Sign in to use this feature.

Years

Between: -

Subjects

remove_circle_outline
remove_circle_outline
remove_circle_outline
remove_circle_outline
remove_circle_outline
remove_circle_outline
remove_circle_outline
remove_circle_outline
remove_circle_outline

Journals

remove_circle_outline
remove_circle_outline
remove_circle_outline
remove_circle_outline
remove_circle_outline
remove_circle_outline
remove_circle_outline
remove_circle_outline
remove_circle_outline
remove_circle_outline
remove_circle_outline
remove_circle_outline
remove_circle_outline
remove_circle_outline
remove_circle_outline
remove_circle_outline
remove_circle_outline
remove_circle_outline
remove_circle_outline
remove_circle_outline
remove_circle_outline
remove_circle_outline

Article Types

Countries / Regions

remove_circle_outline
remove_circle_outline
remove_circle_outline
remove_circle_outline
remove_circle_outline
remove_circle_outline
remove_circle_outline
remove_circle_outline
remove_circle_outline
remove_circle_outline

Search Results (4,284)

Search Parameters:
Keywords = in vitro analyses

Order results
Result details
Results per page
Select all
Export citation of selected articles as:
27 pages, 3467 KB  
Article
A Novel Workflow for Non-Animal PBK Modelling of UV Filters: Oxybenzone as a Case Study
by Nazanin Golbamaki, Anne Moustié, Nicola J. Hewitt, Guillaume Lereaux, Matthew Burbank, El Mehdi Ben Yahya, Sébastien Grégoire and Laurène Roussel-Berlier
Pharmaceuticals 2025, 18(11), 1607; https://doi.org/10.3390/ph18111607 (registering DOI) - 24 Oct 2025
Abstract
Background/Objectives: Physiologically based kinetics (PBK) modelling provides (internal) exposure concentrations. We used a PBK model parameterized exclusively with in silico and in vitro data in a bottom-up approach to predict the pharmacokinetics of oxybenzone, a UV filter, present in two formulations (for which [...] Read more.
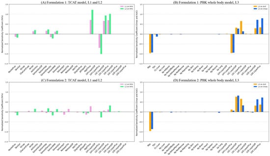
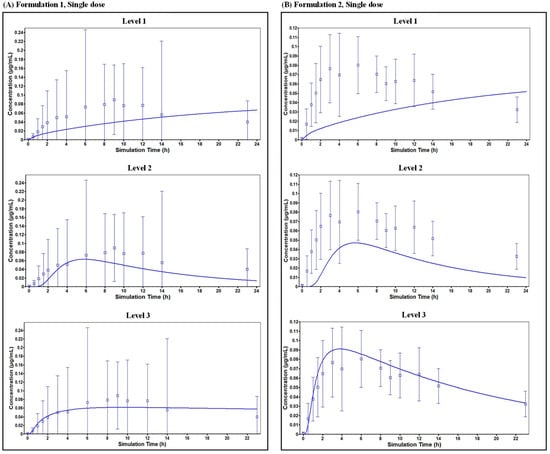
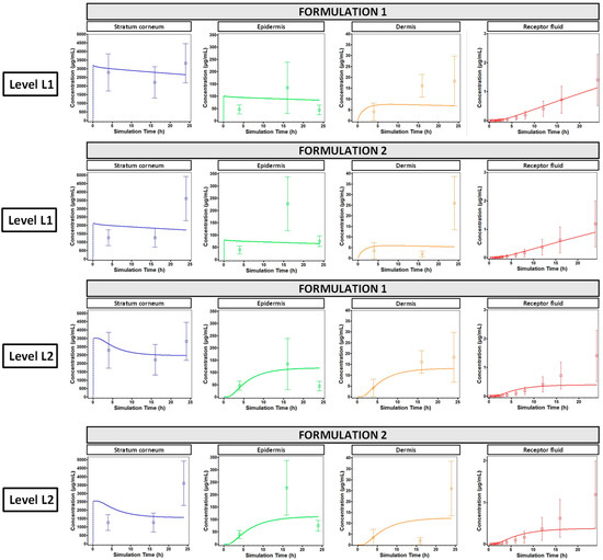
Background/Objectives: Physiologically based kinetics (PBK) modelling provides (internal) exposure concentrations. We used a PBK model parameterized exclusively with in silico and in vitro data in a bottom-up approach to predict the pharmacokinetics of oxybenzone, a UV filter, present in two formulations (for which dose-normalized Cmax and AUC from clinical studies were different). Methods: Skin absorption data were used to refine chemical-specific dermal absorption parameters for oxybenzone in a lotion and spray. The Transdermal Compartmental Absorption and Transit (TCAT) model in GastroPlus® 9.9 was used to estimate vehicle and skin layer diffusion and partitioning and then used to simulate systemic exposure. The model was validated according to the OECD 331 guideline. Results: PK profiles simulated for both formulations after single and repeated applications correlated with clinical data profiles (used only to validate our approach), with a deviation from the Cmax and AUC of <2-fold. Sensitivity and uncertainty analyses indicated that most input parameters had a medium to high reliability, whereas only a few parameters related to dermal delivery had a low reliability: the partition coefficient between vehicle and water for spray and the diffusion coefficient in stratum corneum for lotion. In vitro skin absorption results suggested that absorption kinetics were not statistically different between the formulations; however, parameters such as vehicle evaporation time were different. The fine-tuned TCAT model containing the absorption data suggested that the variability in clinical data might be due to other factors, e.g., the small number of subjects. Conclusions: These results demonstrate how formulation-dependent absorption kinetics improve confidence in estimated exposure, thanks to the PBK model with its bottom-up approach for nonanimal-based safety assessments. Full article
(This article belongs to the Section Pharmacology)
Show Figures

