Local Non-Similar Solutions for Boundary Layer Flow over a Nonlinear Stretching Surface with Uniform Lateral Mass Flux: Utilization of Third Level of Truncation
Abstract
1. Introduction
2. Description of Mathematical Modeling
3. Results and Discussion
4. Concluding Remarks
- The problem allows the similarity solution only when the transverse velocity at the boundary of the porous stretching surface is of the form
- The skin friction coefficient increases with enhancing the withdrawal parameter and decreases for the injection parameter.
- With an increasing injection, the one-equation model (local similarity method) overestimates the skin friction coefficient.
- For the increasing value of the velocity index parameter, the one-model approach, also known as the local similarity approach, underestimates the skin friction coefficient in the presence of suction.
- For increasing velocity index values, the one-model overestimates the skin friction coefficient in the presence of injection.
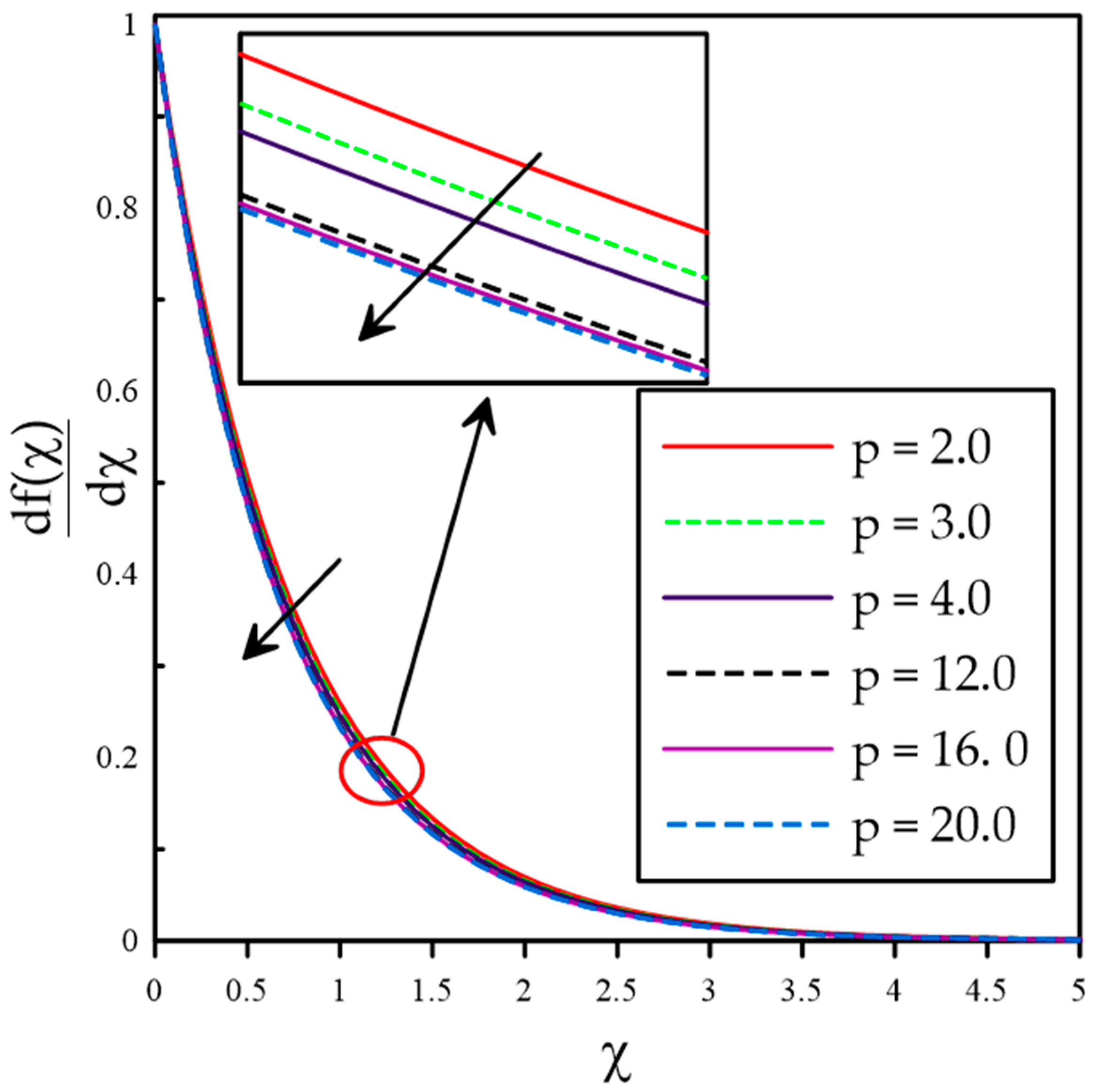
- The thickness of the non-similar boundary layer reduces with increasing suction and velocity index parameters.
