Sign in to use this feature.

Years

Between: -

Subjects

remove_circle_outline
remove_circle_outline
remove_circle_outline
remove_circle_outline
remove_circle_outline
remove_circle_outline
remove_circle_outline
remove_circle_outline
remove_circle_outline

Journals

Article Types

Countries / Regions

Search Results (17)

Search Parameters:
Keywords = idle thrust

Order results
Result details
Results per page
Select all
Export citation of selected articles as:
27 pages, 1868 KB  
Article
Performance and Emissions of Camelina Biodiesel–Jet A Blends in a Micro-Gas Turbine as a Sustainable Pathway for Aviation
by Cornel Dinu, Grigore Cican, Sibel Osman and Rares Secareanu
Fire 2025, 8(11), 442; https://doi.org/10.3390/fire8110442 - 13 Nov 2025
Viewed by 717
Abstract
This study investigates the performance, emissions, and physicochemical characteristics of a small-scale gas turbine fueled with Jet A and camelina biodiesel blends (B10, B20, and B30). The blends were characterized by slightly higher density (up to +3%), viscosity (+12–18%), and lower heating value [...] Read more.
This study investigates the performance, emissions, and physicochemical characteristics of a small-scale gas turbine fueled with Jet A and camelina biodiesel blends (B10, B20, and B30). The blends were characterized by slightly higher density (up to +3%), viscosity (+12–18%), and lower heating value (−7–9%) compared to Jet A. These fuel properties influenced the combustion behavior and overall turbine response. Experimental results showed that exhaust gas temperature decreased by 40–60 °C and specific fuel consumption (SFC) increased by 5–8% at idle, while thrust variation remained below 2% across all operating regimes. Fuel flow was reduced by 4–9% depending on the blend ratio, confirming efficient atomization despite the higher viscosity. Emission measurements indicated a 20–30% reduction in SO2 and a 10–35% increase in CO at low load, mainly due to the sulfur-free composition and lower combustion temperature of biodiesel. Transient response analysis revealed that biodiesel blends mitigated overshoot and undershoot amplitudes during load changes, improving combustion stability. Overall, the results demonstrate that camelina biodiesel–Jet A blends up to 30% ensure stable turbine operation with quantifiable environmental benefits and minimal performance penalties, confirming their suitability as sustainable aviation fuels (SAFs). Full article
(This article belongs to the Special Issue Low Carbon Fuel Combustion and Pollutant Control)
Show Figures

Figure 1

18 pages, 3062 KB  
Article
AMT Microjets Data Overall Evaluation Ratio at Different Operating Regimes
by Răzvan Marius Catană and Grigore Cican
Processes 2025, 13(10), 3200; https://doi.org/10.3390/pr13103200 - 8 Oct 2025
Viewed by 1058
Abstract
The paper presents a comprehensive evaluation of certain main parameters and the performance of microjet series models from the same engine manufacturer, AMT Netherlands, under various operating regimes. The study was performed through a percentage-based analysis of a series of actual values extracted [...] Read more.
The paper presents a comprehensive evaluation of certain main parameters and the performance of microjet series models from the same engine manufacturer, AMT Netherlands, under various operating regimes. The study was performed through a percentage-based analysis of a series of actual values extracted from a set of charts, from which a specific database was created. The database comprised data sourced from official specification sheets issued by the manufacturer. The studied engines shared the same technical turbomachinery design, comprising a single shaft, one centrifugal compressor rotor, one axial turbine rotor stage, and a convergent jet nozzle, but differed in thrust class, ranging from 167 to 1569 N. Parameter and performance ratios were calculated to analyze the variation patterns within each engine and across different engines. The study refers to the variation analysis of thrust, fuel flow, exhaust gas temperature, and specific fuel consumption relative to engine speed, from idle to maximum regime. It presents the actual percentage values alongside polynomial functions that characterize the variations in engine parameters through which the analysis can be conducted. Full article
(This article belongs to the Special Issue Fluid Dynamics and Thermodynamic Studies in Gas Turbine)
Show Figures

