Optimizing Somatic Embryogenesis and Biomass Proliferation in Narcissus L. ‘Carlton’ Callus Lines Using Solid and Liquid Media
Abstract
1. Introduction
2. Materials and Methods
2.1. Plant Material
2.2. Culture Systems
2.3. Statistical Analysis
3. Results
3.1. Effect of Callus Line on Biomass Growth
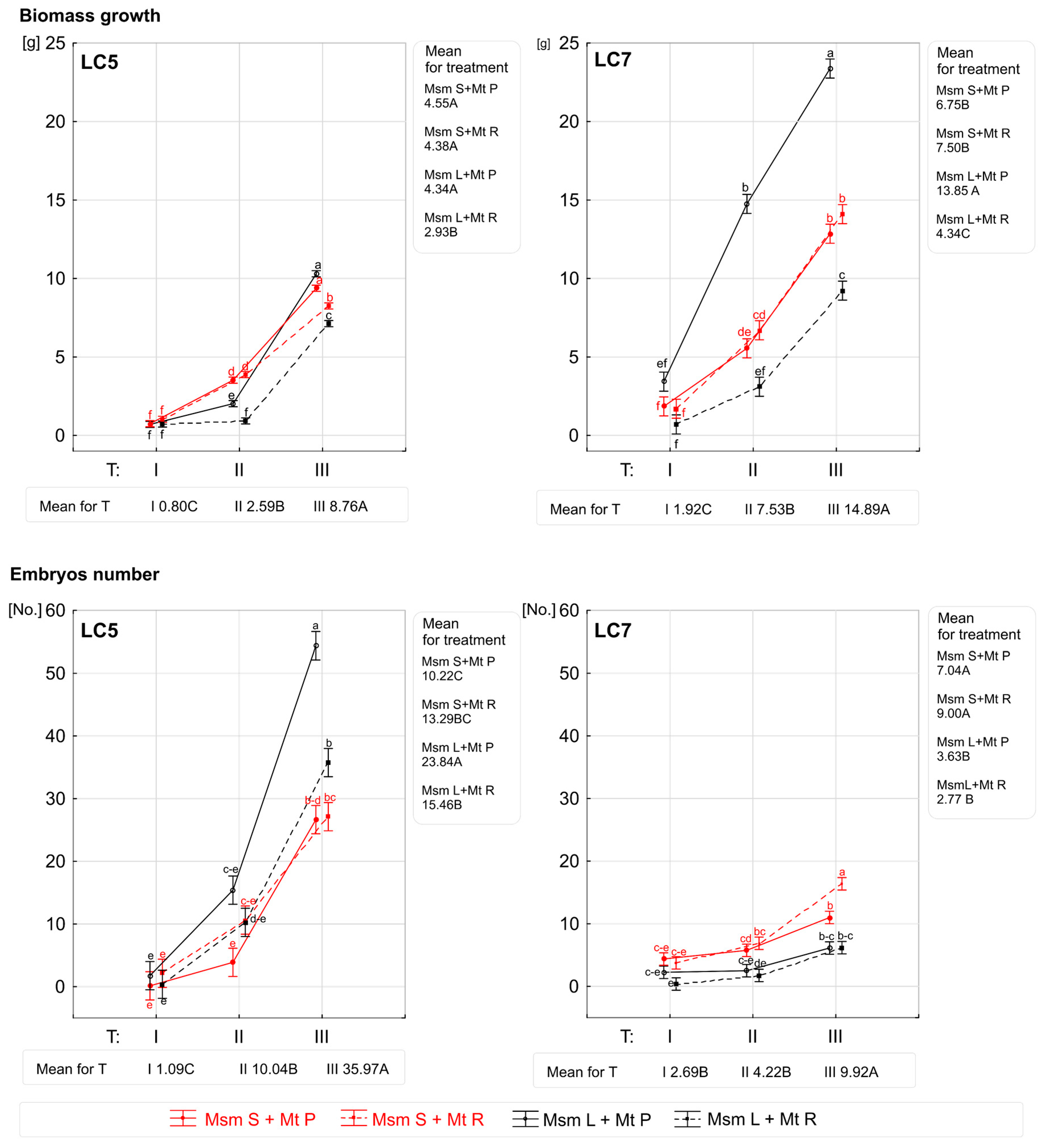
3.2. Effect of Proliferation in Liquid Medium on Biomass Growth and Somatic Embryo and Root Formation
3.3. Effect of Medium Type on LC5 and LC7 Callus Line Parameters
4. Discussion
5. Conclusions
Author Contributions
Funding
Data Availability Statement
Conflicts of Interest
References
- De Hertogh, A.A.; Le Nard, M. (Eds.) The Physiology of Flower Bulbs; Elsevier: Amsterdam, The Netherlands, 1993. [Google Scholar]
- Slezák, K.A.; Mazur, J.; Jezdinský, A.; Kapczyńska, A. Bulb size interacts with lifting term in determining the quality of Narcissus poeticus L. propagation material. Agronomy 2020, 10, 975. [Google Scholar] [CrossRef]
- Berkov, S.; Georgieva, L.; Kondakova, V.; Atanassov, A.; Viladomat, F.; Bastida, J.; Codina, C. Plant Sources of Galanthamine: Phytochemical and Biotechnological Aspects. Biotechnol. Biotechnol. Equip. 2009, 23, 1170–1176. [Google Scholar] [CrossRef]
- Lubbe, A.; Gude, H.; Verpoorte, R.; Choi, Y.H. Seasonal accumulation of major alkaloids in organs of pharmaceutical crop Narcissus ‘Carlton’. Phytochemistry 2013, 88, 43–53. [Google Scholar] [CrossRef] [PubMed]
- Křoustková, J.; Ritomská, A.; Al Mamun, A.; Hulcová, D.; Opletal, L.; Kuneš, J.; Bucar, F. Structural analysis of unusual alkaloids isolated from Narcissus pseudonarcissus cv. ‘Carlton’. Phytochemistry 2022, 204, 113439. [Google Scholar] [CrossRef]
- Nair, J.J.; van Staden, J. Antiviral Lectins of the Plant Family Amaryllidaceae. Rev. Bras. Farmacogn. 2024, 34, 1–22. [Google Scholar] [CrossRef]
- Santos, G.S.; Sinoti, S.B.P.; de Almeida, F.T.C.; Silveira, D.; Simeoni, L.A.; Gomes-Copeland, K.K.P. Use of galantamine in the treatment of Alzheimer’s disease and strategies to optimize its biosynthesis using the in vitro culture technique. Plant Cell Tissue Organ Cult. 2020, 143, 13–29. [Google Scholar] [CrossRef]
- Sena, S.; Kaur, H.; Kumar, V. Lycorine as a lead molecule in the treatment of cancer and strategies for its biosynthesis using the in vitro culture technique. Phytochem. Rev. 2024, 23, 1861–1888. [Google Scholar] [CrossRef]
- Ferdausi, A.; Chang, X.; Hall, A.; Jones, M. Galanthamine production in tissue culture and metabolomic study on Amaryllidaceae alkaloids in Narcissus pseudonarcissus cv. ‘Carlton’. Ind. Crop. Prod. 2020, 144, 112058. [Google Scholar] [CrossRef]
- Ferdausi, A.; Chang, X.; Jones, M. Enhancement of galanthamine production through elicitation and NMR-based metabolite profiling in Narcissus pseudonarcissus cv. Carlton in vitro callus cultures. Vitr. Cell. Dev. Biol.-Plant 2021, 57, 435–446. [Google Scholar] [CrossRef]