- The fluid inside the non-similar momentum boundary layer accelerates with increasing injection parameters.
- Future research may focus on thermal and second law analyses of fluid flow over a nonlinearly stretching surface with uniform lateral mass flux.
Author Contributions
Funding
Institutional Review Board Statement
Informed Consent Statement
Data Availability Statement
Acknowledgments
Conflicts of Interest
Availability of Data and Materials
Ethical Approval
Nomenclature
| New depended variable defined to set up second level of truncation | |
| New depended variable defined to set up third level of truncation | |
| Dimensionless constant | |
| velocity components along and normal to the stretching boundary | |
| Dimensional constant | |
| velocity of the stretching surface | |
| Normal component of the velocity at the stretching boundary | |
| Directions along and normal to the stretching boundary. | |
| Dimensionless velocity | |
| Kinematic viscosity | |
| Dynamics Viscosity | |
| Density | |
| Stream function | |
| Pseudo-similarity variable | |
| Mass flux parameter/ transformed streamwise coordinate |
References
- Erickson, L.E.; Fan, L.T.; Fox, V.G. Heat and mass transfer on a moving continuous flat plate with suction or injection. Ind. Eng. Chem. Fundam. 1966, 5, 19–25. [Google Scholar] [CrossRef]
- Ishak, A.; Nazar, R.; Pop, I. Uniform suction/blowing effect on flow and heat transfer due to a stretching cylinder. Appl. Math. Model. 2008, 32, 2059–2066. [Google Scholar] [CrossRef]
- Jha, B.K.; Isah, B.Y.; Uwanta, I.J. Combined effect of suction/injection on MHD free-convection flow in a vertical channel with thermal radiation. Ain Shams Eng. J. 2018, 9, 1069–1088. [Google Scholar] [CrossRef]
- Yazdia, M.H.; Abdullah, S.; Hashim, I.; Sopian, K. Slip MHD liquid flow and heat transfer over non-linear permeable stretching surface with chemical reaction. Int. J. Heat Mass Transf. 2011, 54, 3214–3225. [Google Scholar] [CrossRef]
- Crane, L.J. Flow past a stretching plate. ZAMP 1970, 21, 645–647. [Google Scholar] [CrossRef]
- Makinde, O.D.; Aziz, A. Boundary layer flow of a nanofluid past a stretching sheet with a convective boundary condition. Int. J. Therm. Sci. 2011, 50, 1326–1332. [Google Scholar] [CrossRef]
- Turkyilmazoglu, M. Analytic heat and mass transfer of the mixed hydrodynamic/thermal slip MHD viscous flow over a stretching sheet. Int. J. Mech. Sci. 2011, 53, 886–896. [Google Scholar] [CrossRef]
- Qasim, M. Heat and mass transfer in a Jeffrey fluid over a stretching sheet with heat source/sink. Alex. Eng. J. 2013, 52, 571–575. [Google Scholar] [CrossRef]
- Turkyilmazoglu, M.; Pop, I. Exact analytical solutions for the flow and heat transfer near the stagnation point on a stretching/shrinking sheet in a Jeffrey fluid. Int. J. Heat Mass Transf. 2013, 57, 82–88. [Google Scholar] [CrossRef]
