Sign in to use this feature.

Years

Between: -

Subjects

remove_circle_outline
remove_circle_outline
remove_circle_outline
remove_circle_outline
remove_circle_outline
remove_circle_outline
remove_circle_outline

Journals

Article Types

Countries / Regions

Search Results (29)

Search Parameters:
Keywords = increasing the flow/transverse momentum

Order results
Result details
Results per page
Select all
Export citation of selected articles as:
26 pages, 3457 KB  
Article
Study of Thermodynamic Properties of Ks0, Λ, Ξ, and d/d_ Produced in Symmetric Proton–Proton Collisions at SNN = 0.9 TeV and 7 TeV
by Abdul Qudus, Imran Khan, Ouazir Salem, Moustafa Salouci and Abd Haj Ismail
Symmetry 2025, 17(12), 2098; https://doi.org/10.3390/sym17122098 - 7 Dec 2025
Viewed by 671
Abstract
We study the thermodynamic properties produced in symmetric pp collisions at sNN=0.9TeV and 7TeV, based on experimental data by the ALICE collaboration at CERN. Particularly, we analyze the initial temperature Ti, effective [...] Read more.
We study the thermodynamic properties produced in symmetric pp collisions at sNN=0.9TeV and 7TeV, based on experimental data by the ALICE collaboration at CERN. Particularly, we analyze the initial temperature Ti, effective temperature T, freeze-out temperature T0, chemical potential μ, mean transverse momentum pT, freeze-out volume V, and transverse flow velocity βT of different hadrons such as KS0, Λ, Ξ, and d/d¯. To effectively use the transverse momentum pT distributions of these hadrons, and to extract the thermodynamic parameters, the Single-Slope Standard Distribution with and without the chemical potential μ, the Double-Slope Standard Distribution, and the modified Standard Distribution Functions are applied separately to fit the experimental data. The Modified Standard Distribution Function provides the most accurate description of the ALICE experimental data as compared to the Single-Slope (with and without μ) and Double-Slope Standard Distribution Function. We have investigated the correlation between the extracted thermodynamic parameters and the measurements of mass and energy of particles of the collision, and we observed that the increase in sNN is positively correlated with Ti, T, T0, pT, V, and negatively correlated with μ. The comparison of pp collisions with heavy-ion collisions (Au–Au collisions) suggests the possibility of collective-like dynamics even in small systems, which supports the hypothesis of thermalization and partial de-confinement in high-energy pp collisions, indicating a transition towards a quark-gluon plasma (QGP)-like medium. Full article
(This article belongs to the Special Issue Advances of Asymmetry/Symmetry in High Energy Physics)
Show Figures

Figure 1

16 pages, 2200 KB  
Article
Coupling Dynamics and Regulation Mechanisms of Natural Wind, Traffic Wind, and Mechanical Wind in Extra-Long Tunnels
by Yongli Yin, Xiang Lei, Changbin Guo, Kai Kang, Hongbi Li, Jian Wang, Wei Xiang, Bo Guang and Jiaxing Lu
Processes 2025, 13(11), 3512; https://doi.org/10.3390/pr13113512 - 1 Nov 2025
Viewed by 360
Abstract
This study systematically investigates the velocity characteristics and coupling mechanisms of tunnel flow fields under the interactions of natural wind, traffic wind, mechanical ventilation, and structural factors (such as transverse passages and relative positions between vehicles and fans). Using CFD simulations combined with [...] Read more.
This study systematically investigates the velocity characteristics and coupling mechanisms of tunnel flow fields under the interactions of natural wind, traffic wind, mechanical ventilation, and structural factors (such as transverse passages and relative positions between vehicles and fans). Using CFD simulations combined with turbulence model analyses, the flow behaviors under different coupling scenarios are explored. The results show that: (1) Under natural wind conditions, transverse passages act as key pressure boundaries, reshaping the longitudinal wind speed distribution into a segmented structure of “disturbance zones (near passages) and stable zones (mid-regions)”, with disturbances near passages showing “amplitude enhancement and range contraction” as natural wind speed increases. (2) The coupling of natural wind and traffic wind (induced by moving vehicles) generates complex turbulent structures; vehicle motion forms typical flow patterns including stagnation zones, high-speed bypass flows, and wake vortices, while natural wind modulates the wake structure through momentum exchange, affecting pollutant dispersion. (3) When natural wind, traffic wind, and mechanical ventilation are coupled, the flow field is dominated by momentum superposition and competition; adjusting fan output can regulate coupling ranges and turbulence intensity, balancing energy efficiency and safety. (4) The relative positions of vehicles and fans significantly affect flow stability: forward positioning leads to synergistic momentum superposition with high stability, while reverse positioning induces strong turbulence, compressing jet effectiveness and increasing energy dissipation. This study reveals the intrinsic laws of tunnel flow field evolution under multi-factor coupling, providing theoretical support for optimizing tunnel ventilation system design and dynamic operation strategies. Full article
(This article belongs to the Section Energy Systems)
Show Figures

