Next Article in Journal
Common-Mode Voltage Reduction of Modular Multilevel Converter Using Adaptive High-Frequency Injection Method for Medium-Voltage Motor Drives
Previous Article in Journal
Design and Impact of Grid Tariffs
 
 
Font Type:
Arial Georgia Verdana
Font Size:
Aa Aa Aa
Line Spacing:
Column Width:
Background:
Article

Experimental Transient Process Analysis of Micro-Turbojet Aviation Engines: Comparing the Effects of Diesel and Kerosene Fuels at Different Ambient Temperatures

1
Romania National Research and Development and Institute for Gas Turbines COMOTI, 220D Iuliu Maniu, 061126 Bucharest, Romania
2
Faculty of Aerospace Engineering, National University of Science and Technology Politehnica Bucharest, 1-7 Polizu Street, 1, 011061 Bucharest, Romania
Energies 2024, 17(6), 1366; https://doi.org/10.3390/en17061366
Submission received: 7 February 2024 / Revised: 5 March 2024 / Accepted: 8 March 2024 / Published: 12 March 2024
(This article belongs to the Section I: Energy Fundamentals and Conversion)

Abstract

In this paper, we investigate the impact of diesel and kerosene on the transient processes occurring in a micro-turbojet aviation engine. The experiments were conducted under two distinct ambient temperature conditions, 0 and 20 °C. Specifically, we analyzed the starting phase of the micro-engine while operating with kerosene and diesel at both ambient temperature settings. Comparative graphs were generated, and the starting time was meticulously examined. Subsequently, we constructed performance maps for the engine using both fuels and across the two ambient temperature scenarios. We then executed a transient process, comprising sudden acceleration and deceleration, under the aforementioned ambient temperature conditions and with both fuels. The fluctuations in temperature within the combustion chamber, thrust force, and fuel consumption are presented for both rapid acceleration and deceleration events. Furthermore, we conducted comparisons between the thrust force, fuel flow rate, combustion chamber temperature, and specific fuel consumption for the two fuels tested and under the two ambient temperature conditions, both during idle and at higher engine regimes. In the idle regime at 0 °C, the kerosene flow is about 0.78% higher than diesel, with the kerosene thrust approximately 1.92% greater. At 20 °C, the kerosene consumption rises by roughly 5.56% compared to diesel, while the thrust increases by about 1.38%. It was observed that at the maximum operating regime, at 0 °C, the kerosene flow exceeds diesel by around 6%, with the kerosene thrust slightly higher, by about 0.63%. At 20 °C, the kerosene consumption rises by roughly 13.19% compared to diesel, while the thrust increases by about 5.91%. In higher regimes, the kerosene consumption surpasses diesel, but the thrust increase is not significant. Thus, diesel’s use as a fuel for the microturbo engine is justified due to its lower consumption at both 0 °C and 20 °C.

1. Introduction

In recent years, the micro-engine market has experienced significant growth, driven by their increasingly diverse applications in fields such as model aircraft, drones, UAVs, etc. [1,2].
Turbo engines come in four distinct configurations: turbojet, turbofan, turboprop, and turboshaft. Among these, the turbojet stands out for its perceived simplicity in operation and maintenance during production [3].
Most microturbo engines have kerosene or diesel specified as fuel by manufacturers. There are several microturbo engine manufacturers who recommend both kerosene and diesel as fuels for turbojet and turboshaft micro-engines. These companies include AMT Netherlands [4], JetCat [5], JetCentral [6], Frank Turbine [7], Toyota Turbine and Systems [8], MTT Microturbine [9], UAV Turbines [10], Blandon Jets [11], Brayton Energy [12], ICR Turbine Engine Corporation [13], TurboTech Energy [14], PBS Aerospace [15], KingTech Turbines [16], and numerous others. These companies produce a wide range of microturbine engines. Micro-turbojets generate thrusts from 60 N to over 1000 N, as well as turboshafts and turboprops, with powers ranging from a few kiloWatts.
The most relevant applications for this type of microturbine engine are in aviation, especially for remotely piloted aerial vehicles, known as UAVs, hybrid electric vehicles, and small-scale electricity generators [17]. They can also be used as auxiliary power units (APUs) for modern aircraft [18] or as additional power supply units in an experimental hybrid system connected to a solid oxide fuel cell (SOFC) to create a cogeneration system that can power buildings or residential areas [19]. Micro gas turbines are suitable for these applications due to their high power-to-weight ratio, where component performance dictates overall engine performance [20]. To expand the field of application, numerous specific studies have been conducted, focusing on various components of the microturbine structure, studies on acoustic characteristics, or the use of alternative fuels with potential emission reduction and green energy aspects. These include studies on the progressive optimization of intake ducts to increase airflow efficiency through numerical simulations and testing for validation [21], presentation of combustion chamber types in microturbine engines and studies on efficiency improvements through thermo-kinetic analysis of combustion chamber conditions, and CFD simulations at various operating conditions to achieve a constructive solution [22]; investigation into possible improvement directions for reaction nozzles through numerical analyses, CFD simulations, analytical calculations, or constructive solutions by introducing elements such as chevrons aimed at performance, acoustic, and pollution domains [23].
When a turbo engine operates under steady-state conditions, all engine parameters are kept constant. However, when the engine transitions from one operating point to another, it experiences an increase in fuel flow, leading to a change in rotational speed and consequently affecting all parameters and performance. This operation is referred to as the transient process of the gas turbine [24]. This process typically lasts a few seconds for an aviation turbo engine. Numerous historical and recent studies have been published to provide a mature understanding of the transient performance of gas turbines [25,26].
The study of transient processes for aircraft turbo engines and gas turbine engines can be approached in various ways, including numerical modeling [27], application of artificial neural networks [28], and experimental methods [29]. For a comprehensive analysis of the transient processes, reference [30] provides an in-depth examination. Unfortunately, in the specialized literature, no studies have been identified that specifically address the transient processes of microturbo engines running on diesel, especially considering different ambient temperature conditions. However, there are numerous studies presenting results for microturbo engines fueled with blends of biodiesel and kerosene or solely biodiesel from various sources. Biodiesel is produced from organic matter, especially plants [31,32] or animals [33,34], and each type of biodiesel has slightly different properties compared to kerosene [35]. Various studies have investigated blends of kerosene and biodiesel in micro-engines, analyzing their performance and pollutant emissions [36,37], highlighting the emission advantages for biodiesel blends [38,39] or studies analyzing 100% biodiesel as a fuel for micro-engines, investigating both engine performance and pollutant emissions.
Some studies have attempted blends of diesel and kerosene or pure diesel in micro-engines [40], emphasizing a comparative performance. It is known that, compared to kerosene, diesel has some disadvantages, among which one of the most significant is its much higher freezing point than that of kerosene [41,42,43]. This fact renders diesel unsuitable as fuel for aviation turbomotors but can be used in micro-engines for terrestrial applications, such as laboratory installations, electricity generation, or large-sized turbomotors used for marine propulsion or tanks, etc [44]. Additionally, diesel can be used for micro-engines in various types of model aircraft or drones that fly at lower altitudes and do not pose a risk to diesel’s freezing point. More details about the properties of kerosene used in aviation turbomotors are standardized in ASTM D1655 [41], where its properties are listed, while properties of the diesel fuel used as a fuel are stated in ASTM D975 [42].
This paper aims to analyze the operation of a microturbo engine with both kerosene and diesel, focusing on the transient processes during ignition, rapid acceleration, and deceleration. These tests are conducted at temperatures of 20 °C and 0 °C. The contribution of this study lies in the experimental approach to using diesel fuel and highlighting its advantages in operating aviation microturbo engines, emphasizing that their stability is not compromised during transient processes at both mentioned air temperatures.

