Sign in to use this feature.

Years

Between: -

Subjects

remove_circle_outline
remove_circle_outline
remove_circle_outline
remove_circle_outline
remove_circle_outline
remove_circle_outline
remove_circle_outline
remove_circle_outline
remove_circle_outline

Journals

remove_circle_outline
remove_circle_outline
remove_circle_outline
remove_circle_outline
remove_circle_outline
remove_circle_outline
remove_circle_outline
remove_circle_outline
remove_circle_outline
remove_circle_outline
remove_circle_outline
remove_circle_outline
remove_circle_outline
remove_circle_outline
remove_circle_outline
remove_circle_outline
remove_circle_outline

Article Types

Countries / Regions

remove_circle_outline
remove_circle_outline
remove_circle_outline
remove_circle_outline

Search Results (2,157)

Search Parameters:
Keywords = improved local search

Order results
Result details
Results per page
Select all
Export citation of selected articles as:
20 pages, 4429 KB  
Article
ANT-KT: Adaptive NAS Transformers for Knowledge Tracing
by Shuanglong Yao, Yichen Song, Ye Liu, Ji Chen, Deyu Zhao and Xing Wang
Electronics 2025, 14(21), 4148; https://doi.org/10.3390/electronics14214148 - 23 Oct 2025
Abstract
Knowledge Tracing aims to assess students’ mastery of knowledge concepts in real time, playing a crucial role in providing personalized learning services in intelligent tutoring systems. In recent years, researchers have attempted to introduce Neural Architecture Search (NAS) into knowledge tracing tasks to [...] Read more.
Knowledge Tracing aims to assess students’ mastery of knowledge concepts in real time, playing a crucial role in providing personalized learning services in intelligent tutoring systems. In recent years, researchers have attempted to introduce Neural Architecture Search (NAS) into knowledge tracing tasks to automatically design more efficient network structures. However, existing NAS-based methods for Knowledge Tracing suffer from excessively large search spaces and slow search efficiency, which significantly constrain their practical applications. To address these limitations, this paper proposes an Adaptive Neural Architecture Search framework based on Transformers for KT, called ANT-KT. Specifically, we design an enhanced encoder that combines convolution operations with state vectors to capture both local and global dependencies in students’ learning sequences. Moreover, an optimized decoder with a linear attention mechanism is introduced to improve the efficiency of modeling long-term student knowledge state evolution. We further propose an evolutionary NAS algorithm that incorporates a model optimization efficiency objective and a dynamic search space reduction strategy, enabling the discovery of high-performing yet computationally efficient architectures. Experimental results on two large-scale real-world datasets, EdNet and RAIEd2020, demonstrate that ANT-KT significantly reduces time costs across all stages of NAS while achieving performance improvements on multiple evaluation metrics, validating the efficiency and practicality of the proposed method. Full article
(This article belongs to the Section Artificial Intelligence)
Show Figures

