Zinc-Modified Mordenite Zeolite as a Molecular Carrier for Donepezil: A Framework for Drug Delivery Applications
Abstract
1. Introduction
2. Results and Discussion
2.1. Theoretical Insights into Mordenite Structure and DPZ Adsorption Potential
2.2. Experimental Characterization of Zinc-Modified Mordenite as a Drug Carrier
2.3. Functional Evaluation of DPZ Adsorption on Zinc-Modified Mordenite: Loading, Release, Kinetics, and Mechanistic Insights
2.3.1. Drug Loading of Donepezil onto Zinc-Modified Mordenite Formulations
2.3.2. Controlled Release Characteristics of Donepezil in Simulated Gastrointestinal Conditions
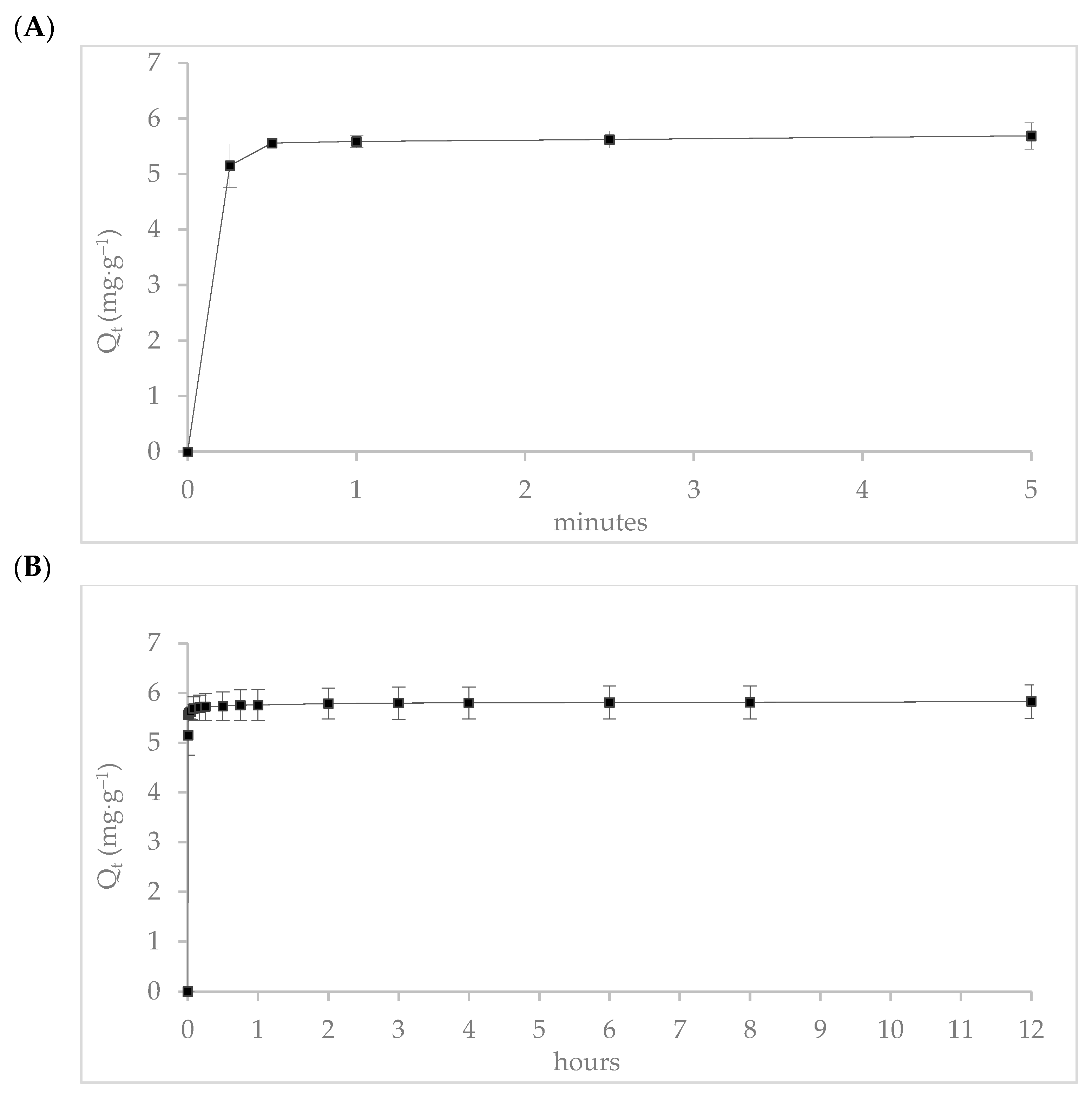
2.3.3. Evaluation of Kinetic Models for Donepezil Adsorption on Zinc-Modified Mordenite
2.3.4. Mechanistic Interpretation of Donepezil Adsorption on Zinc-Modified Mordenite
Physical Interactions of Donepezil
Chemical Coordination of Donepezil
2.4. Implications of Zinc-Modified Mordenite as Drug Delivery System: Advantages and Disadvantages
3. Materials and Methods
3.1. Materials
3.2. Pretreatment and Modification of Zeolite
3.3. High-Performance Liquid Chromatography (HPLC)
3.4. Donepezil Incorporation into Zeolite
3.4.1. Influence of pH and Zinc Incorporation on the Adsorption Behavior of Donepezil onto Mordenite
3.4.2. Quantification of Donepezil Loading Efficiency onto Zinc-Modified Zeolite
3.4.3. Kinetic of Donepezil Adsorption onto Zinc-Modified Zeolite
3.5. Donepezil Loading and Formulation Procedure
3.6. Simulated Gastrointestinal Dissolution of Donepezil-Loaded Zeolite Formulations
3.7. Physicochemical Characterization of Zeolitic Materials
3.8. Molecular Modeling and Density Functional Theory (DFT) Simulations
4. Conclusions
Supplementary Materials
Author Contributions
Funding
Institutional Review Board Statement
Informed Consent Statement
Data Availability Statement
Conflicts of Interest
References
- Tatulian, S.A. Challenges and Hopes for Alzheimer’s Disease. Drug Discov. Today 2022, 27, 1027–1043. [Google Scholar] [CrossRef]
- Pan, Y.; Nicolazzo, J.A. Impact of Aging, Alzheimer’s Disease and Parkinson’s Disease on the Blood-Brain Barrier Transport of Therapeutics. Adv. Drug Deliv. Rev. 2018, 135, 62–74. [Google Scholar] [CrossRef]
- Agrawal, M.; Saraf, S.; Saraf, S.; Antimisiaris, S.G.; Chougule, M.B.; Shoyele, S.A.; Alexander, A. Nose-to-Brain Drug Delivery: An Update on Clinical Challenges and Progress Towards Approval of Anti-Alzheimer Drugs. J. Control. Release 2018, 281, 139–177. [Google Scholar] [CrossRef]
- Espinoza, L.C.; Vacacela, M.; Clares, B.; Garcia, M.L.; Fabrega, M.J.; Calpena, A.C. Development of a Nasal Donepezil-Loaded Microemulsion for the Treatment of Alzheimer’s Disease: In Vitro and Ex Vivo Characterization. CNS Neurol. Disord. Drug Targets 2018, 17, 43–53. [Google Scholar] [CrossRef]
- Espinoza, L.C.; Guaya, D.; Calpena, A.C.; Perotti, R.M.; Halbaut, L.; Sosa, L.; Brito-Llera, A.; Mallandrich, M. Comparative Study of Donepezil-Loaded Formulations for the Treatment of Alzheimer’s Disease by Nasal Administration. Gels 2022, 8, 715. [Google Scholar] [CrossRef] [PubMed]
- Guo, W.; Quan, P.; Fang, L.; Cun, D.; Yang, M. Sustained Release Donepezil Loaded PLGA Microspheres for Injection: Preparation, In Vitro and In Vivo Study. Asian J. Pharm. Sci. 2015, 10, 405–414. [Google Scholar] [CrossRef]
- Servatan, M.; Zarrintaj, P.; Mahmodi, G.; Kim, S.-J.; Ganjali, M.R.; Saeb, M.R.; Mozafari, M. Zeolites in Drug Delivery: Progress, Challenges and Opportunities. Drug Discov. Today 2020, 25, 642–656. [Google Scholar] [CrossRef]