2. Materials and Methods

The trials were carried out utilizing the Jet Cat P80 microturbine engine [45]. Figure 1 illustrates the Jet Cat P80 microturbo engine and the experimental setup (a), a cutaway highlighting the main component parts (b), the entire testing stand (c), and a diagram from the microturbo engine’s recording software depicting its instrumentation setup (d).
Figure 1. Jet Cat P80 test bench of the microturbo engine, which comprises an axial turbine connected directly to a radial compressor and an annular combustion chamber. These elements, along with the intermediary bearing housing, constitute a compact assembly originally intended for powering model airplanes. The process begins with the high-speed rotation of the compressor wheel (1) (at speeds ranging from 35,000 to 115,000 rpm), which accelerates the intake of air.
Figure 1. Jet Cat P80 test bench of the microturbo engine, which comprises an axial turbine connected directly to a radial compressor and an annular combustion chamber. These elements, along with the intermediary bearing housing, constitute a compact assembly originally intended for powering model airplanes. The process begins with the high-speed rotation of the compressor wheel (1) (at speeds ranging from 35,000 to 115,000 rpm), which accelerates the intake of air.
Energies 17 01366 g001
The airflow initially enters the aluminum diffuser housing (2), where its kinetic energy is transformed into pressure. At the inlet of the combustion chamber (3), a portion of the airflow is redirected and guided toward the front of the flame tube (4). Meanwhile, liquid fuel is introduced from the rear into specialized evaporator tubes (5), where it undergoes vaporization. Moving towards the front of the combustion chamber, it combines with the primary airflow and undergoes ignition. The outer surface of the flame tube is cooled by a secondary airflow, which is directed to it through bores (6). This cooling process is crucial for lowering the extremely high temperatures of the combustion gases (approximately 2000 °C) to the permissible turbine inlet temperature of 600–800 °C. An igniting glow plug (7) initiates the combustion of the air/fuel mixture during startup. Subsequently, the combustion gases flow into the diffuser of the turbine (8), where they gain speed before entering the axial wheel (9). In the turbine, these gases release their energy to drive the compressor wheel. Throughout this process, they undergo partial expansion and cooling. Eventually, they are discharged through the thrust nozzle (10) at temperatures of around 600 °C. The turbine and compressor wheels share a common shaft (11) arranged in an overhanging configuration. This shaft is supported by ball bearings (12) within the bearing housing, with cooling provided by the compressor airflow. The front cover accommodates the electronics (13) responsible for the starter motor (15), temperature monitoring, and speed measurement (14).
In Figure 1, (16) is the switch cupboard with indicators; (17) is the inlet nozzle for the airflow measurement; (18) is the turbine desk; (19) is the gas turbine control panel; (20) is the fuel tank; (21) is the force sensor for the thrust measurement; (22) is the bearing of the turbine desk; (23) is the jet turbine; and (24) is the mixing tube.
The instrumentation of the micro-engine allows for the recording of the thrust force, temperature in front of the turbine, airflow rate, fuel flow rate, RPM (rotation per minute), pressure at the outlet of the combustion chamber, temperature after the compressor, and the outlet temperature of the turbine. The recording of these parameters was conducted once per second. In Figure 1d, a schematic is presented where the instruments for measuring the mentioned parameters are located. A classic instrument was used for the parameter measurements, type K thermocouples were used for the temperature measurement, and a root-extracting static pressure sensor was used for measuring the nozzle pressure at the air inlet, which was performed using the Pressure-Converter UNICON-P produced by GHM GROUP—Martens, Germany. A root-extracting pressure sensor from Huba Control products in Switzerland was used for the pressures in the combustion chamber, a force transducer KM701 K 200 N 000 Z with 2 mV/N was used for measuring the thrust that was produced by MEGATRON Elektronik GmbH & Co. KG Germany, a tachometer was used for measuring speed, and fuel from the fuel pump actuator was used for measuring the fuel flow.
To conduct the experiments, a reference fuel, kerosene, with an addition of 5% Aeroshell 500 oil, and commercial diesel fuel, with an addition of 5% Aeroshell 500 oil, were used. The tests were carried out at two different ambient temperatures. The first tests were conducted at a temperature of 0 °C, and the second test at 20 °C.
The experiments were conducted outdoors. The engine and the entire testing setup, along with the fuel tank, were kept outdoors for over half an hour after being removed from the laboratory, where the temperature was approximately 21–22 °C. The engine was left outside for about half an hour before the testing procedures began. A preliminary startup was performed for a test run, during which the engine was kept running for over 5 min at various operating conditions to warm up the engine. Then, the experiment for which the data collected by the testing setup instrumentation were recorded and subsequently processed took place.
The most critical aspect of turbomotor operation is related to the transient processes that occur during operation. Therefore, this work focuses on the starting phase with the two fuels at two different ambient temperatures. During the starting procedure, key parameters were recorded, such as the time variation of RPM, the time variation of the combustion temperature in the combustion chamber, and the fuel flow rate and airflow rate.
The second part of the experiment involved rapidly accelerating the micro-engine and then rapidly decelerating it. Afterward, the engine was idled for approximately one minute, and then it was rapidly accelerated to a RPM of approximately 95,000 RPM. The maximum RPM was not reached for safety reasons, as it was unknown how the micro-engine would react when using diesel fuel. The RPM was limited by a mechanical throttle stop. After acceleration, the micro-engine was left in a stable mode for approximately one minute for stabilization and then rapidly decelerated back to idle.