Figure 1

10 pages, 560 KB  
Article
Insights into Freezeout Dynamics in Symmetric Heavy Ion Collisions with Changing Event Centrality
by Pei-Pin Yang, Atef Abdelkader, Lamiaa Galal Amin, Haji Muhammad Bilal Hussain, Ouazir Salem and Moustafa Salouci
Symmetry 2025, 17(5), 744; https://doi.org/10.3390/sym17050744 - 13 May 2025
Viewed by 740
Abstract
This study presents the investigation of freezeout parameters, namely the kinetic freezeout temperature (T) and transverse flow velocity (βT), in different centrality intervals with fixed as well as with variable flow profile (n0) in the [...] Read more.
This study presents the investigation of freezeout parameters, namely the kinetic freezeout temperature (T) and transverse flow velocity (βT), in different centrality intervals with fixed as well as with variable flow profile (n0) in the blast-wave model (using Boltzmann Gibbs statistics). The model is used to fit the experimental data of transverse momentum spectra of π+, K+, and p in AuAu and PbPb collisions at 200 GeV and 2.76 TeV, respectively. In our observation, when the parameter n0 is considered as a free parameter, the parameter T decreases from head-on to peripheral collisions, while it increases towards the periphery if n0 is fixed. In addition, parameter βT decreases from central to peripheral collisions in both cases. These findings provide valuable insights into the dynamics of quark-gluon plasma formation and expansion in high-energy nuclear collisions. Moreover, the kinetic freezeout temperature T and the transverse flow velocity βT are mass-dependent; while the former becomes larger for massive particles, the latter becomes larger for light particles, showing the mass differential kinetic freezeout scenario. Full article
(This article belongs to the Special Issue Advances of Asymmetry/Symmetry in High Energy Physics)
Show Figures

