, as seen in MRI and histology, with reduced cartilage destruction and increased chondrocytes. Immunohistochemistry showed elevated type II collagen and aggrecan in treated joints, indicating hyaline cartilage formation, and reduced MMP13 and IL-1β expression, suggesting decreased inflammation and catabolic activity. These findings highlight the regenerative potential of OECs and ADSCs in treating OA by preserving cartilage, promoting chondrocyte proliferation, and reducing inflammation. Further research is needed to optimize delivery methods and evaluate long-term clinical outcomes. Full article
Show Figures

Figure 1

14 pages, 2051 KB  
Article
S-Equol Ameliorates Menopausal Osteoarthritis in Rats through Reducing Oxidative Stress and Cartilage Degradation
by Yu-Chen Hu, Tzu-Ching Huang, Li-Wen Huang, Hsiao-Ling Cheng, Bau-Shan Hsieh and Kee-Lung Chang
Nutrients 2024, 16(14), 2364; https://doi.org/10.3390/nu16142364 - 21 Jul 2024
Cited by 8 | Viewed by 3605
Abstract
Osteoarthritis (OA) is a chronic degenerative disease leading to articular cartilage destruction. Menopausal and postmenopausal women are susceptible to both OA and osteoporosis. S-equol, a soy isoflavone-derived molecule, is known to reduce osteoporosis in estrogen-deficient mice, but its role in OA remains unknown. [...] Read more.
Osteoarthritis (OA) is a chronic degenerative disease leading to articular cartilage destruction. Menopausal and postmenopausal women are susceptible to both OA and osteoporosis. S-equol, a soy isoflavone-derived molecule, is known to reduce osteoporosis in estrogen-deficient mice, but its role in OA remains unknown. This study aimed to explore the effect of S-equol on different degrees of menopausal OA in female Sprague–Dawley (SD) rats induced by estrogen deficiency caused by bilateral ovariectomy (OVX) combined with intra-articular injection of mono-iodoacetate (MIA). Knee joint histopathological change; serum biomarkers of bone turnover, including N-terminal propeptide of type I procollagen (PINP), C-terminal telopeptide of type I collagen (CTX-I) and N-terminal telopeptide of type I collagen (NTX-I); the cartilage degradation biomarkers hyaluronic acid (HA) and N-terminal propeptide of type II procollagen (PIINP); and the matrix-degrading enzymes matrix metalloproteinases (MMP)-1, MMP-3 and MMP-13, as well as the oxidative stress-inducing molecules nitric oxide (NO) and hydrogen peroxide (H2O2), were assessed for evaluation of OA progression after S-equol supplementation for 8 weeks. The results showed that OVX without or with MIA injection induced various severity levels of menopausal OA by increasing pathological damage, oxidative stress, and cartilage matrix degradation to various degrees. Moreover, S-equol supplementation could significantly reduce these increased biomarkers in different severity levels of OA. This indicates that S-equol can lessen menopausal OA progression by reducing oxidative stress and the matrix-degrading enzymes involved in cartilage degradation. Full article
(This article belongs to the Special Issue The Role of Nutrition in Osteoarthritis Development)
Show Figures

Figure 1

16 pages, 23556 KB  
Article
The Therapeutic Potential of Intra-Articular Injection of Synthetic Deer Antler Peptides in a Rat Model of Knee Osteoarthritis
by Yu-Chou Hung, Li-Jin Chen, Jen-Hung Wang, Tsung-Jung Ho, Guo-Fang Tseng and Hao-Ping Chen
Int. J. Mol. Sci. 2024, 25(11), 6041; https://doi.org/10.3390/ijms25116041 - 30 May 2024
Cited by 2 | Viewed by 4061
Abstract
Synthetic deer antler peptides (TSKYR, TSK, and YR) stimulate the proliferation of human chondrocytes and osteoblasts and increase the chondrocyte content of collagen and glycosamino-glycan in vitro. This study investigated the peptide mixture’s pain relief and chondroprotective effect in a rat model of [...] Read more.
Synthetic deer antler peptides (TSKYR, TSK, and YR) stimulate the proliferation of human chondrocytes and osteoblasts and increase the chondrocyte content of collagen and glycosamino-glycan in vitro. This study investigated the peptide mixture’s pain relief and chondroprotective effect in a rat model of collagenase-induced osteoarthritis. Thirty-six adult male Sprague–Dawley rats were divided into three groups: control (saline), positive control (hyaluronic acid), and ex-perimental (peptides). Intra-articular collagenase injections were administered on days 1 and 4 to induce osteoarthritis in the left knees of the rats. Two injections of saline, hyaluronic acid, or the peptides were injected into the same knees of each corresponding group at the beginning of week one and two, respectively. Joint swelling, arthritic pain, and histopathological changes were evaluated. Injection of the peptides significantly reduced arthritic pain compared to the control group, as evidenced by the closer-to-normal weight-bearing and paw withdrawal threshold test results. Histological analyses showed reduced cartilage matrix loss and improved total cartilage degeneration score in the experimental versus the control group. Our findings suggest that intra-articular injection of synthetic deer antler peptides is a promising treatment for osteoarthritis. Full article
(This article belongs to the Special Issue Osteoarthritis Biomarkers, Diagnosis and Treatments)
Show Figures

