Does Vitamin D Supplementation Impact Fibromyalgia-Related Pain? A Systematic Review and Meta-Analysis
Abstract
1. Introduction
2. Materials and Methods
2.1. Database Sources
2.2. Study Selection
2.3. Data Extraction and Quality Assessment
2.4. Statistical Analysis
3. Results
3.1. Data Collection
3.2. Characteristics of the Studies Included
| Study/Year | Sex | Age Mean | Number of Patients | Vitamin D Dosage | Duration of Treatment | Assessment Tool | Results |
|---|---|---|---|---|---|---|---|
| Scaturro et al., 2022 [9] | 56 F, 4 M | Age (years): 58.3 ± 4.8 | 60 | 25,000 IU | 24 weeks | NRS and FIQ | Improvement of NRS and vitamin D levels at both T1 and T2, improvement in FIQ at T1, but no major differences emerged at T2. |
| Scaturro et al., 2022 [9] | 18 F, 2 M; | Age (years): 41.2 ± 6.1 | 20 | 25,000 IU | 24 weeks | NRS and FIQ | Improvement in musculoskeletal pain and long-term quality of life also emerged. |
| Lozano-Plata et al., 2021 [44] | F | Age (years): 50.3 ± 11.9 | 40 | 50,000 IU | 12 weeks | VAS and FIQ | No significant differences emerged in the FIQ score between the various vitamin D subgroups. |
| Mirzaei et al., 2018 [47] | F | Age (years) 42.1 ± 10.8 | 37 | 50,000 IU | 8 weeks | FIQ | Improvement in the FIQ score in patientrs with vitamin D supplementation |
| Dogru et al., 2017 [48] | F | Age (years) 38.7 ± 5.2 | 42 | 50,000 IU | 12 weeks | VAS and FIQ | Improvement of pain and FIQ score in patients wirn vitamin D supplementation |
| Yilmaz et al., 2016 [46] | 52 F, 6 M | Age (years) 36.9 ± 9.2 | 58 | 50,000 IU | 12 weeks | VAS | Improvement of pain in patients wirn vitamin D supplementation |
| Wepner et al., 2014 [45] | 27 F, 3 M | Age (years) 49.1 ± 5.7 | 15 | 2400 IU | 49 weeks | VAS and FIQ | Improvement of pain and FIQ score in patients wirn vitamin D supplementation |
3.3. Meta-Analysis
3.4. Meta-Analysis and NRS/VAS
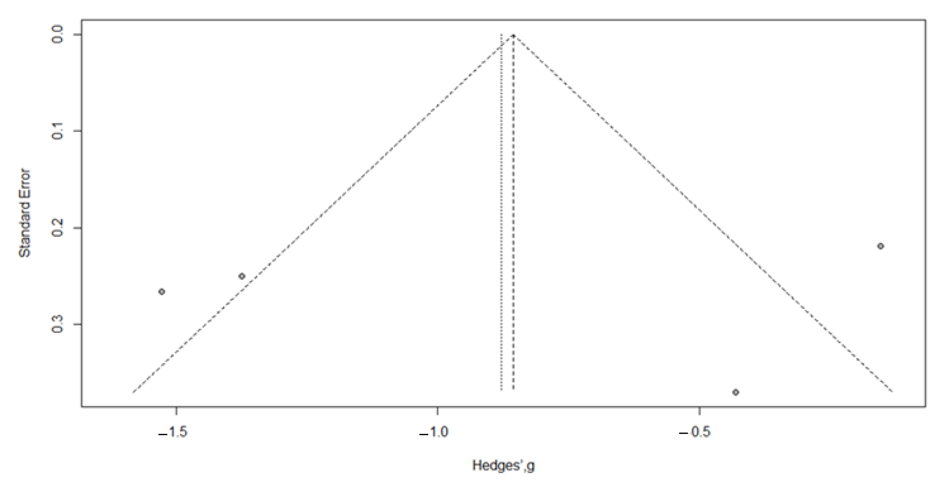
3.4.1. Sensitivity Analyses in NRS/VAS Test
3.4.2. Multivariate Meta-Regression Analysis in NRS Test
3.5. Meta-Analysis and FIQ Scale
3.5.1. Sensitivity Analyses in FIQ Test
3.5.2. Multivariate Meta-Regression Analysis in FIQ Test
4. Discussion
Limitations
5. Conclusions
Author Contributions
Funding
Institutional Review Board Statement
Informed Consent Statement
Data Availability Statement
Acknowledgments
Conflicts of Interest
References
- Jiao, J.; Cheng, Z.; Wang, W.; Zhao, Y.; Jiang, Q. Demographic Characteristics and Clinical Features of Fibromyalgia in China: A Cross-Sectional Study. Rheumatol. Ther. 2021, 8, 817–831. [Google Scholar] [CrossRef] [PubMed]
- Ruschak, I.; Montesó-Curto, P.; Rosselló, L.; Aguilar Martín, C.; Sánchez-Montesó, L.; Toussaint, L. Fibromyalgia Syndrome Pain in Men and Women: A Scoping Review. Healthcare 2023, 11, 223. [Google Scholar] [CrossRef] [PubMed]
- Ilari, S.; Passacatini, L.C.; Malafoglia, V.; Oppedisano, F.; Maiuolo, J.; Gliozzi, M.; Palma, E.; Tomino, C.; Fini, M.; Raffaeli, W.; et al. Tantali Fibromyalgic Supplicium: Is There Any Relief with the Antidepressant Employment? A Systematic Review. Pharmacol. Res. 2022, 186, 106547. [Google Scholar] [CrossRef] [PubMed]
