Sign in to use this feature.

Years

Between: -

Subjects

remove_circle_outline
remove_circle_outline
remove_circle_outline
remove_circle_outline
remove_circle_outline
remove_circle_outline
remove_circle_outline
remove_circle_outline
remove_circle_outline

Journals

remove_circle_outline
remove_circle_outline
remove_circle_outline
remove_circle_outline
remove_circle_outline
remove_circle_outline
remove_circle_outline
remove_circle_outline
remove_circle_outline
remove_circle_outline
remove_circle_outline
remove_circle_outline
remove_circle_outline
remove_circle_outline
remove_circle_outline
remove_circle_outline
remove_circle_outline
remove_circle_outline
remove_circle_outline
remove_circle_outline
remove_circle_outline
remove_circle_outline
remove_circle_outline
remove_circle_outline
remove_circle_outline
remove_circle_outline
remove_circle_outline
remove_circle_outline
remove_circle_outline
remove_circle_outline

Article Types

Countries / Regions

remove_circle_outline
remove_circle_outline
remove_circle_outline
remove_circle_outline
remove_circle_outline
remove_circle_outline
remove_circle_outline
remove_circle_outline

Search Results (2,340)

Search Parameters:
Keywords = information flow analysis

Order results
Result details
Results per page
Select all
Export citation of selected articles as:
30 pages, 2267 KB  
Article
Control of Discrete Fracture Networks on Gas Accumulation and Reservoir Performance: An Integrated Characterization and Modeling Study in the Shahezi Formation
by Yuan Zhang, Yong Tang, Huanxin Song and Liang Qiu
Appl. Sci. 2026, 16(1), 164; https://doi.org/10.3390/app16010164 (registering DOI) - 23 Dec 2025
Abstract
A central challenge in tight fault-depression reservoirs is understanding how three-dimensional fracture structures control gas storage and flow. This study introduces a data-driven, geologically informed framework that integrates structural-mechanical coupling to decipher fracture networks within the Shahezi Formation. Our model, based on rock [...] Read more.
A central challenge in tight fault-depression reservoirs is understanding how three-dimensional fracture structures control gas storage and flow. This study introduces a data-driven, geologically informed framework that integrates structural-mechanical coupling to decipher fracture networks within the Shahezi Formation. Our model, based on rock failure criteria, achieves quantitative fracture prediction across one-dimensional to three-dimensional scales. This capability overcomes the limitations inherent in single-method approaches for tight, fracture-dominated reservoirs. By synthesizing sedimentary facies-controlled reservoir modeling, sweet-spot inversion, and geo-engineering integration, we establish a predictive system for accurate reservoir assessment. The continental clastic Shahezi Formation is typified by secondary fractures. This study utilizes leverage small-scale data (core, thin section, log) to quantify key parameters (fracture density, aperture), enabling a systematic analysis of fracture typology, heterogeneity, and controls. Building on this foundation, and spatially constrained by large-scale datasets (seismic interpretation, stress-field simulations), we developed a robust fracture development model for deep tight reservoirs. Stress-field modeling delineated fracture-prone zones, where a discrete fracture network (DFN) model was built to characterize 3D fracture geometry and connectivity. Integrating simulated fracture size and aperture-derived permeability allowed us to quantify fracture contribution to total permeability, ultimately mapping favorable targets. The results identify favorable zones primarily in the western sector of the study area, forming an NS-trending, belt-like distribution. They are mainly concentrated around the wells Changshen-4, Changshen-40, and Changshen-41. This distribution is clearly controlled by the Qianshenzijing Fault. Full article
(This article belongs to the Section Energy Science and Technology)
13 pages, 790 KB  
Systematic Review
Could Lipo-Prostaglandin E1 Be the Key to Improving Success Rates in Free-Flap Microsurgery? A Systematic Review
by Abdullh AlQhtani
J. Clin. Med. 2026, 15(1), 92; https://doi.org/10.3390/jcm15010092 (registering DOI) - 23 Dec 2025
Abstract
Background: Microsurgery and free tissue transfer with microanastomoses are common practices that are reliable for restoring anatomical function and/or morphology. Maintaining adequate blood flow to transferred tissue and preventing thrombosis are key challenges in improving the success of surgery. We conducted a [...] Read more.
Background: Microsurgery and free tissue transfer with microanastomoses are common practices that are reliable for restoring anatomical function and/or morphology. Maintaining adequate blood flow to transferred tissue and preventing thrombosis are key challenges in improving the success of surgery. We conducted a systematic review to investigate the use, effects, and efficacy of lipo-prostaglandin E1 (lipo-PGE1) and PGE1, which have vasodilatory and anticoagulation effects, in microsurgery. Methods: Studies were reviewed for information about the administration of lipo-PGE1/PGE1, including the purpose, effectiveness, administered doses, and duration of use. This review included articles published up to 2024. Databases: PubMed, MEDLINE, and Embase were searched using the keywords: “flap” AND “prostaglandin E1” and “microsurgery” AND “prostaglandin E1.” Results: The initial database search yielded 359 citations; 14 were included in our study with qualitative analysis. These 14 original articles reported PGE1/lipo-PGE1 use in microsurgery for the reconstruction of different anatomical sites, with the most common being the head and neck. Twenty-one different flaps were used; the most common flaps used in head, neck, and lower limb reconstructions were anterolateral thigh flaps. Most studies reported using PGE1/lipo-PGE1 as an antithrombotic, an anticoagulant, a vasodilator, and a strategy to examine blood flow post administration. Only one study compared its effectiveness between two groups and showed significantly lower perfusion-related complications in the prostaglandin group than in the control group. Conclusions: Lipo-PGE1/PGE1 has potential vasodilator effects that increase blood flow through free flaps and potential anticoagulant properties that help prevent thrombosis in microanastomoses. However, multicenter, randomized controlled studies are needed to fully elucidate its benefits. Full article
Show Figures