Figure 1

30 pages, 19158 KB  
Article
Enhanced Performance and Reduced Emissions in Aviation Microturboengines Using Biodiesel Blends and Ejector Integration
by Constantin Leventiu, Grigore Cican, Laurentiu-Lucian Cristea, Sibel Osman, Alina Bogoi, Daniel-Eugeniu Crunteanu and Andrei Vlad Cojocea
Technologies 2025, 13(9), 388; https://doi.org/10.3390/technologies13090388 - 1 Sep 2025
Viewed by 726
Abstract
This study examines the impact of using eco-friendly biodiesel blends with Jet A fuel in aviation microturbine engines, both with and without an ejector. Three biodiesel concentrations (10%, 20%, and 30%) were evaluated under three different operating conditions. Key performance indicators, including combustion [...] Read more.
This study examines the impact of using eco-friendly biodiesel blends with Jet A fuel in aviation microturbine engines, both with and without an ejector. Three biodiesel concentrations (10%, 20%, and 30%) were evaluated under three different operating conditions. Key performance indicators, including combustion temperature, fuel consumption, propulsive force, specific fuel consumption, and emissions, were analyzed. Results indicate that fuel consumption increases with higher biodiesel content, reaching a peak rise of 3.05% at idle for a 30% biodiesel blend. However, the ejector helps offset this increase, reducing fuel consumption by 3.82% for Jet A. A similar trend is observed for specific fuel consumption (SFC), which decreases by up to 19.67% when using Jet A with the ejector at idle. The addition of an ejector significantly enhances propulsive force, achieving improvements of up to 36.91% for a 30% biodiesel blend at idle. At higher operating regimes, biodiesel alone slightly reduces thrust, but the ejector effectively compensates for these losses. Emission analysis reveals that using biodiesel leads to a cleaner combustion process, significantly reducing CO and SO2 emissions. The ejector further enhances this effect by improving airflow and combustion efficiency. Additionally, noise measurements conducted using five microphones demonstrate that the ejector contributes to noise reduction. Overall, this study concludes that integrating an ejector with sustainable biodiesel blends not only enhances engine performance but also significantly reduces the environmental footprint of aviation microturbine engines. Full article
(This article belongs to the Special Issue Aviation Science and Technology Applications)
Show Figures

Figure 1

22 pages, 6274 KB  
Article
Performance and Emissions Assessment of a Micro-Turbojet Engine Fueled with Jet A and Blends of Propanol, Butanol, Pentanol, Hexanol, Heptanol, and Octanol
by Grigore Cican, Valentin Silivestru, Radu Mirea, Sibel Osman, Florin Popescu, Olga Valerica Sapunaru and Razvan Ene
Fire 2025, 8(4), 150; https://doi.org/10.3390/fire8040150 - 8 Apr 2025
Cited by 4 | Viewed by 1568
Abstract
This study examines the impact of alcohol blends on the performance and emissions of aviation micro-turbojet engines. Thus, propanol, butanol, pentanol, hexanol, heptanol, and octanol were tested at 10%, 20%, and 30% concentrations and mixed with Jet A, as well as with an [...] Read more.
This study examines the impact of alcohol blends on the performance and emissions of aviation micro-turbojet engines. Thus, propanol, butanol, pentanol, hexanol, heptanol, and octanol were tested at 10%, 20%, and 30% concentrations and mixed with Jet A, as well as with an additional 5% heptanol blend to preserve base fuel properties, to fuel a JetCat P80 micro-turbojet. Physicochemical properties such as density, viscosity, and elemental composition were analyzed before engine testing. Carbon dioxide (CO2) emissions from 1 kg of fuel combustion varied, with propanol yielding the lowest at 3.02 kg CO2 per kg of fuel and octanol yielding the highest at 3.22 kg CO2 per kg of fuel. The following results were obtained: alcohol blends lowered exhaust gas temperature by up to 7.5% at idle and intermediate thrust but slightly increased it at maximum power; fuel mass flow increased with alcohol concentration, peaking at 20.4% above Jet A for 30% propanol; and thrust varied from −4.92% to +7.4%. While specific fuel consumption increased by up to 12.8% for propanol, thermal efficiency declined by 1.8–5.6% and combustion efficiency remained within ±2% of Jet A. Butanol and octanol emerged as viable alternatives, balancing emissions reduction and efficiency. The results emphasize the need for an optimal trade-off between environmental impact and engine performance. Full article
Show Figures