- Tenti, M.; Raffaeli, W.; Malafoglia, V.; Paroli, M.; Ilari, S.; Muscoli, C.; Fraccaroli, E.; Bongiovanni, S.; Gioia, C.; Iannuccelli, C.; et al. Common-Sense Model of Self-Regulation to Cluster Fibromyalgia Patients: Results from a Cross-Sectional Study in Italy. Clin. Exp. Rheumatol. 2022, 40, 1175–1182. [Google Scholar] [CrossRef]
- Garofalo, C.; Cristiani, C.M.; Ilari, S.; Passacatini, L.C.; Malafoglia, V.; Viglietto, G.; Maiuolo, J.; Oppedisano, F.; Palma, E.; Tomino, C.; et al. Fibromyalgia and Irritable Bowel Syndrome Interaction: A Possible Role for Gut Microbiota and Gut-Brain Axis. Biomedicines 2023, 11, 1701. [Google Scholar] [CrossRef]
- Raffaeli, W.; Malafoglia, V.; Bonci, A.; Tenti, M.; Ilari, S.; Gremigni, P.; Iannuccelli, C.; Gioia, C.; Di Franco, M.; Mollace, V.; et al. Identification of MOR-Positive B Cell as Possible Innovative Biomarker (Mu Lympho-Marker) for Chronic Pain Diagnosis in Patients with Fibromyalgia and Osteoarthritis Diseases. Int. J. Mol. Sci. 2020, 21, 1499. [Google Scholar] [CrossRef]
- Malafoglia, V.; Ilari, S.; Gioia, C.; Vitiello, L.; Tenti, M.; Iannuccelli, C.; Cristiani, C.M.; Garofalo, C.; Passacatini, L.C.; Viglietto, G.; et al. An Observational Study on Chronic Pain Biomarkers in Fibromyalgia and Osteoarthritis Patients: Which Role for Mu Opioid Receptor’s Expression on NK Cells? Biomedicines 2023, 11, 931. [Google Scholar] [CrossRef]
- Malafoglia, V.; Raffaeli, W.; Ilari, S.; Gioia, C.; Iannuccelli, C.; Tenti, M.; Vitiello, L.; Proietti, S.; Lupacchini, L.; Passacatini, L.C.; et al. Mu-Opioid Receptor Expression on B Cells as a Potential Biomarker for Chronic Pain: A Follow-up Study with Patients with Fibromyalgia. Pain Rep. 2025, 10, e1283. [Google Scholar] [CrossRef]
- Scaturro, D.; Vitagliani, F.; Tomasello, S.; Filippetti, M.; Picelli, A.; Smania, N.; Letizia Mauro, G. Can the Combination of Rehabilitation and Vitamin D Supplementation Improve Fibromyalgia Symptoms at All Ages? J. Funct. Morphol. Kinesiol. 2022, 7, 51. [Google Scholar] [CrossRef]
- Antonelli, A.; Bianchi, M.; Fear, E.J.; Giorgi, L.; Rossi, L. Management of Fibromyalgia: Novel Nutraceutical Therapies beyond Traditional Pharmaceuticals. Nutrients 2025, 17, 530. [Google Scholar] [CrossRef]
- Ilari, S.; Nucera, S.; Passacatini, L.C.; Caminiti, R.; Mazza, V.; Macrì, R.; Serra, M.; Scarano, F.; Malafoglia, V.; Palma, E.; et al. SIRT1: A Likely Key for Future Therapeutic Strategies for Pain Management. Pharmacol. Res. 2025, 213, 107670. [Google Scholar] [CrossRef]
- Maugars, Y.; Berthelot, J.M.; Le Goff, B.; Darrieutort-Laffite, C. Fibromyalgia and Associated Disorders: From Pain to Chronic Suffering, From Subjective Hypersensitivity to Hypersensitivity Syndrome. Front. Med. 2021, 8, 666914. [Google Scholar] [CrossRef]