Graphical abstract

30 pages, 3150 KB  
Article
Zinc-Modified Mordenite Zeolite as a Molecular Carrier for Donepezil: A Framework for Drug Delivery Applications
by Diana Guaya, Lupe Carolina Espinoza, Ximena Jaramillo-Fierro, Dagmar Gualotuña Campoverde, Lilian Sosa and Ana Cristina Calpena
Molecules 2025, 30(21), 4174; https://doi.org/10.3390/molecules30214174 - 24 Oct 2025
Abstract
The development of advanced drug delivery systems is essential for improving therapeutic efficacy, particularly in the treatment of neurodegenerative disorders such as Alzheimer’s disease. This study investigates zinc-modified mordenite zeolite (MR-ZN) as a novel platform for the controlled delivery of donepezil (DPZ), a [...] Read more.
The development of advanced drug delivery systems is essential for improving therapeutic efficacy, particularly in the treatment of neurodegenerative disorders such as Alzheimer’s disease. This study investigates zinc-modified mordenite zeolite (MR-ZN) as a novel platform for the controlled delivery of donepezil (DPZ), a cholinesterase inhibitor. Natural mordenite was modified with zinc, enhancing its surface area from 62.1 to 85.4 m2/g and improving its adsorption properties. Donepezil was successfully loaded at two doses (10 mg and 23 mg), achieving high loading efficiencies of 95% and 94%, respectively. Adsorption kinetics followed a pseudo-second-order model (R2 > 0.99), indicating that chemisorption predominates through coordination between DPZ functional groups and Zn2+ sites, while complementary physisorption via hydrogen bonding and van der Waals interactions also contributes to molecular stabilization within the zeolite framework. In vitro release studies under simulated gastrointestinal conditions demonstrated sustained and pH-responsive release profile with 80% and 82% of donepezil released after 24 h for 10 mg and 23 mg formulations, respectively. Density Functional Theory (DFT) calculations revealed favorable adsorption energy (−26.4 kJ/mol), while Bader and Electron Localization Function (ELF) analyses confirmed hydrogen bonding and electrostatic interactions without compromising the zeolite framework. These findings validate MR-ZN as structurally stable, efficient, cost-effective and biocompatible matrix for oral drug delivery. The combination of experimental data and theoretical modeling supports its potential to improve bioavailability and therapeutic performance in neurodegenerative treatment. Full article
(This article belongs to the Special Issue Design, Synthesis, and Application of Zeolite Materials)
Show Figures

Figure 1

16 pages, 6424 KB  
Article
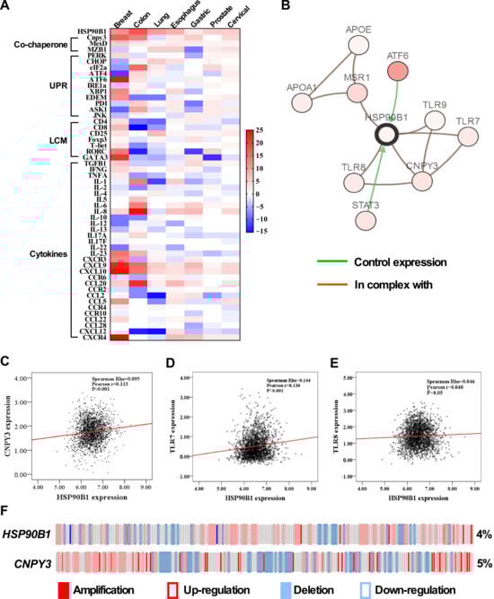
CNPY3 Promotes Human Breast Cancer Progression and Metastasis via Modulation of the Tumor Microenvironment
by Xiaofeng Duan, Ran Zhao, Shaoli Sun, Beichu Guo, Zihai Li and Bei Liu
Curr. Issues Mol. Biol. 2025, 47(11), 883; https://doi.org/10.3390/cimb47110883 - 24 Oct 2025
Abstract
Canopy FGF signaling regulator 3 (CNPY3) is a cochaperone of the molecular chaperone GRP94. CNPY3 is critical for the post-translational maturation of toll-like receptors and for regulating inflammasome signaling. However, the role of CNPY3 in cancer development and progression is still not fully [...] Read more.
Canopy FGF signaling regulator 3 (CNPY3) is a cochaperone of the molecular chaperone GRP94. CNPY3 is critical for the post-translational maturation of toll-like receptors and for regulating inflammasome signaling. However, the role of CNPY3 in cancer development and progression is still not fully understood. In this study, we aimed to investigate the role of CNPY3 in human breast cancer progression and metastasis. We used genomic and clinical information from multiple databases to profile CNPY3 and GRP94 in human cancers. We found that CNPY3 and GRP94 were elevated in human breast cancers compared to normal tissue. Higher expression of CNPY3 correlated with cancer progression and poor clinical outcomes in breast cancers. We confirmed these findings using a human breast cancer tissue array. We silenced CNPY3 in human breast cancer cells using a CRISPR/Cas9 system. For the first time, we found that deletion of CNPY3 significantly reduced tumor growth and metastasis in vitro and in vivo. Additionally, network and enrichment analyses revealed that changes in the unfolded protein response pathway and immune-related genes were significantly dependent on alterations in CNPY3 and GRP94. This study suggests that CNPY3 is a potential biomarker and novel therapeutic target for cancers. Full article
(This article belongs to the Special Issue Tumorigenesis and Tumor Microenvironment)
Show Figures

