Small-Signal Modeling of Asymmetric PWM Control-Based Parallel Resonant Converter
Abstract
1. Introduction
2. Comparison of APWM and PSFB
3. Small-Signal Modeling
3.1. Nonlinear State Equation
3.2. Harmonic Approximation
3.3. Extended Describing Function
3.4. Harmonic Balance
3.5. Steady-State Solution
3.6. Perturbation and Linearization
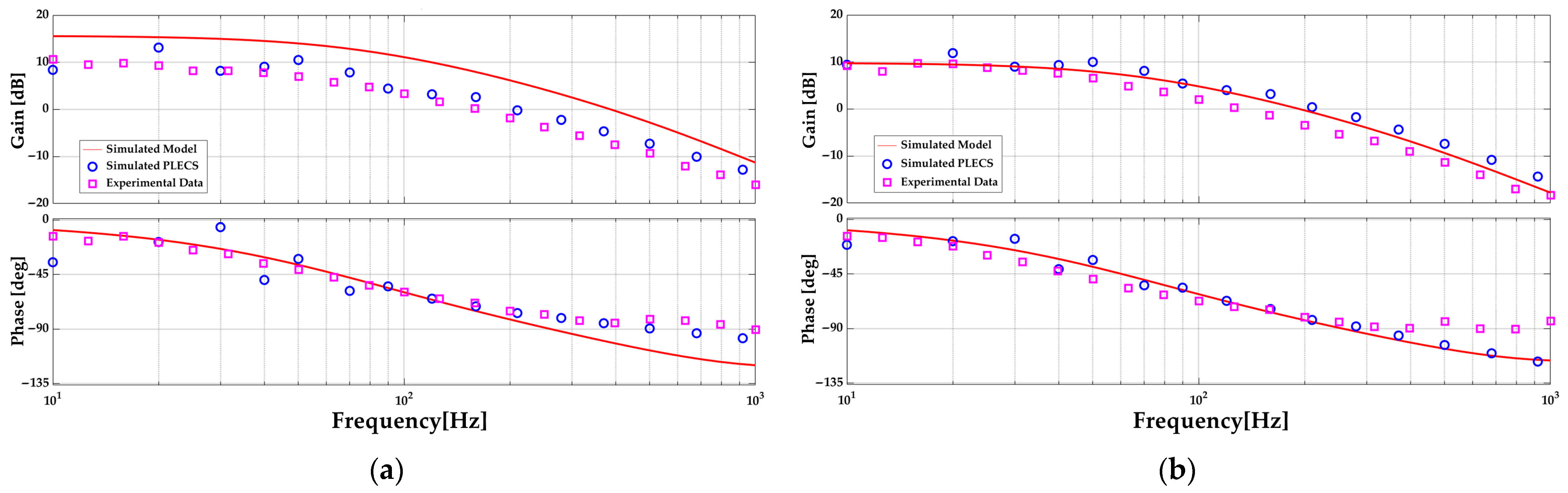
4. Simulation and Experimental Results
4.1. Simulation Results
4.2. Experimental Results
5. Conclusions
Author Contributions
Funding
Data Availability Statement
Conflicts of Interest
Abbreviations
| PFM | Pulse-Frequency Modulation |
| PSFB | Phase-Shift Full-Bridge |
| APWM | Asymmetric Pulse-Width Modulation |
| EDF | Extended Describing Function |
| PRC | Parallel Resonant Converter |
| SRC | Series Resonant Converter |
| DAB | Dual Active Bridge |
| ZVS | Zero-Voltage Switching |
| ZCS | Zero-Current Switching |
| CCM | Continuous Conduction Mode |
| DCM | Discontinuous Conduction Mode |
| Input Voltage | |
| Output Voltage | |
| Full Bridge Inverter Output Voltage | |
| S1, S2, S3, S4 | Switch |
| D1, D2, D3, D4 | Diode |
| L | Resonant Inductor |
| C | Resonant Capacitor |
| Equivalent Series Resistance of Resonant Tank | |
| Equivalent Series Resistance of Filter Capacitor | |
| Filter Inductor | |
| Filter Capacitor | |
| Load Resistance | |
| Perturbed Small-Signal Output Current |
References
- Kwon, Y.D.; Freijedo, F.D.; Wijekoon, T.; Liserre, M. Series Resonant Converter-Based Full-Bridge DC–DC Partial Power Converter for Solar PV. IEEE J. Emerg. Sel. Top. Power Electron. 2024, 2, 1719–1729. [Google Scholar] [CrossRef]
- Soumiah, S.; Vengatesh, R.P.; Rajan, S.E. Performance evaluation of single switch high frequency resonant power converter for alternative energy sources. In Proceedings of the 2015 International Conference on Circuits, Power and Computing Technologies [ICCPCT-2015], Nagercoil, India, 19–20 March 2015; pp. 1–10. [Google Scholar]
- Kim, J.-W.; Barbosa, P. PWM-Controlled Series Resonant Converter for Universal Electric Vehicle Charger. IEEE Trans. Power Electron. 2021, 12, 13578–13588. [Google Scholar] [CrossRef]
- Dao, N.D.; Lee, D.-C.; Phan, Q.D. High-Efficiency SiC-Based Isolated Three-Port DC/DC Converters for Hybrid Charging Stations. IEEE Trans. Power Electron. 2020, 10, 10455–10465. [Google Scholar] [CrossRef]
- Phankong, N.; Chudjuarjeen, S.; Bhumkittipich, K.; Hikihara, T. Half bridge soft switching resonant converter with silicon carbide power MOSFETs for induction heating. In Proceedings of the 2016 19th International Conference on Electrical Machines and Systems (ICEMS), Chiba, Japan, 13–16 November 2016; pp. 1–4. [Google Scholar]
