Influences of Momentum Ratio on Transverse Dispersion for Intermediate-Field Mixing Downstream of Channel Confluence
Abstract
:1. Introduction
2. Theoretical Backgrounds and Methods
2.1. Transverse Mixing in Channel Confluences
2.1.1. Mixing Properties in Channel Confluence
2.1.2. Estimation of Transverse Dispersion Coefficient
2.2. Model Validations and Simulation Conditions
2.2.1. Model Descriptions
2.2.2. Simulation Conditions
2.2.3. Model Validations
3. Results
3.1. Flow Analysis Results in Confluence
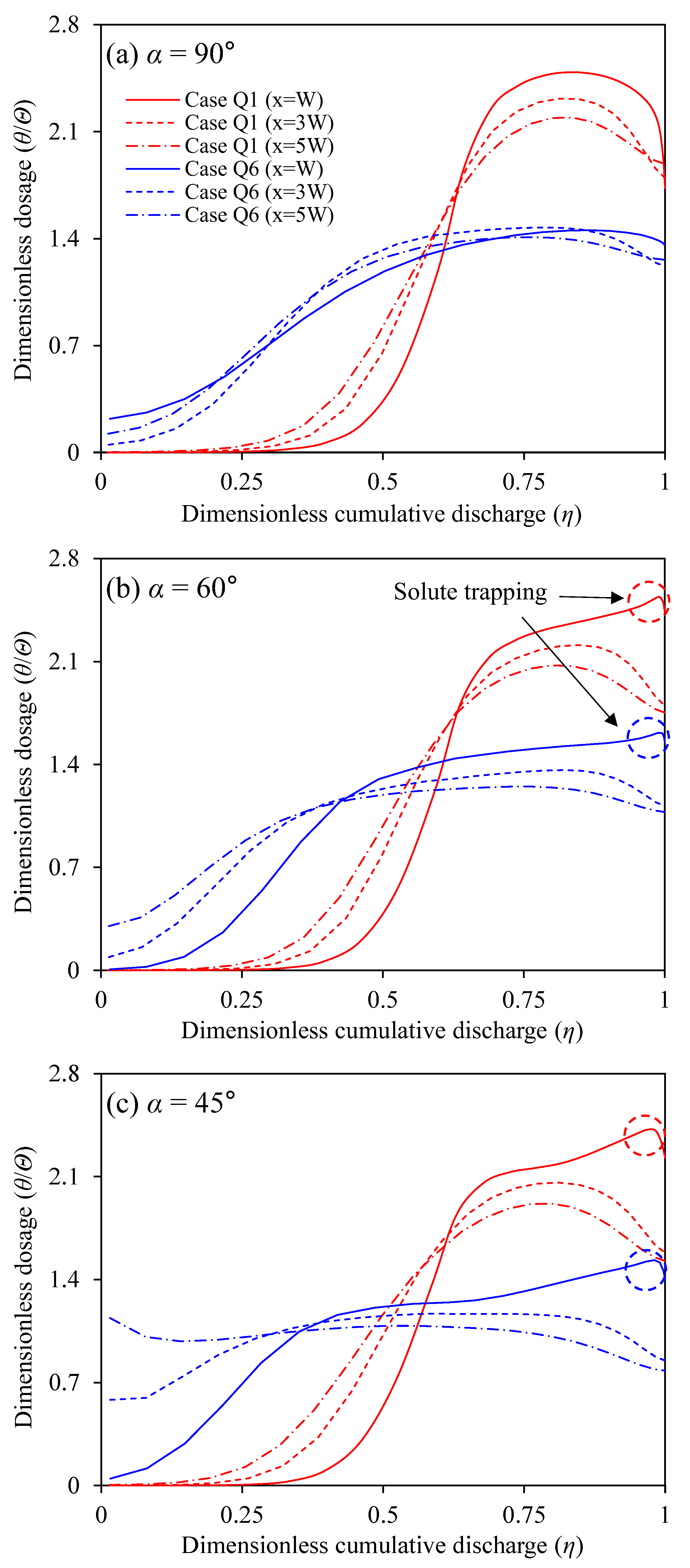
3.2. Solute Mixing in Confluence
3.3. Estimation of Transverse Dispersion Coefficient
4. Discussions
5. Conclusions
- The tributary with high momentum created a strong helical motion in the cross-section downstream of the confluence and led to the inflow of pollutants to the recirculation zone. Simultaneously, the strong vertical deviations of transverse velocity due to the high momentum tributary contributed to the discharge of the pollutants from the recirculation zone. Thus, the retention time of pollutants in the recirculation zone decreased with the increase in the momentum ratio.
- The flow structures induced by the large confluence angle contributed to increasing both the recirculation zone size and the retention time of pollutants. However, the larger flow radius generated from the downstream junction corner for α = 90° than that of other confluence angles reduced the pollutant accumulation flowing into the recirculation zone.