Figure 1

34 pages, 7380 KB  
Article
Vitexin as a Potential Antidysmenorrheic Agent: Development of a ZIF-8-Based Immediate-Release System and Evaluation via In Vivo and In Silico Approaches
by José Marcos Teixeira de Alencar Filho, Ana Rita de Sousa França, Luana Beatriz Rocha da Silva, Pedrita Alves Sampaio, Emanuella Chiara Valença Pereira, Ademar Rocha da Silva, Milenna Victória Valentim de Oliveira Alencar, Tarcísio Cícero de Lima Araújo, Pedro Modesto Nascimento Menezes, Salvana Priscylla Manso Costa, Ighor Costa Barreto, Fabrício Souza Silva, Edigênia Cavalcante da Cruz Araújo, Edilson Beserra de Alencar Filho and Larissa Araújo Rolim
Biomedicines 2025, 13(11), 2602; https://doi.org/10.3390/biomedicines13112602 - 24 Oct 2025
Abstract
Background/Objectives: Primary dysmenorrhea is a prevalent condition that causes severe uterine cramps in women worldwide. The objective of this work was to synthesize and characterize a novel immediate-release system using vitexin and ZIF-8, and to evaluate its pharmacological action in a model [...] Read more.
Background/Objectives: Primary dysmenorrhea is a prevalent condition that causes severe uterine cramps in women worldwide. The objective of this work was to synthesize and characterize a novel immediate-release system using vitexin and ZIF-8, and to evaluate its pharmacological action in a model of primary dysmenorrhea. Methods: A 22 full factorial design guided the synthesis of the system. Physicochemical characterization was performed by FT-IR, TG, DSC, SEM, XRD, and in vitro release tests. Pharmacological activity was assessed in an oxytocin-induced dysmenorrhea model in mice. In addition, in silico molecular docking and molecular dynamics simulations were conducted to explore the potential mechanism of action of vitexin. Results: Optimal yield and loading capacity were achieved at the high levels of the factorial design. Characterization analyses confirmed the successful formation of the vitexin@ZIF-8 (VIT@ZIF-8) system. The release study demonstrated a markedly enhanced dissolution rate of vitexin. Both isolated vitexin and VIT@ZIF-8 reduced abdominal writhing when administered orally at 3 and 30 mg/kg, while intraperitoneal activity was observed only at 30 mg/kg. Computational analyses revealed favorable interactions of vitexin with aldose reductase (AKR1C3), suggesting this enzyme as a potential molecular target in dysmenorrhea. Conclusions: The VIT@ZIF-8 system represents a promising strategy to improve the dissolution profile of vitexin, although pharmacological activity in this model was not superior to the isolated compound. The combined in vivo and in silico evidence supports vitexin as a potential antidysmenorrheic agent, possibly through modulation of AKR1C3. These findings open avenues for future studies addressing the molecular pathways of vitexin and for the development of novel therapeutic approaches for primary dysmenorrhea. Full article
(This article belongs to the Section Drug Discovery, Development and Delivery)
Show Figures