Figure 1

34 pages, 39783 KB  
Article
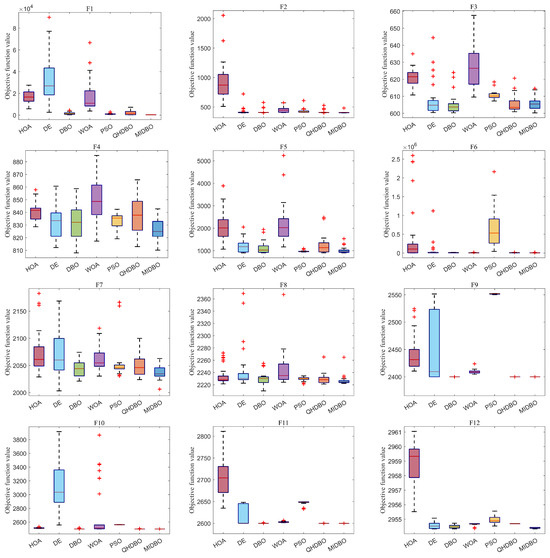
Improving the Dung Beetle Optimizer with Multiple Strategies: An Application to Complex Engineering Problems
by Wei Lv, Yueshun He, Yuankun Yang, Xiaohui Ma, Jie Chen and Yuxuan Zhang
Biomimetics 2025, 10(11), 717; https://doi.org/10.3390/biomimetics10110717 - 23 Oct 2025
Abstract
Although the Dung Beetle Optimizer (DBO) is a promising new metaheuristic for global optimization, it often struggles with premature convergence and lacks the necessary precision when applied to complex optimization challenges. Therefore, we developed the Multi-Strategy Improved Dung Beetle Optimizer (MIDBO), an algorithm [...] Read more.
Although the Dung Beetle Optimizer (DBO) is a promising new metaheuristic for global optimization, it often struggles with premature convergence and lacks the necessary precision when applied to complex optimization challenges. Therefore, we developed the Multi-Strategy Improved Dung Beetle Optimizer (MIDBO), an algorithm that incorporates several new strategies to enhance the performance of the standard DBO. The algorithm enhances initial population diversity by improving the distribution uniformity of the Circle chaotic map and combining it with a dynamic opposition-based learning strategy for initialization. A nonlinear oscillating balance factor and an improved foraging strategy are introduced to achieve a dynamic equilibrium between the algorithm’s global search and local refinement, thereby accelerating convergence. A multi-population differential co-evolutionary mechanism is designed, wherein the population is partitioned into three categories according to fitness, with each category using a unique mutation operator to execute targeted searches and avoid local optima. A comparative study against multiple metaheuristics on the CEC2017 and CEC2022 benchmarks was performed to comprehensively evaluate MIDBO’s performance. The practical effectiveness of the MIDBO algorithm was validated by applying it to three practical engineering challenges. The results demonstrate that MIDBO significantly outperformed the other algorithms, a success attributed to its superior optimization performance. Full article
(This article belongs to the Section Biological Optimisation and Management)
Show Figures

Figure 1

10 pages, 190 KB  
Review
Assessment of Surgical Quality in Radical Prostatectomy: Review of Objective Intraoperative and Functional Evaluation Scales
by Jakub Kempisty, Krzysztof Balawender, Oskar Dąbrowski and Karol Burdziak
J. Clin. Med. 2025, 14(21), 7458; https://doi.org/10.3390/jcm14217458 - 22 Oct 2025
Abstract
Radical prostatectomy remains a cornerstone treatment for localized prostate cancer. While oncological control is essential, functional outcomes such as urinary continence and erectile function play a critical role in patient satisfaction and quality of life. Despite the growing emphasis on surgical quality, no [...] Read more.
Radical prostatectomy remains a cornerstone treatment for localized prostate cancer. While oncological control is essential, functional outcomes such as urinary continence and erectile function play a critical role in patient satisfaction and quality of life. Despite the growing emphasis on surgical quality, no standardized intraoperative scoring system has been universally adopted. This narrative review summarizes current approaches to evaluating the technical quality of radical prostatectomy and associated functional outcomes. It focuses on objective intraoperative assessment tools and functional evaluation scales used in clinical research and surgical education. A non-systematic literature search was conducted using the PubMed and Scopus databases to identify relevant intraoperative assessment tools (e.g., GEARS, PACE, and OSATS), functional scales (e.g., IIEF, EPIC, and pad test), and outcome reporting systems. Articles were reviewed for scale structure, clinical applicability, validation status, and limitations. Several tools have been developed to evaluate surgical skills in minimally invasive surgery, yet few are specific to radical prostatectomy. Most rely on subjective surgeon assessment or delayed functional outcomes, limiting their utility for intraoperative feedback. Video-based assessment is promising but underutilized. A gap remains for a prostatectomy-specific, reproducible, and real-time assessment scale. There is a pressing need for validated tools that bridge the gap between surgical technique and functional outcomes. Current methods lack specificity and reproducibility. Development of an objective, intraoperative scoring system may support surgeon feedback, quality improvement, and improved patient counseling. Full article
(This article belongs to the Special Issue The Current State of Robotic Surgery in Urology)
25 pages, 9213 KB  
Article
Q-Learning-Based Multi-Strategy Topology Particle Swarm Optimization Algorithm
by Xiaoxi Hao, Shenwei Wang, Xiaotong Liu, Tianlei Wang, Guangfan Qiu and Zhiqiang Zeng
Algorithms 2025, 18(11), 672; https://doi.org/10.3390/a18110672 - 22 Oct 2025
Abstract
In response to the issues of premature convergence and insufficient parameter control in Particle Swarm Optimization (PSO) for high-dimensional complex optimization problems, this paper proposes a Multi-Strategy Topological Particle Swarm Optimization algorithm (MSTPSO). The method builds upon a reinforcement learning-driven topological switching framework, [...] Read more.
In response to the issues of premature convergence and insufficient parameter control in Particle Swarm Optimization (PSO) for high-dimensional complex optimization problems, this paper proposes a Multi-Strategy Topological Particle Swarm Optimization algorithm (MSTPSO). The method builds upon a reinforcement learning-driven topological switching framework, where Q-learning dynamically selects among fully informed topology, small-world topology, and exemplar-set topology to achieve an adaptive balance between global exploration and local exploitation. Furthermore, the algorithm integrates differential evolution perturbations and a global optimal restart strategy based on stagnation detection, together with a dual-layer experience replay mechanism to enhance population diversity at multiple levels and strengthen the ability to escape local optima. Experimental results on 29 CEC2017 benchmark functions, compared against various PSO variants and other advanced evolutionary algorithms, show that MSTPSO achieves superior fitness performance and exhibits stronger stability on high-dimensional and complex functions. Ablation studies further validate the critical contribution of the Q-learning-based multi-topology control and stagnation detection mechanisms to performance improvement. Overall, MSTPSO demonstrates significant advantages in convergence accuracy and global search capability. Full article
Show Figures