Figure 1

21 pages, 9921 KB  
Article
Test Stand for Microjet Engine Prototypes
by Cornel Mihai Tărăbîc, Grigore Cican, Cristian Olariu, Gabriel Dediu and Răzvan Marius Catană
Machines 2024, 12(10), 688; https://doi.org/10.3390/machines12100688 - 30 Sep 2024
Cited by 2 | Viewed by 2292
Abstract
To investigate the functionality and performance of a prototype microjet engine, we constructed a versatile test stand tailored to the specifications of a 400 N prototype. This test stand facilitated a comprehensive study by enabling real-time recording of 45 essential parameters for analysis, [...] Read more.
To investigate the functionality and performance of a prototype microjet engine, we constructed a versatile test stand tailored to the specifications of a 400 N prototype. This test stand facilitated a comprehensive study by enabling real-time recording of 45 essential parameters for analysis, encompassing temperatures, pressures, speed, fuel flow, thrust, vibration, and various other monitored metrics. All parameters and control elements were seamlessly integrated via a data acquisition and control system, utilizing a compactDAQ (Data Acquisition) system from National Instruments and a custom Virtual Instrument programmed with graphical language. The test stand offers both manual and automated operation modes, with the flexibility for hybrid operation. For instance, following the idle regime, manual control using a potentiometer can seamlessly transition from automated control via a proportional control (P control) mechanism. Before the experimental campaign, rigorous verification and validation tests were conducted to ensure the reliability and accuracy of the setup. The experimental campaign comprised a series of manual tests focusing on the fuel system and automated tests covering starting, idle, working, and stopping regimes. This structured approach allowed for a comprehensive evaluation across different operational scenarios, providing insights into the engine’s behavior and performance under varying conditions. Full article
(This article belongs to the Section Turbomachinery)
Show Figures

Figure 1

18 pages, 4518 KB  
Article
Experimental Evaluation of Methanol/Jet-A Blends as Sustainable Aviation Fuels for Turbo-Engines: Performance and Environmental Impact Analysis
by Grigore Cican, Radu Mirea and Gimi Rimbu
Fire 2024, 7(5), 155; https://doi.org/10.3390/fire7050155 - 26 Apr 2024
Cited by 15 | Viewed by 6042
Abstract
This study offers a comprehensive examination, both theoretically and experimentally, of the potential of methanol (M) as a sustainable aviation fuel (SAF) assessed in combination with kerosene (Ke—Jet-A aviation fuel + 5% Aeroshell oil). Different blends of methanol and kerosene (10%, 20%, and [...] Read more.
This study offers a comprehensive examination, both theoretically and experimentally, of the potential of methanol (M) as a sustainable aviation fuel (SAF) assessed in combination with kerosene (Ke—Jet-A aviation fuel + 5% Aeroshell oil). Different blends of methanol and kerosene (10%, 20%, and 30% vol. of (M) was added to Ke) were tested in an aviation micro turbo-engine under various operating regimes, such as idle, cruise, and maximum. Key engine parameters, including combustion temperature, fuel consumption, and thrust, were closely monitored during these trials. Essential performance indicators such as combustion efficiency, thermal efficiency, and specific consumption for all fuel blends under maximum operating conditions are also presented. Physical and chemical characteristics, such as viscosity, density, calorific value and flash point, were determined for each blend. Moreover, elemental analysis and FTIR spectroscopy were utilized to evaluate the chemical composition of the fuels. This study further investigated the air requirements for stoichiometric combustion and computed the resulting CO2 and H2O emissions. Experimental tests were conducted on the Jet Cat P80® micro turbo-engine, covering assessments of starting procedures, acceleration, deceleration, and pollutant emissions (CO and SO2) during various engine operating conditions. The results suggest that the examined fuel blends demonstrate stable engine performance at concentrations of 10% and 20% methanol. However, observations indicate that with an increase in methanol concentration, particularly at 30%, the stability of the engine at idle and, notably, at maximum speed decreases significantly. Specifically, at a 30% methanol concentration, the engine no longer operates stably, exhibiting significant rpm fluctuations, leading to the decision not to explore higher concentrations. Full article
(This article belongs to the Special Issue Jet Fuel Combustion)
Show Figures