Figure 1

17 pages, 5956 KB  
Article
The Association of Tobacco Smoking and Level of Apoptosis in the Long Head of the Biceps Chronic Tendinopathy—An Immunohistochemical Study
by Łukasz M. Jaworski, Jan Zabrzyński, Peter J. Millett, Marco-Christopher Rupp, Filippo Familiari, Gazi Huri, Paulina Antosik, Michał Błachowski, Michał Wiciński and Maciej Gagat
J. Clin. Med. 2024, 13(3), 684; https://doi.org/10.3390/jcm13030684 - 24 Jan 2024
Cited by 2 | Viewed by 2730
Abstract
Background: The substances present in cigarette smoke have a negative impact on cellular integrity and metabolism, can reduce blood flow to tissues, and can disrupt collagen synthesis. Ultimately this can lead to cell death, which clinically may result in impaired tendon healing and [...] Read more.
Background: The substances present in cigarette smoke have a negative impact on cellular integrity and metabolism, can reduce blood flow to tissues, and can disrupt collagen synthesis. Ultimately this can lead to cell death, which clinically may result in impaired tendon healing and the onset of chronic tendinopathy. Within the shoulder, the exact association between the extent of apoptosis in the long head of the biceps (LHB) tendon and harmful factors like cigarette smoke remains unclear. Objectives: The purpose of this study was to investigate the connection between smoking, the degree of apoptosis in LHB tendinopathy, and the long-term outcomes of surgical treatment. Design: Observational, retrospective study. Methods: This study included 22 consecutive patients who had undergone arthroscopic biceps tenodesis or tenotomy for symptomatic LHB tendinopathy with or without concomitant rotator cuff tears (RCT). The intra-articular LHB tendon remnants were histologically examined by measuring the level of expression of apoptotic cell markers such as BCL2, cleaved caspase 3, and p53. Pre- and postoperative clinical outcomes were analyzed by collecting patient report outcome measures such as the American Shoulder and Elbow Surgeons (ASES) score and the Visual Analogue Scale (VAS) for pain. Results: The smokers group had a mean pack-year history of 13.12 (SD = 9.94), mean number of cigarettes per day of 14.77 (SD = 4.64), and a mean smoking duration of 16.38 (SD = 10.1) years. Among the smoking indexes, the number of cigarettes per day showed a positive correlation with Snyder classification (p = 0.0459, rho = 0.3682). Non-smokers and smokers did not show a statistically significant difference in the expression indexes of BCL2, cleaved caspase 3, or p53 (p = 0.4216, p = 0.5449, p = 0.5613, respectively). However, the cleaved caspase 3 expression index showed a negative correlation with the severity of rotator cuff lesions in the total population (p = 0.0193, rho = −0.4651). Conclusions: While apoptotic processes in the LHB tendon were observed, no significant association was found between tobacco smoking, the extent of apoptosis, and clinical outcomes. However, the expression of the apoptotic marker cleaved caspase 3 correlated with the severity of rotator cuff pathology. Furthermore, active smoker status was associated with worse clinical outcomes in terms of pain following LHB tenodesis or tenotomy. Full article
(This article belongs to the Section Orthopedics)
Show Figures