- Mehmood, A. Viscous Flows: Stretching and Shrinking of Surfaces; Springer: Berlin/Heidelberg, Germany, 2017. [Google Scholar]
- Djebali, R.; Mebarek-Oudina, F.; Rajashekhar, C. Similarity solution analysis of dynamic and thermal boundary layers: Further formulation along a vertical flat plate. Phys. Scr. 2021, 96, 085206. [Google Scholar] [CrossRef]
- Swain, K.; Mahanthesh, B.; Mebarek Oudina, F. Heat transport and stagnation-point flow of magnetized nanoliquid with variable thermal conductivity, Brownian moment, and thermophoresis aspects. Heat Transf. 2021, 50, 754–767. [Google Scholar] [CrossRef]
- Gupta, P.S.; Gupta, A.S. Heat and mass transfer on a stretching sheet with suction or blowing. Can. J. Chem. Eng. 1977, 55, 744–746. [Google Scholar] [CrossRef]
- Chen, C.K.; Char, M. Heat transfer of a continuous stretching surface with suction or blowing. J. Math. Anal. Appl. 1988, 135, 568–580. [Google Scholar] [CrossRef]
- Naramgari, S.; Sulochana, C. MHD flow over a permeable stretching/shrinking sheet of a nanofluid with suction/injection. Alex. Eng. J. 2016, 55, 819–827. [Google Scholar] [CrossRef]
- Megahed, A.M. Improvement of heat transfer mechanism through a Maxwell fluid flow over a stretching sheet embedded in a porous medium and convectively heated. Math. Comput. Simul. 2021, 187, 97–109. [Google Scholar] [CrossRef]
- Kausar, M.S.; Hussanan, A.; Waqas, M.; Mamata, M. Boundary layer flow of micropolar nanofluid towards a permeable stretching sheet in the presence of porous medium with thermal radiation and viscous dissipation. Chin. J. Phys. 2022, 78, 435–452. [Google Scholar] [CrossRef]
- Kumaran, V.; Banerjee, A.K.; Kumar, A.V.; Vajravelu, K. MHD flow past a stretching permeable sheet. Appl. Math. Comput. 2009, 210, 26–32. [Google Scholar] [CrossRef]
- Mahanta, G.; Shaw, S. 3D Casson fluid flow past a porous linearly stretching sheet with convective boundary condition. Alex. Eng. J. 2015, 54, 653–659. [Google Scholar] [CrossRef]
- Afridi, M.I.; Qasim, M.; Shafie, S. Entropy generation in hydromagnetic boundary flow under the effects of frictional and Joule heating: Exact solutions. Eur. Phys. J. Plus 2017, 132, 404. [Google Scholar] [CrossRef]
- Pop, I.; Na, T.-Y. A note on MHD flow over a stretching permeable surface. Mech. Res. Commun. 1998, 25, 263–269. [Google Scholar] [CrossRef]
- Khan, U.; Waini, I.; Ishak, A.; Pop, I. Unsteady hybrid nanofluid flow over a radially permeable shrinking/stretching surface. J. Mol. Liq. 2021, 331, 115752. [Google Scholar] [CrossRef]
- Banks, W.H.H. Similarity Solutions of the Boundary Layer Equation for a Stretching Wall. J. De Mec. Theor. Et Appl. 1983, 2, 375–392. [Google Scholar]
- Vajravelu, K. Viscous flow over a nonlinearly stretching sheet. Appl. Math. Comput. 2001, 124, 281–288. [Google Scholar] [CrossRef]
- Ali, M.E. The Effect of Suction or Injection on the Laminar Boundary Layer Development Over a Stretched Surface. J. King Saud Univ. 1996, 8, 43–58. [Google Scholar] [CrossRef]