- Sellés, M.; Bergoñón, S.; Viladomat, F.; Bastida, J.; Codina, C. Effect of sucrose on growth and galanthamine production in shoot-clump cultures of Narcissus confusus in liquid-shake medium. Plant Cell Tissue Organ Cult. 1997, 49, 129–136. [Google Scholar] [CrossRef]
- Sellés, M.; Viladomat, F.; Bastida, J.; Codina, C. Callus induction, somatic embryogenesis and organogenesis in Narcissus confusus: Correlation between the state of differentiation and the content of galanthamine and related alkaloids. Plant Cell Rep. 1999, 18, 646–651. [Google Scholar] [CrossRef]
- Sage, D.O.; Lynn, J.; Hammatt, N. Somatic embryogenesis in Narcissus pseudonarcissus cvs. Golden Harvest and St. Keverne. Plant Sci. 2000, 150, 209–216. [Google Scholar] [CrossRef]
- Chen, L.; Zhu, X.; Gu, L.; Wu, J. Efficient callus induction and plant regeneration from anther of Chinese narcissus (Narcissus tazetta L. var. chinensis Roem). Plant Cell Rep. 2005, 24, 401–407. [Google Scholar] [CrossRef]
- Malik, M.; Bach, A. Morphogenetic pathways from Narcissus L. ‘Carlton’ in vitro cultures of pc stage flower bud explants according to cytokinin and auxin ratios. Acta Sci. Pol. Hortorum Cultus 2016, 15, 101–111. [Google Scholar]
- Malik, M. Comparison of different liquid/solid culture systems in the production of somatic embryos from Narcissus L. ovary explants. Plant Cell Tissue Organ Cult. 2008, 94, 337–345. [Google Scholar] [CrossRef]
- Malik, M.; Bach, A. High-yielding repetitive somatic embryogenesis in cultures of Narcissus L. ‘Carlton. ’ Acta Sci. Pol. Hortorum Cultus 2017, 16, 107–112. [Google Scholar]
- Malik, M.; Tomiak, E.; Pawłowska, B. Effect of Liquid Culture Systems (Temporary Immersion Bioreactor and Rotary Shaker) Used During Multiplication and Differentiation on Efficiency of Repetitive Somatic Embryogenesis of Narcissus L. ‘Carlton’. Agronomy 2025, 15, 85. [Google Scholar] [CrossRef]
- Xu, L.; Huang, S.; Han, Y.; Yuan, H. Plant Regeneration of Iris germanica L. from Shoot Apexes via an Improved Somatic Embryogenesis Protocol. HortScience 2015, 50, 1045–1048. [Google Scholar] [CrossRef]
- Maximova, S.N.; Alemanno, L.; Young, A.; Ferriere, N.; Traore, A.; Guiltinan, M.J. Efficiency, genotypic variability, and cellular origin of primary and secondary somatic embryogenesis of Theobroma cacao L. Vitr. Cell. Dev. Biol.-Plant 2002, 38, 252–259. [Google Scholar] [CrossRef]
- Ramírez, A.M.H.; de la Hoz, V.T.; Osorio, T.M.O.; Garcés, L.A.; Trujillo, A.I.U. Evaluation of the potential of regeneration of different Colombian and commercial genotypes of cocoa (Theobroma cacao L.) via somatic embryogenesis. Sci. Hortic. 2018, 229, 148–156. [Google Scholar] [CrossRef]
- Nair, R.R.; Dutta Gupta, S. High-frequency plant regeneration through cyclic secondary somatic embryogenesis in black pepper (Piper nigrum L.). Plant Cell Rep. 2006, 24, 699–707. [Google Scholar] [CrossRef]