Figure 1

16 pages, 2783 KB  
Article
Infrapatellar Fat Pad Modulates Osteoarthritis-Associated Cytokine and MMP Expression in Human Articular Chondrocytes
by Ewa Wisniewska, Dominik Laue, Jacob Spinnen, Leonard Kuhrt, Benjamin Kohl, Patricia Bußmann, Carola Meier, Gundula Schulze-Tanzil, Wolfgang Ertel and Michal Jagielski
Cells 2023, 12(24), 2850; https://doi.org/10.3390/cells12242850 - 15 Dec 2023
Cited by 11 | Viewed by 2576
Abstract
Osteoarthritis (OA) most frequently affects the knee joint and is associated with an elevated expression of cytokines and extracellular cartilage matrix (ECM), degrading enzymes such as matrix metalloproteinases (MMPs). Differences in gene expression of the intra-articularly located infrapatellar fat pad (IPFP) and other [...] Read more.
Osteoarthritis (OA) most frequently affects the knee joint and is associated with an elevated expression of cytokines and extracellular cartilage matrix (ECM), degrading enzymes such as matrix metalloproteinases (MMPs). Differences in gene expression of the intra-articularly located infrapatellar fat pad (IPFP) and other fatty tissue suggest its autonomous function, yet its role in OA pathogenesis remains unknown. Human IPFPs and articular cartilage were collected from OA patients undergoing total knee arthroplasty, and biopsies from the IPFP of healthy patients harvested during knee arthroscopy served as controls (CO). Isolated chondrocytes were co-cultured with either osteoarthritic (OA) or CO-IPFPs in a transwell system. Chondrocyte expression of MMP1, -3, -13, type 1 and 2 collagens, interleukin IL1β, IL6, IL10, and tumor necrosis factor TNFα was analyzed by RTD-PCR at day 0 and day 2, and TNFα secretion was analyzed by ELISA. The cytokine release in IPFPs was assessed by an array. Results: Both IPFPs (CO, OA) significantly reduced the expression of type 2 collagen and TNFα in chondrocytes. On the other hand, only CO-IPFP suppressed the expression of type 1 collagen and significantly induced the MMP13 expression. On the contrary, IL1β and IL6 were significantly induced when exposed to OA-IPFP. Conclusions: The partial loss of the suppressive effect on type 1 collagen gene expression found for OA-IPFP shows the pathological remodeling and dedifferentiation potential of the OA-IPFP on the chondrocytes. However, the significant suppression of TNFα implies that the OA- and CO-IPFP could also exhibit a protective role in the knee joint, preventing the progress of inflammation. Full article
(This article belongs to the Special Issue Cell and Molecular Causes of Joint Inflammation and Damage)
Show Figures

Graphical abstract

20 pages, 1832 KB  
Article
A Translational Model for Repeated Episodes of Joint Inflammation: Welfare, Clinical and Synovial Fluid Biomarker Assessment
by Clodagh M. Kearney, Nicoline M. Korthagen, Saskia G. M. Plomp, Margot C. Labberté, Janny C. de Grauw, P. René van Weeren and Pieter A. J. Brama
Animals 2023, 13(20), 3190; https://doi.org/10.3390/ani13203190 - 12 Oct 2023
Cited by 2 | Viewed by 1930
Abstract
This study investigates repeated low-dose lipopolysaccharide (LPS) injections in equine joints as a model for recurrent joint inflammation and its impact on animal welfare. Joint inflammation was induced in eight horses by injecting 0.25 ng of LPS three times at two-week intervals. Welfare [...] Read more.
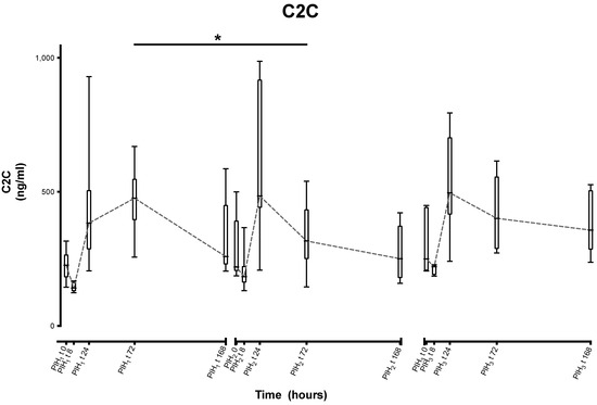
This study investigates repeated low-dose lipopolysaccharide (LPS) injections in equine joints as a model for recurrent joint inflammation and its impact on animal welfare. Joint inflammation was induced in eight horses by injecting 0.25 ng of LPS three times at two-week intervals. Welfare scores and clinical parameters were recorded at baseline and over 168 h post-injection. Serial synoviocentesis was performed for the analysis of a panel of synovial fluid biomarkers of inflammation and cartilage turnover. Clinical parameters and a final synoviocentesis were also performed eight weeks after the last sampling point to assess the recovery of normal joint homeostasis. Statistical methods were used to compare the magnitude of response to each of the 3 LPS inductions and to compare the baseline and final measurements. Each LPS injection produced consistent clinical and biomarker responses, with minimal changes in welfare scores. General matrix metalloproteinase (MMP) activity and joint circumference showed greater response to the second LPS induction, but response to the third was comparable to the first. Gylcosaminoglycans (GAG) levels showed a significantly decreased response with each induction, while collagen-cleavage neoepitope of type II collagen (C2C) and carboxypropetide of type II collagen epitope (CPII) showed quicker responses to the second and third inductions. All parameters were comparable to baseline values at the final timepoint. In conclusion, a consistent, reliable intra-articular inflammatory response can be achieved with repeated injections of 0.25 ng LPS, with minimal impact on animal welfare, suggesting potential as a refined translational model of recurrent joint inflammation. Full article
(This article belongs to the Section Equids)
Show Figures