Figure 1

44 pages, 1125 KB  
Review
Public Health Communication Challenges in Eastern Europe and Central Asia: A Scoping Review
by Lisa Lim, Aisha Mukasheva, Augustina Osaromiyeke Alegbe, Adaora Nancy Emehel, Bibigul Aubakirova and Yuliya Semenova
Int. J. Environ. Res. Public Health 2026, 23(1), 19; https://doi.org/10.3390/ijerph23010019 - 22 Dec 2025
Abstract
This scoping review examines public health communication across nine Eastern European and Central Asian states—Armenia, Azerbaijan, Belarus, Kazakhstan, Kyrgyzstan, Russia, Tajikistan, Turkmenistan, and Uzbekistan—highlighting how these systems have transitioned from Soviet-era legacies to contemporary practices. Eligibility criteria included the English- and Russian-language literature [...] Read more.
This scoping review examines public health communication across nine Eastern European and Central Asian states—Armenia, Azerbaijan, Belarus, Kazakhstan, Kyrgyzstan, Russia, Tajikistan, Turkmenistan, and Uzbekistan—highlighting how these systems have transitioned from Soviet-era legacies to contemporary practices. Eligibility criteria included the English- and Russian-language literature published from 1998 onwards, focusing on nine post-Soviet states. Sources of evidence comprised searches in Google Scholar, ScienceDirect, SSRN, Heliyon, MEDLINE/PubMed, and official government websites. Data were charted by three independent reviewers using a standardized form, with discrepancies resolved by senior reviewers. The review identifies persistent gaps in communication during health crises, with a particular focus on the COVID-19 pandemic, where centralized and hierarchical information flows often undermine transparency and responsiveness, as well as further increased health inequalities between rural and urban health outcomes. Despite ongoing reforms, the communication dimension of healthcare systems remains underdeveloped. Findings reveal that centralized and top-down communication remains a dominant feature across the region, hindering timely dissemination of information and limiting the capacity to counter misinformation, as both misinformation and disinformation sometimes emerge from the government. Ultimately, this review contributes a critical analysis of these systematic communication failures and underscores the need to strengthen public health communication and reduce health inequalities. To do it, governments must prioritize transparency, disclose decision-making processes, and rely on evidence-based messaging to build trust. Effective crisis response requires not only government leadership but also the active engagement of the medical and patient communities, supported by civil society and independent media. This review points out the need for more inclusive, transparent, and trust-oriented communication strategies to enhance public health preparedness and resilience in nine Eastern European and Central Asian contexts. Full article
(This article belongs to the Special Issue Understanding and Addressing Factors Related to Health Inequalities)
18 pages, 8537 KB  
Article
Complexity of Horizontal Oil–Gas–Water Flows in Deepwater Simulation Well: Insights from Multiscale Phase Permutation Entropy Analysis
by Lusheng Zhai, Yukun Huang, Jiawei Qiao and Jingru Cui
Energies 2026, 19(1), 52; https://doi.org/10.3390/en19010052 - 22 Dec 2025
Abstract
Deepwater oil–gas–water three-phase flow is widely regarded as a multiphase system. Intense interfacial interactions cause significant nonuniform fluid distributions in the wellbore, giving rise to complex nonlinear dynamics. In this study, a distributed conductance sensor (DCS) was developed to capture local flow information [...] Read more.
Deepwater oil–gas–water three-phase flow is widely regarded as a multiphase system. Intense interfacial interactions cause significant nonuniform fluid distributions in the wellbore, giving rise to complex nonlinear dynamics. In this study, a distributed conductance sensor (DCS) was developed to capture local flow information from a horizontal oil–gas–water simulation well. To quantify the complexity of nonlinear time series, phase permutation entropy (PPE) was first validated using artificial data, including the Tent map, Hénon map, and Lorenz system. PPE demonstrates superior capability in detecting abnormal dynamical changes compared with permutation entropy (PE). Subsequently, PPE is combined with the multiscale approach, i.e., multiscale phase permutation entropy (MPPE), to analyze the DCS signals and uncover the complexity of horizontal oil–gas–water flows. The results show that the MPPE analysis can reveal the spatial distribution characteristics of elongated gas bubbles, gas paths, dispersed bubbles and oil droplets. Full article
(This article belongs to the Section H1: Petroleum Engineering)
Show Figures