Figure 1

26 pages, 18247 KB  
Article
Experimental Assessment of the Turbulent Flow Field Due to Emergent Vegetation at a Sharply Curved Open Channel
by Hamidreza Raeisifar, Ali Rahm Rahimpour, Hossein Afzalimehr, Oral Yagci and Manousos Valyrakis
Water 2025, 17(2), 205; https://doi.org/10.3390/w17020205 - 14 Jan 2025
Cited by 2 | Viewed by 1248
Abstract
Emergent vegetation in river corridors influences both the flow structure and subsequent fluvial processes. This investigation aimed to analyze the impact of the bending and vegetation components in a sharply curved open channel on the flow field. Experiments were undertaken in a meandering [...] Read more.
Emergent vegetation in river corridors influences both the flow structure and subsequent fluvial processes. This investigation aimed to analyze the impact of the bending and vegetation components in a sharply curved open channel on the flow field. Experiments were undertaken in a meandering flume (0.9 m wide, wavelength of 3.2 m, and a sinuosity of 1.05) with a 90-degree bend at the end of it, with and without vegetation, to achieve this goal. The individual vegetation elements arranged across the 90-degree bend of the flow channel were physically modelled using rigid plastic stems (of 5 mm and 10 mm diameters). Analysis of the findings from the flow velocimetry, taken at five cross-sections oriented at angles of 0°, 30°, 45°, 60°, and 90°, along the 90-degree bend indicates that as the plant density increases, the effect of centrifugal force from the channel’s bend on the cross-sectional flow patterns decreases. At the same time, the restricting influence of vegetation on lateral momentum transfer becomes more pronounced. Specifically, for increasing vegetation density: (a) higher transverse and vertical velocities are observed (increased by 4.35% and 9.68% for 5 mm and 10 mm reed vegetation, respectively, compared to the non-vegetated case); (b) greater turbulence intensity is seen in the transverse flow direction, along with increased turbulent kinetic energy (TKE); and (c) reduced near-bed Reynolds stresses are found. The average transverse flow velocity for the non-vegetated case is 18.19% of the longitudinal flow velocity and the average vertical velocity for the non-vegetated case and 5 mm and 10 mm reed vegetation is 3.24%, 3.6%, and 5.44% of the longitudinal flow velocity, respectively. Full article
(This article belongs to the Special Issue Advances in Hydraulic and Water Resources Research (2nd Edition))
Show Figures

Figure 1

16 pages, 857 KB  
Article
Multiplicity Dependence of the Freeze-Out Parameters in Symmetric and Asymmetric Nuclear Collisions at Large Hadron Collider Energies
by Muhammad Ajaz, Abd Haj Ismail, Muhammad Waqas, Abdul Mosawir Quraishi, Jalal Hasan Baker, Antalov Jagnandan, Mohammad Ayaz Ahmad, Shawn Jagnandan, Haifa I. Alrebdi, Elmuez A. Dawi and Murad Badshah
Symmetry 2023, 15(11), 2063; https://doi.org/10.3390/sym15112063 - 14 Nov 2023
Cited by 7 | Viewed by 2222
Abstract
Strange hadron transverse momentum spectra are analyzed in symmetric pp and PbPb and asymmetric pPb collision systems for their dependence on rapidity and event charged-particle multiplicity. The thermodynamically consistent Tsallis models with and without flow velocity are [...] Read more.
Strange hadron transverse momentum spectra are analyzed in symmetric pp and PbPb and asymmetric pPb collision systems for their dependence on rapidity and event charged-particle multiplicity. The thermodynamically consistent Tsallis models with and without flow velocity are used to reproduce the experimental data, extracting the freeze-out parameters to gain insights into the underlying physics of the collision processes by looking into the parameters change with different multiplicities, particle types, and collision geometries. We found that with an increase in the event multiplicity, the average transverse flow velocity, effective, and kinetic freezeout temperatures increase, with heavier strange particle species exhibiting a more significant increase. The value of the non-extensivity parameter decreases with an increase in the multiplicity of the particles. For heavier particles, larger Teff and T0 and smaller q have been observed, confirming the quick thermalization and equilibrium for massive particles. Furthermore, the differences in parameter values for particle species are more significant in pp and pPb collisions than in PbPb collisions. In addition, in symmetric pp and PbPb collisions, parameter values (q,T0,βT) show more significant shifts for heavier particles compared to the lighter ones. In contrast, in asymmetric pPb collisions, both heavier and lighter particles display uniform linear progression. Full article
(This article belongs to the Section Physics)
Show Figures

