Sign in to use this feature.

Years

Between: -

Subjects

remove_circle_outline
remove_circle_outline
remove_circle_outline
remove_circle_outline
remove_circle_outline
remove_circle_outline
remove_circle_outline

Journals

Article Types

Countries / Regions

remove_circle_outline
remove_circle_outline
remove_circle_outline
remove_circle_outline

Search Results (246)

Search Parameters:
Keywords = interphase properties

Order results
Result details
Results per page
Select all
Export citation of selected articles as:
36 pages, 3877 KB  
Review
Swelling Mechanisms, Diagnostic Applications, and Mitigation Strategies in Lithium-Ion Batteries
by Sahithi Maddipatla, Huzaifa Rauf, Michael Osterman, Naveed Arshad and Michael Pecht
Batteries 2025, 11(10), 356; https://doi.org/10.3390/batteries11100356 - 28 Sep 2025
Abstract
Electrochemical processes within a lithium-ion battery cause electrode expansion and gas generation, thus resulting in battery swelling and, in severe cases, reliability and safety issues. This paper presents the mechanisms responsible for swelling, including thermal expansion, lithium intercalation, electrode interphase layer growth, lithium [...] Read more.
Electrochemical processes within a lithium-ion battery cause electrode expansion and gas generation, thus resulting in battery swelling and, in severe cases, reliability and safety issues. This paper presents the mechanisms responsible for swelling, including thermal expansion, lithium intercalation, electrode interphase layer growth, lithium plating, and gas generation, while highlighting their dependence on material properties, design considerations, C-rate, temperature, state of charge (SoC), and voltage. The paper then discusses how swelling correlates with capacity fade, impedance rise, and thermal runaway, and demonstrates the potential of using swelling as a diagnostic and prognostic metric for battery health. Swelling models that connect microscopic mechanisms to macroscopic deformation are then presented. Finally, the paper presents strategies to mitigate swelling, including materials engineering, surface coatings, electrolyte formulation, and mechanical design modifications. Full article
Show Figures

Graphical abstract

26 pages, 2437 KB  
Article
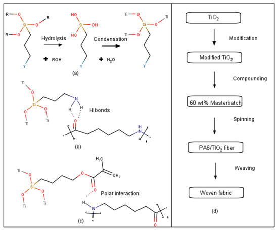
Interphase-Resolved Performance in PA6/TiO2 Nanocomposite Fibers: Four-Phase Geometry Linking Structure to Mechanical and UV Protection
by Hailong Yu, Ping Liu, Xiaohuan Ji, Xiaoze Jiang and Bin Sun
Polymers 2025, 17(18), 2551; https://doi.org/10.3390/polym17182551 - 21 Sep 2025
Viewed by 173
Abstract
Melt-spun PA6/TiO2 fibers with TiO2 modified by silane coupling agents KH550 and KH570 at 0, 1.6, and 4 wt% provide a practical testbed to address three fiber-centric gaps: transferable interphase quantification, interphase-resolved indications of compatibility, and a reproducible kinetics–structure–property link. This [...] Read more.
Melt-spun PA6/TiO2 fibers with TiO2 modified by silane coupling agents KH550 and KH570 at 0, 1.6, and 4 wt% provide a practical testbed to address three fiber-centric gaps: transferable interphase quantification, interphase-resolved indications of compatibility, and a reproducible kinetics–structure–property link. This work proposes, for the first time at fiber scale, a four-phase partition into crystal (c), crystal-adjacent rigid amorphous fraction (RAF-c), interfacial rigid amorphous fraction (RAF-i), and mobile amorphous fraction (MAF), and extracts an interfacial triad consisting of the specific interfacial area (Sv), polymer-only RAF-i fraction expressed per composite volume (Γi), and interphase thickness (ti) from SAXS invariants to establish a quantitative interphase-structure–property framework. A documented SAXS/DSC/WAXS workflow partitions the polymer into the above four components on a polymer-only basis. Upon filling, Γi increases while RAF-c decreases, leaving the total RAF approximately conserved. Under identical cooling, DSC shows the crystallization peak temperature is higher by 1.6–4.3 °C and has longer half-times, indicating enhanced heterogeneous nucleation together with growth are increasingly limited by interphase confinement. At 4 wt% loading, KH570-modified fibers versus KH550-modified fibers exhibit higher α-phase orientation (Hermans factor f(α): 0.697 vs. 0.414) but an ~89.4% lower α/γ ratio. At the macroscale, compared to pure (neat) PA6, 4 wt% KH550- and KH570-modified fibers show tenacity enhancements of ~9.5% and ~33.3%, with elongation decreased by ~31–68%. These trends reflect orientation-driven stiffening accompanied by a reduction in the mobile amorphous fraction and stronger interphase constraints on chain mobility. Knitted fabrics achieve a UV protection factor (UPF) of at least 50, whereas pure PA6 fabrics show only ~5.0, corresponding to ≥16-fold improvement. Taken together, the SAXS-derived descriptors (Sv, Γi, ti) provide transferable interphase quantification and, together with WAXS and DSC, yield a reproducible link from interfacial geometry to kinetics, structure, and properties, revealing two limiting regimes—orientation-dominated and phase-fraction-dominated. Full article
(This article belongs to the Section Polymer Fibers)
Show Figures