Figure 1

20 pages, 6458 KB  
Article
Quantifying Causal Impact of Drought on Vegetation Degradation in the Chad Basin (2000–2023) with Machine Learning-Enhanced Transfer Entropy
by Arnob Bormudoi and Masahiko Nagai
GeoHazards 2026, 7(1), 2; https://doi.org/10.3390/geohazards7010002 - 21 Dec 2025
Abstract
Establishing quantitative causal relationships between drought indicators and vegetation degradation in the Chad Basin remained challenging due to statistical limitations of applying traditional Transfer Entropy to finite-length remote sensing time series. This study implemented a Machine Learning Enhanced Transfer Entropy structure to quantify [...] Read more.
Establishing quantitative causal relationships between drought indicators and vegetation degradation in the Chad Basin remained challenging due to statistical limitations of applying traditional Transfer Entropy to finite-length remote sensing time series. This study implemented a Machine Learning Enhanced Transfer Entropy structure to quantify directed information flow from primary drought drivers of precipitation and land surface temperature to vegetation dynamics from 2000 to 2023. A feed-forward neural network trained on 10,000 synthetic samples with known theoretical Transfer Entropies enabled causal inference from 24-year MODIS-derived NDVI, land surface temperature, and precipitation. The trained model was applied over 10 million pixels, producing Transfer Entropy maps. Results showed that precipitation and land surface temperature exerted comparable causal influences on NDVI, with mean Transfer Entropy values of 0.064 and 0.063, ranging from 0.041 to 0.388. Spatial analysis revealed distinct causal hotspots exceeding 75th percentile threshold of 0.069, indicating driver-specific vulnerability zones. The decline in mean annual NDVI from 0.225 in 2019 to 0.194 in 2023, together with spatially divergent hotspots, highlighted the need for geographically targeted land management. The study overcame finite-length time-series limitations and provided a replicable pathway for vulnerability assessment and climate adaptation planning in data-constrained drylands in the Chad Basin in Africa. Full article
Show Figures