- Nhut, D.T.; Hanh, N.T.M.; Tuan, P.Q.; Nguyet, L.T.M.; Tram, N.T.H.; Chinh, N.C.; Nguyen, N.H.; Vinh, D.N. Liquid culture as a positive condition to induce and enhance quality and quantity of somatic embryogenesis of Lilium longiflorum. Sci. Hortic. 2006, 110, 93–97. [Google Scholar] [CrossRef]
- Boufis, N.; Khelifi-Slaoui, M.; Djillali, Z.; Zaoui, D.; Morsli, A.; Bernards, M.A.; Khelifi, A.M.L. Effects of growth regulators and types of culture media on somatic embryogenesis in date palm (Phoenix dactylifera L. cv. Degla Beida), Sci. Hortic. 2014, 172, 135–142. [Google Scholar] [CrossRef]
- Kong, E.Y.Y.; Biddle, J.; Kalaipandian, S.; Bazrafshan, A.; Mu, Z.; Adkins, S.W. Improvement of somatic embryo maturation and shoot formation in somatic embryogenesis of Asian coconut varieties. Sci. Hortic. 2025, 343, 114069. [Google Scholar] [CrossRef]
- Efferth, T. Biotechnology applications of plant callus cultures. Engineering 2019, 5, 50–59. [Google Scholar] [CrossRef]
- Hesami, M.; Jones, A.M.P. Modeling and optimizing callus growth and development in Cannabis sativa using random forest and support vector machine in combination with a genetic algorithm. Appl. Microbial. Biotechnol. 2021, 105, 5201–5212. [Google Scholar] [CrossRef] [PubMed]
- Hesami, M.; Jones, A.M.P. Application of artificial intelligence models and optimization algorithms in plant cell and tissue culture. Appl. Microbiol. Biotechnol. 2020, 104, 9449–9485. [Google Scholar] [CrossRef] [PubMed]
- Nowak, K.; Gaj, M.D. Transcription Factors in the Regulation of Somatic Embryogenesis. In Somatic Embryogenesis: Fundamental Aspects and Applications; Loyola-Vargas, V., Ochoa-Alejo, N., Eds.; Springer International Publishing: Cham, Switzerland, 2016; pp. 53–79. [Google Scholar]
- Jain, M.S.; Al Khayri, J.M.; Johnson, D.V. Date Palm Biotechnology, 1st ed.; Springer: Amsterdam, The Netherlands, 2011. [Google Scholar] [CrossRef]
- Hoenemann, C.; Krueger, K.; Hohe, A. Expression analysis of putative genes of pectin modifying enzymes in different callus lines of Cyclamen persicum and their correlation with the callus texture. Sci. Hortic. 2012, 140, 52–59. [Google Scholar] [CrossRef]
- Hvoslef-Eide, A.K.; Preil, W. (Eds.) Liquid Culture Systems for In Vitro Plant Propagation, 1st ed.; Springer: Dordrecht, The Netherlands, 2005. [Google Scholar] [CrossRef]
- Steinmacher, D.A.; Guerra, M.P.; Saare-Surminski, K.; Lieberei, R. A temporary immersion system improves in vitro regeneration of peach palm through secondary somatic embryogenesis. Ann. Bot. 2011, 108, 1463–1475. [Google Scholar] [CrossRef]
- Arano-Avalos, S.; Gómez-Merino, F.C.; Mancilla-Álvarez, E.; Sánchez-Páez, R.; Bello-Bello, J.J. An efficient protocol for commercial micropropagation of malanga (Colocasia esculenta L. Schott) using temporary immersion. Sci. Hortic. 2020, 261, 108998. [Google Scholar] [CrossRef]