Graphical abstract

27 pages, 9862 KB  
Article
Post-Synthesis Modulation of the Physicochemical Properties of Green-Synthesized Iron Oxide Nanoparticles with Tween 80 to Enhance Their Antibacterial Activity and Biocompatibility
by Marwa R. Bakkar, Alaa M. Ali, Gehad E. Elkhouly, Nermeen R. Raya, Terry W. Bilverstone, Nicholas P. Chatterton, Gary R. McLean and Yasmin Abo-Zeid
Pharmaceutics 2025, 17(11), 1371; https://doi.org/10.3390/pharmaceutics17111371 - 23 Oct 2025
Abstract
Background: Iron oxide nanoparticles (IONPs) have broad-spectrum antimicrobial activity, with negligible potential for resistance development, excellent biocompatibility, and therefore, could be promising alternatives to conventional antimicrobials. However, their industrial-scale production relies on chemical synthesis that involves toxic reagents, imposing potential environmental hazards. [...] Read more.
Background: Iron oxide nanoparticles (IONPs) have broad-spectrum antimicrobial activity, with negligible potential for resistance development, excellent biocompatibility, and therefore, could be promising alternatives to conventional antimicrobials. However, their industrial-scale production relies on chemical synthesis that involves toxic reagents, imposing potential environmental hazards. In contrast, green synthesis offers an eco-friendly alternative, but our previous study found that green-synthesized IONPs (IONPs-G) exhibited a lower antibacterial activity and a higher cytotoxicity compared to chemically synthesized counterparts, likely due to nanoparticle aggregation. Objectives: To address this challenge, the current study presents a simple, effective, economic, scalable, and eco-friendly strategy to optimize the physicochemical properties of IONPs-G post-production without requiring extensive modifications to synthesis parameters. Methods: IONPs-G were dispersed in a solvent mixture containing Tween 80 (Tw80). Subsequently, in vitro antimicrobial and in vivo cytotoxicity studies on rabbits’ skin and eye were conducted. Results: The formed nanoparticles’ dispersion (IONPs-GTw80) had a particle size of 9.7 ± 2.1 nm, a polydispersity index of 0.111 ± 0.02, and a zeta potential of −11.4 ± 2.4 mV. MIC of IONPs-GTw80 values against S. aureus and E. coli were reduced by more than ten-fold compared to IONPs-G. MBC was twice MIC, confirming the bactericidal activity of IONPs-GTw80. In vivo studies of IONPs-GTw80 confirmed their biocompatibility with intact/abraded skin and eyes; this was further confirmed by histopathological and biochemical analyses. Conclusions: IONPs-GTw80 might be recommended as a disinfectant in healthcare settings or a topical antimicrobial agent for treatment of infected wounds. Nevertheless, further studies are required for their clinical translation. Full article
Show Figures

Figure 1

15 pages, 5026 KB  
Article
Genetic Diversity of the Only Natural Population of Corylus avellana L. in Kazakhstan and Prospects for Its In Vitro Conservation
by Svetlana V. Kushnarenko, Madina Omasheva, Natalya Romadanova, Moldir Aralbayeva, Nazgul Rymkhanova, Ulzhan Manapkanova, Roberto Botta, Paola Ruffa, Nadia Valentini and Daniela Torello Marinoni
Biology 2025, 14(11), 1472; https://doi.org/10.3390/biology14111472 - 23 Oct 2025
Abstract
Corylus avellana L. is a rare and endangered species in Kazakhstan, included in the national Red Book. The results of morphological and genetic characterization of the sole known natural population of C. avellana in the Western Kazakhstan region are presented in this study. [...] Read more.
Corylus avellana L. is a rare and endangered species in Kazakhstan, included in the national Red Book. The results of morphological and genetic characterization of the sole known natural population of C. avellana in the Western Kazakhstan region are presented in this study. Sixty wild accessions were evaluated based on tree and leaf morphological traits using standard descriptors in accordance with Bioversity International guidelines. Genetic diversity was assessed using ten nuclear simple sequence repeat (SSR) markers. A total of 120 alleles were detected across the nuclear loci, with the number of alleles per locus ranging from 9 to 16 and an average of 12. The mean effective number of alleles (Ne) per locus was 3.862. A high level of intraspecific polymorphism was observed, with an average observed heterozygosity (Ho) of 0.70. The population showed considerable genetic diversity, as highlighted by a mean Shannon’s diversity index of 1.526. STRUCTURE, PCoA, and phylogenetic analyses confirmed strong differentiation between the wild Kazakh population and the cultivated hazelnut germplasm. Due to the lack of viable seeds, in vitro conservation was initiated using vegetative shoots. A two-step disinfection protocol, involving Plant Preservative Mixture and mercuric chloride, significantly improved explant survival, enabling successful establishment of an aseptic in vitro collection. These findings highlight the urgent need for targeted conservation strategies and show the potential of biotechnological approaches for safeguarding Kazakhstan’s only natural C. avellana population. Full article
(This article belongs to the Section Conservation Biology and Biodiversity)
Show Figures

Figure 1

16 pages, 6991 KB  
Article
Optimizing Somatic Embryogenesis and Biomass Proliferation in Narcissus L. ‘Carlton’ Callus Lines Using Solid and Liquid Media
by Małgorzata Malik, Justyna Mazur and Anna Kapczyńska
Agronomy 2025, 15(11), 2460; https://doi.org/10.3390/agronomy15112460 - 23 Oct 2025
Abstract
Somatic embryogenesis (SE) in Narcissus offers significant potential for both horticultural propagation and pharmaceutical applications. In this study, embryogenic callus lines derived via primary and secondary SE were evaluated under different in vitro conditions to assess the effects of medium type (liquid vs. [...] Read more.
Somatic embryogenesis (SE) in Narcissus offers significant potential for both horticultural propagation and pharmaceutical applications. In this study, embryogenic callus lines derived via primary and secondary SE were evaluated under different in vitro conditions to assess the effects of medium type (liquid vs. solid) and composition (proliferation vs. regeneration) on biomass growth and somatic embryo formation. Lines derived from primary SE (LC1–LC4) were less efficient compared to those obtained through secondary SE (LC5–LC7). Cultures cultivated in liquid proliferation medium for eight weeks showed a greater biomass accumulation than those grown on solid medium. Multivariate analyses revealed distinct growth patterns and responses to medium type among the callus lines. The LC5 and LC7 lines formed a separate cluster characterized by superior biomass proliferation and embryogenic competence. An eight-week culture in a liquid proliferation medium followed by a transfer to a solid medium of the same composition resulted in the highest somatic embryo yield in the LC5 line (54.4 embryos per 0.5 g of callus). Under the same conditions, the LC7 line showed the highest biomass growth (a 23.4-fold increase), but its embryogenic response was more effectively stimulated when the callus was initially proliferated on a solid medium and then transferred to a regeneration medium. Full article
(This article belongs to the Section Horticultural and Floricultural Crops)
Show Figures