Figure 1

25 pages, 13196 KB  
Article
Effect of Printing Temperature on the Microstructure and Tensile Properties of Polylactic Acid–Magnetic Iron Composites Manufactured by Material Extrusion
by Meriem Bouchetara, Sofiane Belhabib, Alessia Melelli, Jonathan Perrin, Timm Weitkamp, Ahmed Koubaa, Mahfoud Tahlaiti, Mustapha Nouri and Sofiane Guessasma
Polymers 2025, 17(18), 2485; https://doi.org/10.3390/polym17182485 - 14 Sep 2025
Viewed by 476
Abstract
In this study, we examined how printing temperature affects the microstructure and mechanical properties of polylactic acid (PLA) composite reinforced with iron oxide i.e., magnetite manufactured using a material extrusion technique. The composite was printed at temperatures from 185 °C to 215 °C. [...] Read more.
In this study, we examined how printing temperature affects the microstructure and mechanical properties of polylactic acid (PLA) composite reinforced with iron oxide i.e., magnetite manufactured using a material extrusion technique. The composite was printed at temperatures from 185 °C to 215 °C. Microstructure analysis via synchrotron radiation X-ray microtomography revealed changes in both iron oxide and porosity contents within the printed structures. Mechanical testing results demonstrated a limited effect of the printing temperature on tensile performance. Finite element computation is considered to predict the elasticity behavior of the printed composite by converting 3D images into 3D structural meshes. When implementing a two-phase model, the predictions show a leading role of the iron oxide content, and an overestimation of the stiffness of the composite. A three-phase model demonstrates a better matching of the experimental results suggesting a limited load transfer across the PLA-iron oxide interface with Young’s moduli in the interphase zone as small as 10% of PLA Young’s modulus. Magnetic actuation demonstrates that experiments on PLA-iron oxide plates reveal a pronounced thickness-dependent limitation, with the maximum deflection observed in thin strips of 0.4 mm. Full article
(This article belongs to the Special Issue Additive Manufacturing Based on Polymer Materials)
Show Figures