Figure 1

24 pages, 2742 KB  
Article
Capturing the Asymmetry of Pitting Corrosion: An Interpretable Prediction Model Based on Attention-CNN
by Xiaohai Ran and Changfeng Wang
Symmetry 2025, 17(10), 1775; https://doi.org/10.3390/sym17101775 - 21 Oct 2025
Viewed by 12
Abstract
Fossil fuels are crucial to the global energy supply, with pipelines being a vital transportation method. However, these vital assets are highly susceptible to pitting corrosion, an insidious form of degradation that can lead to catastrophic failures. Unlike uniform corrosion, which represents a [...] Read more.
Fossil fuels are crucial to the global energy supply, with pipelines being a vital transportation method. However, these vital assets are highly susceptible to pitting corrosion, an insidious form of degradation that can lead to catastrophic failures. Unlike uniform corrosion, which represents a symmetric form of material loss, pitting corrosion is a highly asymmetric and localized phenomenon. The inherent complexity and asymmetry of this process make its prediction a significant challenge. To address this, this study presents SSA-CNN-Attention, a deep learning model specifically designed to analyze the complex, nonlinear interactions among environmental factors. The model employs a Convolutional Neural Network (CNN) to extract local features, while a crucial attention mechanism allows it to asymmetrically weight the importance of these features, enhancing its ability to recognize intricate interactions. Additionally, the Sparrow Search Algorithm (SSA) optimizes the model’s hyperparameters for improved accuracy and stability. Furthermore, a post hoc interpretability analysis using the LIME framework validates that the model’s learned feature relationships are consistent with established corrosion science, revealing how the model accounts for the asymmetric influence of key variables. The experimental results demonstrate that the proposed model reduces mean squared error (MSE) by 61.3% and mean absolute error (MAE) by 26.6%, while improving the coefficient of determination (R2) by 28.2% compared to traditional CNNs. These findings highlight the model’s superior performance in predicting a fundamentally asymmetric process and provide valuable insights into the underlying corrosion mechanisms. Full article
(This article belongs to the Section Computer)
Show Figures