Figure 1

15 pages, 1220 KB  
Article
Integration of Postbiotics into Adult Diapers: In Vitro Evaluation of Biocompatibility and Effect on Skin Microbiota
by Oznur Ozlem Ibrahimoglu, Leyla Tarhan Celebi, Dilan Ece Dikbiyik, Halise Betul Gokce, Bekir Cakici, Zafer Türkoğlu, Ayse Nilhan Atsu and Ismail Aslan
Life 2025, 15(11), 1652; https://doi.org/10.3390/life15111652 - 23 Oct 2025
Abstract
Postbiotics are bioactive microbial metabolites recognized for their potential to support skin health and balance the microbiota. In this study, nonwoven fabrics and adult diaper prototypes, with and without postbiotic incorporation, were evaluated for their effects on skin microbiota, epidermal integrity, and cytotoxicity. [...] Read more.
Postbiotics are bioactive microbial metabolites recognized for their potential to support skin health and balance the microbiota. In this study, nonwoven fabrics and adult diaper prototypes, with and without postbiotic incorporation, were evaluated for their effects on skin microbiota, epidermal integrity, and cytotoxicity. In vitro assays using reconstructed human epidermis and keratinocyte cell lines demonstrated that postbiotic-containing samples maintained high tissue and cell viability. Microbiota diversity analyses confirmed that postbiotic formulations maintained a favorable ratio of Staphylococcus epidermidis to Staphylococcus aureus. Collectively, these findings indicate that ATA-coded postbiotic-embedded nonwoven and adult diaper prototypes are skin microbiota-friendly, safe for epidermal contact, and stable in their bioactive compound content. These results underscore the potential of postbiotics as functional agents in personal hygiene products to promote skin health. Full article
Show Figures

Graphical abstract

17 pages, 2917 KB  
Article
Terminalia chebula Retz. Fruit Extract Promotes Murine Hair Growth by Suppressing 5α-Reductase and Accelerating the Degradation of Dihydrotestosterone
by Ting Cui, Xiaoqing Wang, Qi Wu, Ye Zhong, Fenglou Wang, Yue Zou, Yushu Wang, Shanshan Jiang and Gang Ma
Biomedicines 2025, 13(11), 2584; https://doi.org/10.3390/biomedicines13112584 - 22 Oct 2025
Abstract
Background/Objectives: Androgenetic alopecia (AGA) is the most common hair loss disorder in dermatological practice. Its primary pathogenesis involves the conversion of testosterone to dihydrotestosterone (DHT) by type II 5α-reductase upon reaching dermal papilla cells (DPCs). DHT impairs DPCs’ activity and inhibits hair growth. [...] Read more.
Background/Objectives: Androgenetic alopecia (AGA) is the most common hair loss disorder in dermatological practice. Its primary pathogenesis involves the conversion of testosterone to dihydrotestosterone (DHT) by type II 5α-reductase upon reaching dermal papilla cells (DPCs). DHT impairs DPCs’ activity and inhibits hair growth. Although the FDA-approved drugs finasteride and minoxidil show certain efficacy, they are also associated with severe side effects. This study aims to explore the effects of Terminalia chebula fruit extract (TCFE) on hair growth and its underlying molecular mechanisms. Methods: We investigated the therapeutic potential of TCFE in hair follicle regeneration, employing a multi-level experimental approach combining in vitro analyses of DPCs, in vivo animal models of AGA, and ex vivo cultures of human hair follicles and scalp tissue. Results: First, RNA-seq analysis and RT-PCR validation revealed that TCFE treatment activated the Wnt and TGF-β3 signaling pathways in DPCs, particularly upregulating the AKR1C gene family, which is involved in DHT metabolism. TCFE also potently inhibited type II 5α-reductase activity and mitigated DHT-induced damage to DPCs. In an AGA mouse model, TCFE reversed the AGA phenotype with efficacy comparable to finasteride. However, unlike finasteride, TCFE specifically enhanced the expression of AKR1C1 and AKR1C3, indicating a distinct mechanism. Finally, in ex vivo organ cultures, TCFE suppressed hair follicle cell apoptosis, promoted proliferation, and thereby stimulated hair growth. Conclusions: These findings suggest that TCFE is a promising natural treatment for AGA, likely acting through multiple mechanisms, including Wnt pathway activation, 5α-reductase inhibition, and enhanced DHT degradation. Full article
Show Figures