- Murashige, T.; Skoog, F. A revised medium for rapid growth and bioassays with tobacco tissue cultures. Physiol. Plant. 1962, 15, 473–497. [Google Scholar] [CrossRef]
- Górniak, J. Factor analysis and principal component analysis. ASK Res. Methods 1998, 7, 83–102. (In Polish) [Google Scholar]
- Jolliffe, I.T. Principal Component Analysis, 1st ed.; Springer: New York, NY, USA, 2002; ISBN 978-0-387-22440-4. [Google Scholar] [CrossRef]
- Hair, J.F.; Black, W.C.; Babin, B.J.; Anderson, R.E. Multivariate Data Analysis, 8th ed.; Cengage: Andover, UK, 2019; ISBN 9781473756557. [Google Scholar]
- Khamis, H. Measures of Association: How to Choose? J. Diagn. Med. Sonogr. 2008, 24, 155–162. [Google Scholar] [CrossRef]
- Kornbrot, D. Point Biserial Correlation. In Wiley StatsRef: Statistics Reference Online; Balakrishnan, N., Colton, T., Everitt, B., Piegorsch, W., Ruggeri, F., Teugels, J.L., Eds.; Wiley: Hoboken, NJ, USA, 2014. [Google Scholar] [CrossRef]
- LeBlanc, V.; Cox, M.A.A. Interpretation of the point-biserial correlation coefficient in the context of a school examination. Quant. Methods Psychol. 2017, 13, 46–56. [Google Scholar] [CrossRef][Green Version]
- Bennici, A.; Grifoni, T.; Schiff, S.; Bovelli, R. Studies on callus growth and morphogenesis in several species and lines of t Amaranthus. Plant Cell Tissue Organ Cult. 1997, 49, 29–33. [Google Scholar] [CrossRef]
- Fitch, M.M.M.; Moore, P.H. Comparison of 2,4-D and picloram for selection of long-term totipotent green callus cultures of sugarcane. Plant Cell Tissue Organ Cult. 1990, 20, 157–163. [Google Scholar] [CrossRef]
- Šavikin-Fodulović, K.; Grubišić, D.; Ćulafić, L.; Menković, N.; Ristić, M. Diosgenin and phytosterols content in five callus lines of Dioscorea balcanica. Plant Sci. 1998, 135, 63–67. [Google Scholar] [CrossRef]
- Li, X.; Krasnyanski, S.F.; Korban, S.S. Somatic embryogenesis, secondary somatic embryogenesis, and shoot organogenesis in Rosa. J. Plant Physiol. 2002, 159, 313–319. [Google Scholar] [CrossRef]
- Chen, J.T.; Chang, W.C. Efficient plant regeneration through somatic embryogenesis from callus cultures of Oncidium (Orchidaceae). Plant Sci. 2000, 160, 87–93. [Google Scholar] [CrossRef]
- Peng, C.; Gao, F.; Wang, H.; Tretyakova, I.N.; Nosov, A.M.; Shen, H.; Yang, L. Morphological and Physiological Indicators for Screening Cell Lines with High Potential for Somatic Embryo Maturation at an Early Stage of Somatic Embryogenesis in Pinus koraiensis. Plants 2022, 11, 1867. [Google Scholar] [CrossRef]
- Quiroz-Figueroa, F.R.; Rojas-Herrera, R.; Galaz-Avalos, R.M.; Loyola-Vargas, V.M. Embryo production through somatic embryogenesis can be used to study cell differentiation in plants. Plant Cell Tissue Organ Cult. 2006, 86, 285–301. [Google Scholar] [CrossRef]