- Kang, J.-H.; Choi, S.-E.; Xu, H.; Park, D.-J.; Lee, J.-K.; Lee, S.-S. Comparison of the AAPT Fibromyalgia Diagnostic Criteria and Modified FAS Criteria with Existing ACR Criteria for Fibromyalgia in Korean Patients. Rheumatol. Ther. 2021, 8, 1003–1014. [Google Scholar] [CrossRef] [PubMed]
- Weiss, J.E.; Kashikar-Zuck, S. Juvenile Fibromyalgia. Rheum. Dis. Clin. N. Am. 2021, 47, 725–736. [Google Scholar] [CrossRef] [PubMed]
- Cojocaru, C.M.; Popa, C.O.; Schenk, A.; Suciu, B.A.; Szasz, S. Cognitive-Behavioral Therapy and Acceptance and Commitment Therapy for Anxiety and Depression in Patients with Fibromyalgia: A Systematic Review and Meta-Analysis. Med. Pharm. Rep. 2024, 97, 26–34. [Google Scholar] [CrossRef] [PubMed]
- Kairys, A.E.; Valentine, T.R.; Whibley, D.; Kratz, A.L. Mind the Mood: Momentary Depression and Anxiety Moderate the Correspondence between Subjective and Objective Cognitive Functioning in Fibromyalgia. Arthritis Care Res. 2023, 75, 1967–1975. [Google Scholar] [CrossRef]
- Lombardo, M.; Feraco, A.; Ottaviani, M.; Rizzo, G.; Camajani, E.; Caprio, M.; Armani, A. The Efficacy of Vitamin D Supplementation in the Treatment of Fibromyalgia Syndrome and Chronic Musculoskeletal Pain. Nutrients 2022, 14, 3010. [Google Scholar] [CrossRef]
- Ismail, O.; Albdour, K.; Albdour, Z.; Jaber, K. Differences in Ferritin, Vitamin D, and Vitamin B12 Between Fibromyalgia Patients and Healthy Individuals: A Systematic Review and Meta-Analysis. Musculoskelet. Care 2025, 23, e70057. [Google Scholar] [CrossRef]
- Saija, C.; Bertuccio, M.P.; Scoglio, A.; Macaione, V.; Cacciola, F.; Micalizzi, G.; Caccamo, D.; Muscoli, C.; Currò, M. Role of Vitamin D Status and Alterations in Gut Microbiota Metabolism in Fibromyalgia-Associated Chronic Inflammatory Pain. Biomedicines 2025, 13, 139. [Google Scholar] [CrossRef]
- Berretta, M.; Quagliariello, V.; Bignucolo, A.; Facchini, S.; Maurea, N.; Di Francia, R.; Fiorica, F.; Sharifi, S.; Bressan, S.; Richter, S.N.; et al. The Multiple Effects of Vitamin D against Chronic Diseases: From Reduction of Lipid Peroxidation to Updated Evidence from Clinical Studies. Antioxidants 2022, 11, 1090. [Google Scholar] [CrossRef]
- Pagliai, G.; Giangrandi, I.; Dinu, M.; Sofi, F.; Colombini, B. Nutritional interventions in the management of fibromyalgia syndrome. Nutrients 2020, 12, 2525. [Google Scholar] [CrossRef] [PubMed]
- Mishra, G.; Singh, P.; Molla, M.; Shumet Yimer, Y.; Ewunetie, A.; Tadesse, T.Y.; Ayele, T.M.; Kefale, B. Nutraceuticals: A Source of Benefaction for Neuropathic Pain and Fibromyalgia. J. Funct. Foods 2022, 97, 105260. [Google Scholar] [CrossRef]
- Voltan, G.; Cannito, M.; Ferrarese, M.; Ceccato, F.; Camozzi, V. Vitamin D: An Overview of Gene Regulation, Ranging from Metabolism to Genomic Effects. Genes 2023, 14, 1691. [Google Scholar] [CrossRef]
- Habib, A.M.; Nagi, K.; Thillaiappan, N.B.; Sukumaran, V.; Akhtar, S. Vitamin D and Its Potential Interplay With Pain Signaling Pathways. Front. Immunol. 2020, 11, 820. [Google Scholar] [CrossRef]