Figure 1

16 pages, 7830 KB  
Article
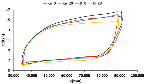
Experimental Transient Process Analysis of Micro-Turbojet Aviation Engines: Comparing the Effects of Diesel and Kerosene Fuels at Different Ambient Temperatures
by Grigore Cican
Energies 2024, 17(6), 1366; https://doi.org/10.3390/en17061366 - 12 Mar 2024
Cited by 13 | Viewed by 2203
Abstract
In this paper, we investigate the impact of diesel and kerosene on the transient processes occurring in a micro-turbojet aviation engine. The experiments were conducted under two distinct ambient temperature conditions, 0 and 20 °C. Specifically, we analyzed the starting phase of the [...] Read more.
In this paper, we investigate the impact of diesel and kerosene on the transient processes occurring in a micro-turbojet aviation engine. The experiments were conducted under two distinct ambient temperature conditions, 0 and 20 °C. Specifically, we analyzed the starting phase of the micro-engine while operating with kerosene and diesel at both ambient temperature settings. Comparative graphs were generated, and the starting time was meticulously examined. Subsequently, we constructed performance maps for the engine using both fuels and across the two ambient temperature scenarios. We then executed a transient process, comprising sudden acceleration and deceleration, under the aforementioned ambient temperature conditions and with both fuels. The fluctuations in temperature within the combustion chamber, thrust force, and fuel consumption are presented for both rapid acceleration and deceleration events. Furthermore, we conducted comparisons between the thrust force, fuel flow rate, combustion chamber temperature, and specific fuel consumption for the two fuels tested and under the two ambient temperature conditions, both during idle and at higher engine regimes. In the idle regime at 0 °C, the kerosene flow is about 0.78% higher than diesel, with the kerosene thrust approximately 1.92% greater. At 20 °C, the kerosene consumption rises by roughly 5.56% compared to diesel, while the thrust increases by about 1.38%. It was observed that at the maximum operating regime, at 0 °C, the kerosene flow exceeds diesel by around 6%, with the kerosene thrust slightly higher, by about 0.63%. At 20 °C, the kerosene consumption rises by roughly 13.19% compared to diesel, while the thrust increases by about 5.91%. In higher regimes, the kerosene consumption surpasses diesel, but the thrust increase is not significant. Thus, diesel’s use as a fuel for the microturbo engine is justified due to its lower consumption at both 0 °C and 20 °C. Full article
(This article belongs to the Section I: Energy Fundamentals and Conversion)
Show Figures