- Steigerwald, R.L. A comparison of half-bridge resonant converter topologies. IEEE Trans. Power Electron. 1988, 3, 174–182. [Google Scholar] [CrossRef]
- Guo, Z.; Zhu, Y.; Sha, D. Zero-Voltage-Switching Asymmetrical PWM Full-Bridge DC–DC Converter with Reduced Circulating Current. IEEE Trans. Ind. Electron. 2021, 5, 3840–3853. [Google Scholar] [CrossRef]
- Jain, A.K.; Ayyanar, R. Pwm control of dual active bridge: Comprehensive analysis and experimental verification. IEEE Trans. Power Electron. 2011, 26, 1215–1227. [Google Scholar] [CrossRef]
- Zhao, B.; Yu, Q.; Sun, W. Extended-Phase-Shift Control of Isolated Bidirectional DC–DC Converter for Power Distribution in Microgrid. IEEE Trans. Power Electron. 2012, 27, 4667–4680. [Google Scholar] [CrossRef]
- Chen, G.; Chen, Z.; Chen, Y.; Feng, C.; Zhu, X. Asymmetric Phase-Shift Modulation Strategy of DAB Converters for Improved Light-Load Efficiency. IEEE Trans. Power Electron. 2022, 37, 9104–9113. [Google Scholar] [CrossRef]
- Mahdavifard, M.; Mazloum, N.; Zahin, F.; KhakparvarYazdi, A.; Abasian, A.; Khajehoddin, S.A. An Asymmetrical DAB Converter Modulation and Control Systems to Extend the ZVS Range and Improve Efficiency. IEEE Trans. Power Electron. 2022, 37, 12774–12792. [Google Scholar] [CrossRef]
- Lee, K.-J. Steady-State Analysis of Asymmetrical Pulse-Width-Modulated Series Resonant Converter for Light Load Condition. Electronics 2025, 14, 63. [Google Scholar] [CrossRef]
- Ryu, S.-H.; Kim, D.-H.; Kim, M.-J.; Kim, J.-S.; Lee, B.-K. Adjustable Frequency–Duty-Cycle Hybrid Control Strategy for Full-Bridge Series Resonant Converters in Electric Vehicle Chargers. IEEE Trans. Ind. Electron. 2014, 61, 5354–5362. [Google Scholar]
- Pont, N.C.D.; Bandeira, D.G.; Lazzarin, T.B.; Barbi, I. A ZVS APWM Half-Bridge Parallel Resonant DC–DC Converter with Capacitive Output. IEEE Trans. Ind. Electron. 2019, 7, 5231–5241. [Google Scholar] [CrossRef]
- Jain, P.K.; St-Martin, A.; Edwards, G. Asymmetrical pulse-width-modulated resonant DC/DC converter topologies. IEEE Trans. Power Electron. 1996, 3, 413–422. [Google Scholar] [CrossRef]
- Middlebrook, R.D.; Cuk, S. A general unified approach to modelling switching-converter power stages. In Proceedings of the 1976 IEEE Power Electronics Specialists Conference, Cleveland, OH, USA, 8–10 June 1976; pp. 18–34. [Google Scholar]
- Shortt, D.J.; Lee, F.C. Extensions of the Discrete-Average Models for Converter Power Stages. IEEE Trans. Aerosp. Electron. Syst. 1984, AES-20, 279–289. [Google Scholar] [CrossRef]
- Verghese, G.C.; Elbuluk, M.E.; Kassakian, J.G. A General Approach to Sampled-Data Modeling for Power Electronic Circuits. IEEE Trans. Power Electron. 1986, PE-1, 76–89. [Google Scholar] [CrossRef]