3. Results and Discussion

The outcomes acquired during the initiation process of the microturbo engine are delineated within this segment. By “starting regime”, one must comprehend the interval from the initial movements of the starter until the engine attains a stable operational state. The objective is to evaluate the consistency of the initiation process for each case. Consequently, Figure 2 depicts the fluctuation of the engine’s RPM versus time, while Figure 3, Figure 4 and Figure 5 illustrate the Tc, Qc, and Qa versus time throughout the starting sequence. Figure 5, Figure 6, Figure 7 and Figure 8 display the Tc, Qc, and Qa versus RPM.
The progression from starting to idle engine mode cannot be overseen by the operator; it is executed automatically by the engine. Thus, the patterns from the subsequent figures are specific to the microturbo engine type.
Figure 2. The variation of RPM over time during the starting procedure (until stable yield).
Figure 2. The variation of RPM over time during the starting procedure (until stable yield).
Energies 17 01366 g002
Analyzing Figure 2, it can be observed that the ignition time for kerosene, both at 0 and at 20 °C ambient temperature, is similar. As for the ignition time for diesel fuel, it is shorter when the ambient temperature is 20 °C, and at 0 °C, it is longer but shorter than that for kerosene. In general, diesel fuel ignites faster than kerosene. This difference is due to the variations in chemical composition and their ignition characteristics.
Figure 3. Qa (L/s) vs. time for kerosene and diesel for 0 °C and 20° C.
Figure 3. Qa (L/s) vs. time for kerosene and diesel for 0 °C and 20° C.
Energies 17 01366 g003
Analyzing Figure 2, it can be noticed that for ambient temperatures of 0 and 20 °C during the startup procedure, both for kerosene and diesel fuel, the maximum values of the two curves are quite similar, and these maxima occur following the RPM curve. As for the airflow rate drawn into the engine, it can be clearly observed that it is higher when the air temperature is lower. This can be explained by the fact that the air density is greater when the ambient temperature is lower.
Figure 4. Qc (L/h) vs. time for kerosene and diesel for 0 °C and 20° C.
Figure 4. Qc (L/h) vs. time for kerosene and diesel for 0 °C and 20° C.
Energies 17 01366 g004
Figure 5. Tc (°C) vs. time for kerosene and diesel for 0 °C and 20° C.
Figure 5. Tc (°C) vs. time for kerosene and diesel for 0 °C and 20° C.
Energies 17 01366 g005
Analyzing Figure 4 and Figure 5, it can be observed that for kerosene, at both ambient temperatures, the kerosene flow rate is similar, but the combustion temperature in the combustion chamber is noticeably higher when the ambient temperature is 20 °C. For diesel fuel, the fuel flow curve follows the RPM curve over time. However, what is interesting is the combustion temperature in the combustion chamber. For an ambient temperature of 0 °C, it can be seen that the chamber temperature is approximately similar to that for kerosene. When the ambient temperature is 20 °C, it is clear how the combustion chamber temperature values are higher compared to the case when the ambient temperature is 0 °C. It is also noticeable that the trend of the combustion temperature curve follows that of RPM, and it is evident how the ignition time of diesel fuel when the chamber temperature starts to rise abruptly, is shorter when the ambient temperature is 20 °C.
In Figure 6, Figure 7, Figure 8 and Figure 9, the same values as in the above graphs are represented, but we have their evolution in terms of RPM. This is depicted for a better understanding of the phenomena.
Figure 6. Qc (L/h) vs. speed for kerosene and diesel for 0 °C and 20° C.
Figure 6. Qc (L/h) vs. speed for kerosene and diesel for 0 °C and 20° C.
Energies 17 01366 g006
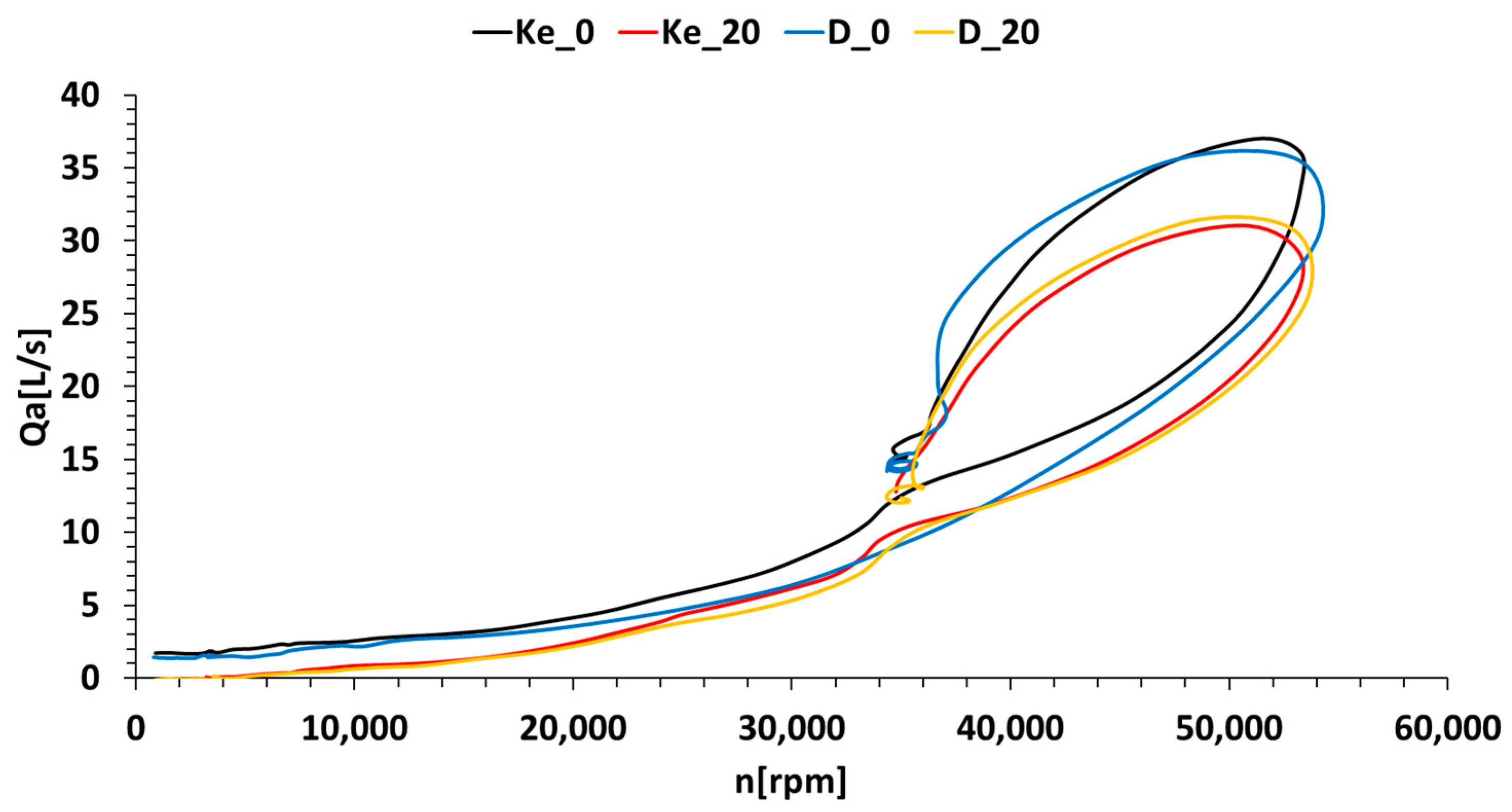
Figure 7. Qa (L/s) vs. speed for kerosene and diesel for 0 °C and 20° C.
Figure 7. Qa (L/s) vs. speed for kerosene and diesel for 0 °C and 20° C.
Energies 17 01366 g007
Figure 8. Tc (°C) vs. speed for kerosene and diesel for 0 °C and 20° C.
Figure 8. Tc (°C) vs. speed for kerosene and diesel for 0 °C and 20° C.
Energies 17 01366 g008
From the above figures, a similar observation can be made as from Figure 2, Figure 3, Figure 4 and Figure 5. It can be seen how the airflow rate is consistently lower throughout the startup procedure when the ambient temperature is higher.
Regarding the combustion temperature in the combustion chamber, in Figure 8, it can be observed that throughout the startup procedure, when using diesel fuel and at an ambient temperature of 0 °C, the temperature is lower. On the other hand, when using diesel fuel and with the ambient temperature at 20 °C, it is the highest throughout the startup procedure. The curves for diesel fuel, when the ambient temperature is 0 °C, have a slightly different trend compared to the other cases studied. In the case of kerosene, the shape of the curve remains similar throughout the startup procedure for both ambient temperatures, with slightly higher values when the ambient temperature is higher.
The nonlinear part of the figures is related to the startup and operation law of the microturbine engine. The operational phase—from pressing the start button until the microturbine engine reaches idle—is included in its automatic operation, with the operator having no access to it. This operational law is provided by the manufacturer.