Figure 1

28 pages, 2553 KB  
Review
Topical Probiotics as a Novel Approach in the Treatment of Chronic Dermatoses Associated with Skin Dysbiosis: A Narrative Review
by Danuta Nowicka, Emilia Kucharczyk, Karolina Pawłuszkiewicz, Matylda Korgiel, Tomasz Busłowicz and Małgorzata Ponikowska
Int. J. Mol. Sci. 2025, 26(20), 10195; https://doi.org/10.3390/ijms262010195 - 20 Oct 2025
Viewed by 292
Abstract
The skin microbiome plays a pivotal role in maintaining skin homeostasis, immune regulation, and barrier integrity. Dysbiosis, characterized by altered diversity and function of the microflora, contributes to the pathogenesis of chronic inflammatory dermatoses such as atopic dermatitis, psoriasis, acne vulgaris, hidradenitis suppurativa, [...] Read more.
The skin microbiome plays a pivotal role in maintaining skin homeostasis, immune regulation, and barrier integrity. Dysbiosis, characterized by altered diversity and function of the microflora, contributes to the pathogenesis of chronic inflammatory dermatoses such as atopic dermatitis, psoriasis, acne vulgaris, hidradenitis suppurativa, rosacea, and photoaging. This narrative review, based on searches in PubMed, Scopus, and Google Scholar, summarizes current evidence on the role of topical probiotics in the prevention and management of inflammatory dermatoses, drawing mainly on studies from the past decade and, where relevant, earlier works published between 1975 and 2025. Evidence indicates that topical probiotics modulate local immune responses, enhance antimicrobial peptide synthesis, inhibit pathogenic microorganism colonization, and support skin barrier regeneration. Additional benefits include accelerated wound healing and reduced environmental damage. However, study results are heterogeneous, and designs vary, with limited data on long-term effects, particularly in paediatric and immunosuppressed populations. Topical probiotics are a promising therapeutic approach for chronic inflammatory dermatoses linked to microbiota dysbiosis. They can restore microbial balance, support barrier function, suppress pathogenic microorganisms, and promote skin regeneration. Despite consistent reports of clinical improvement and improved cutaneous defence mechanisms, small sample sizes, methodological heterogeneity, and the absence of standardized dosing regimens limit current evidence. Long-term safety data are limited, especially for vulnerable patient groups. Rigorous randomized controlled trials with standardized protocols and larger, diverse populations are needed to confirm efficacy, ensure safety, and guide clinical implementation. Full article
Show Figures

Figure 1

32 pages, 5538 KB  
Article
Fault Diagnosis Method for Pumping Station Units Based on the tSSA-Informer Model
by Qingqing Tian, Hongyu Yang, Yu Tian and Lei Guo
Sensors 2025, 25(20), 6458; https://doi.org/10.3390/s25206458 - 18 Oct 2025
Viewed by 263
Abstract
To address the problems of noise sensitivity, insufficient modeling of long-term time-series dependence, and high cost of labeled data in the fault diagnosis of pumping station units, an intelligent diagnosis method integrating the improved Sparrow Search Algorithm (tSSA) and Informer model is proposed [...] Read more.
To address the problems of noise sensitivity, insufficient modeling of long-term time-series dependence, and high cost of labeled data in the fault diagnosis of pumping station units, an intelligent diagnosis method integrating the improved Sparrow Search Algorithm (tSSA) and Informer model is proposed in this study. Firstly, an adaptive t-distribution strategy is introduced into the Sparrow Search Algorithm to dynamically adjust the degree of freedom parameters of the mutation operator, balance global search and local development capabilities, avoid the algorithm converging to the origin, and enhance optimization accuracy, with time complexity consistent with the original SSA. Secondly, by combining the sparse self-attention and self-attention distillation mechanisms of Informer, the model’s ability to extract key features of long sequences is optimized, and its hyperparameters are adaptively optimized via tSSA. Experiments were conducted based on 12 types of fault vibration data acquired from pumping station units. Outliers were removed using the interquartile range (IQR) method, and dimensionality reduction was achieved through kernel principal component analysis (KPCA). The results indicate that the average diagnostic accuracy of tSSA-Informer under noise-free conditions reaches 98.73%, which is significantly higher than that of models such as SSA-Informer and GA-Informer; under noise interference of SNR = −1 dB, it still maintains an accuracy of 87.47%, outperforming comparative methods like 1D-DCTN; when the labeled sample size is reduced to 10%, its accuracy is 61.32%, which is more than 40% higher than that of traditional models. These results verify the robustness and practicality of the proposed method in strong-noise and small-sample scenarios. This study provides an efficient solution for the intelligent fault diagnosis of complex industrial equipment. Full article
(This article belongs to the Section Fault Diagnosis & Sensors)
Show Figures