Figure 1

30 pages, 1765 KB  
Article
Evaluation of Model Predictions of the Unsteady Tidal Stream Resource and Turbine Fatigue Loads Relative to Multi-Point Flow Measurements at Raz Blanchard
by Hannah Mullings, Samuel Draycott, Jérôme Thiébot, Sylvain Guillou, Philippe Mercier, Jon Hardwick, Ed Mackay, Philipp Thies and Tim Stallard
Energies 2023, 16(20), 7057; https://doi.org/10.3390/en16207057 - 12 Oct 2023
Cited by 6 | Viewed by 2236
Abstract
The next stage of development of the tidal stream industry will see a focus on the deployment of tidal turbines in arrays of increasing device numbers and rated power. Successful array development requires a thorough understanding of the resource within potential deployment sites. [...] Read more.
The next stage of development of the tidal stream industry will see a focus on the deployment of tidal turbines in arrays of increasing device numbers and rated power. Successful array development requires a thorough understanding of the resource within potential deployment sites. This is predictable in terms of flow speeds, based upon tidal constituents. However, the operating environment for the turbine is more complex than the turbine experiencing a uniform flow, with turbulence, shear and wave conditions all affecting the loading on the turbine components. This study establishes the accuracy with which several alternative modelling tools predict the resource characteristics which define unsteady loading—velocity shear, turbulence and waves—and assesses the impact of the model choice on predicted damage equivalent loads. In addition, the predictions of turbulence are compared to a higher fidelity model and the occurrence of flow speeds to a Delft3D model for currents and waves. These models have been run for a specific tidal site, the Raz Blanchard, one of the major tidal stream sites in European waters. The measured resource and predicted loading are established using data collected in a recent deployment of acoustic Doppler current profilers (ADCPs) as part of the Interreg TIGER project. The conditions are measured at three locations across the site, with transverse spacing of 145.7 m and 59.3 m between each device. Turbine fatigue loading is assessed using measurements and model predictions based on an unsteady blade element momentum model applied to near-surface and near-bed deployment positions. As well as across-site spatial variation of loading, the through life loading over a 5-year period results in an 8% difference to measured loads for a near-surface turbine, using conditions purely defined from a resource model and to within 3% when using a combination of modelled shear with measured turbulence characteristics. Full article
Show Figures

Figure 1

22 pages, 14452 KB  
Article
Direct Numerical Simulation of Thermal Turbulent Boundary Layer Flow over Multiple V-Shaped Ribs at Different Angles
by Feng Ji, Jing Ding, Jianfeng Lu and Weilong Wang
Energies 2023, 16(9), 3831; https://doi.org/10.3390/en16093831 - 29 Apr 2023
Cited by 4 | Viewed by 2069
Abstract
Direct numerical simulations (DNSs) of spatially developing thermal turbulent boundary layers over angle-ribbed walls were performed. Four rib angles (γ=90°,60°,45° and 30°) were examined. It was found that the 45° [...] Read more.
Direct numerical simulations (DNSs) of spatially developing thermal turbulent boundary layers over angle-ribbed walls were performed. Four rib angles (γ=90°,60°,45° and 30°) were examined. It was found that the 45° ribs produced the highest drag coefficient, whereas the 30° ribs most improved the Stanton number. In comparison to the transverse rib case, streamwise velocity and dimensionless temperature in the V-shaped cases significantly increased in the near wall region and were attenuated by secondary flows further away from the ribs, which suggested a break of the outer-layer similarity in the scenario presented. The surprising improvement of heat transfer performance in the 30° rib case was mainly due to its large dispersive heat flux, while dispersive stress reached its peak value in the 45° case, emphasizing the dissimilarity in transporting momentum and heat by turbulence over a ribbed surface. Additionally, by calculating the global and local Reynolds analogy factors, we concluded that the enhancement in heat transfer efficiency was attributed to an increasing Reynolds analogy factor in the intermediate region as the rib angle decreased. Full article
Show Figures