- Jaafar, A.; Waini, I.; Jamaludin, A.; Nazar, R.; Pop, I. MHD flow and heat transfer of a hybrid nanofluid past a nonlinear surface stretching/shrinking with effects of thermal radiation and suction. Chin. J. Phys. 2022, 79, 13–27. [Google Scholar] [CrossRef]
- Zaimi, K.; Ishak, A.; Pop, I. Boundary layer flow and heat transfer over a nonlinearly permeable stretching/shrinking sheet in a nanofluid. Sci. Rep. 2014, 4, 4404. [Google Scholar] [CrossRef]
- Minkowycz, W.J.; Cheng, P. Local Non-similar solutions for free convective flow with uniform lateral mass flux in a porous medium. Lett. Heat Mass Transf. 1982, 9, 159–168. [Google Scholar] [CrossRef]
- Afridi, M.I.; Chen, Z.; Qasim, M. Numerical Chebyshev finite difference examination of Lorentz force effect on a dissipative flow with variable thermal conductivity and magnetic heating: Entropy generation minimization. Z Angew. Math. Mech. 2022, e202200010. [Google Scholar] [CrossRef]
- Hayat, T.; Qasim, M.; Abbas, Z. Homotopy solution for the unsteady three-dimensional MHD flow and mass transfer in a porous space. Commun. Nonlinear Sci. Numer. Simul. 2010, 15, 2375–2387. [Google Scholar] [CrossRef]
- Koulali, A.; Abderrahmane, A.; Jamshed, W.; Hussain, S.M.; Nisar, K.S.; Abdel, A.; Yahia, I.S.; Eid, M.R. Comparative study on effects of thermal gradient direction on heat exchange between a pure fluid and a nanofluid: Employing finite volume method. Coatings 2021, 11, 12. [Google Scholar] [CrossRef]
- Radouane, F.; Abderrahmane, A.; Oudina, F.M.; Ahmed, W.; Rashad, A.M.; Sahnoun, M.; Ali, H.M. Magneto-Free Convectiveof Hybrid Nanofluid inside Non-Darcy Porous Enclosure Containing an Adiabatic Rotating Cylinder. Energy Sour. Part A Recover. Util. Environ. Eff. 2020, 1–16. [Google Scholar] [CrossRef]
- Shafiq, A.; Zari, I.; Rasool, G.; Tlili, I.; Khan, T.S. On the MHD Casson Axisymmetric Marangoni Forced Convective Flow of Nanofluids. Mathematics 2019, 7, 1087. [Google Scholar] [CrossRef]
- Medebber, M.A.; Aissa, A.; Slimani ME, A.; Retiel, N. Numerical Study of Natural Convection in Vertical Cylindrical Annular Enclosure Filled with Cu-Water Nanofluid under Magnetic Fields. Defect Diffus. Forum 2020, 392, 123–137. [Google Scholar] [CrossRef]
- Afridi, M.I.; Ashraf, M.U.; Qasim, M.; Wakif, A. Numerical simulation of entropy transport in the oscillating fluid flow with transpiration and internal fluid heating by GGDQM. Waves Random Complex Media 2022, 1–19. [Google Scholar] [CrossRef]
- Shafiq, A.; Khan, I.; Rasool, G.; Sherif, E.M.; Sheikh, A.H. Influence of Single- and Multi-Wall Carbon Nanotubes on Magnetohydrodynamic Stagnation Point Nanofluid Flow over Variable Thicker Surface with Concave and Convex Effects. Mathematics 2020, 8, 104. [Google Scholar] [CrossRef]