- Rahman, A.; Waterhouse, M.; Baxter, C.; Romero, B.D.; McLeod, D.S.A.; Armstrong, B.K.; Ebeling, P.R.; English, D.R.; Hartel, G.; Kimlin, M.G.; et al. The Effect of Vitamin D Supplementation on Pain: An Analysis of Data from the D-Health Randomised Controlled Trial. Br. J. Nutr. 2023, 130, 633–640. [Google Scholar] [CrossRef]
- Bollen, S.E.; Bass, J.J.; Wilkinson, D.J.; Hewison, M.; Atherton, P.J. The Impact of Genetic Variation within the Vitamin D Pathway upon Skeletal Muscle Function: A Systematic Review. J. Steroid Biochem. Mol. Biol. 2023, 229, 106266. [Google Scholar] [CrossRef]
- Aktunç, E.; Özdolap Çoban, Ş.; Köksal, T.; Sarikaya, S. Evaluation of Vitamin D Levels in Fibromyalgia Patients and the Relation to Functional Status. Batı Karadeniz Tıp Derg. 2022, 6, 317–322. [Google Scholar] [CrossRef]
- Ghasemi Moghaddam, H.; Gholami, N.; Esfahani, A.; Ghoreishi, Z.; Khalaji, A. Serum Vitamin D Levels and Their Correlation with Pro-Inflammatory Prostaglandins in Acute Myeloid Leukemia: A Cross-Sectional Analysis. Sci. Rep. 2024, 14, 32069. [Google Scholar] [CrossRef]
- Currò, M.; Ferlazzo, N.; Costanzo, M.G.; Caccamo, D.; Ientile, R. Vitamin D Status Influences Transcriptional Levels of RANKL and Inflammatory Biomarkers Which Are Associated with Activation of PBMC. Clin. Chim. Acta 2020, 507, 219–223. [Google Scholar] [CrossRef]
- Ghaseminejad-Raeini, A.; Ghaderi, A.; Sharafi, A.; Nematollahi-Sani, B.; Moossavi, M.; Derakhshani, A.; Sarab, G.A. Immunomodulatory Actions of Vitamin D in Various Immune-Related Disorders: A Comprehensive Review. Front. Immunol. 2023, 14, 950465. [Google Scholar] [CrossRef] [PubMed]
- Maghami, S.; Ranjbar, S.; Nezafat, N.; Ghamar Talepoor, A.; Eshkevar Vakili, M.; Morowvat, M.H.; Kalantar, K.; Mohammadi Bardbori, A. Interplay of Vitamin D and Aryl Hydrocarbon Receptors in CD4+ T Cell Fate Determination. J. Biochem. Mol. Toxicol. 2025, 39, e70360. [Google Scholar] [CrossRef]
- Khassafi, N.; Zahraei, Z.; Vahidinia, Z.; Karimian, M.; Azami Tameh, A. Calcitriol Pretreatment Attenuates Glutamate Neurotoxicity by Regulating NMDAR and CYP46A1 Gene Expression in Rats Subjected to Transient Middle Cerebral Artery Occlusion. J. Neuropathol. Exp. Neurol. 2022, 81, 252–259. [Google Scholar] [CrossRef]
- Xiong, A.; Li, H.; Lin, M.; Xu, F.; Xia, X.; Dai, D.; Sun, R.; Ling, Y.; Qiu, L.; Wang, R.; et al. Effects of Active Vitamin D Analogues on Muscle Strength and Falls in Elderly People: An Updated Meta-Analysis. Front. Endocrinol. 2024, 15, 1327623. [Google Scholar] [CrossRef]
- Haddad, H.W.; Jumonville, A.C.; Stark, K.J.; Temple, S.N.; Dike, C.C.; Cornett, E.M.; Kaye, A.D. The Role of Vitamin D in the Management of Chronic Pain in Fibromyalgia: A Narrative Review. Health Psychol. Res. 2021, 9, 25208. [Google Scholar] [CrossRef] [PubMed]
- Sall Hansson, K.; Lindqvist, G.; Stening, K.; Fohlman, J.; Wojanowski, A.; Ponten, M.; Jensen, K.; Gerdle, B.; Elmqvist, C. Efficacy of Mecobalamin (Vitamin B12) in the Treatment of Long-Term Pain in Women Diagnosed with Fibromyalgia: Protocol for a Randomised, Placebo-Controlled Trial. BMJ Open 2023, 13, e066987. [Google Scholar] [CrossRef] [PubMed]