Figure 1

16 pages, 9235 KB  
Article
Hyaluronic Acid-Based Injective Medical Devices: In Vitro Characterization of Novel Formulations Containing Biofermentative Unsulfated Chondroitin or Extractive Sulfated One with Cyclodextrins
by Valentina Vassallo, Celeste Di Meo, Giuseppe Toro, Alberto Alfano, Giovanni Iolascon and Chiara Schiraldi
Pharmaceuticals 2023, 16(10), 1429; https://doi.org/10.3390/ph16101429 - 9 Oct 2023
Cited by 7 | Viewed by 2730 | Correction
Abstract
Currently, chondroitin sulfate (CS) and hyaluronic acid (HA) pharma-grade forms are used for osteoarthritis (OA) management, CS as an oral formulations component, and HA as intra-articular injective medical devices. Recently, unsulfated chondroitin, obtained through biofermentative (BC) manufacturing, has been proposed for thermally stabilized [...] Read more.
Currently, chondroitin sulfate (CS) and hyaluronic acid (HA) pharma-grade forms are used for osteoarthritis (OA) management, CS as an oral formulations component, and HA as intra-articular injective medical devices. Recently, unsulfated chondroitin, obtained through biofermentative (BC) manufacturing, has been proposed for thermally stabilized injective preparation with HA. This study aimed to highlight the specific properties of two commercial injective medical devices, one based on HA/BC complexes and the other containing HA, extractive CS, and cyclodextrins, in order to provide valuable information for joint disease treatments. Their biophysical and biomechanical features were assayed; in addition, biological tests were performed on human pathological chondrocytes. Rheological measurements displayed similar behavior, with a slightly higher G′ for HA/BC, which also proved superior stability to the hyaluronidase attack. Both samples reduced the expression of specific OA-related biomarkers such as NF-kB, interleukin 6 (IL-6), and metalloprotease-13 (MMP-13). Moreover, HA/BC better ensured chondrocyte phenotype maintenance by up-regulating collagen type 2A1 (COLII) and aggrecan (AGN). Notwithstanding, the similarity of biomolecule components, the manufacturing process, raw materials characteristics, and specific concentration resulted in affecting the biomechanical and, more interestingly, the biochemical properties, suggesting potential better performances of HA/BC in joint disease treatment. Full article
(This article belongs to the Special Issue Hydrogels for Pharmaceutical and Biomedical Applications)
Show Figures