Figure 1

16 pages, 1728 KB  
Article
Phylogeographic and Host Interface Analyses Reveal the Evolutionary Dynamics of SAT3 Foot-And-Mouth Disease Virus
by Shuang Zhang, Jianing Lv, Yao Lin, Rong Chai, Jiaxi Liang, Yan Su, Zhuo Tian, Hanyu Guo, Fuyun Chen, Guanying Ni, Gang Wang, Chunmei Song, Baoping Li, Qiqi Wang, Sen Zhao, Qixin Huang, Xuejun Ji, Jieji Duo, Fengjun Bai, Jin Li, Shuo Chen, Xueying Pan, Qin La, Zhong Hong and Xiaolong Wangadd Show full author list remove Hide full author list
Viruses 2025, 17(12), 1641; https://doi.org/10.3390/v17121641 - 18 Dec 2025
Viewed by 171
Abstract
Foot-and-mouth disease virus (FMDV) serotype SAT3 is a rarely studied serotype primarily circulating in southern Africa, with African buffalo (Syncerus caffer) serving as its key reservoir. In this study, we performed a comprehensive phylogenetic and phylodynamic analysis of SAT3 based on [...] Read more.
Foot-and-mouth disease virus (FMDV) serotype SAT3 is a rarely studied serotype primarily circulating in southern Africa, with African buffalo (Syncerus caffer) serving as its key reservoir. In this study, we performed a comprehensive phylogenetic and phylodynamic analysis of SAT3 based on 81 full-length VP1 gene sequences collected between 1934 and 2018. Maximum likelihood and Bayesian analyses revealed five distinct topotypes, each with clear geographic and host associations. Notably, topotypes I, II and III were observed in both African buffalo and cattle (Bos taurus), while topotype IV appeared restricted to African buffalo. Likelihood mapping indicated moderate to strong phylogenetic signal, and the mean substitution rate was estimated at 3.709 × 10−3 substitutions/site/year under a relaxed molecular clock. The time to the most recent common ancestor (TMRCA) was traced back to 1875. Discrete phylogeographic reconstruction identified Zimbabwe as a major center, with multiple supported cross-border transmission routes. Host transition analysis further confirmed strong directional flow from buffalo to cattle (BF = 1631.09, pp = 1.0), highlighting the wildlife–livestock interface as a key driver of SAT3 persistence. Together, these results underscore the evolutionary complexity of SAT3 and the importance of integrating molecular epidemiology, spatial modeling, and host ecology to inform FMD control strategies in endemic regions. Full article
(This article belongs to the Special Issue Foot-and-Mouth Disease Virus)
Show Figures

Figure 1

19 pages, 5899 KB  
Article
Small-Signal Modeling of Asymmetric PWM Control-Based Parallel Resonant Converter
by Na-Yeon Kim and Kui-Jun Lee
Electronics 2025, 14(24), 4970; https://doi.org/10.3390/electronics14244970 - 18 Dec 2025
Viewed by 74
Abstract
This paper proposes a small-signal model of a DC–DC parallel resonant converter operating in continuous conduction mode based on asymmetric pulse-width modulation (APWM) under light-load conditions. The parallel resonant converter enables soft switching and no-load control over a wide load range because the [...] Read more.
This paper proposes a small-signal model of a DC–DC parallel resonant converter operating in continuous conduction mode based on asymmetric pulse-width modulation (APWM) under light-load conditions. The parallel resonant converter enables soft switching and no-load control over a wide load range because the resonant capacitor is connected in parallel with the load. However, the resonant energy required for soft switching is already sufficient, and the current flowing through the resonant tank is independent of the load magnitude; therefore, as the load decreases, the energy that is not delivered to the load and instead circulates meaninglessly inside the resonant tank increases. This results in conduction loss and reduced efficiency. To address this issue, APWM with a fixed switching frequency is required, which reduces circulating energy and improves efficiency under light-load conditions. Precise small-signal modeling is required to optimize the APWM controller. Unlike PFM or PSFB, APWM includes not only sine components but also DC and cosine components in the control signal due to its asymmetric switching characteristics, and this study proposes a small-signal model that can relatively accurately reflect these multi-harmonic characteristics. The proposed model is derived based on the Extended Describing Function (EDF) concept, and the derived transfer function is useful for systematically analyzing the dynamic characteristics of the APWM-based parallel resonant converter. In addition, it provides information that can systematically analyze the dynamic characteristics of various APWM-based resonant converters and control signals that reflect various harmonic characteristics, and it can be widely applied to future control design and analysis studies. The validity of the model is verified through MATLAB (R2025b) and PLECS (4.7.5) switching-model simulations and experimental results, confirming its high accuracy and practicality. Full article
(This article belongs to the Special Issue New Insights in Power Electronics: Prospects and Challenges)
Show Figures