Figure 1

18 pages, 1837 KB  
Article
Exploring Binder–Ionic Liquid Electrolyte Systems in Silicon Oxycarbide Negative Electrodes for Lithium-Ion Batteries
by Ivonne E. Monje, Nedher Sanchez-Ramírez, Laurence Savignac, Pedro H. Camargo, Steen B. Schougaard, Daniel Bélanger and Roberto M. Torresi
Electrochem 2025, 6(3), 34; https://doi.org/10.3390/electrochem6030034 - 12 Sep 2025
Viewed by 446
Abstract
Enhancing the safety of lithium-ion batteries (LIBs) by replacing flammable electrolytes is a key challenge. Ionic liquid (IL)-based electrolytes are considered an interesting alternative due to their thermal and chemical stability, high voltage stability window, and tunable properties. This study investigates the electrochemical [...] Read more.
Enhancing the safety of lithium-ion batteries (LIBs) by replacing flammable electrolytes is a key challenge. Ionic liquid (IL)-based electrolytes are considered an interesting alternative due to their thermal and chemical stability, high voltage stability window, and tunable properties. This study investigates the electrochemical behavior of two newly synthesized ILs, comparing them to conventional alkyl carbonate-based electrolytes. Nitrogen-doped carbon silicon oxycarbide (NC-SiOC), used as the active material in negative electrodes, was combined with two polymeric binders: poly(acrylic acid) (PAA) and poly(acrylonitrile) (PAN). NC-SiOC/PAN electrodes exhibited a significantly higher initial charge capacity—approximately 25–30% greater than their PAA-based counterparts in the first cycle at 0.1 A g−1 (850–990 mAh g−1 vs. 600–700 mAh g−1), and demonstrated an improved initial Coulombic efficiency (67% vs. 62%). Long-term cycling stability over 1000 cycles at 1.6 A g−1 retained 75–80% of the initial 0.1 A g−1 capacity. This outstanding performance is attributed to the synergistic effects of nitrogen-rich carbonaceous phases within the NC-SiOC material and the cyclized-PAN binder, which facilitate structural stability by accommodating volumetric changes and enhancing solid electrolyte interphase (SEI) stability. Notably, despite the lower ionic transport properties of the IL electrolytes, their incorporation did not compromise performance, supporting their feasibility as safer electrolyte alternatives. These findings offer one of the most promising electrochemical performances reported for SiOC materials to date. Full article
(This article belongs to the Special Issue Silicon Electrochemistry: Fundamentals and Modern Applications)
Show Figures

Graphical abstract

35 pages, 3497 KB  
Review
Recent Advances in Dendrite Suppression Strategies for Solid-State Lithium Batteries: From Interface Engineering to Material Innovations
by Abniel Machín, Francisco Díaz, María C. Cotto, José Ducongé and Francisco Márquez
Batteries 2025, 11(8), 304; https://doi.org/10.3390/batteries11080304 - 8 Aug 2025
Viewed by 3179
Abstract
Solid-state lithium batteries (SSLBs) have emerged as a promising alternative to conventional lithium-ion systems due to their superior safety profile, higher energy density, and potential compatibility with lithium metal anodes. However, a major challenge hindering their widespread deployment is the formation and growth [...] Read more.
Solid-state lithium batteries (SSLBs) have emerged as a promising alternative to conventional lithium-ion systems due to their superior safety profile, higher energy density, and potential compatibility with lithium metal anodes. However, a major challenge hindering their widespread deployment is the formation and growth of lithium dendrites, which compromise both performance and safety. This review provides a comprehensive and structured overview of recent advances in dendrite suppression strategies, with special emphasis on the role played by the nature of the solid electrolyte. In particular, we examine suppression mechanisms and material innovations within the three main classes of solid electrolytes: sulfide-based, oxide-based, and polymer-based systems. Each electrolyte class presents distinct advantages and challenges in relation to dendrite behavior. Sulfide electrolytes, known for their high ionic conductivity and good interfacial wettability, suffer from poor mechanical strength and chemical instability. Oxide electrolytes exhibit excellent electrochemical stability and mechanical rigidity but often face high interfacial resistance. Polymer electrolytes, while mechanically flexible and easy to process, generally have lower ionic conductivity and limited thermal stability. This review discusses how these intrinsic properties influence dendrite nucleation and propagation, including the role of interfacial stress, grain boundaries, void formation, and electrochemical heterogeneity. To mitigate dendrite formation, we explore a variety of strategies including interfacial engineering (e.g., the use of artificial interlayers, surface coatings, and chemical additives), mechanical reinforcement (e.g., incorporation of nanostructured or gradient architectures, pressure modulation, and self-healing materials), and modifications of the solid electrolyte and electrode structure. Additionally, we highlight the critical role of advanced characterization techniques—such as in situ electron microscopy, synchrotron-based X-ray diffraction, vibrational spectroscopy, and nuclear magnetic resonance (NMR)—for elucidating dendrite formation mechanisms and evaluating the effectiveness of suppression strategies in real time. By integrating recent experimental and theoretical insights across multiple disciplines, this review identifies key limitations in current approaches and outlines emerging research directions. These include the design of multifunctional interphases, hybrid electrolytes, and real-time diagnostic tools aimed at enabling the development of reliable, scalable, and dendrite-free SSLBs suitable for practical applications in next-generation energy storage. Full article
(This article belongs to the Special Issue Advances in Solid Electrolytes and Solid-State Batteries)
Show Figures

