Sign in to use this feature.

Years

Between: -

Subjects

remove_circle_outline
remove_circle_outline
remove_circle_outline
remove_circle_outline
remove_circle_outline
remove_circle_outline
remove_circle_outline
remove_circle_outline
remove_circle_outline

Journals

remove_circle_outline
remove_circle_outline
remove_circle_outline
remove_circle_outline
remove_circle_outline
remove_circle_outline
remove_circle_outline
remove_circle_outline
remove_circle_outline
remove_circle_outline
remove_circle_outline
remove_circle_outline
remove_circle_outline
remove_circle_outline
remove_circle_outline
remove_circle_outline
remove_circle_outline
remove_circle_outline
remove_circle_outline
remove_circle_outline
remove_circle_outline
remove_circle_outline

Article Types

Countries / Regions

remove_circle_outline
remove_circle_outline
remove_circle_outline
remove_circle_outline
remove_circle_outline
remove_circle_outline
remove_circle_outline

Search Results (1,357)

Search Parameters:
Keywords = ice object

Order results
Result details
Results per page
Select all
Export citation of selected articles as:
20 pages, 1841 KB  
Article
Novel Multifunctional Cannabidiol-Based Analogues with In Silico, In Vitro, and In Vivo Anti-SARS-CoV-2 Effect
by Graziella dos Reis Rosa Franco, Vanessa Silva Gontijo, Flávia Pereira Dias Viegas, Matheus de Freitas Silva, Cindy Juliet Cristancho Ortiz, Caio Miranda Damásio, Isabella Marie Fernandes Silva, Thâmara Gaspar Campos, Erik Vinicius de Sousa Reis, Felipe Alves Clarindo, Thaís de Fátima Silva Moraes, Matheus Müller Pereira da Silva, Patrícia Ribeiro de Carvalho França, Isabella Alvim Guedes, Laurent Emmanuel Dardenne, Jordana Grazziela Alves Coelho dos Reis, Patrícia Dias Fernandes and Claudio Viegas
Pharmaceuticals 2025, 18(10), 1565; https://doi.org/10.3390/ph18101565 - 16 Oct 2025
Abstract
Background/Objectives: COVID-19 was responsible for millions of deaths worldwide. This study aimed to identify substances with in vitro and in vivo effects against the SARS-CoV-2 virus. Methods: Compounds PQM-243 and PQM-249, two terpene-N-acyl-aryl-hydrazone analogues, were evaluated in vitro against [...] Read more.
Background/Objectives: COVID-19 was responsible for millions of deaths worldwide. This study aimed to identify substances with in vitro and in vivo effects against the SARS-CoV-2 virus. Methods: Compounds PQM-243 and PQM-249, two terpene-N-acyl-aryl-hydrazone analogues, were evaluated in vitro against SARS-CoV-2 to a antiviral activity and inhibitory effect against angiotensin converting enzyme 2 (ACE2). A possible inhibitory effect affecting the interaction between the receptor-binding domain (RBD) protein and/or ACE2 was evaluated using LUMMIT kit. A SARS-CoV-2-induced pulmonary pneumonia model was developed to evaluate the effects of the compounds after 3 days of treatment. Results: Compounds PQM-243 and PQM-249 exhibited IC50 values of 0.0648 ± 0.041 µM and 0.2860 ± 0.057 µM against SARS-CoV-2 with a selective index of >1543.21 and 349.65, respectively, and IC50 values of 12.1 nM and 13.3 nM, respectively, against ACE2. All concentrations used significantly reduced interactions between ACE2 and RBD. Computational studies suggest that these new compounds are potent direct anti-SARS-CoV-2 agents, capable of reducing both virus viability and its invasive ability in the host cells by reducing the interaction between RBD and ACE2. It was also demonstrated that even when administered by the oral route, both compounds reduced SARS-CoV-2-induced lung inflammation. Our data suggests that both compounds can act as potent direct anti-SARS-CoV-2 agents, reducing both viral viability and host cell entry. In addition, they exhibited a significant multi-target-directed pharmacological profile, also reducing SARS-CoV-2-induced lung inflammation when administered orally. Conclusions: Overall, these findings support further investigation of PQM-243 and PQM-249 as promising antiviral and anti-inflammatory multi-target prototypes for the development of innovative drug candidates targeting SARS-CoV-2 and other virus-related respiratory diseases. Full article
(This article belongs to the Special Issue Medicinal Potential of Cannabidiol and New Structural Analogs)
28 pages, 4827 KB  
Article
Therapeutic Insights into Rubus ulmifolius Schott Leaf Extract: In Vitro Antifungal, Enzyme Inhibition, and Anticancer Activities Integrated with Network Pharmacology and Molecular Docking Analyses of Colorectal and Ovarian Cancer
by Amina Bramki, Ghozlane Barboucha, Ouided Benslama, Fatiha Seglab, Fatima Zohra Makhlouf, Sirine Nessah, Chawki Bensouici, Marco Masi and Abdullah A. Shaito
Pharmaceuticals 2025, 18(10), 1563; https://doi.org/10.3390/ph18101563 - 16 Oct 2025
Abstract
Background/Objectives: This study evaluated the antifungal, enzyme inhibitory, and anticancer properties of the ethyl acetate (EtOAc) leaves extract of Rubus ulmifolius Schott using in vitro assays and in silico analysis. Methods: Antifungal activity was assessed against five fungal strains by measuring inhibition zones. [...] Read more.
Background/Objectives: This study evaluated the antifungal, enzyme inhibitory, and anticancer properties of the ethyl acetate (EtOAc) leaves extract of Rubus ulmifolius Schott using in vitro assays and in silico analysis. Methods: Antifungal activity was assessed against five fungal strains by measuring inhibition zones. Enzyme inhibition assays were conducted for acetylcholinesterase (AChE), butyrylcholinesterase (BChE), and urease. Antiproliferative effects were tested against HT-29 colorectal, SK-OV-3 ovarian, and A549 lung cancer cells using the MTT assay. Network pharmacology and molecular docking analyses were performed on major compounds previously identified by GC–MS (gallic acid, caffeic acid, catechin, and fructofuranose) to uncover the potential mechanisms of the plant in colorectal and ovarian cancers. Results: The extract displayed notable antifungal activity, particularly against Penicillium sp., Aspergillus fumigatus, and Candida albicans, with inhibition zones of 22.5 ± 0.7 to 26.8 ± 1.3 mm. Enzyme assays revealed moderate inhibition of AChE (IC50 = 92.94 ± 1.97 µg/mL), weaker activity against BChE (IC50 = 274.93 ± 2.32 µg/mL), and modest inhibition of urease (IC50 = 262.60 ± 1.41 µg/mL). The extract exhibited strong antiproliferative effects against HT-29 and SK-OV-3 cells (IC50 = 2.41 ± 0.13 and 4.63 ± 0.26 µg/mL, respectively), whereas activity against A549 lung cancer cells was limited. Network pharmacology predicted 52 and 44 overlapping target genes between the major compounds and colorectal and ovarian cancers, respectively. Protein–protein interaction networks identified hub genes for each cancer type, with key shared targets including EGFR, ESR1, PTGS2, and STAT3. Molecular docking confirmed favorable binding between these targets and the compounds, particularly catechin, which showed interactions comparable to those of reference inhibitors. Conclusions: These findings suggest that R. ulmifolius may possess multi-target antifungal, neuroprotective, and anticancer potential, warranting further in vitro pharmacological and preclinical validation. Full article
(This article belongs to the Section Pharmacology)
Show Figures