- Serri, C.; de Gennaro, B.; Quagliariello, V.; Iaffaioli, R.V.; De Rosa, G.; Catalanotti, L.; Biondi, M.; Mayol, L. Surface Modified Zeolite-Based Granulates for the Sustained Release of Diclofenac Sodium. Eur. J. Pharm. Sci. 2017, 99, 202–208. [Google Scholar] [CrossRef] [PubMed]
- Campoverde, J.; Guaya, D. From Waste to Added-Value Product: Synthesis of Highly Crystalline LTA Zeolite from Ore Mining Tailings. Nanomaterials 2023, 13, 1295. [Google Scholar] [CrossRef]
- Krajišnik, D.; Daković, A.; Milić, J.; Marković, M. Chapter 2—Zeolites as Potential Drug Carriers. In Modified Clay and Zeolite Nanocomposite Materials Environmental and Pharmaceutical Applications; Mercurio, M., Sarkar, B., Langella, A., Eds.; Elsevier: Amsterdam, The Netherlands, 2019; pp. 27–55. ISBN 978-0-12-814617-0. [Google Scholar]
- Tavolaro, A.; Riccio, I.I.; Tavolaro, P. Hydrothermal Synthesis of Zeolite Composite Membranes and Crystals as Potential Vectors for Drug-Delivering Biomaterials. Microporous Mesoporous Mater. 2013, 167, 62–70. [Google Scholar] [CrossRef]
- Souza, I.M.S.; García-Villén, F.; Viseras, C.; Perger, S.B.C. Zeolites as Ingredients of Medicinal Products. Pharmaceutics 2023, 15, 1352. [Google Scholar] [CrossRef]
- Zhang, H.; Zhao, Y.; Yu, M.; Zhao, Z.; Liu, P.; Cheng, H.; Ji, Y.; Jin, Y.; Sun, B.; Zhou, J.; et al. Reassembly of Native Components with Donepezil to Execute Dual-Missions in Alzheimer’s Disease Therapy. J. Control. Release 2019, 296, 14–28. [Google Scholar] [CrossRef] [PubMed]
- Neolaka, Y.A.B.; Lawa, Y.; Riwu, M.; Darmokoesoemo, H.; Setyawati, H.; Naat, J.; Ayu Widyaningrum, B.; Osagie Aigbe, U.; Eghonghon Ukhurebor, K.; Birundu Onyancha, R.; et al. Synthesis of Zinc(II)-Natural Zeolite Mordenite Type as a Drug Carrier for Ibuprofen: Drug Release Kinetic Modeling and Cytotoxicity Study. Results Chem. 2022, 4, 100578. [Google Scholar] [CrossRef]
- Huang, Z.; Qian, K.; Chen, J.; Qi, Y.; E, Y.; Liang, J.; Zhao, L. A Biomimetic Zeolite-Based Nanoenzyme Contributes to Neuroprotection in the Neurovascular Unit After Ischaemic Stroke via Efficient Removal of Zinc and ROS. Acta Biomater. 2022, 144, 142–156. [Google Scholar] [CrossRef]
- Zhang, P.; Chen, L.; Gu, W.; Xu, Z.; Gao, Y.; Li, Y. In Vitro and In Vivo Evaluation of Donepezil-Sustained Release Microparticles for the Treatment of Alzheimer’s Disease. Biomaterials 2007, 28, 1882–1888. [Google Scholar] [CrossRef]
- Capa-Cobos, L.F.; Jaramillo-Fierro, X.; González, S. Computational Study of the Adsorption of Phosphates as Wastewater Pollutant Molecules on Faujasites. Processes 2021, 9, 1821. [Google Scholar] [CrossRef]
- Lin, C.S.; Zhou, A.Y.; Cheng, W.D.; Ye, N.; Chai, G.L. Atom-Resolved Analysis of Birefringence of Nonlinear Optical Crystals by Bader Charge Integration. J. Phys. Chem. C 2019, 123, 31183–31189. [Google Scholar] [CrossRef]
- Kumar, P.S.V.; Raghavendra, V.; Subramanian, V. Bader’s Theory of Atoms in Molecules (AIM) and Its Applications to Chemical Bonding. J. Chem. Sci. 2016, 128, 1527–1536. [Google Scholar] [CrossRef]
- Zhang, H.; Huang, W.; Wang, W.C.; Shi, X.Q. Ionicity of Bonding in Elemental Solids. J. Phys. Commun. 2018, 2, 115009. [Google Scholar] [CrossRef]
- Pavlović, J.; Rajić, N. Clinoptilolite—An Efficient Carrier for Catalytically Active Nano Oxide Particles. Minerals 2023, 13, 877. [Google Scholar] [CrossRef]