Graphical abstract

16 pages, 1134 KB  
Article
Neural Correlates of Loudness Coding in Two Types of Cochlear Implants—A Model Study
by Ilja M. Venema, Savine S. M. Martens, Randy K. Kalkman, Jeroen J. Briaire and Johan H. M. Frijns
Technologies 2025, 13(8), 331; https://doi.org/10.3390/technologies13080331 - 1 Aug 2025
Viewed by 1211
Abstract
Many speech coding strategies have been developed over the years, but comparing them has been convoluted due to the difficulty in disentangling brand-specific and patient-specific factors from strategy-specific factors that contribute to speech understanding. Here, we present a comparison with a ‘virtual’ patient, [...] Read more.
Many speech coding strategies have been developed over the years, but comparing them has been convoluted due to the difficulty in disentangling brand-specific and patient-specific factors from strategy-specific factors that contribute to speech understanding. Here, we present a comparison with a ‘virtual’ patient, by comparing two strategies from two different manufacturers, Advanced Combination Encoder (ACE) versus HiResolution Fidelity 120 (F120), running on two different implant systems in a computational model with the same anatomy and neural properties. We fitted both strategies to an expected T-level and C- or M-level based on the spike rate for each electrode contact’s allocated frequency (center electrode frequency) of the respective array. This paper highlights neural and electrical differences due to brand-specific characteristics such as pulse rate/channel, recruitment of adjacent electrodes, and presence of subthreshold pulses or interphase gaps. These differences lead to considerably different recruitment patterns of nerve fibers, while achieving the same total spike rates, i.e., loudness percepts. Also, loudness growth curves differ significantly between brands. The model is able to demonstrate considerable electrical and neural differences in the way loudness growth is achieved in CIs from different manufacturers. Full article
(This article belongs to the Special Issue The Challenges and Prospects in Cochlear Implantation)
Show Figures

Figure 1

15 pages, 1845 KB  
Article
Comparing the SEI Formation on Copper and Amorphous Carbon: A Study with Combined Operando Methods
by Michael Stich, Christian Leppin, Falk Thorsten Krauss, Jesus Eduardo Valdes Landa, Isabel Pantenburg, Bernhard Roling and Andreas Bund
Batteries 2025, 11(7), 273; https://doi.org/10.3390/batteries11070273 - 18 Jul 2025
Viewed by 679
Abstract
The solid electrolyte interphase (SEI) on the anode of lithium-ion batteries (LIBs) has been studied thoroughly due to its crucial importance to the battery’s long-term performance. At the same time, most studies of the SEI apply ex situ characterization methods, which may introduce [...] Read more.
The solid electrolyte interphase (SEI) on the anode of lithium-ion batteries (LIBs) has been studied thoroughly due to its crucial importance to the battery’s long-term performance. At the same time, most studies of the SEI apply ex situ characterization methods, which may introduce artifacts or misinterpretations as they do not investigate the SEI in its unaltered state immersed in liquid battery electrolyte. Thus, in this work, we focus on using the non-destructive combination of electrochemical quartz crystal microbalance with dissipation monitoring (EQCM-D) and impedance spectroscopy (EIS) in the same electrochemical cell. EQCM-D can not only probe the solidified products of the SEI but also allows for the monitoring of viscoelastic layers and viscosity changes of the electrolyte at the interphase during the SEI formation. EIS complements those results by providing electrochemical properties of the formed interphase. Our results highlight substantial differences in the physical and electrochemical properties between the SEI formed on copper and on amorphous carbon and show how formation parameters and the additive vinylene carbonate (VC) influence their growth. The EQCM-D results show consistently that much thicker SEIs are formed on carbon substrates in comparison to copper substrates. Full article
(This article belongs to the Special Issue Electrocrystallization in Rechargeable Batteries)
Show Figures

