Next Article in Journal
Uncertainty Evaluation of CMM and Optical 3D Scanning in Centrifugal Rotor Inspection
Next Article in Special Issue
Metrological Validation of Low-Cost DS18B20 Digital Temperature Sensors Using the TH-001 Procedure: Calibration Models, Uncertainty, and Reproducibility
Previous Article in Journal / Special Issue
Sdr as a Key Roughness Parameter for Monitoring the Temporal Stability of Measuring Instruments: Short- and Extended-Time Uncertainties
 
 
Font Type:
Arial Georgia Verdana
Font Size:
Aa Aa Aa
Line Spacing:
Column Width:
Background:
Article

Acoustic Emission and Machine Learning Approaches for Assessing Mechanical Degradation in Aged Unidirectional Glass Fiber-Reinforced Thermoplastics

by
Jorge Palacios Moreno
and
Pierre Mertiny
*
Department of Mechanical Engineering, University of Alberta, Edmonton, AB T6G 2R3, Canada
*
Author to whom correspondence should be addressed.
Metrology 2026, 6(1), 11; https://doi.org/10.3390/metrology6010011
Submission received: 16 December 2025 / Revised: 4 February 2026 / Accepted: 11 February 2026 / Published: 13 February 2026

Abstract

Unidirectional glass fiber-reinforced thermoplastic (UGFT) composite tapes are promising recyclable structural materials for applications such as composite pressure pipes. However, their durability under hydrothermal environments remains a critical concern. This study emphasizes metrology-driven evaluation of aging behavior in polypropylene-based UGFT tapes. Specimens were conditioned at 95 °C in a deionized-water environment for up to 4 weeks, and multiple complementary measurement techniques were applied to quantify degradation. Mass-change metrology was performed to characterize water uptake kinetics and establish diffusion-driven aging progression. Tensile testing enabled quantitative assessment of mechanical strength retention, defining a >25% reduction in strength as a threshold for significant deterioration. Acoustic emission (AE) acted as the central non-destructive monitoring method, capturing high-fidelity waveforms generated during loading. AE waveform descriptors, such as amplitude, rise time, and frequency content, served as measurable indicators of internal damage mechanisms including matrix cracking, interfacial debonding and fiber breakage. To process large AE datasets, principal component analysis was used for dimensionality reduction, followed by k-means clustering to group signals by damage type. Optical microscopy provided microstructural verification of these classifications. The integrated metrological framework demonstrates a reliable pathway to monitor, identify, and quantify damage evolution in hydrothermally aged UGFT structures.

1. Introduction

Unidirectional glass fiber-reinforced thermoplastic (UGFT) composite tapes exhibit high toughness, making them an attractive alternative to conventional thermosetting composites for demanding structural applications [1]. Despite this potential, several barriers still limit their widespread adoption [2]. Compared to thermosets, part fabrication with UGFT is more challenging due to the requirement of higher processing temperatures and the inherently higher melt viscosity of thermoplastics. In addition, certain thermoplastics such as polypropylene (PP) are vulnerable to prolonged exposure at elevated thermal conditions. Under such circumstances, mechanical performance may degrade substantially because of polymer matrix softening and deterioration of the fiber–matrix interface caused by thermally induced stresses. UGFT tapes are already being implemented as reinforcement in thermoplastic composite pipes intended for long-term service at elevated temperatures. Nevertheless, concerns about their durability under various environmental conditions continue to restrict broader use across industries. For this reason, a more detailed understanding of the mechanical response of UGFTs when subjected to aging effects is essential.
Numerous studies demonstrated that the thermal and mechanical performance of polymer composites can suffer as a result of moisture uptake. For instance, Yilmaz and Sinmazcelik [3] investigated glass-fiber/polyetherimide laminates subjected to hydrothermal aging at two different temperatures under high humidity. Their analysis compared as-received and aged specimens, revealing that moisture retention in aged laminates led to a lower glass transition temperature and a deterioration in mechanical properties. In another study, Nayak and Ray [4] explored the role of nano-Al2O3 fillers in controlling moisture absorption and preserving properties of glass fiber reinforced nanocomposites after hydrothermal treatment. They reported that incorporating 0.1 wt % nano-Al2O3 reduced the moisture diffusion coefficient by 10%, while improving flexural strength and interlaminar shear strength by 16% and 17%, respectively, compared with unfilled composites. However, the filler addition did not improve the glass transition temperature. Gibhart et al. [5] focused on the effects of salt water on the fatigue performance of glass fiber reinforced polymers, finding that saturated samples suffered a pronounced reduction in fatigue life, accompanied by debonding and interfacial cracking even without applied stress. Zhu et al. [6] further studied continuous carbon fiber/epoxy composites manufactured by pultrusion, showing that hydrothermal exposure caused a rapid decline in bending strength within three days before reaching a stable state. Fractographic observations confirmed weakened fiber/matrix interfacial bonding, with increased fiber pull-out. More recently, Cheng and Cao [7] examined glass fiber-reinforced cross-ply laminates immersed in distilled water at 25 °C, 40 °C, and 70 °C for 60 days. After aging, the composites exhibited significant property losses, with tensile, compressive, and bending strengths reduced by 31.7%, 12.9%, and 27.0%, respectively.
Non-destructive techniques (NDTs) such as Acoustic Emission (AE) have gained significant attention for investigating the mechanical behavior of aged unidirectional fiber-reinforced composites. Mouzakis and Dimogianopoulos [8] assessed the impact of temperature, humidity, and UV exposure on the mechanical behavior of carbon fiber (CF) composites in passenger aircraft. They used an AE technique during three-point bending tests on pristine, thermally shocked, and environmentally aged specimens. The correlation between AE signal parameters and mechanical response revealed clear changes due to aging effects. Chen et al. [9] studied the hydrothermal aging of unidirectional flax fiber reinforced composites in distilled water at different temperatures using AE. Analyzing the AE signals showed that higher temperatures accelerated the initiation of defects during the early loading stage. Cluster analysis revealed a higher proportion of delamination events contributing to the failure process. Fiber breakage signals with greater peak frequency also increased under hydrothermal aging. Microscopy confirmed related damage behavior in aged specimens. Later, Rubio-Gonzalez et al. [10] proposed a methodology integrating an AE technique with carbon nanotube networks to monitor damage progression in glass fiber epoxy composites under flexural loading. Different stacking sequences were fabricated and tested, and AE data were classified using k-means clustering and principal component analysis (PCA) to identify damage mechanisms including matrix cracking, debonding, delamination, and fiber breakage. Electrical resistance changes and AE parameters effectively captured specific failure events during damage evolution. Post-failure scanning electron microcopy (SEM) revealed reduced damage severity in CNT-reinforced specimens due to a reinforcement effect. Overall, the combined AE and self-sensing approach proved complementary for reliable monitoring composite damage progression. Recently, Sukurr et al. [11] investigated the hydrothermal aging of CF/polyetherketoneketone (PEKK) composites with 5% void content manufactured by automated fiber placement. Material characterization revealed plasticization and post-crystallization phenomena, indicated by changes in FTIR spectra, the emergence of a secondary glass transition in differential scanning calorimetry and dynamic mechanical analysis, and reductions in viscoelastic properties. Mechanical testing showed decreases in tensile strength, strain at failure, and modulus after 30 days of hot-water exposure. AE analysis identified damage mechanisms associated with fiber/matrix interface weakening, which were validated through SEM observations. The findings highlighted aging-induced damage triggered by localized water absorption in in situ consolidated CF/PEKK composites.
The long-term mechanical performance of products manufactured with UGFT tapes under elevated temperature and harsh environments remains insufficiently understood. Notably, these materials are increasingly deployed as structural reinforcements in thermoplastic composite pipelines, where they are continuously exposed to hydrothermal conditions that may accelerate degradation. Such conditions motivate the adoption of advanced non-destructive evaluation methods capable of tracking internal damage evolution, particularly AE combined with modern data-driven classification techniques. In this study, a metrology-driven approach is established to evaluate the tensile performance of UGFT tapes subjected to immersion in deionized (DI) water at 95 °C for up to four weeks. This temperature reflects realistic operating conditions for composite pipe systems in the oil and gas sector. To contextualize degradation severity, any tensile strength reduction exceeding 25% during aging was regarded as structurally significant. This framework enables a systematic assessment of durability against hydrothermal stressors. Following our previous work [12], the AE technique was employed to capture the progressive damage responses of both pristine and aged specimens loaded in the fiber direction. The damage mechanisms of interest include matrix cracking, matrix–fiber interfacial debonding and fiber breakage—phenomena directly linked to the integrity and load-transfer capability of unidirectional composites. In this study, the AE analysis was based on signal-derived parameters rather than raw waveforms. While waveforms contain a comprehensive record of acoustic activity, their direct interpretation is computationally demanding and highly sensitive to ambient noise. Processed AE descriptors, by comparison, offer noise-robust and quantifiable features that streamline statistical interpretation, support pattern recognition, and enhance compatibility with unsupervised learning approaches. A total of 14 AE parameters were incorporated, similar to other scientific works [12,13,14,15,16,17], including rise time, counts, energy, duration, amplitude, frequency-related descriptors, root mean square, and signal strength. To reduce redundancy and emphasize the most sensitive indicators of damage, PCA [16,18] was applied prior to clustering. The k-means algorithm [16,19,20] was then used to group AE events according to their statistical similarity, enabling the identification of cluster patterns that reflect underlying damage modes. In contrast to our previous work [12], the glass fiber (GF) material was also characterized by itself to obtain information about fiber breakage. To complement the mechanical and AE assessments, water-uptake behavior of UGFT tapes was quantified by periodic mass measurements throughout the aging duration, providing insight into moisture uptake and potential plasticization effects. The workflow presented here provides an effective strategy for linking hydrothermal aging effects to the mechanical reliability of UGFT tapes. By integrating AE-based feature analysis with unsupervised learning, the approach strengthens damage interpretation and enhances the prospects for real-time structural health monitoring in industrial composite structures.
It is important to mention that a metrology-driven framework is adopted in this study to ensure that damage assessment is grounded in quantifiable, repeatable, and cross-validated measurements rather than solely qualitative interpretation of AE patterns. In this context, ‘metrology-driven’ refers to the systematic integration of calibrated experimental measurements, explicitly defined degradation thresholds, and statistically robust data analysis to characterize aging-induced damage. Mechanical strength retention, mass-change measurements, and AE-derived descriptors are treated as complementary measurement channels, each providing independent but interrelated information on material degradation. Signal-level rigor is enforced by using standardized AE descriptors and dimensionality reduction via PCA, ensuring that damage classification is driven by measurable features with minimal redundancy. Unsupervised clustering outcomes are further validated through frequency-domain AE analysis and optical microscopy, providing physical traceability between measured signals and observed damage mechanisms. This approach distinguishes the present work from conventional AE-based studies by embedding metrological principles of objectivity, repeatability, and cross-validation directly into the experimental and analytical workflow.