- Savin, A.; Nesper, R.; Wengert, S.; Fässler, T.F. ELF: The Electron Localization Function. Angew. Chem. Int. Ed. Engl. 1997, 36, 1808–1832. [Google Scholar] [CrossRef]
- Wen, C.; Zhu, Y.J.; Kanbara, T.; Zhu, H.Z.; Xiao, C.F. Effects of I and F Codoped TiO2 on the Photocatalytic Degradation of Methylene Blue. Desalination 2009, 249, 621–625. [Google Scholar] [CrossRef]
- Tahraoui, Z.; Nouali, H.; Marichal, C.; Forler, P.; Klein, J.; Daou, T.J. Influence of the Compensating Cation Nature on the Water Adsorption Properties of Zeolites. Molecules 2020, 25, 944. [Google Scholar] [CrossRef]
- Vaitkus, A.; Merkys, A.; Gražulis, S. Validation of the Crystallography Open Database Using the Crystallographic Information Framework. J. Appl. Crystallogr. 2021, 54, 661–672. [Google Scholar] [CrossRef]
- Machiels, L.; Garcés, D.; Snellings, R.; Vilema, W.; Morante, F.; Paredes, C.; Elsen, J. Zeolite Occurrence and Genesis in the Late-Cretaceous Cayo Arc of Coastal Ecuador: Evidence for Zeolite Formation in Cooling Marine Pyroclastic Flow Deposits. Appl. Clay Sci. 2014, 87, 108–119. [Google Scholar] [CrossRef]
- Elaiopoulos, K.; Perraki, T.; Grigoropoulou, E. Mineralogical Study and Porosimetry Measurements of Zeolites from Scaloma Area, Thrace, Greece. Microporous Mesoporous Mater. 2008, 112, 441–449. [Google Scholar] [CrossRef]
- Yang, S.; Lach-hab, M.; Blaisten-Barojas, E.; Li, X.; Karen, V.L. Machine Learning Study of the Heulandite Family of Zeolites. Microporous Mesoporous Mater. 2010, 130, 309–313. [Google Scholar] [CrossRef]
- Dimowa, L.; Petrova, N.; Tzvetanova, Y.; Petrov, O.; Piroeva, I. Structural Features and Thermal Behavior of Ion-Exchanged Clinoptilolite from Beli Plast Deposit (Bulgaria). Minerals 2022, 12, 1576. [Google Scholar] [CrossRef]
- Ariyoshi, K.; Yamamoto, H.; Yamada, Y. Relationship Between Changes in Ionic Radius and Lattice Dimension of Lithium Manganese Oxide Spinels During Lithium Insertion/Extraction. Solid State Ion. 2019, 343, 115077. [Google Scholar] [CrossRef]
- Liu, T.; Wan, X.; Luo, Z.; Liu, C.; Quan, P.; Cun, D.; Fang, L. A Donepezil/Cyclodextrin Complexation Orodispersible Film: Effect of Cyclodextrin on Taste-Masking Based on Dynamic Process and In Vivo Drug Absorption. Asian J. Pharm. Sci. 2019, 14, 183–192. [Google Scholar] [CrossRef]
- Cai, M.; Wang, X.; Cao, W.; Chen, Y.; Dai, L. Alkylation of Anthracene with Tert-Amyl Alcohol over Boric Acid-Modified Fe-Zr Mordenite Catalyst. J. Mater. Sci. 2022, 57, 14756–14771. [Google Scholar] [CrossRef]
- Rodríguez-Iznaga, I.; Shelyapina, M.G.; Petranovskii, V. Ion Exchange in Natural Clinoptilolite: Aspects Related to Its Structure and Applications. Minerals 2022, 12, 1628. [Google Scholar] [CrossRef]
- Awa, K.; Shinzawa, H.; Ozaki, Y. The Effect of Microcrystalline Cellulose Crystallinity on the Hydrophilic Property of Tablets and the Hydrolysis of Acetylsalicylic Acid as Active Pharmaceutical Ingredient Inside Tablets. AAPS PharmSciTech 2015, 16, 865–870. [Google Scholar] [CrossRef]
- Kian, L.K.; Jawaid, M.; Ariffin, H.; Alothman, O.Y. Isolation and Characterization of Microcrystalline Cellulose from Roselle Fibers. Int. J. Biol. Macromol. 2017, 103, 931–940. [Google Scholar] [CrossRef]
- Wahono, S.K.; Stalin, J.; Addai-Mensah, J.; Skinner, W.; Vinu, A.; Vasilev, K. Physico-Chemical Modification of Natural Mordenite-Clinoptilolite Zeolites and Their Enhanced CO2 Adsorption Capacity. Microporous Mesoporous Mater. 2020, 294, 109871. [Google Scholar] [CrossRef]