Figure 1

19 pages, 11070 KB  
Article
The Effect of the Finishing Deformation Temperature on the Microstructure of CrVNb Micro-Alloyed Steel
by Gholam Ali Baqeri, Chris Killmore, Lachlan Smillie and Elena Pereloma
Materials 2025, 18(14), 3234; https://doi.org/10.3390/ma18143234 - 9 Jul 2025
Viewed by 2775
Abstract
This study explored the effects of the finishing deformation temperature on the microstructure and properties of CrVNb micro-alloyed steel following thermomechanical processing (TMP). The investigation encompassed the influence of the deformation temperature on the ferrite grain size, precipitate characteristics, hardness and flow stress. [...] Read more.
This study explored the effects of the finishing deformation temperature on the microstructure and properties of CrVNb micro-alloyed steel following thermomechanical processing (TMP). The investigation encompassed the influence of the deformation temperature on the ferrite grain size, precipitate characteristics, hardness and flow stress. The microstructure characterization was performed using optical and electron microscopy techniques. The results show that decreasing the deformation temperature refined the ferrite grains, though a bimodal ferrite grain structure formed when the deformation temperature fell to about 100 °C below the Ar3 temperature. Additionally, lower deformation temperatures increased the number density of strain-induced precipitates (SIPs), whereas the density of finer precipitates (random and interphase precipitates (IPs)) decreased. The highest hardness was observed in a sample deformed at 950–850 °C temperatures. These findings highlight the impact of the finishing deformation temperatures on the microstructural and mechanical properties, providing valuable insights for optimizing steel processing conditions. Full article
Show Figures

Figure 1

21 pages, 9386 KB  
Article
Structural Characterization and Segmental Dynamics Evaluation in Eco-Friendly Polymer Electrospun Fibers Based on Poly(3-hydroxybutyrate)/Polyvinylpyrrolidone Blends to Evaluate Their Sustainability
by Svetlana G. Karpova, Anatoly A. Olkhov, Ivetta A. Varyan, Ekaterina P. Dodina, Yulia K. Lukanina, Natalia G. Shilkina, Anatoly A. Popov, Alexandre A. Vetcher, Anna G. Filatova and Alexey L. Iordanskii
J. Compos. Sci. 2025, 9(7), 355; https://doi.org/10.3390/jcs9070355 - 8 Jul 2025
Viewed by 602
Abstract
Ultrafine fibers from poly(3-hydroxybutyrate) (PHB) and polyvinylpyrrolidone (PVP) and their blends with different component ratios in the range of 0/100 to 100/0 wt.% were obtained, and their structure and dynamic properties were studied. The polymers were obtained via electrospinning in solution mode. The [...] Read more.
Ultrafine fibers from poly(3-hydroxybutyrate) (PHB) and polyvinylpyrrolidone (PVP) and their blends with different component ratios in the range of 0/100 to 100/0 wt.% were obtained, and their structure and dynamic properties were studied. The polymers were obtained via electrospinning in solution mode. The structure, morphology, and segmental dynamic behavior of the fibers were determined using optical microscopy, SEM, EPR, DSC, and IR spectroscopy. The low-temperature maximum on the DSC endotherms provided information on the state of the PVP hydrogen bond network, which made it possible to determine the enthalpies of thermal destruction of these bonds. The PHB/PVP fiber blend ratio significantly affected the structural and dynamic parameters of the system. Thus, at low concentrations of PVP (up to 9%) in the structure of ultra-fine fibers, the distribution of this polymer occurs in the form of tiny particles, which are crystallization centers, which causes a significant increase in the degree of crystallinity (χ) activation energy (Eact) and slowing down of molecular dynamics (τ). At higher concentrations of PVP, loose interphase layers were formed in the system, which caused a decrease in these parameters. The strongest changes in the concentration of hydrogen bonds occurred when PVP was added to the composition from 17 to 50%, which was due to the formation of intermolecular hydrogen bonds both in PVP and during the interaction of PVP and PHB. The diffusion coefficient of water vapor in the studied systems (D) decreased as the concentration of glassy PVP in the composition increased. The concentration of the radical decreased with an increase in the proportion of PVP, which can be explained by the glassy state of this polymer at room temperature. A characteristic point of the 50/50% mixture component ratio was found in the region where an inversion transition of PHB from a dispersion material to a dispersed medium was assumed. The conducted studies made it possible for the first time to conduct a comprehensive analysis of the effect of the component ratio on the structural and dynamic characteristics of the PHB/PVP fibrous material at the molecular scale. Full article
Show Figures