Graphical abstract

17 pages, 2838 KB  
Article
Interference-Free Measurement of Urinary Angiotensin-Converting Enzyme (ACE) Activity: Diagnostic and Therapeutic Monitoring Implications
by Attila Ádám Szabó, Enikő Edit Enyedi, Tamás Bence Pintér, Ivetta Siket Mányiné, Csongor Váradi, Emese Bányai, Attila Tóth, Zoltán Papp and Miklós Fagyas
Biomedicines 2025, 13(10), 2528; https://doi.org/10.3390/biomedicines13102528 - 16 Oct 2025
Abstract
Background/Objectives: Urinary angiotensin-converting enzyme (uACE) activity has long been regarded as a promising biomarker for kidney and cardiovascular diseases; however, its clinical applicability has been limited by the presence of endogenous urinary inhibitors and technically demanding assay protocols. We aimed to establish [...] Read more.
Background/Objectives: Urinary angiotensin-converting enzyme (uACE) activity has long been regarded as a promising biomarker for kidney and cardiovascular diseases; however, its clinical applicability has been limited by the presence of endogenous urinary inhibitors and technically demanding assay protocols. We aimed to establish a fast and reproducible method for measuring uACE activity to identify the inhibitory compounds responsible for previous assay failures and to define practical preanalytical conditions suitable for routine laboratory implementation. Methods: A fluorescence-based kinetic assay was optimized for urine samples. Endogenous inhibitors were isolated by membrane filtration and chemically characterized, while the effect of sample dilution was evaluated as a simplified alternative for eliminating inhibitory interference. We assessed the stability of ACE activity under various storage conditions to support reliable measurement. Results: Urea (IC50 = 1.18 M), uric acid (IC50 = 3.61 × 10−3 M), and urobilinogen (IC50 = 2.98 × 10−4 M) were identified as the principal reversible inhibitors, jointly accounting for up to 90% suppression of uACE activity. Their inhibitory effect was effectively eliminated by a 128-fold dilution. ACE activity remained stable for 24 h at 25 °C but was completely lost after freezing. A strong positive correlation between uACE activity and creatinine concentration (r = 0.76, p < 0.0001) justified normalization. ACE activity-to-creatinine ratio turned out to be significantly lower in ACE inhibitor-treated patients than in untreated controls (6.49 vs. 36.69 U/mol, p < 0.0001). Conclusions: Our findings demonstrate that accurate measurement of uACE activity is feasible using a rapid dilution-based protocol. The normalized ACE activity can serve as a practical biomarker for detecting pharmacological ACE inhibition and monitoring therapy adherence in cardiovascular care and may also provide insight into renal pathophysiology such as tubular injury or local RAAS-related processes. Full article
(This article belongs to the Special Issue Renin-Angiotensin System in Cardiovascular Biology, 2nd Edition)
Show Figures