In order to assess the engine’s stability in terms of the burning process, a sudden procedure is performed. It consists of a sudden acceleration from idle to max, a 60 s stationary period at the max regime chosen, and a sudden deceleration to idle.
Figure 9, Figure 10, Figure 11, Figure 12 and Figure 13 show the following: variation of temperature in front of the turbine, fuel flow, airflow, and thrust vs. RPM during this sudden procedure for all four considered cases.
Figure 9. Temperature variation ahead of the turbine during sudden acceleration and deceleration.
Figure 9. Temperature variation ahead of the turbine during sudden acceleration and deceleration.
Energies 17 01366 g009
Figure 10. Fuel flow variation during sudden acceleration and deceleration.
Figure 10. Fuel flow variation during sudden acceleration and deceleration.
Energies 17 01366 g010
Figure 11. Thrust variation during sudden acceleration and deceleration.
Figure 11. Thrust variation during sudden acceleration and deceleration.
Energies 17 01366 g011
Figure 12. Airflow variation during sudden acceleration and deceleration.
Figure 12. Airflow variation during sudden acceleration and deceleration.
Energies 17 01366 g012
Figure 13. Combustion chamber pressure variation during sudden acceleration and deceleration.
Figure 13. Combustion chamber pressure variation during sudden acceleration and deceleration.
Energies 17 01366 g013
First of all, analyzing the above figures, it can be observed that when the ambient temperature is 0 °C, and a sudden acceleration is applied at the same percentage of the throttle, the RPM is lower compared to the case when the ambient temperature is 20 °C for both fuels.
In the case of rapid acceleration, regarding the combustion temperature, it can be seen that for kerosene, the combustion temperature is higher throughout the acceleration when the ambient temperature is 20 degrees compared to 0 °C. The same applies to diesel fuel. The combustion temperature of diesel fuel is higher throughout the acceleration procedure compared to kerosene when the ambient temperature is 0 °C. When the ambient temperature is 20 °C, during the rapid acceleration procedure, in the first phase, diesel fuel has a higher combustion temperature in the combustion chamber compared to kerosene, and in the second part of the procedure, it is the opposite.
In the rapid deceleration procedure, it can be observed that at the same ambient temperature, diesel fuel develops a lower combustion temperature throughout the deceleration compared to kerosene.
Regarding the fuel flow variation, it can be seen that the highest fuel flow rate in the rapid acceleration procedure is for kerosene when the ambient temperature is 0 °C. For kerosene, when the ambient temperature is 20 °C, the flow rate is lower throughout the rapid acceleration procedure compared to the case when the ambient temperature is 0 °C. The lowest fuel flow rate is observed during the rapid acceleration procedure when using diesel fuel at an ambient temperature of 20 °C. The differences are accentuated in the final part of the acceleration procedure.
It can be observed that for kerosene, at both ambient temperatures, the kerosene flow rate is similar, but the combustion temperature in the combustion chamber is noticeably higher when the ambient temperature is 20 °C. An argument is that the air entering the combustion chamber has different temperatures, resulting in different temperatures of the combustion gases in the combustion chamber. This is also reflected in the airflow entering the engine, which is higher when the ambient temperature is lower because the air density is higher when the ambient temperature is lower.
The curves for diesel fuel, when the ambient temperature is 0 °C, have a slightly different trend compared to the other cases. An argument can be that it is known that the ignition temperature of diesel fuel is higher than that of kerosene, which is reflected in the graphs. The ignition temperature for kerosene at 20 °C is lower than that for diesel fuel at 20 °C, and the same applies to temperatures at 0 °C. If the calorific value of diesel fuel is higher than that of kerosene, according to the engine control law, to produce the same power at the same speed, the diesel fuel flow rate will be lower than that for kerosene, as observed in the graphs.
As for the airflow rate, thrust force, and pressure in the combustion chamber, they have lower values throughout the acceleration and deceleration procedures when the ambient temperature is higher. There are no notable differences for both kerosene and diesel when the ambient temperature is the same.
Another important parameter for turbomotors is the specific fuel consumption, and for this, the variation in specific consumption during rapid acceleration and deceleration is presented.
In Equation (1), the specific consumption S is defined [46]:
S = 3600 · M ˙ f F k g N · h
where  M ˙ f  is the fuel flow in kg/s, and F is the thrust in Newton. Specific consumption variation during sudden acceleration and deceleration is presented in Figure 14.
Figure 14. Specific consumption variation during sudden acceleration and deceleration.
Figure 14. Specific consumption variation during sudden acceleration and deceleration.