Figure 1

24 pages, 13906 KB  
Article
Lab Scale Investigation of Gaseous Emissions, Performance and Stability of an Aviation Turbo-Engine While Running on Biodiesel Based Sustainable Aviation Fuel
by Radu Mirea and Grigore Cican
Inventions 2024, 9(1), 16; https://doi.org/10.3390/inventions9010016 - 19 Jan 2024
Cited by 14 | Viewed by 3565
Abstract
The research experimentally examines the viability of biodiesel obtained from pork fat (BP) as a sustainable aviation fuel (SAF) when mixed with kerosene (Ke)—Jet-A aviation fuel + 5% Aeroshell 500 oil. Various blends of biodiesel and kerosene (10, 20, and 30% vol. of [...] Read more.
The research experimentally examines the viability of biodiesel obtained from pork fat (BP) as a sustainable aviation fuel (SAF) when mixed with kerosene (Ke)—Jet-A aviation fuel + 5% Aeroshell 500 oil. Various blends of biodiesel and kerosene (10, 20, and 30% vol. of BP added in Ke) were subjected to testing in an aviation micro turbo-engine under different operational states: idle, cruise, and maximum power. During the tests, monitoring of engine parameters such as burning temperature, fuel consumption, and thrust force was conducted. The study also encompassed the calculation of crucial performance indicators like burning efficiency, thermal efficiency, and specific consumption for all fuel blends under maximum power conditions. Combustion temperatures ahead of the turbines rise with an increase in biodiesel concentration, particularly in the idle regime, without compromising engine integrity. However, for regimes 2 and 3, the temperature in front of the turbine decreases with rising biodiesel concentration, accompanied by an increase in fuel flow rate. This phenomenon is reflected in the elevated specific consumption. Notably, for regime 3, there is a noticeable rise in specific consumption, starting from S = 0.0264 kg/Nh when the turbo-engine operates solely with Ke, to S = 0.0266 kg/Nh for Ke + 10% BP, S = 0.0269 kg/Nh for Ke + 20% BP, and S = 0.0275 kg/Nh for Ke + 30% BP. Physical–chemical properties of the blends, encompassing density, viscosity, flash point, and calorific power, were determined. Furthermore, elemental analysis and FTIR were used for chemical composition determination. The amount of CO2 produced during the stoichiometric combustion reaction with air showed variations. Initially, when using only Ke, it amounted to 3.12 kg per kilogram of fuel. Upon adding 10% BP, this value decreased to 3.09 kg, further reducing to 3.05 kg with 20% BP. The lowest value was observed with 30% BP, reaching 3.04 kg. Experimental assessments were performed on the Jet Cat P80® micro-turbo-engine, covering aspects such as starting procedures, sudden acceleration, sudden deceleration, and emissions of pollutants (NOx, CO, and SO2) during several engine operational phases. The outcomes reveal that the examined fuel blends exhibited stable engine performance across all tested conditions. This indicates that these blends hold promise as sustainable aviation fuels for micro turbo-engines, presenting benefits in terms of diminished pollution and a more ecologically sound raw material base for fuel production. Full article
(This article belongs to the Special Issue Thermodynamic and Technical Analysis for Sustainability (Volume 3))
Show Figures

Figure 1

24 pages, 8447 KB  
Article
The Biffis Canal Hydrodynamic System Performance Study of Drag-Dominant Tidal Turbine Using Moment Balancing Method
by Yixiao Zhang, Eddie Yin Kwee Ng and Shivansh Mittal
Sustainability 2023, 15(19), 14187; https://doi.org/10.3390/su151914187 - 25 Sep 2023
Viewed by 1820
Abstract
Drag-dominant tidal turbine energy holds tremendous clean energy potential but faces significant hurdles as unsuitability of the actuator disc model due to the varying swept blockage area, unaccounted bypass flow downstream interaction, and rotor parasitic drag, whereas blade element momentum theory is computably [...] Read more.
Drag-dominant tidal turbine energy holds tremendous clean energy potential but faces significant hurdles as unsuitability of the actuator disc model due to the varying swept blockage area, unaccounted bypass flow downstream interaction, and rotor parasitic drag, whereas blade element momentum theory is computably effective for majorly 3-blade lift-dominated aerofoil. This study validates a novel method to find the optimal TSR of any turbine with a cost-effective and user-friendly moment balancing algorithm to support robust tidal energy development. Performance analysis CFD study of Pinwheel and Savonius tidal turbines in a Biffis canal hydrodynamic system was carried out. Thrust and idle moment are analyzed as functions of only inlet fluid velocity and rotational speed, respectively. These relationships were verified through regression analysis, and the turbines’ net moment equations were established based on these parameters. In both simulation models, rotational speed and inlet velocity were proved excellent predictor variables (R2 value ≈ 1) for idle and thrust moments, respectively. The optimal TSR values for Pinwheel and Savonius turbines were 2.537 and 0.671, respectively, within an acceptable error range for experimental validation. The optimal basin efficiency (ηopt, TSR) values for Pinwheel and Savonius in the 12% blockage channel were (29.09%, 4.0) and (25.67%, 2.87), respectively. The trade-off between TSRopt and ηopt is the key instruction concerning electricity generation and environmental impact. Full article
(This article belongs to the Special Issue Computational Fluid Dynamics Simulation: Application in Industries)
Show Figures