Figure 1

18 pages, 3398 KB  
Article
Synthesis of Nylon 6,6 with Pyrene Chain-End for Compatibilization with Graphite and Enhancement of Thermal and Mechanical Properties
by Veronica Balzano, Annaluisa Mariconda, Maria Rosaria Acocella, Marialuigia Raimondo, Assunta D’Amato, Pasquale Longo, Liberata Guadagno and Raffaele Longo
Polymers 2025, 17(13), 1735; https://doi.org/10.3390/polym17131735 - 22 Jun 2025
Viewed by 737
Abstract
The possibility of reinforcing polymeric matrices with multifunctional fillers for improving structural and functional properties is widely exploited. The compatibility between the filler and the polymeric matrix is crucial, especially for high filler content. In this paper, polymeric matrices of Nylon 6,6 with [...] Read more.
The possibility of reinforcing polymeric matrices with multifunctional fillers for improving structural and functional properties is widely exploited. The compatibility between the filler and the polymeric matrix is crucial, especially for high filler content. In this paper, polymeric matrices of Nylon 6,6 with pyrene chains were successfully synthesized to improve the compatibility with carbonaceous fillers. The compatibility was proven using graphite as a carbonaceous filler. The different properties, including thermal stability, crystallinity, morphology, and local mechanical properties, have been evaluated for various filler contents, and the results have been compared to those of synthetic Nylon 6,6 without pyrene chain terminals. XRD results highlighted that the compatibilization of the composite matrix may lead to an intercalation of the polymeric chains among the graphite layers. This phenomenon leads to the protection of the polymer from thermal degradation, as highlighted by the thermogravimetric analysis (i.e., for a filler content of 20%, the beginning degradation temperature goes from 357 °C for the non-compatibilized matrix to 401 °C for the compatibilized one and the residual at 750 °C goes from 33% to 67%, respectively. A significant improvement in the interphase properties, as proven via Atomic Force Microscopy in Harmonix mode, leads to a considerable increase in local mechanical modulus values. Specifically, the compatibilization of the matrix hosting the graphite leads to a less pronounced difference in modulus values, with more frequent reinforcements that are quantitatively similar along the sample surface. This results from a significantly improved filler distribution with respect to the composite with the non-compatibilized matrix. The present study shows how the thermoplastic/filler compatibilization can sensitively enhance thermal and mechanical properties of the thermoplastic composite, widening its potential use for various high-performance applications, such as in the transport field, e.g., for automotive components (engine parts, gears, bushings, washers), and electrical and electronics applications (heat sinks, casing for electronic devices, and insulating materials). Full article
(This article belongs to the Section Polymer Chemistry)
Show Figures