Energies 17 01366 g014
In the idle mode, both the specific consumption and parameters, such as Tc, Qc, etc., show variation, and this is because the idle mode is quite unstable compared to higher regimes.
It can be noted that during acceleration, the specific consumption is the lowest, especially throughout the entire acceleration period when the ambient temperature is 0 °C. During the acceleration phase, when the engine is supplied with diesel fuel, the specific consumption is higher than for kerosene when the ambient temperature is 20 °C. This can also be explained by the fact that the thrust force is higher at lower ambient temperatures.
For a more comprehensive view of the recorded values in the idle mode and during maximum testing, Table 1 presents the averaged values for the approximately one-minute period during which the microturbo motor was idling and in the maximum testing mode.
Upon analyzing Table 1, it was found that for the idle regime at an ambient air temperature of 0 °C, the kerosene flow rate is approximately 0.78% higher than the diesel flow rate, and the thrust when using kerosene is approximately 1.92% higher than when using diesel. When the ambient air temperature is 20 °C, there is an increase in kerosene consumption compared to diesel by approximately 5.56% and an increase in thrust of approximately 1.38%. It can be said that the variations in the thrust and fuel flow parameters do not vary significantly in the idle regime, which is a more unstable regime than the higher operating regimes of the micro-engine.
Upon analyzing the above table, it was found that for the maximum operating regime at an ambient air temperature of 0 °C, the kerosene flow rate is approximately 6% higher than the diesel flow rate, and the thrust when using kerosene is approximately 0.63% higher than when using diesel. When the ambient air temperature is 20 °C, there is an increase in kerosene consumption compared to diesel by approximately 13.19% and an increase in thrust of approximately 5.91%. It can be said that in the higher regimes, the consumption of kerosene is higher than diesel, while the increase in thrust is not very significant. From this point of view, the use of diesel as a fuel for microturbo motors can be justified due to the lower consumption, both at 0 °C and at 20 °C.
For a better visualization of the results in Table 1, the most representative graphs are depicted in the figures below, Figure 15, Figure 16, Figure 17 and Figure 18.
Thus, Figure 15 illustrates the variation in the temperature in the combustion chamber (Tc) for the two operating regimes at ambient temperatures of 20 and 0 °C.
Figure 15. Variations in Tc for the two operating regimes of the engine at the two ambient temperatures.
Figure 15. Variations in Tc for the two operating regimes of the engine at the two ambient temperatures.
Energies 17 01366 g015
It can be observed in Figure 15 that the combustion chamber temperature (Tc) is lower when the ambient temperature is lower for both regimes. This is normal, considering that the air entering the combustion reaction has a lower enthalpy when the temperature with which it enters the engine is lower. Also, it can be observed that the Tc is higher in the case of diesel fuel than in the case of kerosene for both ambient temperature conditions.
Figure 16. Variations in the airflow rate (Qa) for the two operating regimes of the engine at the two ambient temperatures.
Figure 16. Variations in the airflow rate (Qa) for the two operating regimes of the engine at the two ambient temperatures.
Energies 17 01366 g016
It can be observed in Figure 16 that the airflow rate passing through the compressor is lower when the ambient temperature is higher. This is normal, considering that the air entering the engine has a lower density when the temperature with which it enters the engine is lower.
Figure 17. Variations in the fuel flow rate (Qc) for the two operating regimes of the engine at the two ambient temperatures.
Figure 17. Variations in the fuel flow rate (Qc) for the two operating regimes of the engine at the two ambient temperatures.
Energies 17 01366 g017
It can be observed in Figure 17 that the consumed fuel flow rate is slightly lower when the ambient temperature is lower. This can be explained by the fact that the power produced by the turbine to sustain the compressor depends directly on the airflow rate passing through the engine [32]. Therefore, when the air temperature entering the engine is lower, and its density is higher, a higher airflow rate enters, resulting in the need for a lower fuel flow rate into the combustion chamber to maintain the same speed.
Figure 18. Variations in the propulsive force for the two operating regimes of the engine at the two ambient temperatures.
Figure 18. Variations in the propulsive force for the two operating regimes of the engine at the two ambient temperatures.
Energies 17 01366 g018
It can be observed in Figure 18 that the propulsive force is higher when the ambient temperature is lower. This can be explained by the fact that the propulsive force depends directly on the airflow rate passing through the engine. Therefore, when the air temperature entering the engine is lower and its density is higher, a higher airflow rate enters, resulting in a higher propulsive force.