Graphical abstract

18 pages, 992 KB  
Article
Potential Antiviral Compounds from Hippeastrum puniceum Bulb Against Yellow Fever Virus: Bioassay-Guided Fractionation and In Silico Pharmacokinetic Analysis
by Eliza Flores-Souza, Alisson Samuel Portes Caldeira, Carolina Colombelli Pacca-Mazaro, Tamiris Vanessa Miguel de Souza, Thaís Magalhães Acácio, Emerson de Castro Barbosa, Naiara Clemente Tavares, Carlos Eduardo Calzavara-Silva, Carlos Leomar Zani, Douglas Eduardo Valente Pires, Tânia Maria de Almeida Alves and Jaquelline Germano de Oliveira
Molecules 2025, 30(21), 4149; https://doi.org/10.3390/molecules30214149 - 22 Oct 2025
Abstract
Despite the availability of effective vaccines, yellow fever outbreaks persist, highlighting the need for antiviral drugs. Background/Objectives: This study investigated Hippeastrum puniceum (Amaryllidaceae) as a potential source of antiviral compounds against wild-type yellow fever virus (wt-YFV). Methods/Results: The crude bulb extract of H. [...] Read more.
Despite the availability of effective vaccines, yellow fever outbreaks persist, highlighting the need for antiviral drugs. Background/Objectives: This study investigated Hippeastrum puniceum (Amaryllidaceae) as a potential source of antiviral compounds against wild-type yellow fever virus (wt-YFV). Methods/Results: The crude bulb extract of H. puniceum exhibited 58% protection against wt-YFV. Bioassay-guided fractionation of the extract by UHPLC-HRMS led to the annotation of six alkaloids (bulbisine, cathinone, trigonelline, tetrahydroharman-3-carboxylic acid, and 2,7-dimethoxyhomolycorine or 3-O-acetylnarcissidine) in active fractions, along with the amino acids arginine, asparagine, tryptophan, and glutamic acid. In silico ADMET analyses predicted favorable pharmacokinetic and toxicological profiles, supporting their potential as drug candidates. Six of the annotated compounds were evaluated in vitro for cytotoxicity and antiviral activity against wt-YFV. However, none showed significant antiviral activity when tested individually, suggesting that the observed antiviral effect may result from synergistic interactions between two or more compounds within active fractions. Conclusions: Our results underscore the importance of further investigations in vitro, particularly assays exploring the synergy among the annotated compounds against YFV. The integration of bioassay-guided fractionation of active plant extracts with computational analyses emerges as a promising strategy for the discovery of natural products with therapeutic potential against yellow fever, a reemerging disease. Full article
Show Figures

Figure 1

22 pages, 7790 KB  
Article
The Tumor-Suppressive Role of SAT2 in Pancreatic Cancer: Involvement in PI3K/Akt-MAPK Pathways and Immune Modulation
by Ben Zhao, Lu Wang, Rui Fang, Xiaoxiao Luo and Lu Zhang
Curr. Issues Mol. Biol. 2025, 47(10), 872; https://doi.org/10.3390/cimb47100872 - 21 Oct 2025
Viewed by 206
Abstract
Spermidine/spermine N1-Acetyltransferase 2 (SAT2), belonging to the spermidine/spermine N1-Acetyltransferase family, has been increasingly recognized for its potential effects on tumor occurrence and development. Nonetheless, little is known about its biological function and clinical value for pancreatic cancer (PC). The present work focused on [...] Read more.
Spermidine/spermine N1-Acetyltransferase 2 (SAT2), belonging to the spermidine/spermine N1-Acetyltransferase family, has been increasingly recognized for its potential effects on tumor occurrence and development. Nonetheless, little is known about its biological function and clinical value for pancreatic cancer (PC). The present work focused on investigating its expression pattern, prognostic value, molecular mechanisms, and immune relevance in PC. SAT2 expression within PC samples and its prognostic significance were analyzed by retrieving the relevant data from the TCGA, CPTAC, and HPA databases. The biological function of SAT2 was investigated through GO and KEGG enrichment analyses. The association of SAT2 with immune cell infiltration in tumors was assessed by CIBERSORT. Additionally, in vitro experiments were performed to examine how SAT2 expression affected the PC cell proliferation, invasion, and migration abilities. An in vivo xenograft tumor model was employed for investigating how SAT2 expression affected the PC cell-derived tumor growth. The expression of SAT2 within the PC tissue exhibited a significant decrease in comparison with a non-carcinoma sample. Such observation was validated within PC cells. In addition, SAT2 expression showed a close relation to both tumor growth (T stage) and prognosis. SAT2 primarily participates in pathways, including the PI3K/Akt and MAPK pathways. Furthermore, we demonstrated a significant association between SAT2 expression and immune cell infiltration into tumors. The in vitro experiments confirmed that elevated SAT2 expression significantly suppressed PC cell viability, invasion, and migration through modulating the PI3K/Akt and MAPK pathways. The in vivo experimental results suggested the role of SAT2 overexpression in inhibiting xenograft tumor growth. Our investigation confirms the role of SAT2 in PC development through involvement in the PI3K/Akt and MAPK pathways. The correlation between SAT2 expression levels, immune infiltration, and checkpoint regulation provides valuable insights for immunotherapy strategies targeting PC. Full article
(This article belongs to the Section Molecular Medicine)
Show Figures