Figure 1

17 pages, 3879 KB  
Article
Phytochemical Profiling and Molecular Insights of Centaurea lycaonica: Apoptosis Induction via the Intrinsic Pathway in Endometrial Cancer Cells
by Ayşe Kübra Karaboğa Arslan, Rümeysa Korubaşı, Leyla Paşayeva, Nuh Mehmet Bozkurt and Osman Tugay
Pharmaceuticals 2025, 18(10), 1558; https://doi.org/10.3390/ph18101558 - 16 Oct 2025
Abstract
Background/Objectives: The Centaurea genus is characterized by many species, a broad biological diversity, and a rich secondary metabolite content. These species exhibit various biological activities, including antioxidant, anti-inflammatory, antimicrobial, antiproliferative, and wound-healing properties. However, there are limited anticancer research studies available on [...] Read more.
Background/Objectives: The Centaurea genus is characterized by many species, a broad biological diversity, and a rich secondary metabolite content. These species exhibit various biological activities, including antioxidant, anti-inflammatory, antimicrobial, antiproliferative, and wound-healing properties. However, there are limited anticancer research studies available on the species. This study aims to investigate the potential cytotoxic effects of dichloromethane (CRD) and methanol (CRM) extracts obtained from the root of the endemic Centaurea lycaonica to clarify the mechanism of apoptosis by the intrinsic pathway on the human endometrial cancer cell line RL95-2 based on phytochemical analysis. Methods: The cytotoxicity studies were performed using a Real-Time Cell Analyzer (xCELLigence) and the MTT assay. The activities of caspase 3, caspase 9, Bax, and Bcl-2 were evaluated to investigate the molecular mechanism of apoptosis. LC-HRMS determined the phytochemical content of extracts. Results: CRD and CRM had a concentration-dependent effect in increasing caspase 3 and 9 activities and Bax/Bcl-2 ratios compared to the control with low IC50 values. Conclusions: Apoptosis induction was more pronounced with CRM, which was enriched in hesperidin; this association warrants targeted validation with purified standards. Full article
(This article belongs to the Special Issue Novel Anticancer Drug Development and Toxicity Reduction Strategies)
Show Figures

Graphical abstract

24 pages, 4388 KB  
Article
Simulation of a Hybrid Plant with ICE/HT-PEMFC and On-Site Hydrogen Production from Methane Steam Reforming
by Marco Palomba, Maria Cristina Cameretti, Luigi Pio Di Noia and Raffaele Russo
Energies 2025, 18(20), 5448; https://doi.org/10.3390/en18205448 - 16 Oct 2025
Viewed by 163
Abstract
Hydrogen-based technologies, prominently fuel cells, are emerging as strategic solutions for decarbonization. They offer an efficient and clean alternative to fossil fuels for electricity generation, making a tangible contribution to the European Green Deal climate objectives. The primary issue is the production and [...] Read more.
Hydrogen-based technologies, prominently fuel cells, are emerging as strategic solutions for decarbonization. They offer an efficient and clean alternative to fossil fuels for electricity generation, making a tangible contribution to the European Green Deal climate objectives. The primary issue is the production and transportation of hydrogen. An on-site hydrogen production system that includes CO2 capture could be a viable solution. The proposed power system integrates an internal combustion engine (ICE) with a steam methane reformer (SMR) equipped with a CO2 capture and energy storage system to produce “blue hydrogen”. The hydrogen fuels a high-temperature polymer electrolyte membrane (HT-PEM) fuel cell. A battery pack, incorporated into the system, manages rapid fluctuations in electrical load, ensuring stability and continuity of supply and enabling the fuel cell to operate at a fixed point under nominal conditions. This hybrid system utilizes natural gas as its primary source, reducing climate-altering emissions and representing an efficient and sustainable solution. The simulation was conducted in two distinct environments: Thermoflex code for the integration of the engine, reformer, and CO2 capture system; and Matlab/Simulink for fuel cell and battery pack sizing and dynamic system behavior analysis in response to user-demanded load variations, with particular attention to energy flow management within the simulated electrical grid. The main results show an overall efficiency of the power system of 39.9% with a 33.5% reduction in CO2 emissions compared to traditional systems based solely on internal combustion engines. Full article
Show Figures