4. Conclusions

  • In conclusion, it can be stated that the microturbine engine exhibits a stable startup procedure at both ambient temperatures, whether using kerosene or diesel fuel. No incidents were recorded during the startup procedure, and the microturbine engine was not put at risk, operating steadily.
  • Regarding the transient processes during acceleration, the microturbine engine did not exhibit any incidents, and the phenomenon of surging was not reported. There were no recorded temperatures in the combustion chamber that would endanger the integrity of the microturbine engine.
  • It is clear that when the ambient temperature is lower, performance factors such as thrust force and specific consumption are higher compared to the case when the ambient temperature is higher.
  • In summary, for the idle regime at 0 °C, the kerosene flow exceeds diesel by about 0.78%, with the kerosene thrust approximately 1.92% higher. At 20 °C, kerosene consumption rises by roughly 5.56%, while the thrust increases by about 1.38%. Interestingly, variations in the thrust and fuel flow parameters remain relatively consistent in the idle regime despite its instability compared to higher operating regimes. Similarly, at the maximum operating regime, at 0 °C, kerosene flow is approximately 6% higher than diesel, with a kerosene thrust of around 0.63% higher. At 20 °C, kerosene consumption increases by about 13.19%, while the thrust rises by approximately 5.91%. Despite higher kerosene consumption in higher regimes, the thrust increase is not substantial. Consequently, using diesel as a fuel for microturbo engines seems justified due to its lower consumption at both 0 °C and 20 °C.

Funding

This research was performed within the “Nucleu” Programme, part of the National Plan for Research, Development and Innovation 2022–2027, carried out with the support of the Romanian Ministry of Research, Innovation and Digitalisation, project no. PN 23.12.01.01.

Data Availability Statement

Data are contained within the article.

Conflicts of Interest

The author declares no conflicts of interest.