2. Materials and Methods

2.1. Materials

In this study, commercially available glass fiber-reinforced polypropylene (GF-PP) tapes were selected as the test samples. The choice of this material was motivated primarily by its relatively low thickness, which enables accelerated experimental protocols. A thinner tape cross-section facilitates faster moisture saturation, thereby allowing researchers to capture the essential features of water uptake and associated material property evolution over comparatively short aging durations. This approach is particularly useful for investigating hydrothermal aging mechanisms without the need for excessively long immersion periods. The specific tape employed in the experiments was the GPP62-1050 grade, supplied by Jiangsu QIYI Technology Co., Ltd. (Zhenjiang, China). According to the manufacturer’s datasheet, the tape has a nominal thickness of 0.5 mm and a width of 49 mm, making it suitable for both mechanical and physical characterization under controlled conditions. The tape having consistent dimensions ensured uniformity in exposure to the aging environment, reducing variability and improving the reproducibility of test results.
To verify the consistency of the reinforcement content, the fiber weight fraction was determined through ash content tests, in accordance with established procedures [21,22]. The experimental results confirmed that the fiber content of the thermoplastic tape was within the range specified by the supplier, namely 60 ± 5%. This verification step was essential, as the fiber-to-matrix ratio strongly influences not only the mechanical response of the composite but also its susceptibility to moisture uptake and degradation. A higher fiber fraction typically enhances stiffness and strength, while the matrix fraction governs moisture diffusion and plasticization effects. By ensuring conformity with manufacturer specifications, the study established a reliable baseline for subsequent aging experiments and material characterization. In terms of mechanical testing, fiber samples were tested in addition to the tape material, to identify the fiber breakage mechanism. Table 1 provides an overview of the test types, number of specimens for each geometry, corresponding dimensions, and the anticipated damage mechanisms. Each test conducted yields distinct insights into the damage behavior expected within the GF-PP tape.

2.2. Experimental Conditions

2.2.1. Acoustic Emission Setup

Figure 1a–e present the schematic representation and photographic documentation of the experimental setup used to investigate the expected damage mechanisms in the GF-PP tapes and the glass fiber specimens, following the methodology in [12]. The first stage of the investigation focused on acquiring AE data during several mechanical tests to identify and characterize the initiation and progression of damage events. AE monitoring was performed using a Micro-SHM system integrated with AEWin software (Version V1.21, Physical Acoustics, West Windsor Township, NJ, USA), as shown in Figure 1c. The AE signals were detected using a PK15I piezoelectric sensor, a medium-frequency resonant transducer developed by Physical Acoustics. This sensor includes an integrated, ultralow-noise, low-power preamplifier with a fixed gain of 26 dB, ensuring high sensitivity and signal fidelity. To minimize background noise and maintain consistency with comparable studies [16,20,23], a threshold level of 35 dB was applied for AE event detection. Following acquisition, the AE data were processed and analyzed using the selected computational environment. The post-processing stage involved the implementation of an unsupervised learning methodology for classifying AE signal waveforms, as illustrated in Figure 1e, which facilitated the differentiation of signals corresponding to distinct damage modes. Two AE sensor channels, designated as Ch1 and Ch2, were employed to enhance spatial resolution and improve the accuracy of event localization. Distinct hit detection times (HDTs) were set for each channel, 50 µs for Ch1 and 100 µs for Ch2, to optimize data collection under varying event rates, as shown in Figure 1a,b. Additionally, the system was configured with a peak detection time (PDT) of 50 µs and a hit lock time (HLT) of 100 µs to prevent signal overlap and ensure accurate event discrimination. The selection of these timing parameters was guided by prior investigations on polymeric composite materials exhibiting comparable acoustic responses and mechanical characteristics [12,16,20,23]. Such parameter tuning is essential to capture AE signals with high sensitivity and precision, enabling reliable identification of damage mechanisms such as matrix cracking, interfacial debonding, and fiber breakage during testing.