Figure 1

16 pages, 1920 KB  
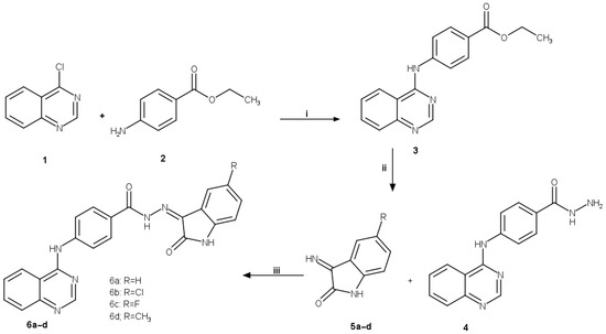
Article
Multi-Kinase Inhibition by New Quinazoline–Isatin Hybrids: Design, Synthesis, Biological Evaluation and Mechanistic Studies
by Mohammed M. Alanazi and Reem I. Al-Wabli
Pharmaceuticals 2025, 18(10), 1546; https://doi.org/10.3390/ph18101546 - 14 Oct 2025
Viewed by 134
Abstract
Background/Objectives: Cancer is a worldwide health concern and is the second leading cause of death, responsible for nearly one in six deaths. Discovery of new anticancer agents is still a challenge for medicinal chemists and further research will improve patients’ chances of survival. [...] Read more.
Background/Objectives: Cancer is a worldwide health concern and is the second leading cause of death, responsible for nearly one in six deaths. Discovery of new anticancer agents is still a challenge for medicinal chemists and further research will improve patients’ chances of survival. Protein kinases are among the most popular and successful biological targets for developing anticancer drugs. In this context, protein kinases were selected as targets, and a series of isatin–quinazoline hybrids were synthesized. Methods: Their antiproliferative activity was evaluated against four cancer cell lines (HepG2, MCF-7, MDA-MB-231, and HeLa) and one normal fibroblast cell line (WI38) using MTT assays. Results: The tested compounds showed variable cytotoxic effects on the four cancer cell lines. Compound 6c exhibited the most potent anticancer activity against all cancer cells. In addition, this compound was tested for the effect on the expression of anti-apoptotic Bcl-2 protein and pro-apoptotic proteins Bax, caspase-3, and caspase-9, which revealed induction of apoptosis similar to staurosporine. Furthermore, an annexin V-FITC/PI dual staining assay confirmed that compound 6c induced cell death by apoptosis. Flow cytometric analysis revealed that compound 6c induced cell cycle arrest at the sub-G1 and S phases in the HepG2 cell line. Moreover, compound 6c was found to be a multi-kinase inhibitor with potent inhibitory activity on CDK2, EGFR, VEGFR-2, and HER2, with IC50 values of 0.183 ± 0.01, 0.083 ± 0.005, 0.076 ± 0.004, and 0.138 ± 0.07 μM, respectively. Finally, a molecular docking simulation was conducted to predict possible binding interactions with the active site of CDK2. Conclusions: These findings suggest that compound 6c is a promising multi-kinase inhibitor with potent anticancer activity, warranting further investigation as a potential therapeutic agent. Full article
(This article belongs to the Section Medicinal Chemistry)
Show Figures

Figure 1

15 pages, 4624 KB  
Article
AI-Assisted 3D Intracardiac Echocardiography for Pulsed Field Ablation of Atrial Fibrillation Using a Novel Variable Loop Circular Catheter: A Multicenter Evaluation
by Antonio Dello Russo, Yari Valeri, Giuseppe Ciconte, Marco Schiavone, Paolo Compagnucci, Antonio Di Monaco, Stefania Riva, Raffaele Salerno, Giovanni Volpato, Laura Cipolletta, Quintino Parisi, Michela Casella, Massimo Grimaldi, Claudio Tondo and Carlo Pappone
J. Clin. Med. 2025, 14(20), 7249; https://doi.org/10.3390/jcm14207249 - 14 Oct 2025
Viewed by 181
Abstract
Background: The VARIPULSE platform is an advanced Pulsed Field Ablation (PFA) system fully integrated with electro-anatomical mapping system, employing a variable loop circular catheter (VLCC) for atrial fibrillation (AF) ablation. The objective of the study is to assess for the first time the [...] Read more.
Background: The VARIPULSE platform is an advanced Pulsed Field Ablation (PFA) system fully integrated with electro-anatomical mapping system, employing a variable loop circular catheter (VLCC) for atrial fibrillation (AF) ablation. The objective of the study is to assess for the first time the feasibility, safety, and procedural impact of AI (artificial intelligence)-assisted ICE (intracardiac echocardiography) mapping with the CARTOSOUND FAM Module compared with conventional electroanatomical mapping during PFA. Methods: In this retrospective, multicenter study, 157 consecutive patients undergoing PFA for paroxysmal or persistent AF were included. Patients were divided into two groups: ICE-guided cohort (n = 64) and non-ICE-guided cohort (n = 93). Propensity score matching (PSM) was used to adjust for baseline differences. Results: AI-assisted ICE mapping was feasible in all cases. Compared with conventional mapping, it significantly reduced LA (left atrium) mapping time (median 5 vs. 8 min; p < 0.001), LA dwell time (33.5 vs. 38.5 min; p = 0.001), and fluoroscopy time (7.5 vs. 14 min; p < 0.001). The total number of PFA applications was similar across groups (p = 0.136). No major adverse events occurred in either cohort during the procedure or within the first month of follow-up. Conclusions: AI-assisted ICE mapping using the CARTOSOUND FAM Module enables accurate anatomical reconstruction and significantly optimizes procedural efficiency in PFA. This approach supports further development toward radiation-sparing and potentially fluoroscopy-free PFA workflows. For the first time, it addresses a gap in the current evidence regarding the use of ICE in PFA, building on evidence already established for radiofrequency ablation procedures. Full article
Show Figures