References

  1. Rendon, M.A.; Sanchez, R.C.D.; Gallo, M.J.; Anzai, A.H. Aircraft hybrid-electric propulsion: Development trends, challenges and opportunities. J. Control. Autom. Electr. Syst. 2021, 32, 1244–1268. [Google Scholar] [CrossRef]
  2. Balli, O. General aviation and thermodynamic performance analyses of micro turbojet engine used on drones and unmanned aerial vehicles (UAV). J. Aviat. Res. 2020, 2, 115–141. [Google Scholar]
  3. Wu, X.; Hu, X.; Xiang, X.; Lin, S.; You, J.; Tian, F. An analysis approach for micro gas turbine engine’s performance by experiment and numerical simulation. Case Stud. Therm. Eng. 2023, 49, 103305. [Google Scholar] [CrossRef]
  4. AMT Netherlands. Available online: https://www.amtjets.com/ (accessed on 1 September 2023).
  5. JetCat. Available online: https://www.jetcat.de/en/products/ (accessed on 1 September 2023).
  6. JetCentral. Available online: https://jetcentral.com.mx/ (accessed on 1 September 2023).
  7. Frank Turbine. Available online: https://frankturbine.com/?lang=en (accessed on 1 September 2023).
  8. Toyota Turbine and Systems. Available online: https://www.toyota-energy.co.jp/ (accessed on 1 September 2023).
  9. MTT Microturbine. Available online: https://www.mtt-eu.com/ (accessed on 1 September 2023).
  10. UAV 121 Turbines. Available online: https://www.hcuav.com/ (accessed on 1 September 2023).
  11. Blandon Jets. Available online: https://www.bladonmt.com/ (accessed on 1 September 2023).
  12. Brayton Energy. Available online: www.braytonenergy.net (accessed on 1 September 2023).
  13. ICR Turbine Engine Corporation. Available online: https://www.icrtec.com/ (accessed on 1 September 2023).
  14. TurboTech Energy. Available online: https://www.turbotechindia.com/micro-gas-turbines (accessed on 1 September 2023).
  15. PBS Aerospace. Available online: https://www.pbs.cz/en/Aerospace/Aircraft-Engines (accessed on 1 September 2023).
  16. KingTech Turbines. Available online: https://www.kingtechturbines.com/ (accessed on 1 September 2023).
  17. Simon, T.W.; Jiang, N. Micro- or Small- Gas Turbines. In Proceedings of the International Gas Turbine Congress 2003, Tokyo, Japan, 2–7 November 2003. [Google Scholar]
  18. Nascimento, M.A.; Rodrigues, L.O.; Santos, E.D.; Gomes, E.E.; Dias, F.L.; Velásques, E.I.; Carrillo, R.A. Micro Gas Turbine Engine: A Review. Prog. Gas Turbine Perfomance 2013, 125, 1–14, Chapter 5. [Google Scholar] [CrossRef]
  19. Bohn, D. Micro Gas Turbine and Fuel Cell—A Hybrid Energy Conversion System with High Potential. In Micro Gas Turbines; Educational Notes RTO-EN-AVT-131, Paper 13; RTO: Neuilly-sur-Seine, France, 2005; pp. 13-1–13-46. [Google Scholar]
  20. Bakalis, D.P.; Stamatis, A.G. Data analysis and performance model calibration of a small turbojet engine. Proc. Inst. Mech. Eng. Part G J. Aerosp. Eng. 2012, 226, 1523–1533. [Google Scholar] [CrossRef]
  21. Amirante, R.; Catalano, L.A.; Dadone, A.; Daloiso, V.S.E. Design Optimization of the Intake of a Small-Scale Turbojet Engine. Comput. Model. Eng. Sci. 2007, 18, 17–30. [Google Scholar]
  22. Tuccillo, R.; Cameretti, M.C. Combustion and Combustors for MGT. In Micro Gas Turbines; Educational Notes RTO-EN-AVT-131, Paper 5; Neuilly-sur-Seine, France, 2005; pp. 5-1–5-56. Available online: https://www.semanticscholar.org/paper/Combustion-and-Combustors-for-MGT-Applications-Tuccillo-Cameretti/545c85a46c36b613255b24743456fb77bd023a64#related-papers (accessed on 4 February 2024).
  23. Cican, G.; Deaconu, M.; Crunteanu, D.-E. Impact of Using Chevrons Nozzle on the Acoustics and Performances of a Micro Turbojet Engine. Appl. Sci. 2021, 11, 5158. [Google Scholar] [CrossRef]
  24. Walsh, P.P.; Fletcher, P. Gas Turbine Performance, 2nd ed.; Oxford Blackwell Science: Oxford, UK, 2004. [Google Scholar]
  25. Sanghi, V.; Lakshmanan, B.K.; Sundararajan, V. Survey of advancements in jetengine thermodynamic simulation. J. Propul. Power 2000, 16, 797–807. [Google Scholar] [CrossRef]
  26. Hashmi, M.B.; Lemma, T.A.; Ahsan, S.; Rahman, S. Transient behavior in variable geometry industrial gas turbines: A comprehensive overview of pertinent modeling techniques. Entropy 2021, 23, 250. [Google Scholar] [CrossRef] [PubMed]
  27. Petkovic, D.; Banjac, M.; Milic, S.; Petrovic, M.V.; Wiedermann, A. Modeling the Transient Behavior of Gas Turbines. ASME J. Turbomach. 2020, 142, 081005. [Google Scholar] [CrossRef]
  28. Tsoutsanis, E.; Qureshi, I.; Hesham, M. Performance diagnostics of gas turbines operating under transient conditions based on dynamic engine model and artificial neural networks. Eng. Appl. Artif. Intell. 2023, 126 Pt B, 106936. [Google Scholar] [CrossRef]
  29. Yuchen, D.; Manxiang, S.; Donghai, J.; Xingmin, G.; Xiaoheng, L. Transient Performance Simulation of Gas Turbine Engine Based on Through-Flow Method and Experimental Verification. ASME J. Eng. Gas Turbines Power 2024, 146, 051016. [Google Scholar] [CrossRef]
  30. Yimin Yang, Theoklis Nikolaidis, Soheil Jafari, Pericles Pilidis, Gas turbine engine transient performance and heat transfer effect modelling: A comprehensive review, research challenges, and exploring the future. Appl. Therm. Eng. 2024, 236 Pt A, 121523. [CrossRef]
  31. Why, E.S.K.; Ong, H.C.; Lee, H.V.; Gan, Y.Y.; Chen, W.H.; Chong, C.T. Renewable aviation fuel by advanced hydroprocessing of biomass: Challenges and perspective. Energy Convers. Manag. 2019, 199, 112015. [Google Scholar] [CrossRef]
  32. Xu, J.; Long, F.; Jiang, J.; Li, F.; Zhai, Q.; Wang, F.; Liu, P.; Li, J. Integrated catalytic conversion of waste triglycerides to liquid hydrocarbons for aviation bio-fuels. J. Clean. Prod. 2019, 222, 784–792. [Google Scholar] [CrossRef]
  33. Mata, T.M.; Mendes, A.M.; Caetano, N.S.; Martins, A.A. Properties and sustainability of biodiesel from animal fats and fish oil. Chem. Eng. Trans. 2014, 38, 175–180. [Google Scholar]
  34. Alptekin, E.; Canakci, M.; Sanli, H. Biodiesel production from vegetable oil and waste animal fats in a pilot plant. Waste Manag. 2014, 34, 2146–2154. [Google Scholar] [CrossRef] [PubMed]
  35. Altarazi, Y.S.; Yusaf, T.; Yu, J.; Gires, E.; Ghafir, M.F.; Lucas, J. A review of engine performance and emissions using single and dual biodiesel fuels: Research paths, challenges, motivations and recommendations. Fuel 2022, 326, 125072. [Google Scholar] [CrossRef]
  36. Feser, J.; Gupta, A. Performance and Emissions of Drop-In Aviation Biofuels in a Lab-Scale Gas Turbine Combustor. ASME J. Energy Resour. Technol. 2021, 143, 042103. [Google Scholar] [CrossRef]
  37. Cican, G.; Plesu, V.; Deaconu, M.; Toma, A.; Cretu, M. Performances and Emissions Evaluation of a Microturbojet Engine Running on Biodiesel Blends. ASME J. Energy Resour. Technol. 2019, 141, 72003. [Google Scholar] [CrossRef]
  38. Badami, M.; Nuccio, P.; Pastrone, D.; Signoretto, A. Performance of a small-scale turbojet engine fed with traditional and alternative fuels. Energy Convers. Manag. 2014, 82, 219–228. [Google Scholar] [CrossRef]
  39. Mirea, R.; Cican, G. Lab Scale Investigation of Gaseous Emissions, Performance and Stability of an Aviation Turbo-Engine While Running on Biodiesel Based Sustainable Aviation Fuel. Inventions 2024, 9, 16. [Google Scholar] [CrossRef]
  40. Cican, G.; Toma, A.; Puscasu, C.; Catana, R. Jet CAT P80 thermal analyses and performance assessment using different fuels types. J. Therm. Sci. 2018, 27, 389–393. [Google Scholar] [CrossRef]
  41. ASTM D1655-18a; Standard Specification for Aviation Turbine Fuels. ASTM International: West Conshohocken, PA, USA, 2018.
  42. ASTM D6751-15ce1; Standard Specification for Biodiesel Fuel Blend Stock (B100) for Middle Distillate Fuels. ASTM International: West Conshohocken, PA, USA, 2015.
  43. Sajjadi, B.; Raman, A.A.A.; Arandiyan, H. A comprehensive review on properties of edible and non-edible vegetable oil-based biodiesel: Composition, specifications and prediction models. Renew. Sustain. Energy Rev. 2016, 63, 62–92. [Google Scholar] [CrossRef]
  44. Li, J.; Li, Y. Micro gas turbine: Developments, applications, and key technologies on components. Propuls. Power Res. 2023, 12, 1–43. [Google Scholar] [CrossRef]
  45. JetCat USA. Jet Cat Instruction Manual. U.S. Patent No. 6216440, 17 April 2001. [Google Scholar]
  46. Mattingly, J. Elements of Propulsion: Gas Turbines and Rockets, 2nd ed.; American Institute of Aeronautics and Astronautics: Reston, VA, USA, 2006. [Google Scholar]
Table 1. Main parameters recorded during microturbo motor testing.
Table 1. Main parameters recorded during microturbo motor testing.
RegimeFuelTc [°C]Qc [L/h]F [N]Qa [L/h]
IdleKerosene at 0 °C619.886.395.7215.19
Kerosene at 20 °C681.136.485.0812.69
Diesel at 0 °C638.786.345.6115.17
Diesel at 20 °C700.586.125.0112.62
Max Kerosene at 0 °C544.5416.4748.93146.77
Kerosene at 20 °C601.8116.7537.56126.10
Diesel at 0 °C546.1415.4848.62146.36
Diesel at 20 °C602.7914.5435.34126.28
Disclaimer/Publisher’s Note: The statements, opinions and data contained in all publications are solely those of the individual author(s) and contributor(s) and not of MDPI and/or the editor(s). MDPI and/or the editor(s) disclaim responsibility for any injury to people or property resulting from any ideas, methods, instructions or products referred to in the content.