Figure 1

15 pages, 6262 KB  
Article
Mathematical Analysis of Transverse Wall-Shearing Motion via Cross Flow of Nanofluid
by Faisal Z. Duraihem, Arif Ullah Khan, Salman Saleem and Shawana
Lubricants 2023, 11(3), 138; https://doi.org/10.3390/lubricants11030138 - 14 Mar 2023
Viewed by 1833
Abstract
The investigation of nanofluid’s cross flow, which is caused by a nonlinear stretching sheet within the boundary layer, is presented. The proper mathematical detail is provided for three distinct cross flow instances with the streamwise flow. A uniform transverse stream located far above [...] Read more.
The investigation of nanofluid’s cross flow, which is caused by a nonlinear stretching sheet within the boundary layer, is presented. The proper mathematical detail is provided for three distinct cross flow instances with the streamwise flow. A uniform transverse stream located far above the stretched plate, in one instance, creates the cross flow. Two further situations deal with cross flows caused by surface transverse shearing motions. Weidman’s work was used to find a similarity solution by making the necessary changes. It has been found that two parameters, namely nanoparticle volume frictions ϕ and a nonlinear stretching parameter β, have a significant impact on the flow of fluids in cross flow scenarios. Graphical representations of transverse and streamwise shear stresses and velocity profiles are provided. From this study, we found that nanoparticle volume fraction ϕ reduces the momentum boundary layer in both streamwise and cross flow scenarios while increasing the temperature of the fluid and, hence, increasing thermal boundary layer thickness. The same is observed for the nonlinear stretching parameter β. Full article
(This article belongs to the Special Issue The Tribological Properties and Mathematical Analysis of Nanofluids)
Show Figures

Figure 1

21 pages, 8128 KB  
Article
Influences of Momentum Ratio on Transverse Dispersion for Intermediate-Field Mixing Downstream of Channel Confluence
by Jaehyun Shin, Sunmi Lee and Inhwan Park
Int. J. Environ. Res. Public Health 2023, 20(4), 2776; https://doi.org/10.3390/ijerph20042776 - 4 Feb 2023
Cited by 4 | Viewed by 2010
Abstract
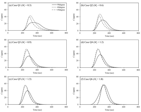
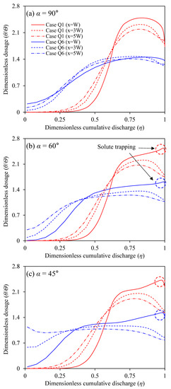
This study aims to analyze the influences of momentum ratio (Mr) and confluence angle (α) on the transverse dispersion in an urban scale confluence channel from the numerical simulation results using the Environmental Fluid Dynamics Code model. By [...] Read more.
This study aims to analyze the influences of momentum ratio (Mr) and confluence angle (α) on the transverse dispersion in an urban scale confluence channel from the numerical simulation results using the Environmental Fluid Dynamics Code model. By changing the momentum flux and confluence angle from the simulation results, the analysis focused on the relations between the vertical variations of transverse velocity and transverse dispersion. The high momentum tributary aligned the mixing interface toward the outer bank and created a strong helical motion, which transported the contaminated water along the channel bed and inflows into the recirculation zone. The high momentum ratio induced the large vertical shear in transverse velocity with a strong helical motion and increased the transverse dispersion. However, the helical motion persistence rapidly decreased as the flow reached downstream and led to a decrease in the transverse dispersion for the large confluence angle. Thus, the transverse dispersion coefficient increased with a high momentum ratio and low confluence angle, and the dimensionless transverse dispersion coefficient was in the range of 0.39–0.67, which is observed in meandering channels, for Mr > 1 and α = 45°. Full article
(This article belongs to the Section Water Science and Technology)
Show Figures