Figure 1

12 pages, 776 KB  
Article
Effects of Thymoquinone on Cell Proliferation, Oxidative Damage, and Toll-like Signaling Pathway Genes in H1650 Lung Adenocarcinoma Cell Line
by Selen Karaoğlanoğlu and Gonca Gülbay
Medicina 2025, 61(10), 1835; https://doi.org/10.3390/medicina61101835 - 14 Oct 2025
Viewed by 164
Abstract
Background and Objectives: Lung cancer is the leading cause of cancer-related mortality worldwide. In most cases, lung cancer is diagnosed at an advanced stage. For advanced-stage disease, treatment options are generally systemic and while novel treatment approaches offer hope, they may also [...] Read more.
Background and Objectives: Lung cancer is the leading cause of cancer-related mortality worldwide. In most cases, lung cancer is diagnosed at an advanced stage. For advanced-stage disease, treatment options are generally systemic and while novel treatment approaches offer hope, they may also lead to significant adverse effects. Therefore, alternative therapeutic strategies have been investigated for many years. Thymoquinone (TQ) is one such candidate. Previous studies have demonstrated its antioxidant, anti-inflammatory, antibacterial, and immunomodulatory properties. In our study, we aimed to evaluate the roles of TQ in the progression of H1650 lung adenocarcinoma cells. Materials and Methods: In this study, the antiproliferative effect of TQ on H1650 lung cancer cells was evaluated using MTT assay, its effect on oxidative damage was determined using 8-OHdG, and total antioxidant status (TAS), total oxidant status (TOS), and its effect on apoptosis were demonstrated using caspase-3 ELISA method. In addition, total RNA was extracted from both control and treatment groups, cDNA was synthesized, and mRNA expression changes of Toll-like receptor related genes (TLR) were analyzed using RT-PCR. Results: The decrease in the viability of H1650 lung cancer cells was observed in a time- and dose-dependent manner. The IC50 dose of TQ in the H1650 lung cancer cell line at 48 h was 26.59 µM. TQ treatment decreased the level of TOS and increased the level of TAS in H1650 lung cancer cells. Oxidative stress index decreased in the TQ-treated dose group in H1650 lung cancer cells. Elisa 8-OHdG and caspase-3 levels were not statistically significant. Compared to the control group, no statistically significant changes were observed in TLR1, TLR2, TLR3, TLR4, TLR6, TLR7, TLR8, and TLR9 gene expressions in the treatment group treated with 26.59 µM TQ for 48 h. Conclusions: TQ shows potential as an anticancer agent and may contribute to the development of therapeutic approaches for lung cancers. Full article
(This article belongs to the Section Pulmonology)
Show Figures

Figure 1

14 pages, 646 KB  
Article
Antimicrobial: Antibiofilm, Anti-Quorum Sensing and Cytotoxic Activities of Dorystoechas hastata Boiss & Heldr. ex Bentham Essential Oil
by Timur Hakan Barak, Basar Karaca, Huseyin Servi, Simge Kara Ertekin, Tuğba Buse Şentürk, Muhittin Dinc, Hatice Ustuner and Mujde Eryilmaz
Antibiotics 2025, 14(10), 1019; https://doi.org/10.3390/antibiotics14101019 - 14 Oct 2025
Viewed by 225
Abstract
Background/Objectives: The aim of the present study was to evaluate the antimicrobial, antibiofilm, anti-quorum sensing, and cytotoxic activities of the essential oils extracted from the leaves of Dorystoechas hastata Boiss & Helder. ex Bentham (Lamiaceae) (DHL-EO) as well as to determine the chemical [...] Read more.
Background/Objectives: The aim of the present study was to evaluate the antimicrobial, antibiofilm, anti-quorum sensing, and cytotoxic activities of the essential oils extracted from the leaves of Dorystoechas hastata Boiss & Helder. ex Bentham (Lamiaceae) (DHL-EO) as well as to determine the chemical composition of the essential oils obtained from both the leaves and roots. Methods: The essential oils of the root and leaf were extracted by the hydrodistillation method. The chemical composition of the two oils was determined by Gas Chromatography–Mass Spectrometry (GC-MS). The antimicrobial activity of DHL-EO was determined against Gram-positive, Gram-negative bacteria, and various Candida species using the broth microdilution method. Pseudomonas aeruginosa PAO1 and Chromobacterium violaceum ATCC 12472 were used for antibiofilm and anti-quorum sensing activities, respectively. The cytotoxic activity of the DHL-EO was examined by MTT assay. Results: Eucalyptol (21.3%), 2-bornanone (17.0%), and α-pinene (10.3%) were the main compounds of the DHL-EO. The root essential oil (DHR-EO) had trans-ferruginol (19.2%), guaiol (14.1%), and ar-abietatriene (14.0%) as the main components. The DHL-EO displayed weak and moderate antimicrobial activity. The DHL-EO showed moderate antibacterial activity against Staphylococcus aureus ATCC 29213 (methicillin-susceptible, MSSA) and S. aureus ATCC 43300 (methicillin-resistant, MRSA), with a MIC value of 12.5 mg/mL. The DHL-EO exhibited the strongest antifungal activity against Candida parapsilosis RSKK 994, with a MIC value of 0.78 mg/mL. It also demonstrated antifungal activity against C. parapsilosis ATCC 22019 and Candida krusei RSKK 3016, with MIC values of 3.12 mg/mL. The DHL-EO showed antibiofilm activity in a concentration-dependent manner, particularly at higher concentrations, and inhibited violacein production in a dose-dependent manner, with anti-quorum sensing activity. The DHL-EO displayed moderate cytotoxic activity against MCF-7 (IC50: 110.3 μg/mL) and A549 (IC50: 120.4 μg/mL) cell lines. Conclusions: The chemical composition of DHL-EO and DHR-EO showed qualitative and quantitative differences from each other in the present study. The essential oil of the leaves showed moderate cytotoxic and antibacterial activities. Full article
Show Figures