Figure 1

15 pages, 4053 KB  
Article
SpuA-Mediated Glycogen Metabolism Modulates Acid Stress Adaptation via Formic Acid and Amino Acid Utilization in Streptococcus pneumoniae
by Weichen Gong, Masayuki Ono, Xuefei Cheng, Yujiro Hirose, Keita Nishiyama, Haruki Kitazawa and Shigetada Kawabata
Microorganisms 2025, 13(10), 2409; https://doi.org/10.3390/microorganisms13102409 - 21 Oct 2025
Viewed by 134
Abstract
Glycogen metabolism plays a key role in bacterial adaptation. In Streptococcus pneumoniae, the glycogen-degrading enzyme SpuA is widely conserved, but its physiological significance remains unclear. In this study, we investigated how SpuA affects bacterial growth and response to acid stress. We found [...] Read more.
Glycogen metabolism plays a key role in bacterial adaptation. In Streptococcus pneumoniae, the glycogen-degrading enzyme SpuA is widely conserved, but its physiological significance remains unclear. In this study, we investigated how SpuA affects bacterial growth and response to acid stress. We found that the spuA deletion strain (ΔspuA) produced more acidic metabolites under anaerobic conditions than the wild-type strain. In a mouse infection model, bronchoalveolar lavage fluid (BALF) from ΔspuA-infected mice was more acidic on day 1 post-infection, showing a lower bacterial load than wild-type infection—a finding consistent with the early growth delay observed in vitro—but the mutant later exhibited enhanced persistence at 72 h. ΔspuA strains also showed greater tolerance to formic acid and higher intake of serum amyloid A1 (SAA1), which may further contribute to their survival in acidic environments. Transcriptomic analysis revealed reduced utilization of certain amino acids, particularly cysteine, in ΔspuA strains. However, the addition of 0.05% (v/v) formic acid restored amino acid utilization in ΔspuA strains, and co-supplementation with formic acid and cysteine significantly enhanced ΔspuA growth in vitro. These findings suggest that in the absence of SpuA, S. pneumoniae shifts its metabolism toward formic acid production, which may act both as a metabolic signal and a stressor that influences bacterial gene expression. This shift is accompanied by increased expression of tRNAs and growth rescue, suggesting enhanced amino acid utilization capacity. Although our findings reveal a potential link between formic acid metabolism and amino acid utilization through tRNA regulation, further validation using metabolic flux analyses or targeted metabolomics will be required to confirm this relationship. These observations imply a metabolic adaptation that facilitates bacterial growth under low-oxygen, acidic conditions during infection. Our results also raise the possibility that SpuA plays a role in restraining bacterial overgrowth in the host, thereby promoting a more balanced coexistence between pathogen and host. Full article
Show Figures

Figure 1

24 pages, 8375 KB  
Article
Analysis of the Transcriptome Response to Low Nitrogen in Populus ussuriensis
by He Feng, Yue Chang, Runze Liu, Wenlong Li, Zhiwei Liu, Ming Wei, Zhibin Luo and Chenghao Li
Biology 2025, 14(10), 1448; https://doi.org/10.3390/biology14101448 - 20 Oct 2025
Viewed by 131
Abstract
(1) Background: Nitrogen is a key element that is essential for plant growth, and it is absorbed by roots from the soil. Nitrogen stress severely limits forest tree productivity; therefore, elucidating the molecular mechanisms underlying nitrogen stress tolerance in forest trees is critical [...] Read more.
(1) Background: Nitrogen is a key element that is essential for plant growth, and it is absorbed by roots from the soil. Nitrogen stress severely limits forest tree productivity; therefore, elucidating the molecular mechanisms underlying nitrogen stress tolerance in forest trees is critical for sustainable forestry. (2) Methods: Phenotypic analyses of wild-type (WT) Populus ussuriensis (P. ussuriensis) plantlets grown in vitro were carried out at different time points under both normal and low-nitrogen conditions. Transcriptome analyses of roots were performed at 0, 12, 24, 48, 96, and 336 h under low-nitrogen stress via RNA-seq. A gene regulatory network (GRN) for nitrogen-metabolism-associated DEGs was constructed using a three-gene module framework and a bottom-up Gaussian Graphical Model algorithm. (3) Results: WT P. ussuriensis plantlets grown in vitro exhibited a synergistic response characterized by increased root biomass and suppressed shoot growth. Transcriptome analyses identified 8289 DEGs enriched in nitrogen metabolism, ROS scavenging, root development, and phytohormone signaling. A total of 443 differentially expressed transcription factors (TFs) (mainly MYB, AP2/ERF, and bHLH) were detected. A nitrogen-metabolism-associated GRN comprising 60 nodes was established. (4) Conclusions: Transcriptomic data and nitrogen metabolism pathway predictions from this study establish a systematic foundation for investigating molecular adaptation mechanisms in P. ussuriensis roots under nitrogen stress. Full article
(This article belongs to the Special Issue Adaptation Mechanisms of Forest Trees to Abiotic Stress)
Show Figures