Figure 1

11 pages, 478 KB  
Article
Dependence of Freeze-Out Parameters on Collision Energies and Cross-Sections
by Muhammad Waqas, Atef AbdelKader, Muhammad Ajaz, Abdel Nasser Tawfik, Zafar Wazir, Abd Al Karim Haj Ismail, Shi Jun Luo and Hafsa Zar Khan
Universe 2023, 9(1), 44; https://doi.org/10.3390/universe9010044 - 10 Jan 2023
Cited by 3 | Viewed by 2297
Abstract
We analyzed the transverse momentum spectra (pT) reported by the NA61/SHINE and NA49 experiments in inelastic proton–proton (pp) and central Lead–Lead (PbPb), Argon–Scandium (ArSc), and [...] Read more.
We analyzed the transverse momentum spectra (pT) reported by the NA61/SHINE and NA49 experiments in inelastic proton–proton (pp) and central Lead–Lead (PbPb), Argon–Scandium (ArSc), and Beryllium–Beryllium (BeBe) collisions with the Blast-wave model with Boltzmann–Gibbs (BWBG) statistics. The BGBW model was in good agreement with the experimental data. We were able to extract the transverse flow velocity (βT), the kinetic freeze-out temperature (T0), and the kinetic freeze-out volume (V) from the pT spectra using the BGBW model. Furthermore, we also obtained the initial temperature (Ti) and the mean transverse momentum (<pT>) by the alternative method. We observed that T0 increases with increasing collision energy and collision cross-section, representing the colliding system’s size. The transverse flow velocity was observed to remain invariant with increasing collision energy, while it showed a random change with different collision cross-sections. In the same way, the kinetic freeze-out volume and mean transverse momentum increased with an increase in collision energy or collision cross-section. The same behavior was also seen in the freeze-out temperature, which increased with increasing collision cross-sections. At chemical freeze-out, we also determined both the chemical potential and temperature and compared these with the hadron resonance gas model (HRG) and different experimental data. We report that there is an excellent agreement with the HRG model and various experiments, which reveals the ability of the fit function to manifest features of the chemical freeze-out. Full article
(This article belongs to the Special Issue Collectivity in High-Energy Proton-Proton and Heavy-Ion Collisions)
Show Figures

Figure 1

16 pages, 6539 KB  
Article
Large Eddy Simulation of Compound Open Channel Flows with Floodplain Vegetation
by Cheng Zeng, Yimo Bai, Jie Zhou, Fei Qiu, Shaowei Ding, Yudie Hu and Lingling Wang
Water 2022, 14(23), 3951; https://doi.org/10.3390/w14233951 - 4 Dec 2022
Cited by 15 | Viewed by 3865
Abstract
Floodplain vegetation is of great importance in velocity distribution and turbulent coherent structure within compound open channel flows. As the large eddy simulation (LES) technique can provide detailed instantaneous flow dynamics and coherent turbulent structure predictions, it is of great importance to perform [...] Read more.
Floodplain vegetation is of great importance in velocity distribution and turbulent coherent structure within compound open channel flows. As the large eddy simulation (LES) technique can provide detailed instantaneous flow dynamics and coherent turbulent structure predictions, it is of great importance to perform LES simulations of compound open channel flows with floodplain vegetation. In the present study, a wall-modeled large eddy simulation (WMLES) method was employed to simulate the compound open channel flows with floodplain vegetation. The vegetation-induced resistance effect was modeled with the drag force method. The WMLES model, incorporating the drag force method, was verified against flume measurements and an analytical solution of vegetated open channel flows. Numerical simulations were conducted with a depth ratio of 0.5 and four different floodplain vegetation densities (frk = 0, 0.28 m−1, 1.13 m−1 and 2.26 m−1). The main flow velocity, secondary flow, bed shear stress and vortex coherent structure, based on the Q criterion, were obtained and analyzed. Based on the numerical results, the influences of floodplain vegetation density on the flow field and turbulent structure of compound open channel flows were summarized and discussed. Compared to the case without floodplain vegetation, the streamwise velocity in the main channel increased by 10.8%, 19.9% and 24.4% with the frk = 0.28 m−1, 1.13 m−1 and 2.26 m−1, respectively. The results also indicated that, when the floodplain vegetation density increased, the following occurred: the velocity increased in the main channel, while the velocity decreased in the floodplain; the transverse momentum exchange was enhanced; and the strip structures were more concentrated near the junction area of compound open channel flows. Full article
(This article belongs to the Special Issue Hydraulics of River Networks and Modelling)
Show Figures