Figure 1

14 pages, 1658 KB  
Article
Isolation and In Vitro Activity of Sesquiterpene Lactones from Eremanthus crotonoides as SARS-CoV-2 Protease Inhibitors and Cytotoxic Agents
by Patricia Homobono Brito de Moura, Natalie Giovanna da Rocha Ximenes, Beatriz Bastos Santos, Carla Monteiro Leal, Larissa Esteves Carvalho Constant, Stephany da Silva Costa, Shaft Corrêa Pinto, Michelle Frazao Muzitano, Diego Allonso, Ludger A. Wessjohann and Ivana Correa Ramos Leal
Molecules 2025, 30(20), 4053; https://doi.org/10.3390/molecules30204053 - 11 Oct 2025
Viewed by 239
Abstract
The Jurubatiba Sandbank National Park (PARNA Jurubatiba) is an ecological reserve characterized by harsh environmental conditions, including low rainfall, high sun exposure, and sandy soil. Among its native vegetation, Eremanthus crotonoides stands out for its richness in flavonoids, phenolic compounds, and sesquiterpene lactones. [...] Read more.
The Jurubatiba Sandbank National Park (PARNA Jurubatiba) is an ecological reserve characterized by harsh environmental conditions, including low rainfall, high sun exposure, and sandy soil. Among its native vegetation, Eremanthus crotonoides stands out for its richness in flavonoids, phenolic compounds, and sesquiterpene lactones. The objective of this study was to isolate and quantify sesquiterpene lactones from this species using 1H NMR and to investigate their anti-SARS-CoV-2 potential and cytotoxicity against cancer cells. UPLC-(ESI)-MS/MS analyses enabled metabolite annotation, and semi-preparative HPLC-DAD allowed the isolation of centratherin and goyazensolide, which were identified by 1D and 2D NMR. In vitro assays showed that centratherin at 10 µM concentration reduced the viability of PC-3 and HCT-116 cancer cells by 100%, while goyazensolide had no noteworthy effects. Furthermore, enzymatic inhibition assays on SARS-CoV2 targets revealed that centratherin exhibited a lower apparent IC50 of 12 µM against PLpro, while goyazensolide was more active against 3CLpro, with an IC50 of 71 µM. Notably, the dichloromethane fraction demonstrated promising activity against both enzymes, with IC50 values of 30 µM for PLpro and 11 µM for 3CLpro. This study reports, for the first time, the isolation of goyazensolide from E. crotonoides and highlights the potential of both sesquiterpene lactones as SARS-CoV-2 enzyme inhibitors. In contrast to centratherin, goyazensolide fortunately had almost no cytotoxic effects at inhibition concentration on the cells tested. This shows that anticancer and anti-SARS effects can be separated and should have different SARs, an important prerequisite for further development. Full article
Show Figures