Figure 1

17 pages, 6951 KB  
Article
CFD Validation of Moment Balancing Method on Drag-Dominant Tidal Turbines (DDTTs)
by Yixiao Zhang, Shivansh Mittal and Eddie Yin-Kwee Ng
Processes 2023, 11(7), 1895; https://doi.org/10.3390/pr11071895 - 23 Jun 2023
Cited by 2 | Viewed by 2720
Abstract
Current performance analysis processes for drag-dominant tidal turbines are unsuitable as disk actuator theory lacks support for varying swept blockage area, bypass flow downstream interaction, and parasitic rotor drag, whereas blade element momentum theory is computably effective for three-blade lift-dominated aerofoil. This study [...] Read more.
Current performance analysis processes for drag-dominant tidal turbines are unsuitable as disk actuator theory lacks support for varying swept blockage area, bypass flow downstream interaction, and parasitic rotor drag, whereas blade element momentum theory is computably effective for three-blade lift-dominated aerofoil. This study proposes a novel technique to calculate the optimal turbine tip speed ratio (TSR) with a cost-effective and user-friendly moment balancing algorithm. A reliable dynamic TSR matrix was developed with varying rotational speeds and fluid velocities, unlike previous works simulated at a fixed fluid velocity. Thrust and idle moments are introduced as functions of inlet fluid velocity and rotational speed, respectively. The quadratic relationships are verified through regression analysis, and net moment equations are established. Rotational speed was a reliable predictor for Pinwheel’s idle moment, while inlet velocity was a reliable predictor for thrust moment for both models. The optimal (Cp, TSR) values for Pinwheel and Savonius turbines were (0.223, 2.37) and (0.63, 0.29), respectively, within an acceptable error range for experimental validation. This study aims to improve prevailing industry practices by enhancing an engineer’s understanding of optimal blade design by adjusting the rotor speed to suit the inlet flow case compared to ‘trial and error’ with cost-intensive simulations. Full article
(This article belongs to the Special Issue Multiscale Modeling and Numerical Simulation of Multiphase Flow)
Show Figures

Figure 1

19 pages, 7439 KB  
Article
Micro Turbojet Engine Nozzle Ejector Impact on the Acoustic Emission, Thrust Force and Fuel Consumption Analysis
by Grigore Cican, Tiberius-Florian Frigioescu, Daniel-Eugeniu Crunteanu and Laurentiu Cristea
Aerospace 2023, 10(2), 162; https://doi.org/10.3390/aerospace10020162 - 10 Feb 2023
Cited by 13 | Viewed by 8221
Abstract
This paper explores the implementation of an ejector to a micro turbojet engine and analysis of the advantages in terms of acoustic and thrust/fuel consumption. Starting with the analytical equations and a series of numerical simulations, the optimal ejector geometry for maximum thrust [...] Read more.
This paper explores the implementation of an ejector to a micro turbojet engine and analysis of the advantages in terms of acoustic and thrust/fuel consumption. Starting with the analytical equations and a series of numerical simulations, the optimal ejector geometry for maximum thrust was obtained. The ejector was manufactured and integrated with the Jet Cat P80 micro turbo engine for testing. The purpose of this article is to report on an improved geometry that results in no significant increase in the frontal area of the turbo engine, which could increase drag. The tests were completed using various functioning regimes, namely idle, cruise and maximum. For each of them, a comparative analysis between engine parameters with and without an ejector was performed. During the experiments, it was observed that, when the ejector was used, the thrust increased for each regime, and the specific consumption decreased for all regimes. The stability of the engine was tested in transient regimes by performing a sudden acceleration sequence, and one carried out the operating line and the modification of temperature values in front of the turbine for both configurations. For each regime, the acoustic noise was monitored at a few points that were different distances from the nozzle, and a decrease was identified when the ejector was used. The advantages of using the ejector on the Jet Cat P80 turbo jet engine are an increased thrust, a lower specific consumption and a reduced noise level, and at the same time, the integrity of the engine in stable operational states and transient operating regimes is not affected. Full article
(This article belongs to the Special Issue Aeroacoustics and Noise Mitigation)
Show Figures