- Neolaka, Y.A.B.; Darmokoesoemo, H.; Adu, A.A.; Lawa, Y.; Naat, J.; Riwu, A.A.P.; Bui, M.F.; Wila, E.C.; Fahirah, M.A.; Budiastant, T.A.; et al. Study of Mordenite Natural Zeolite Type Modified by Cu(II) Cation as an Oral Safe Drug Carrier for Ibuprofen and Meloxicam. J. Mol. Liq. 2022, 352, 118734. [Google Scholar] [CrossRef]
- Poormoghadam, D.; Ghollasi, M.; Babavalian, H.; Tabasi, A.; Shams, M.; Goodarzi, V.; Salimi, A. Modification and Characterization of an Innovative Polyvinyl Alcohol-45S5 Bioactive Glass Nanocomposite Scaffold Containing Donepezil Hydrochloride for Bone Tissue Engineering Applications. Mater. Lett. 2021, 300, 130160. [Google Scholar] [CrossRef]
- Shelyapina, M.G.; Krylova, E.A.; Mazur, A.S.; Tsyganenko, A.A.; Shergin, Y.V.; Satikova, E.A.; Petranovskii, V. Active Sites in H-Mordenite Catalysts Probed by NMR and FTIR. Catalysts 2023, 13, 344. [Google Scholar] [CrossRef]
- Akbelen, M.; Tanriverdi, L. Influence of Acid and Heavy Metal Cation Exchange Treatments on Methane Adsorption Properties of Mordenite. Turk. J. Chem. 2015, 39, 970–983. [Google Scholar] [CrossRef]
- Abatal, M.; Córdova Quiroz, A.V.; Olguín, M.T.; Vázquez-Olmos, A.R.; Vargas, J.; Anguebes-Franseschi, F.; Giácoman-Vallejos, G. Sorption of Pb(II) from Aqueous Solutions by Acid-Modified Clinoptilolite-Rich Tuffs with Different Si/Al Ratios. Appl. Sci. 2019, 9, 2415. [Google Scholar] [CrossRef]
- Barzallo, D.; Lazo, R.; Medina, C.; Guashpa, C.; Tacuri, C.; Palmay, P. Synthesis and Application of ZSM-5 Catalyst Supported with Zinc and/or Nickel in the Conversion of Pyrolytic Gases from Recycled Polypropylene and Polystyrene Mixtures Under Hydrogen Atmosphere. Polymers 2023, 15, 3329. [Google Scholar] [CrossRef]
- Mallette, A.J.; Hong, S.; Freeman, E.E.; Saslow, S.A.; Mergelsberg, S.; Motkuri, R.K.; Neeway, J.J.; Mpourmpakis, G.; Rimer, J.D. Heteroatom Manipulation of Zeolite Crystallization: Stabilizing Zn-FAU against Interzeolite Transformation. JACS Au 2022, 2, 2295–2306. [Google Scholar] [CrossRef] [PubMed]
- Cesur, S.; Cam, M.E.; Sayin, F.S.; Gunduz, O. Electrically Controlled Drug Release of Donepezil and BiFeO3 Magnetic Nanoparticle-Loaded PVA Microbubbles/Nanoparticles for the Treatment of Alzheimer’s Disease. J. Drug Deliv. Sci. Technol. 2022, 67, 102977. [Google Scholar] [CrossRef]
- Liew, K.B.; Tan, Y.T.F.; Peh, K.K. Characterization of Oral Disintegrating Film Containing Donepezil for Alzheimer Disease. AAPS PharmSciTech 2011, 13, 134–142. [Google Scholar] [CrossRef]
- Trojeni, M.M.; Samadi-Maybodi, A.; Shafiei, H. Investigating the Adsorption of Volatile Organic Compounds from Kerosene Using Clinoptilolite (Natural Zeolite) Modified by Cationic Surfactant Cetyltrimethylammonium Bromide. MethodsX 2025, 14, 103354. [Google Scholar] [CrossRef] [PubMed]
- Cho, B.-G.; Mun, S.-B.; Lim, C.-R.; Kang, S.B.; Cho, C.-W.; Yun, Y.-S. Adsorption Modeling of Microcrystalline Cellulose for Pharmaceutical-Based Micropollutants. J. Hazard. Mater. 2022, 426, 128087. [Google Scholar] [CrossRef] [PubMed]
- de Campos, D.P.; Silva-Barcellos, N.M.; Caldeira, T.G.; Mussel, W.d.N.; Silveira, V.; de Souza, J. Donepezil Hydrochloride BCS Class Ambiguity: Relevant Aspects to Be Considered in Drug Classification. J. Pharm. Sci. 2022, 111, 3064–3074. [Google Scholar] [CrossRef]
- Sutthapitaksakul, L.; Dass, C.R.; Sriamornsak, P. Donepezil—An Updated Review of Challenges in Dosage Form Design. J. Drug Deliv. Sci. Technol. 2021, 63, 102549. [Google Scholar] [CrossRef]