Figure 1

20 pages, 3833 KB  
Article
Targeting NFAT2 for Reversing the P-gp-Mediated Multidrug Resistance to Paclitaxel by Manidipine
by Jian Zhou, Nan Wang, Yu-Kang Lin, Qi-Lu Li, Rui-Ming Liu, Jia-Qin Hu, Hua Zhou, Hai Lan and Ying Xie
Cancers 2025, 17(20), 3289; https://doi.org/10.3390/cancers17203289 - 10 Oct 2025
Viewed by 357
Abstract
Background: Multidrug resistance (MDR), primarily driven by P-glycoprotein (P-gp)-mediated drug efflux, presents a significant challenge in cancer therapy, contributing to chemotherapy failure and poor patient outcomes. Objectives: In this study, we explored the potential of manidipine (MA), a clinically approved calcium channel blocker, [...] Read more.
Background: Multidrug resistance (MDR), primarily driven by P-glycoprotein (P-gp)-mediated drug efflux, presents a significant challenge in cancer therapy, contributing to chemotherapy failure and poor patient outcomes. Objectives: In this study, we explored the potential of manidipine (MA), a clinically approved calcium channel blocker, to reverse P-gp-mediated MDR through modulation of calcium signaling via nuclear factor of activated T cells 2 (NFAT2). Methods: Paclitaxel (PTX) resistance ABCB1-overexpressing cancer in vitro and in vivo were used for evualting the anti-MDR effects of MA, as well as the underlying mechanism with siRNA of NFAT2. Results: We found that MA at non-toxic concentrations (0.6–5.4 μM) significantly sensitize drug-resistant colorectal (HCT-8/T) and non-small cell lung (A549/T) cells to PTX, reducing its IC50 by up to 1328-fold in vitro models. Mechanistically, MA inhibited P-gp efflux activity without altering its expression, as shown by an increased intracellular accumulation of doxorubicin and Flutax-2 (2.3- and 3.1-fold, respectively) and dose-dependent modulation of ATPase activity (EC50 = 4.16 μM). Notably, MA reduced intracellular calcium levels (52% reduction, p < 0.001) and downregulated NFAT2, an oncogene overexpressed in resistant cells. In vivo, MA (3.5 mg/kg) synergizes with PTX to inhibit tumor growth by 68% (p < 0.001) in A549/T xenograft model, without an observable decrease in weight. Conclusions: In sum, all these results position MA as a novel NFAT2 inhibitor to overcome P-gp-mediated MDR via modulating calcium signaling, which points to further investigation for its clinical applications. Full article
(This article belongs to the Section Molecular Cancer Biology)
Show Figures

Figure 1

11 pages, 7598 KB  
Article
ICECleSHZ29: Novel Integrative and Conjugative Element (ICE)-Carrying Tigecycline Resistance Gene tet(X6) in Chryseobacterium lecithinasegens
by Xi Chen, Yifei Zhang, Chunling Jiang, Yafang Lin, Xiaohui Yao, Wansen Nie, Lin Li, Jianchao Wei, Donghua Shao, Ke Liu, Zongjie Li, Yafeng Qiu, Zhiyong Ma, Beibei Li and Lining Xia
Antibiotics 2025, 14(10), 1002; https://doi.org/10.3390/antibiotics14101002 - 10 Oct 2025
Viewed by 249
Abstract
Background/Objectives: The global dissemination of tet(X) variants critically threatens tigecycline efficacy as a last-resort antibiotic. The aim of this study was to characterize a tet(X6)-carrying integrative and conjugative element (ICE) in a multidrug-resistant Chryseobacterium lecithinasegens strain, SHZ29, isolated from Shanghai, China. [...] Read more.
Background/Objectives: The global dissemination of tet(X) variants critically threatens tigecycline efficacy as a last-resort antibiotic. The aim of this study was to characterize a tet(X6)-carrying integrative and conjugative element (ICE) in a multidrug-resistant Chryseobacterium lecithinasegens strain, SHZ29, isolated from Shanghai, China. Methods: Minimum inhibitory concentrations (MICs) were determined by broth microdilution for SHZ29. Whole genomic sequencing and bioinformatic analysis were performed to depict the structure of the novel tet(X6)-carrying ICE. Inverse PCR and conjugation experiments were conducted to investigate the transfer ability of the ICE. Results: We depicted a novel tet(X6)-carrying ICE, named ICECleSHZ29, which is 74,906 bp in size and inserted into the 3′ end of tRNA-Met-CAT gene of the C. lecithinasegens strain SHZ29, with 17 bp direct repeats (5′-tcccgtcttcgctacaa-3′). This ICE possesses a 38 kb conserved backbone and four variable regions (VR1-4), with VR3 aggregating multiple resistance genes, including tet(X6), tet(X2), erm(F), ere(D), floR, catB, sul2, ant(6)-I and blaOXA-1327. NCBI database searching identified 13 additional ICEs sharing a similar backbone to ICECleSHZ29. These ICECleSHZ29-like ICEs could be classified into two types based on their distinct insertion sites: Type I, inserted at the tRNA-Met-CAT gene; and Type II, inserted at the tRNA-Glu-TTC gene. Phylogenetic analysis indicated that differences in integrases may result in differences in the insertion site among these ICEs. A circular intermediate form of ICECleSHZ29 was detected by inverse PCR. However, the conjugation experiments using Escherichia coli EC600 as recipients failed. Conclusions: To our knowledge, this study provides the first report of tet(X6) in C. lecithinasegens and characterizes its carrier, a novel ICE: ICECleSHZ29. Full article
Show Figures