Figure 1

39 pages, 7020 KB  
Article
Improved Multi-Faceted Sine Cosine Algorithm for Optimization and Electricity Load Forecasting
by Stephen O. Oladipo, Udochukwu B. Akuru and Abraham O. Amole
Computers 2025, 14(10), 444; https://doi.org/10.3390/computers14100444 - 17 Oct 2025
Viewed by 161
Abstract
The sine cosine algorithm (SCA) is a population-based stochastic optimization method that updates the position of each search agent using the oscillating properties of the sine and cosine functions to balance exploration and exploitation. While flexible and widely applied, the SCA often suffers [...] Read more.
The sine cosine algorithm (SCA) is a population-based stochastic optimization method that updates the position of each search agent using the oscillating properties of the sine and cosine functions to balance exploration and exploitation. While flexible and widely applied, the SCA often suffers from premature convergence and getting trapped in local optima due to weak exploration–exploitation balance. To overcome these issues, this study proposes a multi-faceted SCA (MFSCA) incorporating several improvements. The initial population is generated using dynamic opposition (DO) to increase diversity and global search capability. Chaotic logistic maps generate random coefficients to enhance exploration, while an elite-learning strategy allows agents to learn from multiple top-performing solutions. Adaptive parameters, including inertia weight, jumping rate, and local search strength, are applied to guide the search more effectively. In addition, Lévy flights and adaptive Gaussian local search with elitist selection strengthen exploration and exploitation, while reinitialization of stagnating agents maintains diversity. The developed MFSCA was tested against 23 benchmark optimization functions and assessed using the Wilcoxon rank-sum and Friedman rank tests. Results showed that MFSCA outperformed the original SCA and other variants. To further validate its applicability, this study developed a fuzzy c-means MFSCA-based adaptive neuro-fuzzy inference system to forecast energy consumption in student residences, using student apartments at a university in South Africa as a case study. The MFSCA-ANFIS achieved superior performance with respect to RMSE (1.9374), MAD (1.5483), MAE (1.5457), CVRMSE (42.8463), and SD (1.9373). These results highlight MFSCA’s effectiveness as a robust optimizer for both general optimization tasks and energy management applications. Full article
(This article belongs to the Special Issue Operations Research: Trends and Applications)
Show Figures

Figure 1

25 pages, 1835 KB  
Article
An Enhanced Moss Growth Optimization Algorithm with Outpost Mechanism and Early Stopping Strategy for Production Optimization in Tight Reservoirs
by Chenglong Wang, Chengqian Tan and Youyou Cheng
Biomimetics 2025, 10(10), 704; https://doi.org/10.3390/biomimetics10100704 - 17 Oct 2025
Viewed by 203
Abstract
Optimization algorithms play a crucial role in solving complex problems in reservoir geology and engineering, particularly those involving highly non-linear, multi-parameter, and high-dimensional systems. In the context of reservoir development, accurate optimization is essential for enhancing hydrocarbon recovery, improving production efficiency, and managing [...] Read more.
Optimization algorithms play a crucial role in solving complex problems in reservoir geology and engineering, particularly those involving highly non-linear, multi-parameter, and high-dimensional systems. In the context of reservoir development, accurate optimization is essential for enhancing hydrocarbon recovery, improving production efficiency, and managing subsurface uncertainties. The Moss Growth Optimization (MGO) algorithm emulates the adaptive growth and reproductive strategies of moss. It provides a robust bio-inspired framework for global optimization. However, MGO often suffers from slow convergence and difficulty in escaping local optima in highly multimodal landscapes. To address these limitations, this paper proposes a novel algorithm called Strategic Moss Growth Optimization (SMGO). SMGO integrates two enhancements: an Outpost Mechanism (OM) and an Early Stopping Strategy (ESS). The OM improves exploitation by guiding individuals through multi-stage local search with Gaussian-distributed exploration around promising regions. This helps refine the search and prevents stagnation in sub-optimal areas. In parallel, the ESS periodically reinitializes the population using a run-and-reset procedure. This diversification allows the algorithm to escape local minima and maintain population diversity. Together, these strategies enable SMGO to accelerate convergence while ensuring solution quality. Its performance is rigorously evaluated on a suite of global optimization benchmarks and compared with state-of-the-art metaheuristics. The results show that SMGO achieves superior or highly competitive outcomes, with clear improvements in accuracy and stability. To demonstrate real-world applicability, SMGO is applied to production optimization in tight reservoirs. The algorithm identifies superior production strategies, leading to significant improvements in projected economic returns. This successful application highlights the robustness and practical value of SMGO. It offers a powerful and reliable optimization tool for complex engineering problems, particularly in strategic resource management for tight reservoir development. Full article
(This article belongs to the Special Issue Advances in Biological and Bio-Inspired Algorithms)
Show Figures