Figure 1

22 pages, 4670 KB  
Article
Exosomes Derived from Hypoxia-Cultured Human Adipose Stem Cells Alleviate Articular Chondrocyte Inflammaging and Post-Traumatic Osteoarthritis Progression
by Ling-Hua Chang, Shun-Cheng Wu, Chung-Hwan Chen, Jhen-Wei Chen, Wan-Chun Huang, Che-Wei Wu, Yi-Shan Lin, Yu-Ju Chen, Je-Ken Chang and Mei-Ling Ho
Int. J. Mol. Sci. 2023, 24(17), 13414; https://doi.org/10.3390/ijms241713414 - 29 Aug 2023
Cited by 23 | Viewed by 4446
Abstract
Osteoarthritis (OA) is the most common age-related degenerative joint disease. Inflammaging, linking inflammation and aging, is found in senescent cells with the secretions of matrix-degrading proteins and proinflammatory cytokines. The senescence-associated secretory phenotype (SASP) plays a very important role in OA progression. However, [...] Read more.
Osteoarthritis (OA) is the most common age-related degenerative joint disease. Inflammaging, linking inflammation and aging, is found in senescent cells with the secretions of matrix-degrading proteins and proinflammatory cytokines. The senescence-associated secretory phenotype (SASP) plays a very important role in OA progression. However, there remains no effective way to suppress OA progression, especially by suppressing inflammaging and/or the chondrocyte SASP. Recent studies have shown that exosomes derived from hypoxia-cultured BMSCs can regenerate cartilage in OA animal models. Some reports have further indicated that exosomes secreted from MSCs contribute to the efficacy of MSC therapy in OA. However, whether hypoxia-cultured ADSC-secreted exosomes (hypoxia-ADSC-Exos) can alleviate the chondrocyte SASP or OA progression remains unclear. Accordingly, we hypothesized that hypoxia-ADSC-Exos have a beneficial effect on the normal functions of human articular chondrocytes (HACs), can attenuate the SASP of OA-like HACs in vitro, and further suppress OA progression in rats. Hypoxia-ADSC-Exos were derived from ADSCs cultured in 1% O2 and 10% de-Exo-FBS for 48 h. The molecular and cell biological effects of hypoxia-ADSC-Exos were tested on IL1-β-induced HACs as OA-like HACs in vitro, and the efficacy of OA treatment was tested in ACLT-induced OA rats. The results showed that hypoxia-ADSC-Exos had the best effect on GAG formation in normal HACs rather than those cultured in normoxia or hypoxia plus 2% de-Exo-FBS. We further found that hypoxia-ADSC-Exos alleviated the harmful effect in OA-like HACs by decreasing markers of normal cartilage (GAG and type II collagen) and increasing markers of fibrous or degenerative cartilage (type I or X collagen), matrix degradation enzymes (MMP13 and ADAMT5), and inflammatory cytokines (TNFα and IL-6). More importantly, intra-articular treatment with hypoxia-ADSC-Exos suppressed OA progression, as evidenced by the weight-bearing function test and cartilage GAG quantification in ACLT rats. Moreover, through NGS and bioinformatic analysis, seven potential miRNAs were found in hypoxia-ADSC-Exos, which may contribute to regulating cellular oxidative stress and attenuating cell senescence. In summary, we demonstrated that hypoxia-ADSC-Exos, carrying potent miRNAs, not only improve normal HAC function but also alleviate HAC inflammaging and OA progression. The results suggest that hypoxia-ADSC-Exo treatment may offer another strategy for future OA therapy. Full article
(This article belongs to the Special Issue The Molecular Basis of Extracellular Vesicles in Health and Diseases)
Show Figures

Figure 1

15 pages, 41501 KB  
Article
Using a Xenogeneic Acellular Dermal Matrix Membrane to Enhance the Reparability of Bone Marrow Mesenchymal Stem Cells for Cartilage Injury
by Weili Shi, Qingyang Meng, Xiaoqing Hu, Jin Cheng, Zhenxing Shao, Yuping Yang and Yingfang Ao
Bioengineering 2023, 10(8), 916; https://doi.org/10.3390/bioengineering10080916 - 2 Aug 2023
Cited by 4 | Viewed by 2201
Abstract
Due to its avascular organization and low mitotic ability, articular cartilage possesses limited intrinsic regenerative capabilities. The aim of this study is to achieve one-step cartilage repair in situ via combining bone marrow stem cells (BMSCs) with a xenogeneic Acellular dermal matrix (ADM) [...] Read more.
Due to its avascular organization and low mitotic ability, articular cartilage possesses limited intrinsic regenerative capabilities. The aim of this study is to achieve one-step cartilage repair in situ via combining bone marrow stem cells (BMSCs) with a xenogeneic Acellular dermal matrix (ADM) membrane. The ADM membranes were harvested from Sprague-Dawley (SD) rats through standard decellularization procedures. The characterization of the scaffolds was measured, including the morphology and physical properties of the ADM membrane. The in vitro experiments included the cell distribution, chondrogenic matrix quantification, and viability evaluation of the scaffolds. Adult male New Zealand white rabbits were used for the in vivo evaluation. Isolated microfracture was performed in the control (MF group) in the left knee and the tested ADM group was included as an experimental group when an ADM scaffold was implanted through matching with the defect after microfracture in the right knee. At 6, 12, and 24 weeks post-surgery, the rabbits were sacrificed for further research. The ADM could adsorb water and had excellent porosity. The bone marrow stem cells (BMSCs) grew well when seeded on the ADM scaffold, demonstrating a characteristic spindle-shaped morphology. The ADM group exhibited an excellent proliferative capacity as well as the cartilaginous matrix and collagen production of the BMSCs. In the rabbit model, the ADM group showed earlier filling, more hyaline-like neo-tissue formation, and better interfacial integration between the defects and normal cartilage compared with the microfracture (MF) group at 6, 12, and 24 weeks post-surgery. In addition, neither intra-articular inflammation nor a rejection reaction was observed after the implantation of the ADM scaffold. This study provides a promising biomaterial-based strategy for cartilage repair and is worth further investigation in large animal models. Full article
Show Figures

Figure 1

Back to TopTop