Figure 1

9 pages, 1795 KB  
Communication
Antiviral Activity of Glucosyl Hesperidin Against Feline Calicivirus
by Sung-Sook Choi, Sun-Hyung Lee and Kyung-Ae Lee
Microorganisms 2025, 13(10), 2332; https://doi.org/10.3390/microorganisms13102332 - 10 Oct 2025
Viewed by 218
Abstract
The objective of this study was to evaluate the antiviral activity of glucosyl hesperidin (GH), a water-soluble derivative of hesperidin with known antioxidant and anti-inflammatory properties, in order to explore its potential applications. Antiviral activity was assessed using feline calicivirus (FCV), a surrogate [...] Read more.
The objective of this study was to evaluate the antiviral activity of glucosyl hesperidin (GH), a water-soluble derivative of hesperidin with known antioxidant and anti-inflammatory properties, in order to explore its potential applications. Antiviral activity was assessed using feline calicivirus (FCV), a surrogate model for human norovirus, a major foodborne pathogen. Cytotoxicity testing in Crandell–Rees feline kidney (CRFK) cells demonstrated that GH exhibited high biocompatibility, maintaining 100% cell viability at concentrations up to 8000 μM. Antiviral efficacy assays revealed that GH inhibited FCV replication in a concentration-dependent manner across the range of 250~8000 μM, with a half-maximal inhibitory concentration (IC50) of 3281 μM. Complete viral inhibition, however, was not achieved at the maximum concentration tested. In conclusion, GH was shown to inhibit FCV while maintaining low cytotoxicity, indicating its potential as a natural, water-soluble candidate for the suppression of norovirus. Full article
(This article belongs to the Special Issue Natural Products for Antimicrobial Therapy)
Show Figures

Figure 1

21 pages, 2203 KB  
Article
LSTM-PPO-Based Dynamic Scheduling Optimization for High-Speed Railways Under Blizzard Conditions
by Na Wang, Zhiyuan Cai and Yinzhen Li
Systems 2025, 13(10), 884; https://doi.org/10.3390/systems13100884 - 9 Oct 2025
Viewed by 372
Abstract
Severe snowstorms pose multiple threats to high-speed rail systems, including sudden drops in track friction coefficients, icing of overhead contact lines, and reduced visibility. These conditions can trigger dynamic risks such as train speed restrictions, cascading delays, and operational disruptions. Addressing the limitations [...] Read more.
Severe snowstorms pose multiple threats to high-speed rail systems, including sudden drops in track friction coefficients, icing of overhead contact lines, and reduced visibility. These conditions can trigger dynamic risks such as train speed restrictions, cascading delays, and operational disruptions. Addressing the limitations of traditional scheduling methods in spatio-temporal modeling during blizzards, real-time multi-objective trade-offs, and high-dimensional constraint solving efficiency, this paper proposes a collaborative optimization approach integrating temporal forecasting with deep reinforcement learning. A dual-module LSTM-PPO model is constructed using LSTM (Long Short-Term Memory) and PPO (Proximal Policy Optimization) algorithms, coupled with a composite reward function. This design collaboratively optimizes punctuality and scheduling stability, enabling efficient schedule adjustments. To validate the proposed method’s effectiveness, a simulation environment based on the Lanzhou-Xinjiang High-Speed Railway line was constructed. Experiments employing a three-stage blizzard evolution mechanism demonstrated that this approach effectively achieves a dynamic equilibrium among safety, punctuality, and scheduling stability during severe snowstorms. This provides crucial decision support for intelligent scheduling of high-speed rail systems under extreme weather conditions. Full article
Show Figures

Figure 1

11 pages, 510 KB  
Article
Physical Therapists’ Attitudes and Beliefs Regarding Treatment for Knee Osteoarthritis
by Rami Mal, Evangelos Pappas and Hosam Alzahrani
J. Clin. Med. 2025, 14(19), 7095; https://doi.org/10.3390/jcm14197095 - 8 Oct 2025
Viewed by 330
Abstract
Background/Objective: Osteoarthritis (OA) is a progressive joint disease. Physical therapists are essential in managing OA, improving patient outcomes, and slowing disease progression, making it vital to understand their beliefs about optimal knee OA treatment. The objective is to explore physical therapists’ beliefs and [...] Read more.
Background/Objective: Osteoarthritis (OA) is a progressive joint disease. Physical therapists are essential in managing OA, improving patient outcomes, and slowing disease progression, making it vital to understand their beliefs about optimal knee OA treatment. The objective is to explore physical therapists’ beliefs and attitudes toward knee OA treatment in Saudi Arabia and their alignment with guidelines. Methods: This cross-sectional study includes physical therapists working in Saudi Arabia who had managed at least two knee OA patients in the past six months. The survey questionnaire included questions about attitude statements, clinical management, a case study of an elderly patient with knee OA, and measurements of the level of illness perceptions and treatment choices. Results: This study includes 373 physical therapists (average age: 31.25 (SD 7.17); male (52.4%)). The most commonly used interventions for knee OA were strengthening exercises (19.0%) and flexibility or range of movement exercises (14.7%). About 30.4% of therapists supervised exercises in the clinic, and 89.9% provided educational advice, often focusing on weight loss, analgesia, knee support, and the use of ice or heat. Most therapists opted for treatment programs involving four to seven sessions (45.7%), with 82.2% offering follow-up care through an open appointment after discharge. Conclusions: The results indicate good alignment between clinical practice guidelines and physical therapists’ attitudes toward knee OA management in Saudi Arabia, though some differences exist. Therapists frequently combined exercise with educational advice on weight loss and analgesia, monitored exercise adherence, and offered follow-up care. Full article
Show Figures

Figure 1

Back to TopTop