- The strong secondary flow intensity generated from the high momentum tributary promoted the transverse dispersion coefficient to increase with the persistence of helical motion. However, the helical motion persistence rapidly decreased as flowing downstream and led to a decrease in the transverse dispersion for the large confluence angle.
Author Contributions
Funding
Institutional Review Board Statement
Informed Consent Statement
Data Availability Statement
Acknowledgments
Conflicts of Interest
References
- Lewis, Q.; Rhoads, B.; Sukhodolov, A.; Constantinescu, G. Advective lateral transport of streamwise momentum governs mixing at small river confluences. Water Resour. Res. 2019, 56, e2019WR026817. [Google Scholar] [CrossRef]
- Gualtieri, C.; Ianniruberto, M.; Filizola, N. On the mixing of rivers with a difference in density: The case of the Negro/Solimões confluence, Brazil. J. Hydrol. 2019, 578, 124029. [Google Scholar] [CrossRef]
- Yuan, S.; Tang, H.; Xiao, Y.; Qiu, X.; Zhang, H.; Yu, D. Turbulent flow structure at a 90-degree open channel confluence: Accounting for the distortion of the shear layer. J. Hydro-Environ. Res. 2016, 12, 130–147. [Google Scholar] [CrossRef]
- Constantinescu, G.; Miyawaki, S.; Rhoads, B.; Sukhodolov, A.; Kirkil, G. Structure of turbulent flow at a river confluence with momentum and velocity ratios close to 1: Insight provided by an eddy-resolving numerical simulation. Water Resour. Res. 2011, 47, W05507. [Google Scholar] [CrossRef]
- Constantinescu, G.; Miyawaki, S.; Rhoads, B.; Sukhodolov, A. Numerical analysis of the effects of momentum ratio on the dynamics and sediment-entrainment capacity of coherent flow structures at a stream confluence. J. Geophys. Res. 2012, 117, F04028. [Google Scholar] [CrossRef]
- Rhoads, B.L.; Kenworthy, S.T. Flow structure at an asymmetrical stream confluence. Geomorphology 1995, 11, 273–293. [Google Scholar] [CrossRef]
- Lane, S.N.; Parsons, D.R.; Best, J.L.; Orfeo, O.; Kostaschuk, R.A.; Hardy, R.J. Causes of rapid mixing at a junction of two large rivers: Rio Parana and Rio Paraguay, Argentina. J. Geophys. Res. 2008, 113, F02019. [Google Scholar] [CrossRef]
- Pouchoulin, S.; Coz, J.L.; Mignot, E.; Gond, L.; Riviere, N. Predicting transverse mixing efficiency downstream of a river confluence. Water Resour. Res. 2019, 56, e2019WR026367. [Google Scholar] [CrossRef]
- Shin, J.; Lee, S.; Park, I. Analysis of storage effects in the recirculation zone based on the junction angle of channel confluence. Appl. Sci. 2021, 11, 11607. [Google Scholar] [CrossRef]
- Chabokpour, J.; Azamathulla, H.M. Numerical simulation of pollution transport and hydrodynamic characteristics through the river confluence using FLOW3D. Water Supply 2022, 22, 7821–7823. [Google Scholar] [CrossRef]
- Albers, C.; Steffler, P. Estimating transverse mixing in open channels due to secondary current-induced shear dispersion. J. Hydraul. Eng. 2007, 133, 186–196. [Google Scholar] [CrossRef]
- Baek, K.O.; Seo, I.W. Transverse dispersion caused by secondary flow in curved channels. J. Hydraul. Eng. 2011, 137, 1126–1134. [Google Scholar] [CrossRef]
- Rutherford, J.C. River Mixing; John Wiley and Sons: London, UK, 1994. [Google Scholar]
- Jeon, T.M.; Baek, K.O.; Seo, I.W. Development of an empirical equation for the transverse dispersion coefficient in natural streams. Environ. Fluid Mech. 2007, 7, 317–329. [Google Scholar] [CrossRef]
- Seo, I.W.; Choi, H.J.; Kim, Y.D.; Han, E.J. Analysis of two-dimensional mixing in natural streams based on transient tracer tests. J. Hydraul. Eng. 2016, 142, 04016020. [Google Scholar] [CrossRef]
- Baek, K.O.; Seo, I.W. Estimation of the transverse dispersion coefficient for two-dimensional models of mixing in natural stream. J. Hydro-Environ. Res. 2017, 15, 67–74. [Google Scholar] [CrossRef]