2.2.2. Mechanical Properties Testing

Tensile testing of the GF-PP tapes (Figure 1a) was performed under controlled laboratory conditions, with all tests conducted in air at standard room temperature. A universal testing machine (model 810, MTS Systems, Eden Prairie, MN, USA) equipped with a 100 kN load cell (Figure 1d) was used to ensure sufficient load capacity and accurate force measurement. The test configuration followed the ASTM D3039-17 standard [24], which is widely adopted for the tensile characterization of polymer-matrix composites. A gauge length of 150 mm was defined, and the loading was applied at a constant stroke rate of 5.0 mm/min to maintain quasi-static test conditions. To provide statistically reliable results, a minimum of five replicate specimens was evaluated for each aging duration under study. Special care was taken in specimen preparation and mounting to avoid premature grip-induced damage, which can compromise the accuracy of tensile results. To this end, the specimen extremities were reinforced using a combination of sandpaper, protective tabs, and aluminum tape, which improved surface friction and reduced the likelihood of slippage within the grips. A uniform gripping pressure was applied and carefully monitored to maintain consistent clamping without introducing stress concentrations at the ends. This approach ensured that failure consistently occurred within the designated gauge length rather than at the grip regions, thereby complying with ASTM D3039 requirements and improving the reliability of the obtained tensile data. Although the specimen geometry differs slightly from a conventional ASTM D3039 coupon, the dimensions reflect the as-received geometry of the commercial GF-PP tapes. The reduced thickness facilitates accelerated hydrothermal conditioning while preserving a representative unidirectional stress state under axial loading. Consequently, fiber-dominated failure remains the primary fracture mode, with matrix cracking and fiber–matrix debonding becoming more pronounced after aging. These geometric characteristics do not affect the identification of damage mechanisms, as the AE clustering consistently resolved the same dominant damage modes across all conditions.
In addition, single-fiber tensile tests were performed at room temperature using specially designed Capstan grips for fiber testing (Figure 1b), following the procedures outlined in ASTM D2256M-21 and ASTM D2343-17 [25,26]. The experiments were carried out at a constant displacement rate of 250 mm/min, with a gauge length of approximately 250 mm. A minimum of ten specimens were tested to ensure statistical reliability. Fiber failure was identified by a sudden drop in the applied load, and the maximum load recorded from the load–displacement curve was considered the breaking load.

2.2.3. Aging Conditions

The aging conditions for the GF-PP tapes in this study were designed to replicate challenging environments that are of interest both from a scientific perspective and for practical industrial applications. Among the various media considered, water has consistently been identified as the most common and, at the same time, one of the most aggressive agents of material aging. In particular, DI water was selected to eliminate the influence of dissolved salts or other impurities, thereby allowing a highly controlled evaluation of hydrothermal effects. Alongside hydrothermal exposure, pure thermal aging was also investigated to isolate the influence of elevated temperature alone. The target temperature was fixed at 95 °C, a level chosen for two reasons. First, it falls within a range relevant to a wide spectrum of engineering applications, such as piping, automotive components, and structural parts, where polymers and their composites may encounter sustained thermal loads. Second, this temperature is sufficiently high to accelerate degradation phenomena without exceeding the thermal stability limits or melting points of the polymer constituents. This ensures that the observed property changes can be meaningfully attributed to realistic aging mechanisms rather than catastrophic thermal failure.
The duration of the exposure was systematically varied between 1 and 4 weeks. Such a time frame was selected to simulate medium-term service conditions while remaining practical for laboratory testing. Accelerated tests at this scale provide valuable insights into property changes that would otherwise require years of real-time aging to observe [27,28,29]. Importantly, the authors defined a property reduction exceeding 25% as significant, acknowledging that even relatively moderate decreases in mechanical performance can critically affect the long-term reliability of polymer-based materials in demanding service environments. For the experiments, samples were placed inside sealed glass jars containing the aging media. These jars were then positioned in a controlled oven environment. This setup ensured uniform exposure of the specimens to DI water, while minimizing contamination and external fluctuations. Such an arrangement also allowed for the simultaneous testing of multiple specimens, thereby improving the statistical robustness of the results. Notice that the GF specimens were not aged because this study focused on the aging of GF-PP tapes.

2.2.4. Mass Change Measurement

Mass change measurements of GF-PP tapes were performed in accordance with ASTM D5229M-20 [30], which provides standardized procedures for moisture conditioning and testing of polymer matrix composites. To ensure reliable results, a precision balance with an accuracy of 0.001 g was used to detect small variations in specimen weight, either due to water absorption or mass loss. For each aging condition, five identical specimens were immersed in DI water at 95 °C. Prior to immersion, all specimens were carefully dried in an oven to remove any residual moisture, establishing a consistent baseline weight. During the aging period, specimens were periodically retrieved from the conditioning medium at predetermined intervals, briefly surface-dried to remove excess fluid, and immediately weighed to capture transient weight changes. This procedure allowed monitoring the uptake of water as the polymer matrix absorbed moisture and later underwent desorption when drying was carried out. At the end of the full aging duration, the final weights were also recorded to evaluate the long-term equilibrium state. The relative change in mass was calculated using the following equation [31]:
W = w t w i w i
where W represents the relative mass gain, wi is the initial dry weight of the specimen, and wt is the weight of the aged specimen at time t. This equation normalizes the measured weight change of each specimen relative to its initial condition, accounting for small dimensional or mass differences among samples. Such normalization was critical, as even slight variations in specimen geometry could otherwise obscure the true material response.

2.3. Unsupervised Learning Methods

2.3.1. Principal Component Analysis

Principal component analysis is a statistical method used to reduce the complexity of multidimensional datasets by transforming correlated variables into a smaller number of uncorrelated variables, known as principal components [18]. This approach is based on the concept of covariance, which quantifies the strength and direction of linear relationships between variables. Its purpose is to extract the most relevant information from data, typically represented in a matrix [X] of m observations and n parameters, thereby simplifying analysis while preserving the essential structure. The first principal component is defined as the linear combination of variables that captures the maximum variance in the dataset. Each subsequent component is constrained to be orthogonal to the previous ones while explaining the next highest variance. The resulting values, called factor scores, are interpreted as projections of the original observations onto these new axes. Because the components are orthogonal, PCA eliminates redundancy and highlights the most significant patterns in the data [16]. Mathematically, PCA is performed through singular value decomposition (SVD) of the data matrix [X], expressed as [X] = [P][Δ][Q]ᵀ. Here, [P] and [Q] contain the eigenvectors of [X][X]ᵀ and [X]ᵀ[X], respectively, while [Δ] is a diagonal matrix of singular values. This decomposition provides the basis for constructing the principal components, where eigenvalues correspond to the variances explained by each component. Finally, the factor matrix [F] = [P][Δ] contains the transformed data in the principal component space, while [Q] provides the coefficients for forming linear combinations of the original variables. Since the eigenvalues represent the covariance structure of [X], they guide the selection of how many principal components should be retained to capture the majority of the variance in the data.