- Kosek, E.; Cohen, M.; Baron, R.; Gebhart, G.F.; Mico, J.-A.; Rice, A.S.C.; Rief, W.; Sluka, A.K. Do We Need a Third Mechanistic Descriptor for Chronic Pain States? Pain 2016, 157, 1382–1386. [Google Scholar] [CrossRef] [PubMed]
- Moher, D.; Liberati, A.; Tetzlaff, J.; Altman, D.G.; PRISMA Group. Preferred Reporting Items for Systematic Reviews and Meta-Analyses: The PRISMA Statement. Open Med. 2009, 3, e123–e130. [Google Scholar]
- Ammirato, S.; Felicetti, A.M.; Rogano, D.; Linzalone, R.; Corvello, V. Digitalising the Systematic Literature Review Process: The MySLR Platform. Knowl. Manag. Res. Pract. 2023, 21, 777–794. [Google Scholar] [CrossRef]
- Saraceno, G.F.; Abrego-Guandique, D.M.; Cannataro, R.; Caroleo, M.C.; Cione, E. Machine Learning Approach to Identify Case-Control Studies on ApoE Gene Mutations Linked to Alzheimer’s Disease in Italy. BioMedInformatics 2024, 4, 600–622. [Google Scholar] [CrossRef]
- Abrego-Guandique, D.M.; Ilari, S.; Nucera, S.; Passacatini, L.C.; Cione, E.; Cannataro, R.; Gallelli, L.; Caroleo, M.C.; Mollace, V.; Muscoli, C. Vitamin D in the Transition from Acute to Chronic Pain: A Systematic Review. Nutrients 2025, 17, 1912. [Google Scholar] [CrossRef]
- Higgins, J.P.T.; Thompson, S.G.; Deeks, J.J.; Altman, D.G. Measuring Inconsistency in Meta-Analyses. BMJ 2003, 327, 557–560. [Google Scholar] [CrossRef]
- Schwarzer, G.; Carpenter, J.R.; Rücker, G. Meta-Analysis with R; Use R! Springer International Publishing: Cham, Switzerland, 2015; ISBN 978-3-319-21415-3. [Google Scholar]
- Williams, D.A.; Arnold, L.M. Measures of Fibromyalgia: Fibromyalgia Impact Questionnaire (FIQ), Brief Pain Inventory (BPI), Multidimensional Fatigue Inventory (MFI-20), Medical Outcomes Study (MOS) Sleep Scale, and Multiple Ability Self-Report Questionnaire (MASQ). Arthritis Care Res. 2011, 63 (Suppl. S11), S86–S97. [Google Scholar] [CrossRef] [PubMed]
- Lozano-Plata, L.I.; Vega-Morales, D.; Esquivel-Valerio, J.A.; Garza-Elizondo, M.A.; Galarza-Delgado, D.A.; Silva-Luna, K.; Serna-Peña, G.; Sifuentes-Ramírez, J.; Garza-Guerra, A.d.J.; Díaz-Niño de Rivera, R. Efficacy and Safety of Weekly Vitamin D3 in Patients with Fibromyalgia: 12-Week, Double-Blind, Randomized, Controlled Placebo Trial. Clin. Rheumatol. 2021, 40, 3257–3264. [Google Scholar] [CrossRef] [PubMed]
- Wepner, F.; Scheuer, R.; Schuetz-Wieser, B.; Machacek, P.; Pieler-Bruha, E.; Cross, H.S.; Hahne, J.; Friedrich, M. Effects of Vitamin D on Patients with Fibromyalgia Syndrome: A Randomized Placebo-Controlled Trial. Pain 2014, 155, 261–268. [Google Scholar] [CrossRef] [PubMed]
- Yilmaz, R.; Salli, A.; Cingoz, H.T.; Kucuksen, S.; Ugurlu, H. Efficacy of Vitamin D Replacement Therapy on Patients with Chronic Nonspecific Widespread Musculoskeletal Pain with Vitamin D Deficiency. Int. J. Rheum. Dis. 2016, 19, 1255–1262. [Google Scholar] [CrossRef]