- Downey, C.D.; Zoń, J.; Jones, A.M.P. Improving callus regeneration of Miscanthus × giganteus J.M.Greef, Deuter ex Hodk., Renvoize ‘M161’ callus by inhibition of the phenylpropanoid biosynthetic pathway. Vitr. Cell. Dev. Biol. Plant 2019, 55, 109–120. [Google Scholar] [CrossRef]
- Raemakers, C.J.J.M.; Jacobsen, E.; Visser, R.G.F. Secondary somatic embryogenesis and applications in plant breeding. Euphytica 1995, 81, 93–107. [Google Scholar] [CrossRef]
- Kim, J.Y.; Adhikari, P.B.; Ahn, C.H.; Kim, D.H.; Kim, Y.C.; Han, J.Y.; Kondeti, S.; Choi, Y.E. High frequency somatic embryogenesis and plant regeneration of interspecific ginseng hybrid between Panax ginseng and Panax quinquefolius. J. Ginseng Res. 2019, 43, 38–48. [Google Scholar] [CrossRef] [PubMed]
- Vasic, D.; Alibert, G.; Skoric, D. Protocols for efficient repetitive and secondary somatic embryogenesis in Helianthus maximiliani (Schrader). Plant Cell Rep. 2001, 20, 121–125. [Google Scholar] [CrossRef]
- Pérez-Núñez, M.T.; Chan, J.L.; Sáenz, L.; González, T.; Verdeil, J.L.; Oropeza, C. Improved somatic embryogenesis from Cocos nucifera (L.) plumule explants. Vitr. Cell. Dev. Biol. Plant 2006, 42, 37–43. [Google Scholar] [CrossRef]
- Jiménez, V.M.; Guevara, E.; Herrera, J.; Bangerth, F. Evolution of endogenous hormone concentration in embryogenic cultures of carrot during early expression of somatic embryogenesis. Plant Cell Rep. 2005, 23, 567–572. [Google Scholar] [CrossRef] [PubMed]
- Wójcik, A.M.; Wójcikowska, B.; Gaj, M.D. Current Perspectives on the Auxin-Mediated Genetic Network that Controls the Induction of Somatic Embryogenesis in Plants. Int. J. Mol. Sci. 2020, 21, 1333. [Google Scholar] [CrossRef] [PubMed]
- Fehér, A.; Pasternak, T.P.; Dudits, D. Transition of somatic plant cells to an embryogenic state. Plant Cell Tissue Organ Cult. 2003, 74, 201–228. [Google Scholar] [CrossRef]
- Avilez-Montalvo, J.R.; Quintana-Escobar, A.O.; Méndez-Hernández, H.A.; Aguilar-Hernández, V.; Brito-Argáez, L.; Galaz-Ávalos, R.M.; Uc-Chuc, M.A.; Loyola-Vargas, V.M. Auxin-Cytokinin Cross Talk in Somatic Embryogenesis of Coffea canephora. Plants 2022, 11, 2013. [Google Scholar] [CrossRef]
- Kumar, S.; El-Hawaz, R.; Li, Z.; Lawson, J.; Parris, S.; Kangben, F.; Carneal, L.; Hopkins, J.; Naylor-Adelberg, J.; Adelberg, J.; et al. Optimized Auxin and Cytokinin Interactions Enable Direct Somatic Embryogenesis in the Peach Rootstock ‘Guardian®’ from Immature Cotyledons. Int. J. Mol. Sci. 2025, 26, 8698. [Google Scholar] [CrossRef] [PubMed]
- Hazubska-Przybył, T.; Ratajczak, E.; Obarska, A.; Pers-Kamczyc, E. Different Roles of Auxins in Somatic Embryogenesis Efficiency in Two Picea Species. Int. J. Mol. Sci. 2020, 21, 3394. [Google Scholar] [CrossRef] [PubMed]