Figure 1

19 pages, 4105 KB  
Essay
HIPACO: An RSSI Indoor Positioning Algorithm Based on Improved Ant Colony Optimization Algorithm
by Yiying Zhao and Baohua Jin
Algorithms 2025, 18(10), 654; https://doi.org/10.3390/a18100654 - 16 Oct 2025
Viewed by 164
Abstract
Aiming at the shortcomings of traditional ACO algorithms in indoor localization applications, a high-performance improved ant colony algorithm (HIPACO) based on dynamic hybrid pheromone strategy is proposed. The algorithm divides the ant colony into worker ants (local exploitation) and soldier ants (global exploration) [...] Read more.
Aiming at the shortcomings of traditional ACO algorithms in indoor localization applications, a high-performance improved ant colony algorithm (HIPACO) based on dynamic hybrid pheromone strategy is proposed. The algorithm divides the ant colony into worker ants (local exploitation) and soldier ants (global exploration) through a division of labor mechanism, in which the worker ants use a pheromone-weighted learning strategy for refined search, and the soldier ants perform Gaussian perturbation-guided global exploration. At the same time, an adaptive pheromone attenuation model (elite particle enhancement, ordinary particle attenuation) and a dimensional balance strategy (sinusoidal modulation function) are designed to dynamically optimize the searching process; moreover, a hybrid guidance mechanism is introduced to apply adaptive Gaussian perturbation guidance on successive failed particles to dynamically optimize the searching process. A hybrid guidance mechanism is introduced to enhance the robustness of the algorithm by applying adaptive Gaussian perturbation to successive failed particles. The experimental results show that in the 3D localization scenario with four beacon nodes, the average localization error of HIPACO is 0.82 ± 0.35 m, which is 42.3% lower than that of the traditional ACO algorithm, the convergence speed is improved by 2.1 times, and the optimal performance is maintained under different numbers of anchor nodes and spatial scales. This study provides an efficient solution to the indoor localization problem in the presence of multipath effect and non-line-of-sight propagation. Full article
Show Figures

Figure 1

17 pages, 2142 KB  
Review
Does Vitamin D Supplementation Impact Fibromyalgia-Related Pain? A Systematic Review and Meta-Analysis
by Sara Ilari, Saverio Nucera, Valentina Malafoglia, Stefania Proietti, Lucia Carmela Passacatini, Rosamaria Caminiti, Valeria Mazza, Alessia Bonaddio, Francesca Oppedisano, Jessica Maiuolo, Daniela Caccamo, Marco Tafani, Carlo Tomino, Vincenzo Mollace, William Raffaeli and Carolina Muscoli
Nutrients 2025, 17(20), 3232; https://doi.org/10.3390/nu17203232 - 15 Oct 2025
Viewed by 458
Abstract
Background: Fibromyalgia is a chronic condition characterized by widespread pain, fatigue, and localized tenderness. Its pathophysiology remains unclear, and treatment options are often limited and only partially effective. Recent studies suggest a potential link between vitamin D deficiency and symptom severity, as vitamin [...] Read more.
Background: Fibromyalgia is a chronic condition characterized by widespread pain, fatigue, and localized tenderness. Its pathophysiology remains unclear, and treatment options are often limited and only partially effective. Recent studies suggest a potential link between vitamin D deficiency and symptom severity, as vitamin D may play a role in modulating pain and inflammation. Methods: This systematic review and meta-analysis assessed the efficacy of vitamin D supplementation in reducing pain and improving quality of life in fibromyalgia patients, focusing on studies up to 31 December 2024. Following PRISMA guidelines, a literature search in PubMed, Web of Science, and Scopus identified 2776 articles; 7 were included in the systematic review and 4 studies in each meta-analysis. Results: Results showed that vitamin D supplementation significantly reduced pain levels compared to the control group, with a statistically significant effect observed using the NRS or VAS (SMD = −0.85; 95% CI: −1.54 to −0.17; p = 0.0148), as well as the FIQ scale (SMD = −0.87; 95% CI: −1.56 to −0.20; p= 0.0115), resulting in an improvement in quality of life. Conclusions: These findings suggest that vitamin D may be a valuable adjunct in fibromyalgia management, particularly for pain. However, further high-quality trials are needed to confirm these effects and identify responsive patient subgroups. Full article
(This article belongs to the Section Phytochemicals and Human Health)
Show Figures