- Al-Kouz, W.; Medebber, M.A.; Elkot, M.A.; Abderrahmane, A.; Aimad, K.; Al-Farhany, K.; Jamshed, W.; Fldawig, H.M.; Saleel, C.A.; Nisar, K.S. Galerkin finite element analysis of Darcy—Brinkman—Forchheimer natural convective flow in conical annular enclosure with discrete heat sources. Energy Rep. 2021, 7, 6172–6181. [Google Scholar] [CrossRef]
- Abderrahmane, A.; Qasem, N.A.A.; Younis, O.; Marzouki, R.; Mourad, A.; Shah, N.A.; Chung, J.D. MHD Hybrid Nanofluid Mixed Convection Heat Transfer and Entropy Generation in a 3-D Triangular Porous Cavity with Zigzag Wall and Rotating Cylinder. Mathematics 2022, 10, 769. [Google Scholar] [CrossRef]
- Sparrow, E.M.; Quack, H.; Boerner, C.J. Local non-similarity boundary-layer solutions. Amercian Inst. Aeronaut. Astronaut. J. 1970, 8, 1936–1942. [Google Scholar] [CrossRef]
- Sparrow, E.M.; Yu, H.S. Local non-similarity thermal boundary-layer solutions. ASME J. Heat Transf. Transf. 1978, 93, 328–334. [Google Scholar] [CrossRef]
- Massoudi, M. Local non-similarity solutions for the flow of a non-Newtonian fluid over a wedge. Int. J. Non-Linear Mech. 2001, 36, 961–976. [Google Scholar] [CrossRef]
- Liao, S.J. A general approach to get series solution of non-similarity boundary-layer flows. Commun. Nonlinear Sci. Numer. Simul. 2009, 14, 2144–2159. [Google Scholar] [CrossRef]
- Liao, S.J. Homotopy Analysis Method in Nonlinear Differential Equations; Springer & Higher Education Press: Beijing, China, 2011; pp. 383–401. [Google Scholar]
- Mureithi, E.W.; Mason, D.P. Local non-similarity solutions for a forced-free boundary layer flow with viscous dissipation. Math. Comput. Appl. 2010, 15, 558–573. [Google Scholar] [CrossRef]
- Muhaimin, I.; Kandasamy, R. Local non-similarity solution for the impact of a chemical reaction in an MHD mixed convection heat and mass transfer flow over a porous wedge in the presence of suction/injection. J. Appl. Mech. Tech. Phys. 2010, 51, 721–731. [Google Scholar] [CrossRef]
- Chamkha, A.J.; Rashad, M.; Golra, R.S.R. Non-Similar solutions for a mixed convection embedded in a porous medium saturated by a non-Newtonian nanofluid: Natural convection dominated regime. Int. J. Numer. Methods Heat Fluid Flow 2014, 24, 1471–1486. [Google Scholar] [CrossRef]
- Farooq, U.; Hayat, T.; Alsaedi, A.; Liao, S.J. Series solutions of non-similarity boundary layer flows of nano-fluids over stretching surfaces. Numer. Algorithms 2015, 70, 43–59. [Google Scholar] [CrossRef]
- Abdullah, A.; Ibrahim, F.S.; Chamkha, A.J. Non-similar solution of unsteady mixed convective flow near the stagnation point of a heated vertical plate in a porous medium saturated with a nano-fluid. J. Porous Media 2018, 21, 363–388. [Google Scholar] [CrossRef]
- Afridi, M.I.; Qasim, M.; Khan, N.A.; Makinde, O.D. Minimization of entropy generation in MHD mixed convection flow with energy dissipation and Joule heating: Utilization of Sparrow-Quack-Boerner local non-similarity method. Defect Diffus. Forum 2018, 387, 63–77. [Google Scholar] [CrossRef]