2.3.2. K-means Algorithm

The k-means algorithm [16,19,20] is a widely used unsupervised learning technique designed to partition a dataset, typically represented in a matrix [X] of m observations and n parameters, into a predefined number of groups, or clusters, by minimizing the variance within each group of variables xij, in which i = 1, …, n and j = 1, …, m. At the beginning of the process, the coordinates of the group centers, often referred to as centroids, are either assigned randomly or chosen manually based on prior knowledge. Each input vector xij is then evaluated and assigned to the cluster whose centroid is closest, a decision made by computing the Euclidean distance between the data point and all available centroids. The Euclidean distance is given by [16,19,20]:
d x 1 j ,   x 2 j   = j = 1 n x 1 j x 2 j 2 .
This ensures that each point belongs to the group with the most similar features in terms of spatial proximity. Once the assignment step is complete, the centroids are recalculated by taking the mean of all the data points assigned to each cluster. These updated centroids replace the old coordinates and become the new reference points for the next iteration. This iterative cycle of assigning points to the nearest centroid and recalculating new centroids continues until the algorithm reaches convergence. Convergence is typically defined as the stage when the cluster assignments no longer change significantly, or when the movement of the centroids between successive iterations falls below a pre-set threshold.

2.3.3. Optimal Cluster Number Determination

The Davies-Bouldin index (DB) [32] and Calinski–Harabasz (CH) index [33] were employed to quantitatively identify the most suitable number of clusters in the k-means algorithm. The DB index serves as an internal validation criterion that evaluates the quality of clustering by computing the average similarity between each cluster and its most similar counterpart. In this context, similarity is defined as the ratio between intra-cluster dispersion and inter-cluster separation. Accordingly, clusters that are more compact and well-separated yield lower DB index values. Therefore, the optimal number of clusters corresponds to the configuration that produces the minimum DB index, which can be calculated using the following expression [32]:
D B = 1 K i = 1 K m a x a i a j A i j
where K is the number of clusters, ai and aj are the intra-cluster distance within a cluster, in which ij, and Aij is the inter-cluster between class i and j.
An alternative and effective metric is the Calinski–Harabasz index, which evaluates clustering performance based on both the compactness within clusters and the separation between clusters. A higher ratio between these two characteristics yields a greater CH index value with a more distinct and well-structured clustering outcome, indicating the optimal number of clusters. The CH index is mathematically expressed as follows [33]:
C H = B K · N K W K · K 1 ; B K = k = 1 K a k μ k μ 2 ; W K = k = 1 K η i ϵ C j η i μ k 2
where BK is the inter-cluster divergence matrix, WK is he intra-cluster divergence cluster, K is the number of clusters, N is the total number of samples, ak is the number of samples in cluster k, µk is the centroid of cluster k, µ is the overall mean vector of all samples, ηi is the observation vector and Ck is the set of all points assigned to cluster k.

2.3.4. External Cluster Evaluation Metric

To verify the robustness of the clustering outcomes, the Adjusted Rand Index (ARI) [34,35] was utilized as a quantitative measure of clustering stability. The ARI is a commonly adopted criterion in unsupervised learning to evaluate the degree of agreement between two clustering solutions, particularly when the input AE data or algorithm parameters are influenced by noise or small variations. Its values range from −1 to 1, where higher scores denote stronger similarity between the compared partitions. A distinct peak approaching ARI = 1.0 signifies highly stable clustering performance, indicating that the identified cluster structure remains consistent under perturbations and likely represents meaningful underlying damage mechanisms. In contrast, a lower or more dispersed ARI distribution suggests that the clustering outcome is sensitive to variations in the data or parameters, possibly due to overlapping feature spaces, data noise, or non-optimal cluster separations.
A R I = R I E [ R I ] m a x ( R I ) E [ R I ] ; R I = c 1 + c 2 M 2
where RI is the rand index that is the baseline measure of similarity between two clusters, E[RI] is the expected value of RI under a random model, c1 is the number of pair of points that are in the same cluster, c2 is the number of pair of points that are in different clusters and M is the total number of AE data points.

3. Results and Discussion

3.1. Principal Component Analysis for Pristine and Aged Samples

In this study, the AE data obtained from both pristine and aged samples was organized into a matrix [X] of dimensions m x n, where m denotes the number of AE hits, which varies depending on the sample type and its acoustic emissivity, and n represents the number of AE descriptors, totaling 14. After performing PCA, the resulting matrix [X] becomes symmetric when m = n, indicating that each AE event is characterized by a unique set of descriptors. Each AE hit was described by 14 parameters: rise time (RISE), counts (COUNT), energy (ENER), duration (DURATION), amplitude (AMP), average frequency (A-FRQ), root mean square (RMS), counts to peak (PCNTS), reverberation frequency (R-FRQ), initiation frequency (I-FRQ), signal strength (SIG-STRENGTH), absolute energy (ABS-ENERGY), centroid frequency (C-FRQ), and peak frequency (P-FRQ). Following the procedure described in [12], the AE data was preprocessed under the assumption that most features follow Gaussian distributions [36]. However, certain descriptors, particularly DURATION and ENER, tend to exhibit exponential distributions. Therefore, their values were transformed logarithmically to ensure consistency for further analysis. To standardize the dataset, normalization was performed using the normalize function available in the selected computational environment, ensuring that all descriptors contribute equally before applying PCA. Once PCA was implemented, the AE features were projected onto a two-dimensional space corresponding to the first two principal components, which capture the largest variances in the data. The principal components were identified by selecting those with the greatest variability, and descriptors with higher eigenvector values were deemed more influential. To determine the most significant AE parameters, two selection criteria were employed as outlined in [12,16]: (1) the exclusion of any descriptor should not lead to information loss, and (2) the vector corresponding to a significant AE parameter must differ in both magnitude and direction from those already chosen to represent the principal components.
Figure 2 shows the projection of the first two principal components when PCA is applied to pristine samples of GF-PP tape specimens. For unaged (pristine) samples, the experimental data and their AE signals were used as a baseline for comparison with aged samples at 95 °C in DI water for the different aging periods. The principal components characterize the underlying behavior of the GF-PP tape specimens. Thus, the selection of the most relevant AE descriptors was based specifically on the dataset from the GF-PP tape samples, which encompasses all potential damage mechanisms. The descriptors chosen as the most influential are highlighted using red lines and symbols. Data from Channel 1 (Ch1) was used for the analysis and plotting of all materials because no meaningful differences were observed between the two acquisition channels. In Figure 2a, peak frequency, amplitude and duration emerge as three key AE descriptors selected under the criteria described earlier. P-FRQ is marked with a hexagram symbol and a solid line, AMP with a cross and a solid line, and DURATION with an asterisk and a dashed line, all of them emphasized with red color. P-FRQ corresponds to the dominant frequency identified through the Fast Fourier Transform. On the other hand, AMP represents the highest peak of an AE waveform, providing valuable insight into signal intensity. DURATION measures the time between the first and last threshold crossings of each AE hit, making it a critical parameter for temporal damage characterization. To capture all relevant variations in AE behavior, it is necessary to zoom into the PCA projection, as shown in Figure 2b and then in Figure 2c,d. Figure 2c presents two additional descriptors: ENER and SIG-STRENGTH. Previous research [37] demonstrated the usefulness of energy in assessing damage severity in composite materials, motivating its inclusion here to evaluate its contribution to energy dissipation during mechanical failure. Finally, in Figure 2d, RISE is selected, as in similar works [17,38], because it quantifies how quickly an AE signal reaches its maximum intensity after the event is first detected. Because different damage mechanisms generate signals with distinct temporal characteristics, RISE is an important indicator of the underlying failure mode. Accordingly, after performing PCA, five AE descriptors were retained: amplitude, peak frequency, duration, energy, and risetime. These parameters exhibit no mutual correlation and were chosen objectively following the selection procedure established in this study. The selection of principal components is guided by the amount of variance each component explains. As summarized in Table 2, the first two principal components account for 42.03% and 29.18% of the total variance, respectively, and are therefore sufficient for the clustering analysis conducted in this study. Although the first two principal components explain approximately 71.21% of the total variance, higher-order components were evaluated and found to contribute mainly low-variance information associated with noise and descriptor redundancy. Including additional components in the clustering analysis did not improve cluster separation, stability, or physical interpretation of damage mechanisms. Accordingly, the analysis was limited to the first two principal components to preserve the dominant damage-related information while maintaining interpretability and robustness. Thus, Table 2 also highlights the descriptors that contribute most strongly to each principal component.
Figure 3 presents the projection of the first two principal components obtained from PCA applied to the AE datasets of GF–PP tape specimens aged for 1 and 4 weeks in DI water. The plots clearly illustrate how the aging conditions influence the distribution of AE descriptors. For the 1-week and 4-week aged samples (Figure 3a,c), amplitude and peak frequency emerge as the dominant descriptors, reflecting their strong contribution to the variance captured by the first two components. In contrast, the PCA projection in Figure 3b requires a magnified view to identify additional descriptors for the 1-week dataset; this closer inspection highlights the relevance of rise time, energy, and duration. A similar trend is observed in Figure 3d for the 4-week aged samples, where rise time, energy, and duration also cluster prominently, indicating their significance after prolonged exposure. The key AE descriptors identified for both aging durations, amplitude, peak frequency, duration, energy, and rise time, are consistent with those determined for unaged samples. Notably, only the first two principal components are necessary to cluster and distinguish these relevant descriptors under both aging conditions. The contributions of these components account for 47.62% and 23.75% of the total variance for the 1-week aged samples, and 46.29% and 26.08% for the 4-week aged samples. Table 3 summarizes the variance explained by each principal component and lists the dominant AE descriptors associated with both aging periods. It is important to clarify that although AE descriptors are not physically equiponderated, all parameters are initially normalized to remove scale effects rather than to imply equal physical relevance. The relative importance of each descriptor is subsequently determined through PCA, which acts as an implicit, data-driven weighting mechanism by emphasizing parameters that contribute most strongly to the variance associated with active damage mechanisms. As a result, descriptors such as frequency-, energy-, or rise-time–based parameters naturally gain prominence depending on the prevailing damage regime and aging condition, while less informative features are de-emphasized. This approach enables objective handling of descriptor relevance without imposing a priori weighting assumptions and supports transferability of the methodology to other composite systems and loading conditions.
To objectively determine the appropriate and suitable quantity of clusters for the k-means algorithm, DB and CH indices are employed. Figure 4 shows three plots that compare the DB and CH indices for different numbers of clusters under baseline, 1-week, and 4-week aging conditions. In all cases, the optimal number of clusters is found at k = 3, where the DB index reaches its minimum and the CH index reaches its maximum, indicating the best balance between cluster compactness and separation. For the baseline material, both indices show a clear optimum at three clusters, reflecting well-defined and distinct AE groups that correspond to primary damage mechanisms such as matrix cracking, interfacial debonding, and fiber breakage. After 1 week of aging, the optimal number of clusters remains three, but the DB minimum is slightly higher, and the CH maximum is lower compared to the baseline. With 4 weeks of aging, three clusters are again optimal, showing that the number of dominant damage clusters remains constant. Thus, in the next subsection AE data for each experiment is analyzed in detail, comparing pristine and aged samples with fiber specimens.