Figure 1

13 pages, 846 KB  
Article
Study of Bulk Properties of Strange Particles in Au+Au Collisions at sNN = 54.4 GeV
by Li-Li Li and Abd Al Karim Haj Ismail
Entropy 2022, 24(12), 1720; https://doi.org/10.3390/e24121720 - 24 Nov 2022
Cited by 6 | Viewed by 2067
Abstract
We analyzed the transverse momentum pT spectra of various strange hadrons KS0, Λ(Λ¯) and Ξ(Ξ¯+) at mid-rapidity (y) in different centrality intervals from Au+Au collisions at [...] Read more.
We analyzed the transverse momentum pT spectra of various strange hadrons KS0, Λ(Λ¯) and Ξ(Ξ¯+) at mid-rapidity (y) in different centrality intervals from Au+Au collisions at sNN= 54.4 GeV. The pT spectra of these strange hadrons are investigated by the Tsallis-like distribution, which satisfactorily fits the experimental data. The bulk properties of the medium produced in ultra-relativistic heavy-ion collisions at the kinetic freeze-out are reflected by measuring the hadron spectra. The effective temperature T, transverse flow velocity βT, and mean pT along with other parameters that are strongly dependent on centrality and particle specie are extracted. The effective temperature of multi-strange particle (Ξ(Ξ¯+)) is larger as compared to singly-strange particles Λ(Λ¯) and KS0. Furthermore, the kinetic freeze-out temperature T, transverse flow velocity βT. and mean pT (pT) show a decreasing trend towards lower centrality, while the entropy parameter q increases from central to peripheral collisions. In addition, a positive correlation of pT and T and a negative correlation of q and T are also reported. Full article
Show Figures

Figure 1

14 pages, 1956 KB  
Article
Local Non-Similar Solutions for Boundary Layer Flow over a Nonlinear Stretching Surface with Uniform Lateral Mass Flux: Utilization of Third Level of Truncation
by Muhammad Idrees Afridi, Zhi-Min Chen, Theodoros E. Karakasidis and Muhammad Qasim
Mathematics 2022, 10(21), 4159; https://doi.org/10.3390/math10214159 - 7 Nov 2022
Cited by 10 | Viewed by 2804
Abstract
The present study aims to examine the effects of uniform lateral mass flux on the boundary layer flow induced by a non-linearly stretching surface. For uniform mass flux, the boundary layer flow does not conform to a similarity solution. The problem may be [...] Read more.
The present study aims to examine the effects of uniform lateral mass flux on the boundary layer flow induced by a non-linearly stretching surface. For uniform mass flux, the boundary layer flow does not conform to a similarity solution. The problem may be resolved by the similarity solution only when the transverse velocity at the boundary of the porous stretching surface is of the form vwxp12. In other words, the flow becomes non-similar; to date, this has not been reported in the literature. That is why, in the current study, the local-similarity approximation up to the third level of truncation is utilized to solve the problem. The pseudo-similarity variable, stream function and transformed streamwise coordinate are defined such that the continuity equation is identically satisfied, and the momentum equation reduces to a non-similar dimensionless boundary layer equation. We derived the non-similar equations of the first, second and third levels of truncations and compared the numerical results obtained from different levels of truncations. In order to find numerical solutions to these equations, the built-in MATLAB routine, known as bvp4c, is used. Further, all non-similar terms that appear in the momentum equations are retained without any approximations. The approximations are introduced only in the subsidiary equations and relative boundary conditions. For the case of suction, the rate of increase in the numerical values of skin friction coefficient obtained from the first level of truncation with increasing velocity index parameter is found to be underestimated, while overestimation is found in the case of injection. The numerical results that were obtained from the third level of truncations are plotted against the embedding physical parameters and are then discussed. Full article
(This article belongs to the Special Issue Computational Fluid Dynamics II)
Show Figures