Figure 1

9 pages, 3351 KB  
Proceeding Paper
Evaluation of the Noise Benefits from Performing CDO in TMA Using OpenSky Data
by Henrik Hardell and Tatiana Polishchuk
Eng. Proc. 2022, 28(1), 15; https://doi.org/10.3390/engproc2022028015 - 26 Dec 2022
Viewed by 1720
Abstract
Exposure to high levels of noise negatively affects human health. The noise produced by aircraft engines is strong enough to reach well beyond the limits suggested by the World Health Organisation (WHO) and it is estimated that the health and well-being of millions [...] Read more.
Exposure to high levels of noise negatively affects human health. The noise produced by aircraft engines is strong enough to reach well beyond the limits suggested by the World Health Organisation (WHO) and it is estimated that the health and well-being of millions of people in Europe is impaired by aircraft noise. In this work, we estimate the potential benefits from performing a continuous descent operation (CDO) in the terminal maneuvering area (TMA), by comparing the noise and emissions calculated for the actual aircraft trajectories, obtained from the OpenSky network database, to a more efficient descent, where the engines are running at idle thrust. To model the aircraft performance, we use the Base of Aircraft Data (BADA), while IMPACT is used for calculating noise and emissions. We consider three European airports (Stockholm-Arlanda, Vienna and Dublin) focusing on the busy periods in 2019 and the most used arrival runways at each airport. Even though the highest levels of noise are experienced during take-off and the the initial climb-phase, where aircraft engines are operating at a high thrust setting, as well as during the final approach segment, where aircraft are closer to the ground, the results of our study suggest that noise-related benefits may also be obtained for areas further away from an airport when arriving aircraft perform CDOs. Additionally, we observe that while most of the emissions decrease when aircraft perform CDOs, some components, such as carbon monoxide (CO) and hydrocarbon (HC) may also increase. Full article
(This article belongs to the Proceedings of The 10th OpenSky Symposium)
Show Figures

Figure 1

21 pages, 8349 KB  
Article
Flight Procedure Analysis for a Combined Environmental Impact Reduction: An Optimal Trade-Off Strategy
by Evelyn Otero, Ulf Tengzelius and Bengt Moberg
Aerospace 2022, 9(11), 683; https://doi.org/10.3390/aerospace9110683 - 3 Nov 2022
Cited by 8 | Viewed by 2554
Abstract
Many attempts have been made to reduce aviation’s environmental impact, as aviation traffic has grown exponentially in recent decades. While some approaches focus on technology and fuel alternatives, others strive to develop improved operational measures within air traffic management as a short-term action [...] Read more.
Many attempts have been made to reduce aviation’s environmental impact, as aviation traffic has grown exponentially in recent decades. While some approaches focus on technology and fuel alternatives, others strive to develop improved operational measures within air traffic management as a short-term action to mitigate aviation-induced climate change, as well as air pollution. In this work, different flight procedures are analyzed in terms of emissions and noise impact to define optimal trade-offs. The investigation is based on flight data recorders, emissions, and noise prediction models. An aircraft trajectory simulation code with flight procedure optimization is also implemented to define an environmentally optimal trajectory. The results show that while noise and the emissions proportional to the burned fuel may be reduced for some trajectories, other non-CO2 emissions could drastically increase if too low idle-thrust levels are reached. Therefore, a minimum threshold for idle thrust is suggested as a key factor to define a truly optimal trajectory in terms of CO2 emissions, non-CO2 emissions, and noise. Full article
(This article belongs to the Special Issue Aircraft Emissions and Climate Impact)
Show Figures