Figure 1

16 pages, 3891 KB  
Article
Structure and Properties of Self-Reinforced Polytetrafluoroethylene-Based Materials
by Shunqi Mei, Oksana Ayurova, Undrakh Mishigdorzhiyn, Vasily Kornopoltsev, Evgeny Kovtunets, Kirill Demin, Bair Garmaev and Andrei Khagleev
Polymers 2025, 17(12), 1609; https://doi.org/10.3390/polym17121609 - 9 Jun 2025
Viewed by 735
Abstract
A promising direction in polymer material processing is the development of self-reinforced polymer composites (SRPMs), representing a relatively new group of composite materials. The self-reinforcement method allows for materials of one polymer to be combined with different molecular, supramolecular, and structural features. The [...] Read more.
A promising direction in polymer material processing is the development of self-reinforced polymer composites (SRPMs), representing a relatively new group of composite materials. The self-reinforcement method allows for materials of one polymer to be combined with different molecular, supramolecular, and structural features. The high adhesive and mechanical properties of SRPMs are due to the formation of a homogeneous system with no inter-phase boundary. Moreover, self-reinforcement considers the possibility of using polymer waste to create high-strength composites, which reduces the environmental load. In the current work, the phase composition, structure, and properties of SRPMs based on polytetrafluoroethylene (PTFE) were studied. SRPMs were prepared by mixing industrial and regenerated PTFE powders and then subjected to pressing and sintering. Two types of regenerated PTFE were used for the SRPM preparation: a commercial PTFE of the TOMFLONTM trademark and mechanically grinded PTFE waste. The degree of crystallinity of the obtained materials (41–68%) was calculated by XRD analysis; the crystallite size was determined to be 30–69 nm. Thermal analysis of the composites was carried out by the DSC method in the temperature range of 25–370 °C. The characteristics of thermal processes in self-reinforced composites correlate with the data from structural studies of XRD and FTIR analyses. The results of dynamic mechanical analysis showed that the introduction of regenerated PTFE powder into an industrial one increased the elasticity modulus from 0.6 GPa up to 2.0–3.1 GPa. It was shown that the phase state of the SRPMs depended on the method of processing polymer waste (the type of regenerated PTFE) that determined the heat resistance and mechanical properties of the obtained composite material. Full article
(This article belongs to the Section Polymer Composites and Nanocomposites)
Show Figures

Figure 1

17 pages, 5532 KB  
Article
Effect of Mechanical Pressure on Li Metal Deposition Characteristics and Thermal Stability
by Mengyan Xu, Lin Hao, Yiqiang Zhao and Huiqun Fu
Processes 2025, 13(5), 1599; https://doi.org/10.3390/pr13051599 - 21 May 2025
Viewed by 748
Abstract
Pressure significantly influences lithium (Li) deposition behavior. Although previous studies investigating the influence of pressure on Li deposition have often overlooked the impact of mechanical spacer pressure within the cell, this work specifically focuses on this detail. In this study, we explored the [...] Read more.
Pressure significantly influences lithium (Li) deposition behavior. Although previous studies investigating the influence of pressure on Li deposition have often overlooked the impact of mechanical spacer pressure within the cell, this work specifically focuses on this detail. In this study, we explored the effects of mechanical spacer pressure on the electrochemical properties, deposition morphology, solid–electrolyte interphase (SEI), and thermal stability of Li metal deposition, using spacer pressure as a variable in a small-sized electrode half-cell. The experimental results demonstrate that higher spacer pressure positively enhances Li deposition performance across multiple metrics. However, the beneficial effects of higher spacer pressure decrease with increasing deposition capacity. Specifically, at a low deposition capacity (1 mAh/cm2), a higher spacer pressure facilitates Li metal deposition by promoting SEI stabilization, enabling easier deposition, reducing impedance, and enhancing thermal stability. Conversely, at a high deposition capacity (4 mAh/cm2), the spacer pressure does not significantly improve the aforementioned properties. This study combines the morphology of deposited Li with electrochemical and thermal stability assessments, providing valuable research methods and results for evaluating the effects of external pressure on Li metal deposition. Full article
(This article belongs to the Section Chemical Processes and Systems)
Show Figures

Figure 1

14 pages, 3500 KB  
Article
Probing Phase Transitions and Interfacial Reorganization in TAPC/CBP/BPhen Organic Light-Emitting Diode Stacks by In Situ Ellipsometry
by Ilze Aulika, Patricija Paulsone, Sven Oras, Jelena Butikova, Margarita Anna Zommere, Elina Laizane and Aivars Vembris
Materials 2025, 18(10), 2261; https://doi.org/10.3390/ma18102261 - 13 May 2025
Viewed by 559
Abstract
The thermal behavior of a three-layer structure—glass/ITO/TAPC/CBP/BPhen—in an OLED system was investigated using in situ spectroscopic ellipsometry during controlled heating from room temperature to 120 °C over 60 min, simulating the ageing process and analyzing degradation kinetics. Variations in Ψ and Δ spectra [...] Read more.
The thermal behavior of a three-layer structure—glass/ITO/TAPC/CBP/BPhen—in an OLED system was investigated using in situ spectroscopic ellipsometry during controlled heating from room temperature to 120 °C over 60 min, simulating the ageing process and analyzing degradation kinetics. Variations in Ψ and Δ spectra were observed across the entire 0.7–5.9 eV spectral range, with five distinct anomalies, particularly in the UV region. An anomaly at approximately 66 °C was attributed to the glass transition temperature Tg of BPhen, while another two at around 82 °C and at around 112 °C corresponded to the first-order phase transition of TAPC and Tg of CBP, respectively. The origins of the remaining anomalies at 91 °C and 112 °C were explored in this study, with a focus on interphase layer formation and morphological changes that emerge during heating. These findings provide insights into the stability of OLEDs under thermal stress. Full article
Show Figures