- Cui, J.; Razzaq, R.; Farooq, U.; Khan, W.A.; Farooq, F.B.; Muhammad, T. Impact of non-similar modeling for forced convection analysis of nano-fluid flow over stretching sheet with chemical reaction and heat generation. Alex. Eng. J. 2022, 61, 4253–4261. [Google Scholar] [CrossRef]
- Kierzenka, J.; Shampine, L.F. A BVP Solver that Controls Residual and Error. J. Numer. Anal. Ind. Appl. Math. 2008, 3, 27–41. [Google Scholar]
- Gilat, A.; Subramaniam, V. Numerical Methods for Engineers and Scientists an Introduction with Applications Using MATLAB; Wiley: Hoboken, NJ, USA, 2014. [Google Scholar]




| First Level of Truncation Local Similarity Solution (LSS) | Second Level of Truncation Local Non-Similarity Solution (LNSS) | Third Level of Truncation Local Non-Similarity Solution (LNSS) | |
|---|---|---|---|
| 0.2 | 1.4729959 | 1.4799894 | 1.4799770 |
| 0.4 | 1.6089620 | 1.6231038 | 1.6230385 |
| 0.6 | 1.7560303 | 1.7769622 | 1.7768021 |
| 0.8 | 1.9136116 | 1.9406046 | 1.9403249 |
| 1.0 | 2.0809234 | 2.1130387 | 2.1126367 |
| 1.2 | 2.2570701 | 2.2933011 | 2.2927913 |
| 1.4 | 2.4411170 | 2.4804911 | 2.4798980 |
| 1.6 | 2.6321473 | 2.6737874 | 2.6731386 |
| 1.8 | 2.8293004 | 2.8724538 | 2.8717751 |
| 2.0 | 3.0317931 | 3.0758373 | 3.0751508 |
| 2.4 | 3.4500951 | 3.4945303 | 3.4938747 |
| 2.8 | 3.8824785 | 3.9260904 | 3.9254995 |
| 3.2 | 4.3255353 | 4.3676568 | 4.3671416 |
| 3.6 | 4.7767617 | 4.8170712 | 4.8166298 |
| 4.0 | 5.2343189 | 5.2727011 | 5.2723262 |
| 4.4 | 5.6968475 | 5.7333051 | 5.7329877 |
| 4.8 | 6.1633314 | 6.1979317 | 6.1976628 |
| 5.2 | 6.6330024 | 6.6658446 | 6.6656162 |
| 5.6 | 7.1052718 | 7.1364686 | 7.1362739 |
| 6.0 | 7.5796830 | 7.6093501 | 7.6091834 |
| 6.4 | 8.0558777 | 8.0841276 | 8.0839841 |
| First Level of Truncation Local Similarity Solution (LSS) | Second Level of Truncation Local Non-Similarity Solution (LNSS) | Third Level of Truncation Local Non-Similarity Solution (LNSS) | |
|---|---|---|---|
| −0.2 | 1.2353469 | 1.2290839 | 1.2290871 |
| −0.4 | 1.1333676 | 1.1220791 | 1.1221296 |
| −0.6 | 1.0419338 | 1.0271552 | 1.0273368 |
| −0.8 | 0.96026100 | 0.94353422 | 0.94391565 |
| −1.0 | 0.88744976 | 0.87006379 | 0.8706443 |
| −1.2 | 0.82256644 | 0.80542791 | 0.8061354 |
| −1.4 | 0.76470432 | 0.74835684 | 0.7491121 |
| −1.6 | 0.71302153 | 0.69774737 | 0.6984893 |
| −1.8 | 0.66675907 | 0.65267962 | 0.6533816 |
| −2.0 | 0.62524513 | 0.61238544 | 0.6130335 |
| −2.4 | 0.55418619 | 0.54363424 | 0.5441597 |
| −2.8 | 0.49600389 | 0.48743676 | 0.4878457 |
| −3.2 | 0.44781280 | 0.44087278 | 0.4411842 |
| −3.6 | 0.40744750 | 0.40181143 | 0.4020463 |
| −4.0 | 0.37327611 | 0.36867532 | 0.3688520 |
| −4.4 | 0.34406014 | 0.34027943 | 0.3404127 |
| −4.8 | 0.31885132 | 0.31572174 | 0.3158228 |
| −5.2 | 0.29691649 | 0.29430648 | 0.2943836 |
| −5.6 | 0.27768312 | 0.27549026 | 0.2755495 |