- Ezike, T.C.; Okpala, U.S.; Onoja, U.L.; Nwike, C.P.; Ezeako, E.C.; Okpara, O.J.; Okoroafor, C.C.; Eze, S.C.; Kalu, O.L.; Odoh, E.C.; et al. Advances in Drug Delivery Systems, Challenges and Future Directions. Heliyon 2023, 9, e17488. [Google Scholar] [CrossRef]
- Bullen, J.C.; Saleesongsom, S.; Gallagher, K.; Weiss, D.J. A Revised Pseudo-Second-Order Kinetic Model for Adsorption, Sensitive to Changes in Adsorbate and Adsorbent Concentrations. Langmuir 2021, 37, 3189–3201. [Google Scholar] [CrossRef]
- Ho, Y.S. Second-Order Kinetic Model for the Sorption of Cadmium onto Tree Fern: A Comparison of Linear and Non-Linear Methods. Water Res. 2006, 40, 119–125. [Google Scholar] [CrossRef]
- Vilaça, N.; Bertão, A.R.; Prasetyanto, E.A.; Granja, S.; Costa, M.; Fernandes, R.; Figueiredo, F.; Fonseca, A.M.; De Cola, L.; Baltazar, F.; et al. Surface Functionalization of Zeolite-Based Drug Delivery Systems Enhances Their Antitumoral Activity In Vivo. Mater. Sci. Eng. C 2021, 120, 111721. [Google Scholar] [CrossRef]
- Jakubowski, M.; Kucinska, M.; Ratajczak, M.; Pokora, M.; Murias, M.; Voelkel, A.; Sandomierski, M. Zinc Forms of Faujasite Zeolites as a Drug Delivery System for 6-Mercaptopurine. Microporous Mesoporous Mater. 2022, 343, 112194. [Google Scholar] [CrossRef]
- Revellame, E.D.; Fortela, D.L.; Sharp, W.; Hernandez, R.; Zappi, M.E. Adsorption Kinetic Modeling Using Pseudo-First Order and Pseudo-Second Order Rate Laws: A Review. Clean. Eng. Technol. 2020, 1, 100032. [Google Scholar] [CrossRef]
- Guo, X.; Yun, H.; Zhang, M.; Li, Q.; Zhou, Q.; Shao, H.; Hu, W.; Li, C.; Fan, S. Adsorption of Low-Molecular-Weight Amines in Aqueous Solutions to Zeolites: An Approach to Impeding Low-Molecular-Weight Amines from Regenerating N-Nitrosamines. Ind. Eng. Chem. Res. 2017, 56, 12024–12031. [Google Scholar] [CrossRef]
- Jiang, N.; Yuan, S.; Wang, J.; Qin, Z.; Jiao, H. Amines Adsorption on Li- and Na-Exchanged MOR: An ONIOM2 Study. J. Mol. Catal. A Chem. 2005, 242, 105–112. [Google Scholar] [CrossRef]
- Jiang, N.; Yuan, S.; Wang, J.; Jiao, H.; Qin, Z.; Li, Y.-W. A Theoretical Study of Amines Adsorption in HMOR by Using ONIOM2 Method. J. Mol. Catal. A Chem. 2004, 220, 221–228. [Google Scholar] [CrossRef]
- Rai, N.; Caratzoulas, S.; Vlachos, D.G. Role of Silanol Group in Sn-Beta Zeolite for Glucose Isomerization and Epimerization Reactions. ACS Catal. 2013, 3, 2294–2298. [Google Scholar] [CrossRef]
- Dib, E.; Costa, I.M.; Vayssilov, G.N.; Aleksandrov, H.A.; Mintova, S. Complex H-Bonded Silanol Network in Zeolites Revealed by IR and NMR Spectroscopy Combined with DFT Calculations. J. Mater. Chem. A 2021, 9, 27347–27352. [Google Scholar] [CrossRef]
- Hessou, E.P.; Bédé, L.A.; Jabraoui, H.; Semmeq, A.; Badawi, M.; Valtchev, V. Adsorption of Toluene and Water over Cationic-Exchanged Y Zeolites: A DFT Exploration. Molecules 2021, 26, 5486. [Google Scholar] [CrossRef]
- Caro-Ortiz, S.; Zuidema, E.; Dekker, D.; Rigutto, M.; Dubbeldam, D.; Vlugt, T.J.H. Adsorption of Aromatics in MFI-Type Zeolites: Experiments and Framework Flexibility in Monte Carlo Simulations. J. Phys. Chem. C 2020, 124, 21782–21797. [Google Scholar] [CrossRef]
- Penzien, J.; Abraham, A.; van Bokhoven, J.A.; Jentys, A.; Müller, T.E.; Sievers, C.; Lercher, J.A. Generation and Characterization of Well-Defined Zn2+ Lewis Acid Sites in Ion Exchanged Zeolite BEA. J. Phys. Chem. B 2004, 108, 4116–4126. [Google Scholar] [CrossRef]