Figure 1

20 pages, 2711 KB  
Article
Hydrogeochemical and Biological Attributes of Chiuchiu Pond, a Pre-Andean Wetland in Northern Chile: Bases for Its Protection and Conservation
by Benito Gómez-Silva, Luis Cáceres, Milton Urrutia and Alexandra Galetović
Hydrobiology 2025, 4(4), 34; https://doi.org/10.3390/hydrobiology4040034 - 18 Dec 2025
Viewed by 118
Abstract
The Chiuchiu Pond (CCP) is an inland brackish water body in a pre-Andean scenery in the Atacama Desert, northern Chile. Presently unprotected, the CCP is attractive for tourism and a notable geosite for wildlife characterized by maintaining a fixed water level and chemical [...] Read more.
The Chiuchiu Pond (CCP) is an inland brackish water body in a pre-Andean scenery in the Atacama Desert, northern Chile. Presently unprotected, the CCP is attractive for tourism and a notable geosite for wildlife characterized by maintaining a fixed water level and chemical composition without surface inlets/outlets. This paper aims to characterize factors accounting for its perennial character by gathering climatic, hydrogeochemical, and morphometric information and microbiological and functional characterization. The CCP is an isolated U-shaped doline with a maximum depth of 17.5 m and vertical walls with more than 80% of soluble salts (halite and calcite) under arid conditions characterized by constant seasonal variation patterns. This is a unique case in that no similar conditions among reported wetlands or ponds have been found in the world. From our studies, it was characterized as an oligotrophic, lentic oligomictic, well-mixed water body, without thermal stratification, stable water level and hydrochemical composition, with water balance conditions from underground flows. Analysis of the microbial community revealed a core composition dominated by Proteobacteria (43.1%), Bacteroidetes (23.5%), and Cyanobacteria (10%). We provide a multidisciplinary contribution to justify urgent actions for the CCP’s conservation, representing a model for other unprotected coastal and inland wetlands in northern Chile and drylands elsewhere. Full article
Show Figures

Figure 1

15 pages, 4501 KB  
Article
Genetic Diversity and Population Structure of Rumex crispus in South Korea Based on Genome-Derived Microsatellite Markers
by Eun-Hye Kim, Kang-Rae Kim, Yujin Hwang, Ju-Hui Jeong, Jaeduk Goh, Jeong-Nam Yu and Mi-Hwa Lee
Plants 2025, 14(24), 3806; https://doi.org/10.3390/plants14243806 - 14 Dec 2025
Viewed by 258
Abstract
Rumex crispus L. is a globally distributed invasive species that has naturalized in South Korea, where its use as a medicinal, edible, and ecological restoration resource continues to expand. However, its genetic background remains insufficiently understood, underscoring the need for species-specific molecular markers [...] Read more.
Rumex crispus L. is a globally distributed invasive species that has naturalized in South Korea, where its use as a medicinal, edible, and ecological restoration resource continues to expand. However, its genetic background remains insufficiently understood, underscoring the need for species-specific molecular markers to enable accurate assessments of intraspecific genetic diversity and population structure. Using 19 newly developed microsatellite markers, we analyzed 120 plants from 6 populations in the riparian zone. A total of 166 alleles were detected, with a mean polymorphism information content of 0.637. Across the six populations, genetic diversity analysis showed mean observed (Ho = 0.304) and expected (He = 0.588) heterozygosity values indicative of heterozygote deficiency (inbreeding coefficient FIS = 0.456–0.559). Genetic differentiation was low in AMOVA (10%) and FST (0.048–0.120) but higher in Jost’s D (0.096–0.342). STRUCTURE analysis identified two major genetic clusters (ΔK = 2), and spatial Bayesian clustering revealed six distinct genetic units (K = 6), suggesting that partial barriers to gene flow may have influenced population structure. These findings provide essential genetic insights that can support the effective control of R. crispus spread and its potential use as a valuable plant resource. Full article
(This article belongs to the Special Issue Genetic Diversity and Population Structure of Plants)
Show Figures

Figure 1

27 pages, 2999 KB  
Article
Revolutionizing Intelligent Decision-Making in Big Data and AI-Generated Networks Through a Picture Fuzzy FUCA Framework
by Yantu Ma
Symmetry 2025, 17(12), 2147; https://doi.org/10.3390/sym17122147 - 13 Dec 2025
Viewed by 138
Abstract
In the current digital landscape, where platforms process AI-generated content and intelligent network traffic on a large scale, it is the duty of such platforms to continuously measure the reliability, trustworthiness, and security of various data streams. Driven by this practical challenge, this [...] Read more.
In the current digital landscape, where platforms process AI-generated content and intelligent network traffic on a large scale, it is the duty of such platforms to continuously measure the reliability, trustworthiness, and security of various data streams. Driven by this practical challenge, this research develops an effective decision-support mechanism in intelligent decision-making in big-data AI-generated content and network systems. The decision problem has considered several uncertainties, including content authenticity, processing efficiency, user trust, cybersecurity, system scalability, privacy protection, and cost of computing. The multidimensional uncertainty of AI-generated information and trends in network behavior are challenging to capture in traditional crisp and fuzzy decision-making models. To fill that gap, a new Picture Fuzzy Faire Un Choix Adequat (PF-FUCA) methodology is proposed, based on multi-perspective expert assessment and better computational aggregation to improve the accuracy of rankings, symmetry, and uncertainty treatment. A case scenario comprising fifteen different alternative intelligent decision strategies and seven evaluation criteria are examined under the evaluation of four decision-makers. The PF-FUCA model successfully prioritizes the best strategies to control AI-based content and network activities to generate a stable and realistic ranking. The comparative and sensitivity analysis show higher robustness, accuracy, and flexibility levels than the existing MCDM techniques. The results indicate that PF-FUCA is specifically beneficial in settings where a large amount of data has to flow, a high uncertainty rate exists, and the variables of decision are dynamic. The research introduces a scalable and credible methodological conception that can be used to facilitate high levels of intelligent computing applications to content governance and network optimization. Full article
(This article belongs to the Section Computer)
Show Figures