| −6.0 | 0.26069947 | 0.25884394 | 0.2588897 |
| −6.4 | 0.24560576 | 0.24402445 | 0.2440602 |
| First Level of Truncation (LSS) | Relative Error | Second Level of Truncation (LNSS) | Relative Error | Third Level of Truncation (LNSS) | |
|---|---|---|---|---|---|
| 2.0 | 4.1028474 | 1.035% | 4.1457719 | 0.013% | 4.1452185 |
| 4.0 | 5.3555085 | 1.746% | 5.4507123 | 0.036% | 5.4487423 |
| 6.0 | 6.3662282 | 2.024% | 6.4977877 | 0.047% | 6.4946904 |
| 8.0 | 7.2371275 | 2.172% | 7.3978749 | 0.054% | 7.3938529 |
| 10.0 | 8.0139291 | 2.264% | 8.1996493 | 0.058% | 8.1948346 |
| 12.0 | 8.7218145 | 2.327% | 8.9296749 | 0.061% | 8.9241594 |
| 0.45629996 | 0.47237733 | 0.47188776 |
| First Level of Truncation (Local Similarity Solution) | Relative Error | Second Level of Truncation (Local Non-Similarity Solution) | Relative Error | Third Level of Truncation (Local Non-Similarity Solution) | |
|---|---|---|---|---|---|
| 2.0 | 0.4708092 | 1.664% | 0.4630990 | 0.077% | 0.4634566 |
| 4.0 | 0.7049463 | 2.568% | 0.6872958 | 0.172% | 0.6884808 |
| 6.0 | 0.8816791 | 2.881% | 0.8569839 | 0.212% | 0.8588066 |
| 8.0 | 1.0292481 | 3.040% | 0.9988737 | 0.233% | 1.0012157 |
| 10.0 | 1.1584652 | 3.137% | 1.1232272 | 0.247% | 1.1260135 |
| 12.0 | 1.2747936 | 3.201% | 1.2352440 | 0.256% | 1.2384229 |
| 0.0789721 | 0.0758629 | 0.0761405 |
Publisher’s Note: MDPI stays neutral with regard to jurisdictional claims in published maps and institutional affiliations. |
© 2022 by the authors. Licensee MDPI, Basel, Switzerland. This article is an open access article distributed under the terms and conditions of the Creative Commons Attribution (CC BY) license (https://creativecommons.org/licenses/by/4.0/).
Share and Cite
Afridi, M.I.; Chen, Z.-M.; Karakasidis, T.E.; Qasim, M. Local Non-Similar Solutions for Boundary Layer Flow over a Nonlinear Stretching Surface with Uniform Lateral Mass Flux: Utilization of Third Level of Truncation. Mathematics 2022, 10, 4159. https://doi.org/10.3390/math10214159
Afridi MI, Chen Z-M, Karakasidis TE, Qasim M. Local Non-Similar Solutions for Boundary Layer Flow over a Nonlinear Stretching Surface with Uniform Lateral Mass Flux: Utilization of Third Level of Truncation. Mathematics. 2022; 10(21):4159. https://doi.org/10.3390/math10214159
Chicago/Turabian StyleAfridi, Muhammad Idrees, Zhi-Min Chen, Theodoros E. Karakasidis, and Muhammad Qasim. 2022. "Local Non-Similar Solutions for Boundary Layer Flow over a Nonlinear Stretching Surface with Uniform Lateral Mass Flux: Utilization of Third Level of Truncation" Mathematics 10, no. 21: 4159. https://doi.org/10.3390/math10214159
APA StyleAfridi, M. I., Chen, Z.-M., Karakasidis, T. E., & Qasim, M. (2022). Local Non-Similar Solutions for Boundary Layer Flow over a Nonlinear Stretching Surface with Uniform Lateral Mass Flux: Utilization of Third Level of Truncation. Mathematics, 10(21), 4159. https://doi.org/10.3390/math10214159