- Mirzaei, A.; Zabihiyeganeh, M.; Jahed, S.A.; Khiabani, E.; Nojomi, M.; Ghaffari, S. Effects of Vitamin D Optimization on Quality of Life of Patients with Fibromyalgia: A Randomized Controlled Trial. Med. J. Islam. Repub. Iran 2018, 32, 29. [Google Scholar] [CrossRef]
- Dogru, A.; Balkarli, A.; Cobankara, V.; Tunc, S.E.; Sahin, M. Effects of Vitamin D Therapy on Quality of Life in Patients with Fibromyalgia. Eurasian J. Med. 2017, 49, 113–117. [Google Scholar] [CrossRef]
- Siracusa, R.; Paola, R.D.; Cuzzocrea, S.; Impellizzeri, D. Fibromyalgia: Pathogenesis, Mechanisms, Diagnosis and Treatment Options Update. Int. J. Mol. Sci. 2021, 22, 3891. [Google Scholar] [CrossRef]
- Furness, P.J.; Vogt, K.; Ashe, S.; Taylor, S.; Haywood-Small, S.; Lawson, K. What Causes Fibromyalgia? An Online Survey of Patient Perspectives. Health Psychol. Open 2018, 5, 2055102918802683. [Google Scholar] [CrossRef]
- Vincent, A.; Lahr, B.D.; Wolfe, F.; Clauw, D.J.; Whipple, M.O.; Oh, T.H.; Barton, D.L.; St Sauver, J. Prevalence of Fibromyalgia: A Population-Based Study in Olmsted County, Minnesota, Utilizing the Rochester Epidemiology Project. Arthritis Care Res. 2013, 65, 786–792. [Google Scholar] [CrossRef]
- Kocyigit, B.F.; Akyol, A. Fibromyalgia Syndrome: Epidemiology, Diagnosis and Treatment. Reumatologia 2022, 60, 413–421. [Google Scholar] [CrossRef]
- Brill, S.; Ablin, J.N.; Goor-Aryeh, I.; Hyat, K.; Slefer, A.; Buskila, D.; Tel Aviv-Sourasky Medical Center. Prevalence of Fibromyalgia Syndrome in Patients Referred to a Tertiary Pain Clinic. J. Investig. Med. 2012, 60, 685–688. [Google Scholar] [CrossRef]
- Coles, M.L.; Weissmann, R.; Uziel, Y. Juvenile Primary Fibromyalgia Syndrome: Epidemiology, Etiology, Pathogenesis, Clinical Manifestations and Diagnosis. Pediatr. Rheumatol. Online J. 2021, 19, 22. [Google Scholar] [CrossRef]
- Eraso, R.M.; Bradford, N.J.; Fontenot, C.N.; Espinoza, L.R.; Gedalia, A. Fibromyalgia Syndrome in Young Children: Onset at Age 10 Years and Younger. Clin. Exp. Rheumatol. 2007, 25, 639–644. [Google Scholar] [PubMed]
- Williams, D.A.; Clauw, D.J. Understanding Fibromyalgia: Lessons from the Broader Pain Research Community. J. Pain 2009, 10, 777–791. [Google Scholar] [CrossRef] [PubMed]
- Devigili, G.; Di Stefano, G.; Donadio, V.; Frattale, I.; Grazzi, L.; Mantovani, E.; Nolano, M.; Provitera, V.; Quitadamo, S.G.; Tamburin, S.; et al. Therapeutic Approach to Fibromyalgia: A Consensus Statement on Pharmacological and Non-Pharmacological Treatment from the Neuropathic Pain Special Interest Group of the Italian Neurological Society. Neurol. Sci. 2025, 46, 2263–2288. [Google Scholar] [CrossRef] [PubMed]
- Alonso-Pérez, J.L.; Martínez-Pérez, I.; Romero-Morales, C.; Abuín-Porras, V.; López-Bueno, R.; Rossettini, G.; Leigheb, M.; Villafañe, J.H. Relationship Between Serum Vitamin D Levels and Chronic Musculoskeletal Pain in Adults: A Systematic Review. Nutrients 2024, 16, 4061. [Google Scholar] [CrossRef]
- Erkilic, B.; Dalgic, G.S. The Preventive Role of Vitamin D in the Prevention and Management of Fibromyalgia Syndrome. Nutr. Health 2023, 29, 223–229. [Google Scholar] [CrossRef]