Figure 1

12 pages, 13721 KB  
Article
Description of Paper–UV-Curable Thermochromic Ink Interactions with Surface-Free Energy Measurements
by Marina Vukoje, Rahela Kulčar and Tomislav Cigula
Macromol 2025, 5(2), 22; https://doi.org/10.3390/macromol5020022 - 6 May 2025
Viewed by 1250
Abstract
The adhesion of printing inks to printing substrates is a complex process influenced by both the physical and chemical properties of the printing substrate and of the printing ink. Synthetic paper, being a polymer with no absorption capability, limits the interaction between the [...] Read more.
The adhesion of printing inks to printing substrates is a complex process influenced by both the physical and chemical properties of the printing substrate and of the printing ink. Synthetic paper, being a polymer with no absorption capability, limits the interaction between the ink and substrate, leading to lower adhesion values. On synthetic paper, the thicker polymer resin layer covering the microcapsules results in a more stable ink film and lighter print coloration. In contrast, UV-curable ink applied to bulky and recycled papers, which have porous structures, exhibits more dynamic interactions. The polymer resin in the ink penetrates the paper’s pores, forming a stronger bond with the paper fibers and improving adhesion quality. Surface roughness also plays a significant role in ink adhesion. Rough surfaces increase contact between ink and paper, enhancing mechanical adhesion by allowing the ink to “lock” into the surface’s irregularities. The surface energy (SFE) at the interphase between paper and ink is also a key factor. Low SFE promotes better wetting and ink absorption, improving adhesion. Ink penetration into the printing substrate is crucial for achieving high-quality adhesion. Full article
Show Figures

Figure 1

18 pages, 5050 KB  
Article
Study on Direct-Contact Prelithiation of Soft Carbon Anodes Using Lithium Foil for Lithium-Ion Capacitors
by Minji Kang, Sanghyeock Jeong, Gabjin Hwang and Cheolhwi Ryu
Energies 2025, 18(9), 2276; https://doi.org/10.3390/en18092276 - 29 Apr 2025
Viewed by 610
Abstract
As the global energy demand continues to rise, the utilization of lithium-ion capacitors (LICs), which combine the advantages of lithium-ion batteries (LIBs) and electrochemical capacitors (ECs), is also increasing. LICs offer high energy density, high power density, and a long life cycle. However, [...] Read more.
As the global energy demand continues to rise, the utilization of lithium-ion capacitors (LICs), which combine the advantages of lithium-ion batteries (LIBs) and electrochemical capacitors (ECs), is also increasing. LICs offer high energy density, high power density, and a long life cycle. However, a prelithiation process is required for graphite-based anode materials. In LICs, the formation of the solid electrolyte interphase (SEI) layer inevitably causes an initial irreversible capacity loss, often resulting in the excessive consumption of lithium ions. Considering the limited lithium resources, prelithiation is essential to achieve a satisfactory electrochemical performance in LICs. Various anode prelithiation techniques have been reported to enhance the capacity of LIBs and LICs. Among these, the direct-contact prelithiation method involves physically contacting lithium metal with the electrode or active material. In this study, direct-contact prelithiation was performed on soft carbon-based anode materials, and LICs were fabricated using activated carbon-based cathode materials. The electrochemical properties of the fabricated LICs were evaluated to demonstrate the feasibility of applying the direct-contact prelithiation technique. Full article
(This article belongs to the Section D: Energy Storage and Application)
Show Figures

Figure 1

Back to TopTop