Figure 1

25 pages, 5974 KB  
Article
Identification of Regulatory RNA-Binding Genes in Spermatogonial Stem Cell Reprogramming to ES-like Cells Using Machine Learning–Integrated Transcriptomic and Network Analysis
by Ali Shakeri Abroudi, Hossein Azizi, Hewa Khalid Abdullah, Marwa Fadhil Alsaffar and Thomas Skutella
Cells 2025, 14(20), 1632; https://doi.org/10.3390/cells14201632 - 20 Oct 2025
Viewed by 222
Abstract
Spermatogonial stem cells (SSCs) are unipotent germline cells with emerging pluripotent potential under specific in vitro conditions. Understanding their capacity for reprogramming and the molecular mechanisms involved offers valuable insights into regenerative medicine and fertility preservation. SSCs were isolated from Oct4-GFP C57BL/6 transgenic [...] Read more.
Spermatogonial stem cells (SSCs) are unipotent germline cells with emerging pluripotent potential under specific in vitro conditions. Understanding their capacity for reprogramming and the molecular mechanisms involved offers valuable insights into regenerative medicine and fertility preservation. SSCs were isolated from Oct4-GFP C57BL/6 transgenic mice using enzymatic digestion and cultured in defined media. Under these conditions, ES-like colonies emerged expressing pluripotency markers. These cells were characterized by immunocytochemistry, teratoma assays, and transcriptomic analyses using bulk and single-cell RNA sequencing datasets. Gene expression profiles were compared with ESCs and SSCs using datasets from GEO (GSE43850, GSE38776, GSE149512). Protein–protein interaction (PPI) networks and co-expression modules were explored through STRING, Cytoscape, and WGCNA. ES-like cells derived from SSCs exhibited strong expression of OCT4, DAZL, and VASA. Transcriptomic analysis revealed key differentially expressed genes and shared regulatory networks with ESCs. WGCNA identified key co-expression modules and hub regulatory RNA binding genes (Ctdsp1, Rest, and Stra8) potentially responsible for the reprogramming process. Teratoma assays confirmed pluripotency, and single-cell RNA-seq validated expression of critical markers in cultured SSCs. This study demonstrates that SSCs can acquire pluripotency features and be reprogrammed into ES-like cells. The integration of transcriptomic and network-based analyses reveals novel insights into the molecular drivers of SSC reprogramming, highlighting their potential utility in stem cell-based therapies and male fertility preservation. Full article
Show Figures

Figure 1

21 pages, 3657 KB  
Article
Reinfection Dynamics of Disease-Free Cassava Plants in Three Agroecological Regions of Côte d’Ivoire
by John Steven S. Seka, Justin S. Pita, Modeste K. Kouassi, William J. -L. Amoakon, Bekanvié S. M. Kouakou, Mariam Combala, Daniel H. Otron, Brice Sidoine Essis, Konan Evrard B. Dibi, Angela O. Eni, Nazaire K. Kouassi and Fidèle Tiendrébéogo
Viruses 2025, 17(10), 1393; https://doi.org/10.3390/v17101393 - 20 Oct 2025
Viewed by 339
Abstract
Cassava mosaic disease (CMD) is caused by begomoviruses and can result in yield losses of up to 90% in susceptible varieties. Using disease-free planting material from in vitro cultures is one of the most effective ways of controlling this disease. A CMD epidemiological [...] Read more.
Cassava mosaic disease (CMD) is caused by begomoviruses and can result in yield losses of up to 90% in susceptible varieties. Using disease-free planting material from in vitro cultures is one of the most effective ways of controlling this disease. A CMD epidemiological assessment was conducted in fields established with disease-free plantlets in Bouaké, Dabou, and Man, selected for their contrasting agroecological and CMD prevalence conditions. Virus and whitefly species characterisation was performed using PCR and sequencing. CMD incidence and severity were lowest at the Man site and highest at the Dabou site. Although whitefly abundance was relatively low at the Man and Bouaké sites compared to the Dabou site, they were a significant factor in the spread of the disease. While all resistant varieties remained asymptomatic, susceptible and tolerant varieties became infected, and some tolerant varieties were able to recover from the disease. Molecular analyses revealed the presence of two viral species: Begomovirus manihotis (ACMV) and Begomovirus manihotiscameroonense (EACMCMV). No viral infection was detected 4 weeks after planting (WAP). Cases of single infection and double infection were observed at 12 and 20 WAP. Also, no double infections were found at the Man site, in contrast to the Bouaké site (12 WAP: 2.36%) and Dabou site (12 WAP: 2.59%; 20 WAP: 5.76%). EACMCMV was found in a single infection in Bouaké (12 WAP: 1.39%) and Man (20 WAP: 0.66%). The whitefly species Bemisia tabaci and Bemisia afer were most commonly found feeding on all cassava varieties. A high diversity of whitefly species was observed in Bouaké and Dabou compared to Man. Furthermore, the Bemisia tabaci species identified in this study was found to be able to transmit ACMV and EACMCMV viruses. These highlights would contribute to improving CMD management and control strategies. Full article
(This article belongs to the Special Issue Economically Important Viruses in African Crops)
Show Figures

Figure 1

Back to TopTop