Figure 1

22 pages, 1973 KB  
Review
Comparative Evaluation of Spreadability Measurement Methods for Topical Semisolid Formulations/A Scoping Review
by Elham Y. Al-Barghouthy, Saja Hamed, Ghadeer F. Mehyar and Hatim S. AlKhatib
Gels 2025, 11(12), 1006; https://doi.org/10.3390/gels11121006 - 12 Dec 2025
Viewed by 275
Abstract
Background: Spreadability is a critical performance attribute for semisolid formulations, influencing patient compliance, dose uniformity, and product acceptability. Despite its importance, there is no standardized method for its assessment across pharmaceutical and cosmetic applications. Objective: This review uniquely integrates systematic literature mapping with [...] Read more.
Background: Spreadability is a critical performance attribute for semisolid formulations, influencing patient compliance, dose uniformity, and product acceptability. Despite its importance, there is no standardized method for its assessment across pharmaceutical and cosmetic applications. Objective: This review uniquely integrates systematic literature mapping with an experimental comparison of five spreadability assessment techniques, providing evidence-based recommendations for harmonizing protocols and improving reproducibility in semisolid formulation testing. Methods: A systematic search of PubMed, Scopus, and Web of Science identified 211 records, of which 14 studies met the inclusion criteria. Techniques reviewed included parallel-plate, slip-and-drag, rheometry (flow curve and amplitude sweep), texture analysis, and frictiometry. An experimental comparison was conducted on ten commercial formulations using all five techniques to assess inter-method variability and formulation-dependent behavior. Results: Texture analyzer and amplitude sweep rheometry emerged as the most reproducible and predictive methods, showing strong correlation (r = 0.74) in both literature and experimental data. Flow curve yield stress negatively correlated with parallel-plate spreadability (r = −0.796). Frictiometry results varied significantly with formulation type, particularly for ointments. Creams consistently ranked highest in spreadability across methods. Conclusion: No single method universally captures spreadability. Amplitude sweep rheometry correlated well with texture analysis, while flow curve values were more variable. Parallel-plate testing showed strong agreement with rheological and tribological methods, though texture analysis diverged, capturing distinct mechanical attributes. A tiered approach integrating parallel-plate, amplitude sweep, and frictiometry is recommended, with flow curve retained for regulatory compliance. Texture analysis provides valuable orthogonal information. Standardization of parallel-plate protocols is needed to establish unified spreadability indices. Full article
(This article belongs to the Section Gel Analysis and Characterization)
Show Figures

Graphical abstract

19 pages, 902 KB  
Article
Prevention of Postpartum Depression via a Digital ACT-Based Intervention: Evaluation of a Prototype Using Multiple Case Studies
by Anna Elena Nicoletti, Silvia Rizzi, Stefano Fait and Oscar Mayora-Ibarra
Behav. Sci. 2025, 15(12), 1723; https://doi.org/10.3390/bs15121723 - 12 Dec 2025
Viewed by 142
Abstract
Postpartum depression (PPD) affects up to 15% of mothers, yet access to preventive psychological interventions during pregnancy remains limited. Acceptance and Commitment Therapy (ACT) has demonstrated efficacy in promoting psychological flexibility and preventing mental distress. Nevertheless, no studies have yet evaluated its use [...] Read more.
Postpartum depression (PPD) affects up to 15% of mothers, yet access to preventive psychological interventions during pregnancy remains limited. Acceptance and Commitment Therapy (ACT) has demonstrated efficacy in promoting psychological flexibility and preventing mental distress. Nevertheless, no studies have yet evaluated its use for the prevention of PPD through a chatbot-based digital intervention. The present study describes the development and preliminary evaluation of an ACT-based chatbot intervention (REA) to support women during late pregnancy and the early postpartum period. Nineteen participants interacted with the low-fidelity REA prototype, explored its features, completed two questionnaires, and then participated in semi-structured interviews. Quantitative data were analysed using the Wilcoxon signed-rank test; qualitative data were analysed using thematic analysis. Quantitative analysis revealed significantly elevated scores for the majority of variables, including empathy and listening, fluency, lexicon, clarity, engagement, functionality, aesthetics, information, and perceived impact. The interview findings demonstrated a notable level of appreciation for the intervention. The participants described the chatbot as engaging and supportive, highlighting a smooth interaction flow, content-appropriate language, and messages of suitable length. The REA prototype demonstrated high acceptability, usability, and perceived usefulness among a diverse range of stakeholders, thus supporting its potential as a scalable, stigma-reducing tool for the prevention of PPD. Subsequent research endeavours will focus on refining the chatbot’s personalisation features and conducting comprehensive clinical trials to evaluate its efficacy. Full article
(This article belongs to the Special Issue Psychological Flexibility for Health and Wellbeing)
Show Figures