- Yang, E.X.; Lee, F.C.; Jovanovic, M.M. Small-signal modeling of series and parallel resonant converters. In Proceedings of the APEC ‘92 Seventh Annual Applied Power Electronics Conference and Exposition, Boston, MA, USA, 23–27 February 1992; pp. 785–792. [Google Scholar]
- Chang, C.-H.; Chang, E.-C.; Cheng, C.-A.; Cheng, H.-L.; Lin, S.-C. Small Signal Modeling of LLC Resonant Converters Based on Extended Describing Function. In Proceedings of the 2012 International Symposium on Computer, Consumer and Control, Taichung, Taiwan, 4–6 June 2012; pp. 365–368. [Google Scholar]
- Tian, S.; Lee, F.C.; Li, Q. Equivalent Circuit Modeling of LLC Resonant Converter. IEEE Trans. Power Electron. 2020, 8, 8833–8845. [Google Scholar] [CrossRef]
- Yuan, J.; Wang, N.; Wang, X.; Wang, F.; Liu, M. A Small-Signal Modeling Method for Bidirectional CLLC Resonant Converter. In Proceedings of the IECON 2023—49th Annual Conference of the IEEE Industrial Electronics Society, Singapore, 16–19 October 2023; pp. 1–6. [Google Scholar]
- Yang, E.X.; Lee, F.C.; Jovanovic, M.M. Small-signal modeling of LCC resonant converter. PESC ‘92 Record. In Proceedings of the 23rd Annual IEEE Power Electronics Specialists Conference, Toledo, Spain, 29 June–3 July 1992; pp. 941–948. [Google Scholar]
- Park, G.-M.; Lee, K.-J. Small-Signal Modeling of Asymmetric PWM Control Based Series Resonant Converter. Electronics 2025, 14, 3394. [Google Scholar] [CrossRef]
















| 28.8 [kHz] |
Disclaimer/Publisher’s Note: The statements, opinions and data contained in all publications are solely those of the individual author(s) and contributor(s) and not of MDPI and/or the editor(s). MDPI and/or the editor(s) disclaim responsibility for any injury to people or property resulting from any ideas, methods, instructions or products referred to in the content. |
© 2025 by the authors. Licensee MDPI, Basel, Switzerland. This article is an open access article distributed under the terms and conditions of the Creative Commons Attribution (CC BY) license (https://creativecommons.org/licenses/by/4.0/).
Share and Cite
Kim, N.-Y.; Lee, K.-J. Small-Signal Modeling of Asymmetric PWM Control-Based Parallel Resonant Converter. Electronics 2025, 14, 4970. https://doi.org/10.3390/electronics14244970
Kim N-Y, Lee K-J. Small-Signal Modeling of Asymmetric PWM Control-Based Parallel Resonant Converter. Electronics. 2025; 14(24):4970. https://doi.org/10.3390/electronics14244970
Chicago/Turabian StyleKim, Na-Yeon, and Kui-Jun Lee. 2025. "Small-Signal Modeling of Asymmetric PWM Control-Based Parallel Resonant Converter" Electronics 14, no. 24: 4970. https://doi.org/10.3390/electronics14244970
APA StyleKim, N.-Y., & Lee, K.-J. (2025). Small-Signal Modeling of Asymmetric PWM Control-Based Parallel Resonant Converter. Electronics, 14(24), 4970. https://doi.org/10.3390/electronics14244970