3.2. AE Data of Each Conducted Experiment

Following the identification of the optimal number of clusters, three damage mechanisms were associated with each cluster. These damage mechanisms were labeled as follows: damage mechanism #1: fiber breakage; damage mechanism #2: matrix cracking; and damage mechanism #3: matrix/fiber debonding. The amplitude-peak frequency distributions presented in Figure 5a–d illustrate the evolution of AE signals from fiber specimens and GF-PP tapes for the baseline and hydrothermally aged conditions. These plots provide insights into the dominant damage mechanisms and their progression with aging time. As shown in Table 4, the frequency bands identified for the unaged GF-PP tape specimens, as well as for the individual fiber specimens, correspond with those reported in the technical literature, where each band is associated with a distinct damage mechanism.
Figure 5a depicts AE signals with peak frequencies ranging between approximately 350 and 500 kHz and amplitudes of 45 to 84 dB which were collected from the fiber specimens. These signals are necessarily associated with fiber damage events. Firstly, a narrow cluster of AE hits with low amplitude and lower peak frequencies (350 to 378 kHz) are labeled ‘Friction’ in Figure 5a. Presumably, signals in this region were generated by interactions among broken fibers and fibers still bearing mechanical loads, as mentioned in [37]. Because no polymer matrix was present that could contribute AE signals related to matrix or fiber-matrix damage, the presumption of frictional interactions causing the cluster between 350 and 378 kHz is reasonable. A second, more prominent cluster of AE hits is present between 400 and 500 kHz. These high-frequency signals are considered to reflect actual fiber breakage. Therefore, the frequency band between 350 kHz and 500 kHz is related to a host of fiber-dominated damage mechanisms called herein damage mechanisms #1. Related AE signals are comparable to results described in [39,40], in which the ranges are 380–570 kHz and 350–500 kHz, respectively.
In contrast to the fiber specimens, the pristine GF-PP tape, which serves as the baseline in the present study, exhibits a much broader and more complex distribution of AE activity, see Figure 5b. Three frequency regions can be distinguished, each associated with a distinct class of damage. The low-frequency region, between 70 and 190 kHz and named as damage mechanism #2, is populated by events attributed to matrix cracking, based on frequency bands described for this damage mode in [39,40] ranging between 80 and 120 kHz and 10 and 150 kHz, respectively. An intermediate band of AE hits, spanning 230–375 kHz, corresponds to mixed-mode processes such as interfacial slip, partial debonding, and matrix–shear interactions as cracks propagate and interact with embedded fibers. Hence, these events are categorized as matrix/fiber debonding, i.e., damage mechanism #3. In [39], the frequency band for this damage mechanism was reported as 240–350 kHz. Finally, the high-frequency region, extending from 350 to 500 kHz, overlaps with the region identified in the fiber specimen plot in Figure 5a, confirming that fiber-related events contribute significantly to the baseline composite’s response. The presence of all three bands reflects the balanced and progressive damage sequence typical of unaged GF-PP systems, where the matrix, interface, and fibers interact to resist the applied load. In terms of amplitude values, the range of 35–90 dB observed during the mechanical loading reflects the more heterogeneous and energetic nature of damage accumulation.
The AE signal distribution collected after one week of hydrothermal aging, shown in Figure 5c, indicates that the damage mechanisms become more active across all frequency ranges. The density of low-frequency events (70–190 kHz) slightly increases, suggesting matrix cracking and microcavity formation might be caused by moisture absorption and polymer plasticization. These mechanisms reduce the stiffness and yield strength of polypropylene, promoting crack initiation. At the same time, the frequency band from 350 kHz to 500 kHz becomes less populated, implying that the fiber–matrix interface weakens prematurely (230–375 kHz), allowing the fibers to experience breakage. This change may indicate a partial loss of load-transfer efficiency between the matrix and fiber phases. The broader amplitude range (35–90 dB) observed after 1 week of aging reflects the more heterogeneous and energetic nature of damage accumulation as in the baseline. By 4 week of aging, Figure 5d reveals a shift toward fiber-dominated failure. The AE activity becomes slightly concentrated in the 70–190 kHz region, which could demonstrate an increase in matrix cracking and then interface degradation in the next frequency band of 230–375 kHz that might indicate a loss of bonding between the fibers and the polymer. In contrast, the high-frequency fiber-dominated region (350–500 kHz) exhibits reduced activity, suggesting that fiber breakage events occur later or less frequently because the matrix is no longer able to maintain adequate load transfer, as compared to baseline in Figure 5b. The reduced presence of high-frequency emissions might indicate that damage in aged specimens is governed by the weakened matrix rather than by interaction between fibers. This transition from a multi-mechanism response to a predominantly fiber-driven failure mode is characteristic of hydrothermally degraded thermoplastic composites. In terms of amplitude values, the range is similar to the previous baseline and 1 week of aging from 50 dB to 90 dB. However, the dominance of each damage mechanism will be discussed in the next subsection.
Amplitude is widely used as an AE descriptor, yet comparing amplitude trends across studies is difficult because AE signals vary with test setups and material types. In this work, amplitude ranges for different damage events overlap, making it hard to separate damage modes based on amplitude or peak frequency alone. As a result, single-variable descriptors are insufficient for reliable damage identification in GF-PP tape specimens. This motivates the need for a multivariable AE analysis. The next subsection therefore applies k-means clustering to PCA-derived AE descriptors to establish clearer groupings associated with distinct damage mechanisms.