Figure 1

19 pages, 21420 KB  
Article
Numerical Study on Transverse Jet Mixing Enhanced by High Frequency Energy Deposition
by Zilin Cai, Feng Gao, Hongyu Wang, Cenrui Ma and Thomas Yang
Energies 2022, 15(21), 8264; https://doi.org/10.3390/en15218264 - 4 Nov 2022
Cited by 5 | Viewed by 2134
Abstract
Supersonic incoming flow has a large momentum, which makes it difficult for transverse jets to have a large penetration depth due to the strong compression of the incoming flow. This impacts the mixing efficiency of the jet in the supersonic combustor. This paper [...] Read more.
Supersonic incoming flow has a large momentum, which makes it difficult for transverse jets to have a large penetration depth due to the strong compression of the incoming flow. This impacts the mixing efficiency of the jet in the supersonic combustor. This paper proposes a method to improve the mixing efficiency of a rectangular flow field model using pulsed energy deposition, which is verified numerically. In the simulations, the Navier–Stokes equations with an energy source are solved to simulate the effects of energy deposition with various distributions on the fuel mixture. The results show that the energy deposition increases the turbulent kinetic energy, which enlarges the scale of the flow vortex and improves the fuel mixing performance. The energy deposition is distributed upstream and significantly improves the mixing performance. Energy deposition can improve the penetration depth of fuel, which is more significant when the energy deposition is distributed downstream of the jet orifice. The energy deposition also slightly reduces the total pressure recovery coefficient. In general, an energy deposition that is distributed upstream of the jet has the best effect on the mixing efficiency. Full article
Show Figures

Figure 1

20 pages, 8031 KB  
Article
Experimental and Numerical Investigations on the Mixing Process of Supercritical Jet Injected into a Supersonic Crossflow
by Wenyuan Zhou, Kai Xing, Suyi Dou, Qingchun Yang and Xu Xu
Aerospace 2022, 9(11), 631; https://doi.org/10.3390/aerospace9110631 - 22 Oct 2022
Cited by 11 | Viewed by 3528
Abstract
The mixing process and distribution characteristics of a supercritical endothermic hydrocarbon fuel (EHF) jet injected into a supersonic crossflow were investigated by experimental and numerical methods, respectively. The schlieren system and acetone planar laser-induced fluorescence (PLIF) optical system were used to capture the [...] Read more.
The mixing process and distribution characteristics of a supercritical endothermic hydrocarbon fuel (EHF) jet injected into a supersonic crossflow were investigated by experimental and numerical methods, respectively. The schlieren system and acetone planar laser-induced fluorescence (PLIF) optical system were used to capture the flow-field structural characteristics and instantaneous plume. The mixture and real gas models were employed to calculate the interaction of a transverse jet and supersonic crossflow and reveal a good accuracy with the experimental results. The mixing efficiency and total pressure loss were analyzed based on the numerical results. The results indicate that the supercritical-state EHF directly changes to a gaseous state as it enters the supersonic crossflow from the injector. The EHF jet plume boundary increases with the increasing momentum flux ratio (q). As the streamwise and spanwise distance increases, the traverse heights and expand width increase, and the EHF jet plume presents a semicircle shape in the cross-sectional plane. With the increase in the traverse direction, the concentration distribution shows a fast and then slow power exponential decreasing law; the highest concentration point starts from the near-wall region and rises in the transverse direction with the flow distance increasing. For the same injection condition, the higher the inflow Mach number, the higher the mixing efficiency. For the same Ma, the mixing efficiency is better for the case with low injection pressure and high injection temperature. The total pressure loss is greater in the higher Ma, and high injection pressure conditions cause greater total pressure loss. Full article
(This article belongs to the Special Issue Advances in Hypersonic Aircraft Propulsion Technology)
Show Figures

Figure 1

Back to TopTop