- Parvez, S.; Fatima, G.; Mehdi, F.; Hadi, N.R.; Fedacko, J. Relationship Between Vitamin D Receptor Gene BsmI Polymorphism and Fibromyalgia Syndrome. Cureus 2022, 14, e27113. [Google Scholar] [CrossRef]









| CRITERION | INCLUSION | EXCLUSION |
|---|---|---|
| Population | Human participants with a diagnosis of FMS | Participants with chronic widespread pain (CWP) without a specific FMs diagnosis; animal or in vitro studies |
| Intervention | Vitamin D supplementation | Interventions without vitamin D; vitamin D is not part of the treatment |
| Comparison | Placebo; no treatment; people before treatment | No comparator |
| Outcome | Clinical outcomes for FMS (pain, quality of life) | Incomplete studies |
| Study Design | Interventional studies | Incomplete studies; abstracts, editorials, book chapters |
| Language | Articles published in English | Articles not published in English |
Disclaimer/Publisher’s Note: The statements, opinions and data contained in all publications are solely those of the individual author(s) and contributor(s) and not of MDPI and/or the editor(s). MDPI and/or the editor(s) disclaim responsibility for any injury to people or property resulting from any ideas, methods, instructions or products referred to in the content. |
© 2025 by the authors. Licensee MDPI, Basel, Switzerland. This article is an open access article distributed under the terms and conditions of the Creative Commons Attribution (CC BY) license (https://creativecommons.org/licenses/by/4.0/).
Share and Cite
Ilari, S.; Nucera, S.; Malafoglia, V.; Proietti, S.; Passacatini, L.C.; Caminiti, R.; Mazza, V.; Bonaddio, A.; Oppedisano, F.; Maiuolo, J.; et al. Does Vitamin D Supplementation Impact Fibromyalgia-Related Pain? A Systematic Review and Meta-Analysis. Nutrients 2025, 17, 3232. https://doi.org/10.3390/nu17203232
Ilari S, Nucera S, Malafoglia V, Proietti S, Passacatini LC, Caminiti R, Mazza V, Bonaddio A, Oppedisano F, Maiuolo J, et al. Does Vitamin D Supplementation Impact Fibromyalgia-Related Pain? A Systematic Review and Meta-Analysis. Nutrients. 2025; 17(20):3232. https://doi.org/10.3390/nu17203232
Chicago/Turabian StyleIlari, Sara, Saverio Nucera, Valentina Malafoglia, Stefania Proietti, Lucia Carmela Passacatini, Rosamaria Caminiti, Valeria Mazza, Alessia Bonaddio, Francesca Oppedisano, Jessica Maiuolo, and et al. 2025. "Does Vitamin D Supplementation Impact Fibromyalgia-Related Pain? A Systematic Review and Meta-Analysis" Nutrients 17, no. 20: 3232. https://doi.org/10.3390/nu17203232
APA StyleIlari, S., Nucera, S., Malafoglia, V., Proietti, S., Passacatini, L. C., Caminiti, R., Mazza, V., Bonaddio, A., Oppedisano, F., Maiuolo, J., Caccamo, D., Tafani, M., Tomino, C., Mollace, V., Raffaeli, W., & Muscoli, C. (2025). Does Vitamin D Supplementation Impact Fibromyalgia-Related Pain? A Systematic Review and Meta-Analysis. Nutrients, 17(20), 3232. https://doi.org/10.3390/nu17203232