3.3. Clustering Based on K-Means Algorithm and Mechanical Performance

In this subsection, the cluster analysis of the most influential AE descriptors obtained through PCA and how they are related to the mechanical performance of the GF-PP tape specimens (unaged and aged samples) are explained in detail. Figure 6 illustrates the k-means–based unsupervised learning approach as used to classify AE signals into damage mechanisms. Five AE descriptors (rise time, amplitude, peak frequency, energy, and duration) serve as the input features. These multidimensional data points are grouped into three clusters by the k-means algorithm, which organizes hits with similar signal characteristics. The resulting clusters are then interpreted as corresponding to fiber breakage, matrix cracking, and fiber/matrix debonding, highlighting how unsupervised learning converts raw AE measurements into meaningful indicators of damage in composite materials. As part of this process, it is essential to deeply analyze the AE data patterns based on information provided by the selected descriptors to fully associate the different clusters with the corresponding damage mechanisms.
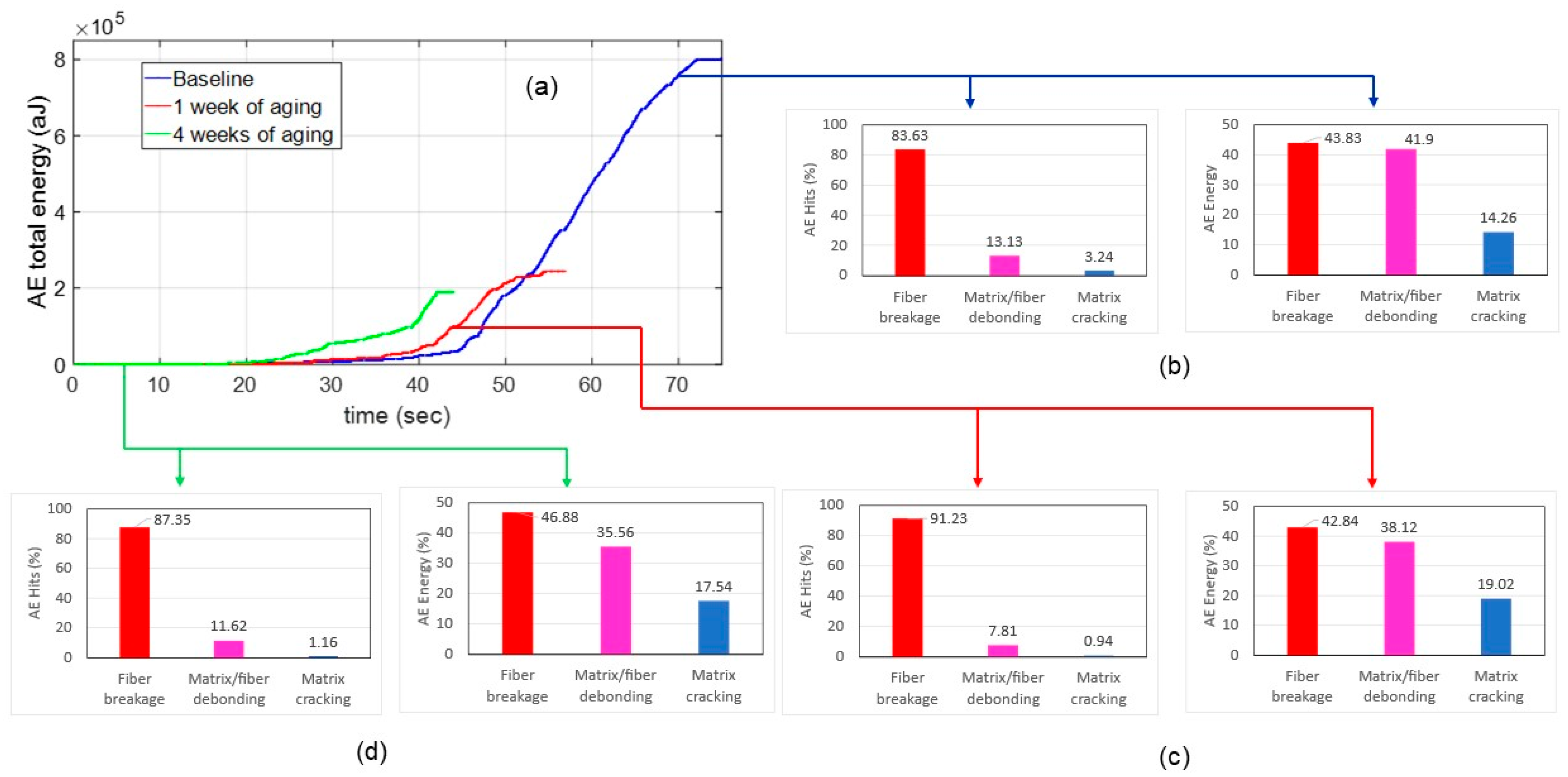
The combined results presented in Figure 7 illustrate the influence of hydrothermal aging at 95 °C on the mechanical integrity, damage evolution and failure mechanisms of the tested composite systems along with their corresponding normalized cumulative AE hits for each condition. Figure 7a summarizes the strength retention after aging. Compared to baseline GF-PP tape specimens exhibiting full strength, samples aged for 1 week and 4 weeks retain only 73 ± 3.4% and 57 ± 0.9% of their original capacity. Notably, these values exceed a 25% drop in strength retention which was designated a significant deterioration in the present study. This decline highlights that prolonged hydrothermal exposure substantially compromises load-bearing capability due to detrimental effects such as moisture-induced matrix plasticization and interfacial degradation. In addition, a deeper understanding of the evolving failure behavior is provided by the stress-time responses and accompanying AE cumulative hit curves in Figure 7b–d. On the other hand, the water uptake behavior of the GF-PP tape specimens, shown in Figure 7e, exhibits a diffusion-controlled trend, with a rapid increase in mass during the initial exposure period with a weight gain of 2.37% and a standard deviation of 0.12% followed by a gradual approach toward saturation after approximately 230 h of immersion with a weight gain of 2.38% and a standard deviation of 0.11%. The final moisture uptake level observed at saturation is consistent with values commonly reported for GF-PP systems exposed to hot-water environments, particularly for thin laminates with high fiber volume fractions [41]. The relatively short time required to reach equilibrium might be attributed to the small specimen thickness, which may promote faster through-thickness diffusion rather than indicating unusually high moisture affinity of the material. An explicit effective diffusion coefficient was not calculated, as the primary objective of the present study was to relate moisture uptake progression to mechanical degradation and AE-based damage evolution rather than to develop a detailed diffusion model. The measured moisture uptake can provide an appropriate basis for interpreting the associated mechanical degradation and AE response observed in this study.
Referring to the baseline specimens in Figure 7b, a typical fiber-dominated failure mode can be observed, characterized by a steadily increasing stress-time response followed by a sharp, high-stress rupture of 627.5 MPa at 48.21 s. AE activity in the baseline condition shows delayed initiation of matrix cracking at 44.59 s, reflecting a strong interface and effective stress transfer. Fiber breakage is the dominant damage mode in terms of normalized cumulative AE hits, which might be confirmed with the volume fraction of 60 ± 5% and similar results in [9]. The next dominant damage mode is matrix/fiber debonding and then matrix cracking. In contrast, specimens aged for 1 week exhibit a reduced peak stress of 514.68 MPa at 42.73 s and earlier onset of damage-related AE events. Fiber breakage remains as the dominant failure mechanism, followed by matrix/fiber debonding and then matrix cracking. AE activity in the 1-week aging condition reveals that matrix cracking starts to develop at 30.87 s. After 4 weeks of aging, deterioration became more severe. The stress-time traces reveal lower maximum stress of 364.4 MPa at 24.51 s, intermittent stress drops, and a more unstable progression to failure. As in the previous samples, fiber breakage is the dominant failure mode, followed by matrix/fiber debonding and then matrix cracking. In addition, in the 4-week aging condition, matrix cracking occurs at 19.08 s. AE signatures along tensile testing confirm that the durations of AE hits related to matrix cracking, matrix/fiber debonding and fiber breakage reduced after aging, indicating a transition to an interface- and matrix-controlled failure mode driven by moisture-induced degradation. In the case of baseline GF-PP specimens, fiber breakage events last 74.81 s, followed by matrix/fiber debonding events with 54.97 s and then matrix cracking events with 30.22 s. After 1 week of aging, fiber breakage events reduced to 55.22 s, matrix/fiber debonding events to 30.41 s and matrix cracking events to 23.51 s. By 4 weeks, fiber breakage events reduced to 43.69 s, matrix/fiber debonding events to 28.52 s and matrix cracking events to 21.62 s. The microscopy images in Figure 7f show fiber breakage mode, typically associated with the catastrophic failure stage GF-PP tapes, matrix/fiber debonding and matrix cracking.
The cumulative AE energy curves shown in Figure 8a reveal clear distinctions in damage evolution among the baseline, 1-week aged, and 4-week aged composites. The unaged material exhibits the latest onset of AE activity, with significant energy accumulation occurring only after approximately 45 s. This late and steep rise results in the highest total AE energy of all conditions, reflecting the ability of the intact matrix and fiber–matrix interface to resist damage progression and absorb energy before catastrophic failure. In contrast, the 1-week aged material initiates AE activity earlier, around 30–35 s, and accumulates a noticeably lower AE energy before failure, consistent with matrix softening and early microcracking triggered by moisture absorption. The most severely aged sample, exposed for 4 weeks, shows the earliest AE onset at approximately 20–25 s and generates the lowest cumulative AE energy, indicating substantial loss of toughness and a transition toward brittle failure due to extensive hydrothermal degradation.
The relative AE hit counts and energy distributions in Figure 8 further clarify the influence of aging on the governing damage mechanisms. In the baseline condition shown in Figure 8b, fiber breakage overwhelmingly dominates the number of recorded AE events, contributing approximately 83.63% of total hits. Matrix/fiber debonding accounts for around 13.13%, and matrix cracking events contribute only 3.24% of all hits. Despite this, the AE energy distribution exhibits a more balanced profile, with matrix cracking representing only about 14.26% of the accumulated energy, while matrix/fiber debonding and fiber breaking contribute approximately 41.9% and 43.83%, respectively. These high-energy contributions, particularly from fiber fracture, confirm that the unaged composite undergoes a progressive, multi-stage damage process in which the fibers engage effectively and release significant energy during final failure.