Figure 1

23 pages, 4161 KB  
Article
Analytical Model for Enhancing the Adoptability of Continuous Descent Approach at Airports
by Emad A. Alharbi, Layek L. Abdel-Malek, R. John Milne and Arwa M. Wali
Appl. Sci. 2022, 12(3), 1506; https://doi.org/10.3390/app12031506 - 30 Jan 2022
Cited by 14 | Viewed by 8322
Abstract
Continuous Descent Approach (CDA) is the flight technique for aircraft to continuously descend from cruise altitude with an idle thrust setting and without level-offs, contrary to the staircase-like Step-down Descent Approach (SDA). Important for air transportation sustainability, using CDA reduces noise, fuel consumption, [...] Read more.
Continuous Descent Approach (CDA) is the flight technique for aircraft to continuously descend from cruise altitude with an idle thrust setting and without level-offs, contrary to the staircase-like Step-down Descent Approach (SDA). Important for air transportation sustainability, using CDA reduces noise, fuel consumption, and pollution. Nevertheless, CDA has been limited to low traffic levels at airports, often at night, because it requires more separation distance between aircraft arrivals and, thus, could decrease throughput. Insufficient attention has been given to helping air traffic controllers decide when CDA may be used. In this paper, we calculate the probability that an aircraft arriving during a particular brief period of time (e.g., 15 min) will need to revert to SDA when the controller tentatively plans to permit CDA for all aircrafts arriving during that time period. If this probability is low enough, the controller may plan to permit CDA during that time period. We utilize an analytical approach and queueing theory framework that considers factors such traffic and weather conditions to estimate the probability. We also provide the number of aircrafts that can be accommodated within the airport’s stacking space using CDA. This number provides insight into whether a particular aircraft may use CDA. Full article
(This article belongs to the Special Issue Future Transportation)
Show Figures

Figure 1

18 pages, 5995 KB  
Article
An Experimental Investigation to Use the Biodiesel Resulting from Recycled Sunflower Oil, and Sunflower Oil with Palm Oil as Fuels for Aviation Turbo-Engines
by Grigore Cican, Marius Deaconu, Radu Mirea, Laurentiu Constantin Ceatra and Mihaiella Cretu
Int. J. Environ. Res. Public Health 2021, 18(10), 5189; https://doi.org/10.3390/ijerph18105189 - 13 May 2021
Cited by 21 | Viewed by 3831
Abstract
The paper is presenting the experimental analysis of the use of biodiesel from waste sunflower oil and a blend of sunflower oil with palm oil as fuel for aviation turbo-engines. A comparative analysis for fuel mixtures made of Jet A + 5% Aeroshell [...] Read more.
The paper is presenting the experimental analysis of the use of biodiesel from waste sunflower oil and a blend of sunflower oil with palm oil as fuel for aviation turbo-engines. A comparative analysis for fuel mixtures made of Jet A + 5% Aeroshell 500 Oil (Ke) with 10%, 30%, and 50% for each bio-fuel type has been performed and Ke has been used as reference. Firstly, the following physical and chemical properties were determined: density, viscosity, flash point, freezing point, calorific power. Then, elemental analysis and Fourier transform infrared spectroscopy (FTIR) analysis were conducted for Ke, biodiesel obtained from recycled sunflower oil (SF), biodiesel obtained from blending recycled sunflower oil, and recycled palm oil (SFP), and for each fuel blend. Secondly, experimental tests of the blends have been conducted on the Jet Cat P80® micro-turbo engine (Gunt Hamburg, Barsbüttel, Germany). The tests have been conducted at different engine working regimes as follows: idle, cruise, intermediate, and maximum. For each regime, a one-minute testing period was chosen, and the engine parameters have been monitored. The turbo engine instrumentation recorded the temperature after the compressor and before the turbine, the fuel consumption and air flow, pressure inside the combustion chamber, and generated thrust. The burning efficiency and the specific consumption have been calculated for all four above-mentioned regimes and for all fuel blends. Two accelerometers have been installed on the engine’s support to register radial and axial vibrations allowing the assessment of engine stability. Full article
(This article belongs to the Special Issue Environmental Waste Recycling)
Show Figures

Figure 1

Back to TopTop