- de Morais Oliveira, J.P.; Silva, A.J.d.; Catrinck, M.N.; Catrinck, M.N.; Clarindo, W.R. Embryonic abnormalities and genotoxicity induced by 2,4-dichlorophenoxyacetic acid during indirect somatic embryogenesis in Coffea. Sci. Rep. 2023, 13, 9689. [Google Scholar] [CrossRef]
- Tomasiak, A.; Sala-Cholewa, K.; Berg, L.S.; Braszewska, A.; Betekhtin, A. Global epigenetic analysis revealed dynamic fluctuations in levels of DNA methylation and histone modifications in the calli of Fagopyrum with different capacity for morphogenesis. Plant Cell Tissue Organ Cult. 2023, 155, 743–757. [Google Scholar] [CrossRef]
- Mujib, A.; Ali, M.; Isah, T.; Dipti. Somatic embryo mediated mass production of Catharanthus roseus in culture vessel (bioreactor)—A comparative study. Saudi J. Biol. Sci. 2014, 21, 442–449. [Google Scholar] [CrossRef]
- Ismail, H.; Kayani, S.S.; Kayani, S.I.; Mirza, B.; Waheed, M.T. Optimization of cell suspension culture of transformed and untransformed lettuce for the enhanced production of secondary metabolites and their pharmaceutical evaluation. 3 Biotech 2019, 9, 339. [Google Scholar] [CrossRef] [PubMed]
- Priyadharshini, S.; Kannan, N.; Manokari, M.; Shekhawat, M.S. In vitro regeneration using twin scales for restoration of critically endangered aquatic plant Crinum malabaricum Lekhak & Yadav: A promising source of galanthamine. Plant Cell Tissue Organ Cult. 2020, 141, 593–604. [Google Scholar] [CrossRef]
- Junaid, A.; Mujib, A.; Bhat, M.A.; Sharma, M.P.; Samaj, J. Somatic embryogenesis and plant regeneration in Catharanthus roseus. Biol. Plant 2007, 51, 641–646. [Google Scholar] [CrossRef]
- Guillou, C.; Fillodeau, A.; Brulard, E.; Breton, D.; De Faria Maraschin, S.; Verdier, D.; Simon, M.; Ducos, J.-P. Indirect somatic embryogenesis of Theobroma cacao L. in liquid medium and improvement of embryo-to-plantlet conversion rate. Vitr. Cell. Dev. Biol.-Plant 2018, 54, 377–391. [Google Scholar] [CrossRef]






| Callus Line | Origin of Primary Explant | Growth Regulators in Initiation Medium (µM) | Callus Age (Months) | Callus Morphology/SE Type * |
|---|---|---|---|---|
| LC1 | Flower stem isolated from bulbs chilled for 6 weeks | 10 Picloram + 1 BA | 3 | Yellow, nodular/PSE |
| LC3 | Flower stem isolated from bulbs chilled for 6 weeks | 25 Picloram + 5 BA | 3 | Yellow, nodular/PSE |
| LC4 | Ovary isolated from bulbs chilled for 6 weeks | 25 Picloram + 5 BA | 3 | Yellow, nodular/PSE |
| LC5 | Ovary isolated from bulbs chilled for 12 weeks | 25 2,4-D + 5 BA | 12 | Cream-colored, nodular/SSE |
| LC6 | Ovary isolated from bulbs chilled for 3 weeks | 10 Picloram + 1 BA | 12 | Cream-colored, nodular/SSE |
| LC7 | Ovary isolated from bulbs chilled for 3 weeks | 25 Picloram + 5 BA | 12 | Cream-colored, nodular/SSE |
| Effects | Biomass Growth | Number of Embryos | Number of Roots |
|---|---|---|---|
| Effect of callus line (LC) | |||
| LC1 | 4.04 ± 2.05 d A | 0.00 ± 0.00 c | 4.63 ± 2.19 ab |