Figure 1

20 pages, 6970 KB  
Article
Dynamic Parameter Identification Method for Space Manipulators Based on Hybrid Optimization Strategy
by Haitao Jing, Xiaolong Ma, Meng Chen and Jinbao Chen
Actuators 2025, 14(10), 497; https://doi.org/10.3390/act14100497 - 15 Oct 2025
Viewed by 225
Abstract
High-precision identification of dynamic parameters is crucial for the on-orbit performance of space manipulators. This paper investigates dynamic modeling and parameter identification under special environmental conditions such as microgravity and vacuum. First, a dynamic model of the manipulator incorporating a nonlinear friction term [...] Read more.
High-precision identification of dynamic parameters is crucial for the on-orbit performance of space manipulators. This paper investigates dynamic modeling and parameter identification under special environmental conditions such as microgravity and vacuum. First, a dynamic model of the manipulator incorporating a nonlinear friction term is established using the Newton-Euler method, and an improved Stribeck friction model is proposed to better characterize high-speed conditions and space environmental effects. On this basis, a hybrid parameter identification method combining Particle Swarm Optimization (PSO) and Levenberg–Marquardt (LM) algorithms is proposed to balance global search capability and local convergence accuracy. To enhance identification performance, Fourier series are used to design excitation trajectories, and their harmonic components are optimized to improve the condition number of the observation matrix. Experiments conducted on a ground test platform with a six-degree-of-freedom (6-DOF) manipulator show that the proposed method effectively identifies 108 dynamic parameters. The correlation coefficients between predicted and measured joint torques all exceed 0.97, with root mean square errors below 5.1 N·m, demonstrating the high accuracy and robustness of the method under limited data samples. The results provide a reliable model foundation for high-precision control of space manipulators. Full article
(This article belongs to the Special Issue Dynamics and Control of Aerospace Systems—2nd Edition)
Show Figures

Figure 1

13 pages, 666 KB  
Article
Deep-Frying Performance of Palm Olein and Sunflower Oil Variants: Antioxidant-Enriched and High-Oleic Oil as Potential Substitutes
by Tanja Lužaić, Jelena Škrbić, Gjore Nakov, Jovana Petrović and Ranko Romanić
Processes 2025, 13(10), 3285; https://doi.org/10.3390/pr13103285 - 14 Oct 2025
Viewed by 341
Abstract
Deep-fat frying remains the predominant method of food preparation; however, increasing concerns regarding health and sustainability have prompted the search for safer alternatives. Palm olein is widely used as a frying medium but its consumption has been questioned due to the presence of [...] Read more.
Deep-fat frying remains the predominant method of food preparation; however, increasing concerns regarding health and sustainability have prompted the search for safer alternatives. Palm olein is widely used as a frying medium but its consumption has been questioned due to the presence of contaminants (e.g., 3-monochloropropane-1,2-diol, 3-MCPD) and the challenges associated with its transportation from producing countries, creating a need for healthier and more sustainable alternatives. The present study aimed to assess the oxidative stability, physicochemical properties, and sensory characteristics of various oils used for deep-fat frying, with particular emphasis on identifying suitable replacements for palm olein. Five oils were evaluated: refined sunflower oil (RSO), RSO supplemented with tert-butylhydroquinone (RSO+TBHQ), RSO supplemented with rosemary extract (RSO+RE), high-oleic sunflower oil (HOSO), and palm olein (PO). Samples were evaluated before and after deep-frying of French fries, at 175 °C for 2.5 min, over a total of 12 consecutive frying cycles. The results demonstrated that palm olein and HOSO exhibited the highest oxidative stability (induction period determined by Rancimat method at 100 °C was 27 h and 26.2 h, respectively), whereas the addition of TBHQ (induction period 23.4 h) and rosemary extract (induction period 11.5 h) provided only a modest enhancement of RSO stability (induction period 9.6 h). Hierarchical cluster analysis grouped palm olein and HOSO together, confirming their similar stability, while RSOs formed a distinct cluster. These findings suggest that high-oleic sunflower oil represents the most promising, stable, and nutritionally advantageous alternative to palm olein, simultaneously supporting local production and improved dietary quality. Full article
(This article belongs to the Special Issue Advances in the Design, Analysis and Evaluation of Functional Foods)
Show Figures