After one week of aging, the distribution of AE hits is even stronger when dominated by fiber breakage, comprising roughly 91.23% of the events. Conversely, matrix/fiber debonding and matrix cracking decreases to about 7.81% and 0.94%, respectively. Notably, the AE energy distribution shifts toward mechanisms associated with interfacial degradation. Matrix cracking contributes about 19.02% of the total AE energy, whereas matrix/fiber debonding and fiber-breaking reduce to 38.12% and 42.84%, respectively. In the 4-week aged condition, the analysis of AE hits shows similarities to the 1-week aged samples, i.e., fiber breakage remains the most frequent mechanism, contributing approximately 87.35%; matrix/fiber debonding maintains a contribution of about 11.62%; and matrix cracking events remain very limited at approximately 1.16% of hits. However, the AE energy distribution reveals the effects of long-term aging. With 46.88% fiber-breaking events are associated with the highest share of AE energy over the three aging cases. Correspondingly, the energy share associated with matrix cracking and matrix/fiber debonding was reduced to 17.54% and 35.56% of the total AE energy. These changes suggest that fibers fail due to the loss of matrix and interfacial support, a hallmark of brittle failure in extensively aged composites. Taken together, these results show a transition in damage behavior as aging progresses. The baseline composite exhibits a typical staged failure process with significant energy absorption. The 1-week aged material begins to shift toward interfacial degradation, showing earlier AE activity and reduced energy accumulation. By 4 weeks, the composite displays considerable brittleness, with reduced energy absorption, early initiation of microcracking, and sudden, high-energy fiber failures. Although hydrothermal aging primarily degrades the polymer matrix and the fiber-matrix interface, fiber breakage remains the dominant acoustic emission mechanism in terms of hit count across all aging conditions. This behavior is attributed to the high fiber volume fraction (60 ± 5%) and the longitudinal tensile loading configuration, which enforce a fiber-dominated load-transfer regime. Matrix and interfacial degradation due to aging lead to earlier damage initiation, reduced energy dissipation, and altered AE descriptor distributions, but do not alter the governing role of fiber fracture in final failure. Consequently, aging effects are more sensitively captured by changes in AE energy, duration, and damage onset rather than by a reduction in the absolute number of fiber-related AE hits. The combined evolution of AE hits and energy may confirm that hydrothermal aging progressively weakens both the matrix and interphase, reducing the supporting effect that the matrix provides to the composite, promoting a shift toward a brittle, fiber-controlled fracture process [10,37,42,43,44].
As described in [23,45,46], an efficient method employing the amplitude along with rise time to quantify tensile and sharing events in composite materials during mechanical loading is the RA value, which can be defined as the ratio value of the rise time of an AE hit and its peak amplitude. These studies have demonstrated that tensile-driven damage typically produces AE hits characterized by shorter rise times and higher peak amplitudes. In contrast, shear-related events generate acoustic signals with comparatively longer rise times and lower peak amplitudes. AE hits with RA values below unity are generally indicative of tension-dominated damage mechanisms, including matrix cracking and fiber fracture. In contrast, RA values exceeding unity are typically linked to shear-driven processes such as matrix/fiber interfacial debonding. Traditionally, the maximum amplitude component used in calculating the RA value is reported in volts. However, in this study, a modified approach was adopted in which the peak amplitude is expressed in decibels (dB), following the methodology in [23] as:
A m p V = 20 × 10 6 10 A m p d B + 26 20
in which a 26 dB preamplifier gain applied in the AE sensors is used. Figure 9 shows the RA value for the unaged and aged GF-PP tape specimens as a function of duration. In Figure 9a, the baseline condition shows clear separation among the three damage mechanisms. Fiber-related events form a dense cluster at RA values below 1 µ·sec/dB with durations generally between 0 and 1500 µs, indicating frequent fiber breakage with a stiff, unaged matrix, as also shown in Figure 5b. Matrix cracking signals appear at RA levels of approximately 0.1–0.9 µ·sec/dB and extend to durations as high as 12,500 µs, reflecting the longer-lasting nature the PP matrix cracking events under tensile testing. Matrix/fiber debonding shows moderate RA values between 1 and 1.45 µ·sec/dB and durations from 1000 to 5500 µs, consistent with interfacial sliding and progressive separation between the fiber and matrix.
After 1 week of hydrothermal aging, the distributions shift toward lower durations and slightly reduced RA values, which could reveal early signs of material degradation. Fiber breakage signatures remain dominant, as shown in Figure 8, but contract to durations of 0–1200 µs while maintaining RA values below 1 µ·sec/dB, suggesting matrix plasticization due to moisture uptake and thus direct fiber failure. Matrix cracking events also shift, showing durations reduced to roughly 3000–11,500 µs and more diffuse RA levels in the range of 0.15–0.7 µ·sec/dB. The matrix/fiber debonding cluster also becomes more compact, with durations between 800 and 4500 µs and RA values around 1–1.38 µ·sec/dB, pointing to the onset of interfacial weakening. Altogether, these shifts might reveal the first measurable effects of aging on the matrix and the fiber–matrix interface. After 4 weeks of aging, the changes in AE behavior become more pronounced. Fiber breakage events cluster tightly at RA values below 0.5 µ·sec/dB and durations mostly under 1050 µs. Matrix cracking activity diminishes significantly; the remaining events appear at shorter durations of approximately 3000–11,000 µs with RA values trending toward 0.1–0.5 µ·sec/dB, that may confirm reductions in load-transfer. Interfacial debonding is the most affected mechanism: its durations reduced to 700–4000 µs, and RA values fall to the 1–1.33 µ·sec/dB range, which might indicate reductions in interfacial strength and a transition toward friction-dominated sliding rather than abrupt debonding. Therefore, the AE hits show a 20–40% reduction in duration ranges and a 10–30% decrease in RA amplitude ranges from baseline to 4 weeks, demonstrating hydrothermal degradation of the matrix, the interface, and the overall mechanical response of the GF-PP tapes.
It should be noted that dominance in AE hit count does not directly imply statistical dominance in the governing degradation mechanisms. AE hit counts represent the frequency of detected events, whereas degradation severity and structural relevance are more effectively reflected by parameters such as AE energy, duration, RA value, and associated reductions in mechanical performance. In the present study, fiber breakage produces the highest number of AE hits due to the fiber-dominated loading configuration, while aging-induced degradation is primarily manifested through matrix and interfacial weakening, as evidenced by changes in AE energy distribution, damage onset, and mechanical strength retention.
In addition, a correlation is observed between the mechanical response of the GF-PP tapes and the advanced AE analysis across all aging conditions. For unaged specimens, high cumulative AE energy and the dominance of fiber-breakage–related clusters coincide with high tensile strength, stable stress–time evolution, and abrupt final failure, indicating efficient load transfer between the matrix and fibers (see Figure 7b). After hydrothermal aging, AE activity initiates at lower stress levels, accompanied by a reduction in cumulative AE energy (see Figure 7d,e). These AE trends are consistent with the observed reductions in tensile strength (see Figure 7a), earlier stress instabilities, and shorter time to failure, reflecting moisture-induced matrix plasticization and interfacial weakening [41]. With increasing aging duration, changes in AE descriptors such as reduced hit duration, lower RA values, and altered cluster energy contributions further mirror the transition from a progressive, energy-dissipative failure mode to a more brittle, interface-controlled fracture response [41]. Collectively, these results demonstrate that AE-based metrics provide a sensitive and quantitative link between microstructural damage evolution and macroscopic mechanical degradation in aged GF-PP composites.
Based on the combined mechanical testing and advanced AE analysis, a quantitative damage criteria framework could be proposed for evaluating aging-induced degradation in GF-PP tapes. The framework might integrate macroscopic mechanical thresholds with AE-derived indicators as follows: (i) Mechanical criterion: a tensile strength reduction greater than 25% is defined as a threshold for significant structural degradation, indicating loss of load-bearing capability. (ii) Damage initiation criterion: the earlier onset of sustained AE activity during tensile loading, relative to the baseline condition, could be used to identify premature damage initiation associated with aging. (iii) Damage evolution criterion: progressive changes in AE descriptors, including reduced hit duration, lower RA values, and decreased cumulative AE energy, could be used to quantify the transition from energy-dissipative to more brittle damage behavior. Together, these criteria might provide a consistent and measurable framework for linking microstructural damage evolution to macroscopic mechanical degradation, enabling objective assessment of hydrothermal aging effects and supporting condition-based evaluation of unidirectional thermoplastic composites.