- Lewis Quinn, W.; Bruce, L. Rhoads. Rates and patterns of thermal mixing at a small stream confluence under variable incoming flow conditions. Hydrol. Process. 2015, 29, 4442–4456. [Google Scholar] [CrossRef]
- Constantinescu, G.; Miyawaki, S.; Rhoads, B.; Sukhodolov, A. Influence of planform geometry and momentum ratio on thermal mixing at a stream confluence with a concordant bed. Environ. Fluid Mech. 2016, 16, 845–873. [Google Scholar] [CrossRef]
- Sukhodolov, A.N.; Sukhodolova, T.A. Dynamics of flow at concordant gravel bed river confluences: Effects of junction angle and momentum flux ratio. J. Geophys. Res. Earth Surf. 2019, 124, 588–615. [Google Scholar] [CrossRef]
- Rhoads, B.L.; Sukhodolov, A.N. Field investigation of three-dimensional flow structure at stream confluences: 1. Thermal mixing and time-averaged velocities. Water Resour. Res. 2001, 37, 2393–2410. [Google Scholar] [CrossRef]
- Jung, S.H.; Seo, I.W.; Kim, Y.D.; Park, I. Feasibility of velocity-based method for transverse mixing coefficients in river mixing analysis. J. Hydraul. Eng. 2019, 145, 04019040. [Google Scholar] [CrossRef]
- Fischer, H.B.; List, J.E.; Koh, R.C.Y.; Imberger, J.; Brooks, N.H. Mixing in Inland and Coaster Waters; Academic Press: San Diego, CA, USA, 1979. [Google Scholar]
- Taylor, G.I. The dispersion of matter in turbulent flow through a pipe. Proc. R. Soc. London. Ser. A. Math. Phys. Sci. 1954, 223, 446–468. [Google Scholar]
- Beltaos, S. Transverse mixing tests in natural streams. J. Hydraul. Div. 1980, 106, 1607–1625. [Google Scholar] [CrossRef]
- Baek, K.O. Flowchart on choosing optimal method of observing transverse dispersion coefficient for solute transport in open channel flow. Sustainability 2018, 10, 1332. [Google Scholar] [CrossRef]
- Hamrick, J.M. A three-dimensional environmental fluid dynamics computer code: Theoretical and computational aspects. In Special Report in Applied Marine Science and Ocean Engineering, 317; Virginia Institute of Marine Science: Gloucester Point, VA, USA, 1992; pp. 7–9. [Google Scholar]
- Weber, L.J.; Eric, D.S.; Nicola, M. Experiments on flow at a 90° open-channel junction. J. Hydraul. Eng. 2001, 127, 340–350. [Google Scholar] [CrossRef]
- Yang, Q.Y.; Wang, X.Y.; Lu, W.Z.; Wang, X.K. Experimental study on characteristics of separation zone in confluence zones in rivers. J. Hydrol. Eng. 2009, 14, 166–171. [Google Scholar]
- Yu, Q.; Yuan, S.; Rennie, C.D. Experiments on the morphodynamics of open channel confluences: Implications for the accumulation of contaminated sediments. J. Geophys. Res. Earth Surf. 2019, 125, e2019JF005438. [Google Scholar] [CrossRef]
- Best, J.L.; Reid, I. Separation zone at open-channel junctions. J. Hydraul. Eng. 1984, 110, 1588–1594. [Google Scholar] [CrossRef]
- Gurram, S.K.; Karki, K.S.; Hager, W.H. Subcritical junction flow. J. Hydraul. Eng. 1997, 123, 447–455. [Google Scholar] [CrossRef]
- Shakibainia, A.; Tabatabai, M.R.M.; Zarrati, A.R. Three-dimensional numerical study of flow structure in channel confluences. Can. J. Civ. Eng. 2010, 37, 772–781. [Google Scholar] [CrossRef]
- Penna, N.; Marchis, M.D.; Canelas, O.B.; Napoli, E.; Cardoso, A.; Gaudio, R. Effect of the junction angle on turbulent flow at a hydraulic confluence. Water 2018, 10, 469. [Google Scholar] [CrossRef]
- Huang, J.; Weber, L.J.; Lai, Y.G. Three-dimensional numerical study of flows in open-channel junctions. J. Hydraul. Eng. 2002, 128, 268–280. [Google Scholar] [CrossRef]











| Case | Qm (m3/s) | Qb (m3/s) | hd (m) | C0 (ppm) | dt (s) | Cs | Manning’s n | Qr | Mr | Frd |
|---|---|---|---|---|---|---|---|---|---|---|