| LC3 | 5.48 ± 0.60 c | 0.13 ± 0.34 c | 5.34 ± 1.55 ab |
| LC4 | 8.94 ± 1.57 b | 2.03 ± 2.64 c | 2.56 ± 2.14 ab |
| LC5 | 8.76 ± 1.34 b | 35.98 ± 15.43 a | 1.94 ± 0.59 b |
| LC6 | 4.56 ± 1.40 cd | 0.53 ± 1.02 c | 6.78 ± 1.91 a |
| LC7 | 14.89 ± 5.54 a | 9.92 ± 4.66 b | 7.19 ± 3.38 a |
| Effect of physical state of medium during proliferation (Msm) | |||
| Solid | 7.12 ± 3.89 b | 7.61 ± 10.09 a | 3.41 ± 1.00 b |
| Liquid | 8.44 ± 5.03 a | 8.68 ± 18.02 a | 6.07 ± 1.40 a |
| Effect of medium type (Mt) | |||
| Proliferation | 8.72 ± 5.34 a | 8.47 ± 16.9 a | 0.19 ± 0.11 b |
| Regeneration | 6.84 ± 3.31 b | 7.82 ± 11.9 a | 9.29 ± 1.47 a |
| Main effects B | |||
| LC | *** | *** | *** |
| Msm | *** | ns | *** |
| Mt | *** | ns | *** |
| LC × Msm | *** | *** | *** |
| LC × Mt | *** | *** | *** |
| Msm × Mt | *** | ** | *** |
| LC × Msm × Mt | *** | ** | *** |
| Variable | Principal Component | |
|---|---|---|
| PC1 | PC2 | |
| Biomass growth | 0.573802 | −0.554174 |
| Embryo No. | 0.384200 | −0.520377 |
| Root No. | −0.789683 | −0.376311 |
| Msm | 0.024285 | 0.678211 |
| Mt | −0.785065 | −0.260205 |
| Eigenvalue | 1.72 | 1.25 |
| Percentage of Variance | 34.35 | 24.94 |
| Cumulative % of Variance | 34.35 | 59.29 |
Disclaimer/Publisher’s Note: The statements, opinions and data contained in all publications are solely those of the individual author(s) and contributor(s) and not of MDPI and/or the editor(s). MDPI and/or the editor(s) disclaim responsibility for any injury to people or property resulting from any ideas, methods, instructions or products referred to in the content. |
© 2025 by the authors. Licensee MDPI, Basel, Switzerland. This article is an open access article distributed under the terms and conditions of the Creative Commons Attribution (CC BY) license (https://creativecommons.org/licenses/by/4.0/).
Share and Cite
Malik, M.; Mazur, J.; Kapczyńska, A. Optimizing Somatic Embryogenesis and Biomass Proliferation in Narcissus L. ‘Carlton’ Callus Lines Using Solid and Liquid Media. Agronomy 2025, 15, 2460. https://doi.org/10.3390/agronomy15112460
Malik M, Mazur J, Kapczyńska A. Optimizing Somatic Embryogenesis and Biomass Proliferation in Narcissus L. ‘Carlton’ Callus Lines Using Solid and Liquid Media. Agronomy. 2025; 15(11):2460. https://doi.org/10.3390/agronomy15112460
Chicago/Turabian StyleMalik, Małgorzata, Justyna Mazur, and Anna Kapczyńska. 2025. "Optimizing Somatic Embryogenesis and Biomass Proliferation in Narcissus L. ‘Carlton’ Callus Lines Using Solid and Liquid Media" Agronomy 15, no. 11: 2460. https://doi.org/10.3390/agronomy15112460
APA StyleMalik, M., Mazur, J., & Kapczyńska, A. (2025). Optimizing Somatic Embryogenesis and Biomass Proliferation in Narcissus L. ‘Carlton’ Callus Lines Using Solid and Liquid Media. Agronomy, 15(11), 2460. https://doi.org/10.3390/agronomy15112460