- Fleury, G.; Roeffaers, M.B.J. Resolving the Acid Site Distribution in Zn-Exchanged ZSM-5 with Stimulated Raman Scattering Microscopy. Catalysts 2020, 10, 1331. [Google Scholar] [CrossRef]
- Lin, L.; Zhang, X.; He, N.; Liu, J.; Xin, Q.; Guo, H. Operando Dual Beam FTIR Study of Hydroxyl Groups and Zn Species over Defective HZSM-5 Zeolite Supported Zinc Catalysts. Catalysts 2019, 9, 100. [Google Scholar] [CrossRef]
- Wu, W.; Weitz, E. Modification of Acid Sites in ZSM-5 by Ion-Exchange: An In-Situ FTIR Study. Appl. Surf. Sci. 2014, 316, 405–415. [Google Scholar] [CrossRef]
- Afreen, G.; Upadhyayula, S. Mechanistic Insights into Upgrading of Biomass-Derived Phenolic Compounds: Comparative Study of the Impact of Lewis Acidity in Zn Loaded FAU Zeolite on Reaction Mechanism. Chem. Eng. J. 2019, 377, 120236. [Google Scholar] [CrossRef]
- Pandya, T.; Patel, S.; Kulkarni, M.; Singh, Y.R.; Khodakiya, A.; Bhattacharya, S.; Prajapati, B.G. Zeolite-Based Nanoparticles Drug Delivery Systems in Modern Pharmaceutical Research and Environmental Remediation. Heliyon 2024, 10, e36417. [Google Scholar] [CrossRef]
- Sivamaruthi, B.S.; Kapoor, D.U.; Kukkar, R.R.; Gaur, M.; Elossaily, G.M.; Prajapati, B.G.; Chaiyasut, C. Mesoporous Silica Nanoparticles: Types, Synthesis, Role in the Treatment of Alzheimer’s Disease, and Other Applications. Pharmaceutics 2023, 15, 2666. [Google Scholar] [CrossRef] [PubMed]
- Somphon, W.; Loisruangsin, A. ZIF-8, Chitosan and β-Cyclodextrin-Incorporated ZIF-8 Nanohybrid for Improving Drug Delivery. ScienceAsia 2023, 49, 776–785. [Google Scholar] [CrossRef]
- Kömür, M.; Kıyan, H.T.; Öztürk, A.A. Development of Donepezil Hydrochloride-Loaded PLGA-Based Nanoparticles for Alzheimer’s Disease Treatment. Sci. Rep. 2025, 15, 13184. [Google Scholar] [CrossRef]
- Heidari, M.; Azami, N.; Ebadi, M.; Dardmeh, F.; Sepahi Charmi, S.; Alipour, H. Chitosan Nanoparticle Encapsulation Improves the Effect of Donepezil on Impaired Memory in an Amnesia Mouse Model. Discov. Med. 2024, 1, 109. [Google Scholar] [CrossRef]
- Jaramillo-Fierro, X.; Ramón, J.; Valarezo, E. Cyanide Removal by ZnTiO3/TiO2/H2O2/UVB System: A Theoretical-Experimental Approach. Int. J. Mol. Sci. 2023, 24, 16446. [Google Scholar] [CrossRef]
- Kresse, G.; Furthmüller, J. Efficient Iterative Schemes for Ab Initio Total-Energy Calculations Using a Plane-Wave Basis Set. Phys. Rev. B 1996, 54, 11169–11186. [Google Scholar] [CrossRef]
- Wang, V.; Xu, N.; Liu, J.C.; Tang, G.; Geng, W.T. VASPKIT: A User-Friendly Interface Facilitating High-Throughput Computing and Analysis Using VASP Code. Comput. Phys. Commun. 2021, 267, 108033. [Google Scholar] [CrossRef]
- Sujith, C.P.; Joseph, S.; Mathew, T.; Mathew, V. First-Principles Investigation of Structural, Electronic and Optical Properties of Quasi-One-Dimensional Barium Cadmium Chalcogenides Ba2CdX3 (X = S, Se, Te) Using HSE06 and GGA-PBE Functionals. J. Phys. Chem. Solids 2022, 161, 110488. [Google Scholar] [CrossRef]
- Kohn, W.; Sham, L.J. Quantum Density Oscillations in an Inhomogeneous Electron Gas. Phys. Rev. 1965, 137, A1697. [Google Scholar] [CrossRef]
- Monkhorst, H.J.; Pack, J.D. Special Points for Brillouin-Zone Integrations. Phys. Rev. B 1976, 13, 5188–5192. [Google Scholar] [CrossRef]
- Heard, C.J.; Grajciar, L.; Nachtigall, P. The Effect of Water on the Validity of Löwenstein’s Rule. Chem. Sci. 2019, 10, 5705–5711. [Google Scholar] [CrossRef]