Share and Cite

MDPI and ACS Style

Cican, G. Experimental Transient Process Analysis of Micro-Turbojet Aviation Engines: Comparing the Effects of Diesel and Kerosene Fuels at Different Ambient Temperatures. Energies 2024, 17, 1366. https://doi.org/10.3390/en17061366

AMA Style

Cican G. Experimental Transient Process Analysis of Micro-Turbojet Aviation Engines: Comparing the Effects of Diesel and Kerosene Fuels at Different Ambient Temperatures. Energies. 2024; 17(6):1366. https://doi.org/10.3390/en17061366

Chicago/Turabian Style

Cican, Grigore. 2024. "Experimental Transient Process Analysis of Micro-Turbojet Aviation Engines: Comparing the Effects of Diesel and Kerosene Fuels at Different Ambient Temperatures" Energies 17, no. 6: 1366. https://doi.org/10.3390/en17061366

APA Style

Cican, G. (2024). Experimental Transient Process Analysis of Micro-Turbojet Aviation Engines: Comparing the Effects of Diesel and Kerosene Fuels at Different Ambient Temperatures. Energies, 17(6), 1366. https://doi.org/10.3390/en17061366

Note that from the first issue of 2016, this journal uses article numbers instead of page numbers. See further details here.

Article Metrics

Back to TopTop