| Q1 | 17.03 | 9.33 | 3.34 | 100 | 0.01 | 0.2 | 0.013 | 0.35 | 0.3 | 0.14 |
| Q2 | 13.19 | 0.2 | 0.44 | 0.6 | 0.16 | |||||
| Q3 | 16.15 | 0.2 | 0.49 | 0.9 | 0.17 | |||||
| Q4 | 18.65 | 0.3 | 0.52 | 1.2 | 0.19 | |||||
| Q5 | 20.85 | 0.3 | 0.55 | 1.5 | 0.20 | |||||
| Q6 | 22.84 | 0.3 | 0.57 | 1.8 | 0.21 |
| α (°) | Case | Cp (ppm) | tp (sec) | μt (sec) | td (sec) | ξt |
|---|---|---|---|---|---|---|
| 90 | Q1 | 22.9 | 348.6 | 380.9 | 520 | 0.81 |
| Q2 | 30.6 | 308.6 | 328.2 | 405 | 0.80 | |
| Q3 | 32.9 | 283.6 | 305.8 | 375 | 0.71 | |
| Q4 | 37.2 | 273.6 | 288.6 | 345 | 0.66 | |
| Q5 | 39.8 | 263.6 | 278.1 | 320 | 0.62 | |
| Q6 | 56.6 | 328.6 | 327.3 | 380 | 0.20 | |
| 60 | Q1 | 42.9 | 314.0 | 338.1 | 405 | 1.20 |
| Q2 | 47.7 | 268.6 | 296.1 | 355 | 1.10 | |
| Q3 | 49.7 | 258.6 | 280.0 | 330 | 1.02 | |
| Q4 | 51.9 | 248.6 | 267.4 | 310 | 0.97 | |
| Q5 | 54.0 | 238.6 | 256.9 | 295 | 0.94 | |
| Q6 | 55.7 | 234.0 | 334.8 | 285 | 0.90 | |
| 45 | Q1 | 39.4 | 293.6 | 320.9 | 350 | 1.22 |
| Q2 | 42.3 | 263.6 | 285.2 | 310 | 1.08 | |
| Q3 | 53.3 | 253.6 | 271.4 | 300 | 0.91 | |
| Q4 | 53.7 | 243.6 | 261.6 | 290 | 0.85 | |
| Q5 | 55.5 | 233.6 | 251.4 | 280 | 0.83 | |
| Q6 | 57.0 | 229.0 | 330.3 | 270 | 0.77 |
| Case | ||||||
|---|---|---|---|---|---|---|
| Q1 (Mr = 0.3) | Q2 (Mr = 0.6) | Q3 (Mr = 0.9) | Q4 (Mr = 1.2) | Q5 (Mr = 1.5) | Q6 (Mr = 1.8) | |
| = 90° | 0.063 | 0.093 | 0.097 | 0.108 | 0.119 | 0.117 |
| = 60° | 0.066 | 0.099 | 0.104 | 0.137 | 0.169 | 0.216 |
| = 45° | 0.093 | 0.198 | 0.236 | 0.390 | 0.448 | 0.674 |
| Factors | Increase of Confluence Angle | Increase of Momentum Ratio | |
|---|---|---|---|
| Flow structure | Recirculation zone size (ls and bs) | Increase | Increase |
| Mixing interface alignment | Not influenced | Created to the outer bank | |
| Intensity of vertical deviations of transverse velocity | Decrease as flowing downstream | Increase | |
| Mixing properties | Retention time in recirculation zone (td) | Increase | Decrease |
| Transverse dispersion coefficient | Decrease | Increase |
Disclaimer/Publisher’s Note: The statements, opinions and data contained in all publications are solely those of the individual author(s) and contributor(s) and not of MDPI and/or the editor(s). MDPI and/or the editor(s) disclaim responsibility for any injury to people or property resulting from any ideas, methods, instructions or products referred to in the content. |
© 2023 by the authors. Licensee MDPI, Basel, Switzerland. This article is an open access article distributed under the terms and conditions of the Creative Commons Attribution (CC BY) license (https://creativecommons.org/licenses/by/4.0/).
Share and Cite
Shin, J.; Lee, S.; Park, I. Influences of Momentum Ratio on Transverse Dispersion for Intermediate-Field Mixing Downstream of Channel Confluence. Int. J. Environ. Res. Public Health 2023, 20, 2776. https://doi.org/10.3390/ijerph20042776
Shin J, Lee S, Park I. Influences of Momentum Ratio on Transverse Dispersion for Intermediate-Field Mixing Downstream of Channel Confluence. International Journal of Environmental Research and Public Health. 2023; 20(4):2776. https://doi.org/10.3390/ijerph20042776
Chicago/Turabian StyleShin, Jaehyun, Sunmi Lee, and Inhwan Park. 2023. "Influences of Momentum Ratio on Transverse Dispersion for Intermediate-Field Mixing Downstream of Channel Confluence" International Journal of Environmental Research and Public Health 20, no. 4: 2776. https://doi.org/10.3390/ijerph20042776
APA StyleShin, J., Lee, S., & Park, I. (2023). Influences of Momentum Ratio on Transverse Dispersion for Intermediate-Field Mixing Downstream of Channel Confluence. International Journal of Environmental Research and Public Health, 20(4), 2776. https://doi.org/10.3390/ijerph20042776