Graphical abstract

15 pages, 1167 KB  
Article
Optimal Configuration of Transformer–Energy Storage Deeply Integrated System Based on Enhanced Q-Learning with Hybrid Guidance
by Zhe Li, Li You, Yiqun Kang, Daojun Tan, Xuan Cai, Haozhe Xiong and Yonghui Liu
Processes 2025, 13(10), 3267; https://doi.org/10.3390/pr13103267 - 13 Oct 2025
Viewed by 564
Abstract
This paper investigates the multi-objective siting and sizing problem of a transformer–energy storage deeply integrated system (TES-DIS) that serves as a grid-side common interest entity. This study is motivated by the critical role of energy storage systems in generation–grid–load–storage resource allocation and the [...] Read more.
This paper investigates the multi-objective siting and sizing problem of a transformer–energy storage deeply integrated system (TES-DIS) that serves as a grid-side common interest entity. This study is motivated by the critical role of energy storage systems in generation–grid–load–storage resource allocation and the superior capability of artificial intelligence algorithms in addressing multi-dimensional, multi-constrained optimization challenges. A multi-objective optimization model is first formulated with dual objectives: minimizing voltage deviation levels and comprehensive economic costs. To overcome the limitations of conventional methods in complex power systems—particularly regarding solution quality and convergence speed—an enhanced Q-learning with hybrid guidance algorithm is proposed. The improved algorithm demonstrates strengthened local search capability and accelerated late-stage convergence performance. Validation using a real-world urban power grid in China confirms the method’s effectiveness. Compared to traditional approaches, the proposed solution achieves optimal TES-DIS planning through autonomous learning, demonstrating (1) 70.73% cost reduction and (2) 89.85% faster computational efficiency. These results verify the method’s capability for intelligent, simplified power system planning with superior optimization performance. Full article
(This article belongs to the Special Issue Applications of Smart Microgrids in Renewable Energy Development)
Show Figures

Figure 1

32 pages, 5558 KB  
Article
Research on Urban UAV Path Planning Technology Based on Zaslavskii Chaotic Multi-Objective Particle Swarm Optimization
by Chaohui Lin, Hang Xu and Xueyong Chen
Symmetry 2025, 17(10), 1711; https://doi.org/10.3390/sym17101711 - 12 Oct 2025
Viewed by 394
Abstract
Research on unmanned aerial vehicle (UAV) path planning technology in urban operation scenarios faces the challenge of multi-objective collaborative optimization. Currently, mainstream path planning algorithms, including the multi-objective particle swarm optimization (MOPSO) algorithm, generally suffer from premature convergence to local optima and insufficient [...] Read more.
Research on unmanned aerial vehicle (UAV) path planning technology in urban operation scenarios faces the challenge of multi-objective collaborative optimization. Currently, mainstream path planning algorithms, including the multi-objective particle swarm optimization (MOPSO) algorithm, generally suffer from premature convergence to local optima and insufficient stability. This paper proposes a Zaslavskii chaotic multi-objective particle swarm optimization (ZAMOPSO) algorithm to address these issues. First, three-dimensional urban environment models with asymmetric layouts, symmetric layouts, and no-fly zones were constructed, and a multi-objective model was established with path length, flight altitude variation, and safety margin as optimization objectives. Second, the Zaslavskii chaotic sequence perturbation mechanism is introduced to improve the algorithm’s global search capability, convergence speed, and solution diversity. Third, nonlinear decreasing inertia weights and asymmetric learning factors are employed to balance global and local search abilities, preventing the algorithm from being trapped in local optima. Additionally, a guidance particle selection strategy based on congestion distance is introduced to enhance the diversity of the solution set. Experimental results demonstrate that ZAMOPSO significantly outperforms other multi-objective optimization algorithms in terms of convergence, diversity, and stability, generating Pareto solution sets with broader coverage and more uniform distribution. Finally, ablation experiments verified the effectiveness of the proposed algorithmic mechanisms. This study provides a promising solution for urban UAV path planning problems, while also providing theoretical support for the application of swarm intelligence algorithms in complex environments. Full article
(This article belongs to the Section Computer)
Show Figures

Figure 1

Back to TopTop