- Dhinesh Kumar, R.; Thangappan, R.; Jayavel, R. Synthesis and Characterization of LaFeO3/TiO2 Nanocomposites for Visible Light Photocatalytic Activity. J. Phys. Chem. Solids 2017, 101, 25–33. [Google Scholar] [CrossRef]
- Rasoolidanesh, M.; Astaraki, M.; Mostafavi, M.; Rezvani, M.; Darvish Ganji, M. Toward Efficient Enantioseparation of Ibuprofen Isomers Using Chiral BNNTs: Dispersion Corrected DFT Calculations and DFTB Molecular Dynamic Simulations. Diam. Relat. Mater. 2021, 119, 108561. [Google Scholar] [CrossRef]
- Lee, J.H.; Choi, Y.K.; Kim, H.J.; Scheicher, R.H.; Cho, J.H. Physisorption of DNA Nucleobases on h-BN and Graphene: VdW-Corrected DFT Calculations. J. Phys. Chem. C 2013, 117, 13435–13441. [Google Scholar] [CrossRef]
- Rezvani, M.; Darvish Ganji, M.; Faghihnasiri, M. Encapsulation of Lamivudine into Single Walled Carbon Nanotubes: A VdW-DF Study. Phys. E Low. Dimens. Syst. Nanostruct. 2013, 52, 27–33. [Google Scholar] [CrossRef]
- Tavassoli Larijani, H.; Darvish Ganji, M.; Jahanshahi, M. Trends of Amino Acid Adsorption onto Graphene and Graphene Oxide Surfaces: A Dispersion Corrected DFT Study. RSC Adv. 2015, 5, 92843–92857. [Google Scholar] [CrossRef]
- Wuest, J.D.; Rochefort, A. Strong Adsorption of Aminotriazines on Graphene. Chem. Commun. 2010, 46, 2923–2925. [Google Scholar] [CrossRef]
- Maldonado, F.; Villamagua, L.; Rivera, R. DFT Analysis of the Adsorption of Phenol on the Nonpolar (1010) ZnO Surface. J. Phys. Chem. C 2019, 123, 12296–12304. [Google Scholar] [CrossRef]
- Yang, X.; Yan, Z.; Gao, G.; Gao, R.; Zhang, T.; Su, H.; Tian, M.; Wang, S. Understanding of Photocatalytic Partial Oxidation of Methanol to Methyl Formate on Surface Doped La(Ce)-Tio2: Experiment and Dft Calculation. SSRN Electron. J. 2022, 411, 31–40. [Google Scholar] [CrossRef]
- Lai, W.; Zhang, K.; Shao, P.; Yang, L.; Ding, L.; Pavlostathis, S.G.; Shi, H.; Zou, L.; Liang, D.; Luo, X. Optimization of Adsorption Configuration by DFT Calculation for Design of Adsorbent: A Case Study of Palladium Ion-Imprinted Polymers. J. Hazard. Mater. 2019, 379, 120791. [Google Scholar] [CrossRef] [PubMed]













| Parameter | Mordenite (MOR) | Donepezil-Loaded Mordenite | ||
|---|---|---|---|---|
| Before | After | Before | After | |
| a (Å) | 18.09 | 18.17 | 18.18 | 18.18 |
| b (Å) | 20.52 | 20.17 | 20.37 | 20.37 |
| c (Å) | 30.10 | 29.84 | 30.03 | 30.03 |
| α (°) | 90.00 | 89.91 | 89.99 | 89.99 |
| β (°) | 90.00 | 91.59 | 91.12 | 91.12 |
| γ (°) | 90.00 | 91.49 | 90.85 | 90.54 |
| V (Å3) | 11,172 | 10,932 | 11,117 | 11,117 |
| Atoms | MOR-DPZ | ||
|---|---|---|---|
| BA (e) | AA (e) | ΔCharge | |
| SiMOR | 4.00 | 4.00 | 0.00 |
| AlMOR | 3.00 | 3.00 | 0.00 |
| OMOR | −2.00 | −2.00 | 0.00 |
| HMOR | 1.00 | 1.00 | 0.00 |
| NDON | −2.38 | −1.98 | −0.40 |
| CDON | 0.26 | 0.26 | 0.00 |
| ODON | −1.52 | −1.62 | +0.10 |
| HDON | 0.03 | 0.03 | 0.00 |
| Element | MR ± SD | MR-ZN ± SD | DP-MR-ZN10 ± SD | DP-MR-ZN23 ± SD | DP-MR-ZN10-CM ± SD | DP-MR-ZN23-CM ± SD |
|---|---|---|---|---|---|---|
| Al2O3 (%) | 14.0 ± 0.9 | 15.3 ± 0.8 | 15 ± 0.9 | 14.5 ± 0.8 | 14.4 ± 0.8 | 13.6 ± 0.8 |
| SiO2 (%) | 63.2 ± 0.9 | 61.2 ± 0.8 | 63 ± 0.9 | 63.2 ± 0.8 | 64.6 ± 0.8 | 64.2 ± 0.8 |
| S (%) | 0.1 ± 0 | 0.1 ± 0 | 0.1 ± 0 | 0.1 ± 0 | 0.1 ± 0 | 0.1 ± 0 |
| K2O (%) | 0.7 ± 0 | 0.7 ± 0 | 0.7 ± 0 | 0.7 ± 0 | 0.7 ± 0 | 0.7 ± 0 |
| CaO (%) | 3.9 ± 0 | 3.5 ± 0 | 3.8 ± 0 | 3.9 ± 0 | 3.7 ± 0 | 3.7 ± 0 |
| Fe2O3 (%) | 2.5 ± 0 | 2.3 ± 0 | 2.4 ± 0 | 2.4 ± 0 | 2.3 ± 0 | 2.4 ± 0 |