Figure 1

19 pages, 2566 KB  
Article
Occurrence and Distribution of Antibiotics and Antibiotic Resistance Genes in the Water and Sediments of Reservoir-Based Drinking Water Sources in Henan, China
by Wei Yuan, Yijun Shang, Meng Bai, Mingwang Sun, Ziqiang Su, Xi Yang, Luqman Riaz, Yiping Guo and Jianhong Lu
Microorganisms 2025, 13(12), 2828; https://doi.org/10.3390/microorganisms13122828 - 12 Dec 2025
Viewed by 294
Abstract
The improper use of antibiotics accelerates the emergence of resistance via environmental selection pressures, jeopardizing public health and ecosystems by promoting the worldwide dissemination of antibiotic resistance genes (ARGs). Reservoirs, as crucial water supplies, have been recognized as primary reservoirs of ARGs, particularly [...] Read more.
The improper use of antibiotics accelerates the emergence of resistance via environmental selection pressures, jeopardizing public health and ecosystems by promoting the worldwide dissemination of antibiotic resistance genes (ARGs). Reservoirs, as crucial water supplies, have been recognized as primary reservoirs of ARGs, particularly those that originate from the Yellow River, necessitating further investigation. This study analyzed 9 ARGs, 3 mobile genetic elements (MGEs), 16 antibiotics, and 10 heavy metals in water/sediments from three reservoirs originating from the Yellow River in Henan Province, China. The findings indicated that antibiotic concentrations in water exceeded those in sediment, with quinolones detected at 100% frequency (5.47–116.03 ng/L) and enrofloxacin predominating (3.36–107.71 ng/L). Redundancy analysis revealed that MGEs exert greater control over ARG dissemination than antibiotics, with intI1 showing strong positive correlations with sul1 (p < 0.05). Conversely, heavy metals (Zn, As, Cd) suppress ARG proliferation through negative selection pressures. A network study indicated Mycobacterium, Pseudarthrobacter, and Massilia as critical hosts for ermB, tetA, and qnrA, respectively. Of the three reservoirs, Jian’gang Reservoir, driven by synergistic effects of unique microbial ecology, water self-purification capacity, and flow dynamics, exhibited the best removal effectiveness of ARGs from input to outflow, with 71.75% in the water and 97.91% in the sediment. These findings provide critical insights into the prevalence, migration, and self-purification processes of ARGs in reservoirs originating from the Yellow River, integrating environmental factors and microbial data to clarify the complex dynamics affecting ARG behavior and inform targeted pollution control strategies. Full article
Show Figures

Figure 1

32 pages, 9708 KB  
Article
A Systematic Analysis of Physics-Informed Neural Networks for Two-Phase Flow with Capillarity: The Muskat–Leverett Problem
by Timur Imankulov, Alibek Kuljabekov, Samson Dawit Bekele, Zhumabek Zhantayev, Bakytzhan Assilbekov and Yerzhan Kenzhebek
Appl. Sci. 2025, 15(24), 13011; https://doi.org/10.3390/app152413011 - 10 Dec 2025
Viewed by 334
Abstract
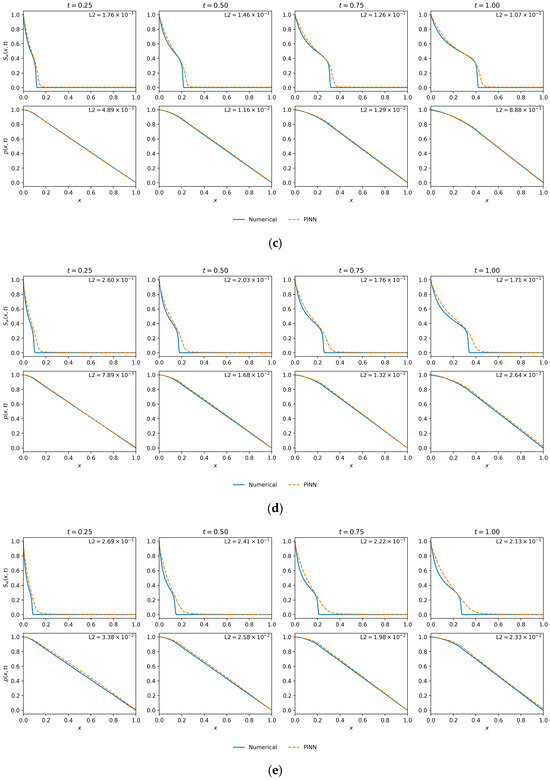
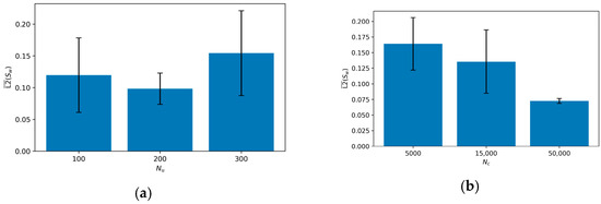
This work develops and systematically evaluates a physics-informed neural network (PINN) solver for the fully coupled, time-dependent Muskat–Leverett system with capillarity modeled in the pressure equation. A single shallow–wide multilayer perceptron jointly predicts wetting pressure and water saturation; physical capillary pressure regularizes the [...] Read more.
This work develops and systematically evaluates a physics-informed neural network (PINN) solver for the fully coupled, time-dependent Muskat–Leverett system with capillarity modeled in the pressure equation. A single shallow–wide multilayer perceptron jointly predicts wetting pressure and water saturation; physical capillary pressure regularizes the saturation front, while a small numerical diffusion term in the saturation residual acts as a training stabilizer rather than a shock-capturing device. To guarantee admissible states in stiff regimes, we introduce a saturation soft-clamping head enforcing 0<Sw<1 and activate it selectively for stiff mobility ratios. Using IMPES solutions as reference, we perform a sensitivity study over network depth and width, interior collocation and boundary data density, mobility ratio, and injection pressure. Shallow-wide networks (10 layers × 50 neurons) consistently outperform deeper architectures, and increasing interior collocation points from 5000 to 50,000 reduces mean saturation error by about half, whereas additional boundary data have a much weaker effect. Accuracy is highest at an intermediate mobility ratio and improves monotonically with higher injection pressure, which sharpens yet better conditions the front. Across all regimes, pressure trains easily while saturation determines model selection, and the PINN serves as a physics-consistent surrogate for what-if studies in two-phase porous-media flow. Full article
(This article belongs to the Section Fluid Science and Technology)
Show Figures

Figure 1

18 pages, 466 KB  
Article
Mechanism and Causality Identification for Thickness and Shape Quality Deviations in Hot Tandem Rolling
by Shengyue Zong and Jiwei Chen
Symmetry 2025, 17(12), 2117; https://doi.org/10.3390/sym17122117 - 9 Dec 2025
Viewed by 179
Abstract
This article proposes a dynamic causal inference framework that integrates theoretical analysis, numerical simulation, and industrial data mining to address the root-cause tracing problem of time-delay effects in strip thickness and shape quality during hot rolling. First, we analyze the key process parameters, [...] Read more.
This article proposes a dynamic causal inference framework that integrates theoretical analysis, numerical simulation, and industrial data mining to address the root-cause tracing problem of time-delay effects in strip thickness and shape quality during hot rolling. First, we analyze the key process parameters, equipment states, and material characteristics influencing geometric quality and clarify their dynamic interaction mechanisms. Second, a delay-correlation matrix calculation method based on Dynamic Time Warping (DTW) and Mutual Information (MI) is developed to handle temporal misalignment in multi-source industrial signals and quantify the strength of delayed correlations. Furthermore, a transformer-based information gain approximation mechanism is designed to replace traditional explicit probability modeling and learn dynamic information-flow relationships among variables in a data-driven manner. Experimental verification on real production data demonstrates that the proposed framework can accurately identify time-delay causal pathways, providing an interpretable and engineering-feasible solution for quality control under complex operating conditions. Full article
(This article belongs to the Section Engineering and Materials)
Show Figures

Figure 1

Back to TopTop