| ZnO (%) | 15.6 ± 0 | 17.0 ± 0 | 15.1 ± 0 | 15.2 ± 0 | 14.3 ± 0 | 15.3 ± 0 |
| Ti (%) | 0.2 ± 0 | 0.1 ± 0 | 0.1 ± 0 | 0.1 ± 0 | 0.1 ± 0 | 0.2 ± 0 |
| Mn (%) | 0.1 ± 0 | 0.1 ± 0 | <lq | <lq | <lq | <lq |
| Co (%) | <lq | <lq | <lq | <lq | <lq | <lq |
| Cu (%) | <lq | <lq | <lq | <lq | <lq | <lq |
| Ba (%) | 0.1 ± 0.1 | 0.1 ± 0.1 | <lq | 0.1 ± 0 | 0.1 ± 0 | <lq |
| Model | Equation | Kinetic Parameters | |
|---|---|---|---|
| Pseudo-first order | where K1 (h−1) is the kinetic constant. | Qe (mg∙g−1) | 0.11 |
| K1 (h−1) | 0.38 | ||
| R2 | 0.59 | ||
| Pseudo-second order | where K2 (g·mg−1·h−1) is the kinetic constant. | Qe (mg∙g−1) | 5.58 |
| K2 (g∙mg−1∙h−1) | 43.05 | ||
| R2 | 0.99 | ||
| Intraparticular diffusion | where Kt (mg·g−1·h−1/2) is the intraparticle diffusion rate constant and A (mg·g−1) is a constant that provides information about the thickness of the boundary layer. | Kt1 (mg∙g−1∙h−1/2) | 64.61 |
| R2 | 0.92 | ||
| Kt2 (mg∙g−1∙h−1/2) | 0.03 | ||
| R2 | 0.99 | ||
| Kt3 (mg∙g−1∙h−1/2) | 0.05 | ||
| R2 | 0.90 | ||
| Kt4 (mg∙g−1∙h−1/2) | 0.01 | ||
| R2 | 0.91 | ||
| Film Diffusion | where DF (m2∙h−1) is the diffusion coefficient, cs (mg·L−1) and cz (mg·kg−1) are donepezil concentrations in solution and in the adsorbent, respectively, r is the average radius of the zeolite particle (particles below 200 mesh ≈ radius: 3.7 × 10−5 m), t is the contact time (min) and h is the film thickness of the adsorbent particle (1 × 10−5 m for a poorly stirred solution). | DF (m2∙h−1) | 4.3 × 10−9 |
| R2 | 0.66 | ||
| Particle Diffusion | where DP (m2∙h−1) is the diffusion coefficient | DP (m2∙h−1) | 2.9 × 10−11 |
| R2 | 0.72 | ||
Disclaimer/Publisher’s Note: The statements, opinions and data contained in all publications are solely those of the individual author(s) and contributor(s) and not of MDPI and/or the editor(s). MDPI and/or the editor(s) disclaim responsibility for any injury to people or property resulting from any ideas, methods, instructions or products referred to in the content. |
© 2025 by the authors. Licensee MDPI, Basel, Switzerland. This article is an open access article distributed under the terms and conditions of the Creative Commons Attribution (CC BY) license (https://creativecommons.org/licenses/by/4.0/).
Share and Cite
Guaya, D.; Espinoza, L.C.; Jaramillo-Fierro, X.; Gualotuña Campoverde, D.; Sosa, L.; Calpena, A.C. Zinc-Modified Mordenite Zeolite as a Molecular Carrier for Donepezil: A Framework for Drug Delivery Applications. Molecules 2025, 30, 4174. https://doi.org/10.3390/molecules30214174
Guaya D, Espinoza LC, Jaramillo-Fierro X, Gualotuña Campoverde D, Sosa L, Calpena AC. Zinc-Modified Mordenite Zeolite as a Molecular Carrier for Donepezil: A Framework for Drug Delivery Applications. Molecules. 2025; 30(21):4174. https://doi.org/10.3390/molecules30214174
Chicago/Turabian StyleGuaya, Diana, Lupe Carolina Espinoza, Ximena Jaramillo-Fierro, Dagmar Gualotuña Campoverde, Lilian Sosa, and Ana Cristina Calpena. 2025. "Zinc-Modified Mordenite Zeolite as a Molecular Carrier for Donepezil: A Framework for Drug Delivery Applications" Molecules 30, no. 21: 4174. https://doi.org/10.3390/molecules30214174
APA StyleGuaya, D., Espinoza, L. C., Jaramillo-Fierro, X., Gualotuña Campoverde, D., Sosa, L., & Calpena, A. C. (2025). Zinc-Modified Mordenite Zeolite as a Molecular Carrier for Donepezil: A Framework for Drug Delivery Applications. Molecules, 30(21), 4174. https://doi.org/10.3390/molecules30214174