3.4. Evaluation Metric for the K-Means Algorithm

Figure 10 presents the distributions of the ARI [34,35] obtained from 500 simulation runs of k-means algorithm under three conditions: baseline, 1 week of aging, and 4 weeks of aging. In all cases, the ARI values remain high, indicating that the clustering structure is consistently reproduced even when the AE data are perturbed. However, a slightly shift in the ARI values with aging reveals increasing variability in the underlying acoustic emission feature space. To improve interpretability, ARI distributions are summarized using statistical plots with consistent scaling, highlighting both central tendency and dispersion of clustering stability across aging conditions. In the baseline condition, the ARI distribution is concentrated near the upper limit of the metric. Two narrow clusters appear, one between 0.9956–0.9960 with 226 repetitions and another near 0.9995–1.0 with 274 repetitions. The average ARI across all repetitions in this condition is 0.9981 with a standard deviation of 0.0021. This narrow range reflects a stable clustering behavior and indicates that the AE descriptors in the pristine material are well separated, producing reproducible partitions.
After 1 week of aging, the ARI values shift slightly downward, with peaks forming between 0.9919–0.99271 with 272 repetitions and 0.9992–1.0 with 227 repetitions. The average ARI across all repetitions in this condition is 0.9958 with a standard deviation of 0.0038. Although the stability remains high, the lower ARI cluster shows a broader spread compared with the baseline. This suggests that even early aging introduces subtle changes in the AE signals, reducing the separability of the features associated with different damage mechanisms. The presence of two distinct ARI groups might indicate a slightly emerging variability in the clustering outcomes as moisture begins to affect the matrix. Following 4 weeks of aging, the ARI distribution becomes slightly broader and shifts further downward, with 239 repetitions appearing between 0.988–0.9893 and 253 repetitions between 0.9997–1.0. In addition, there are 4 repetitions between 0.9919–0.9932 and 3 repetitions between 0.9984–0.9997. The average ARI across all repetitions in this condition is 0.9943 with a standard deviation of 0.0059. The lower-value cluster is the widest among all conditions, reflecting a slightly increased instability in the clustering structure. However, the three plots collectively show that the boundaries of each damage mechanism are well defined.

3.5. Microscopic Observations and Correlation

GF-PP tape specimens were inspected using an optical microscope after tensile testing. Figure 11 illustrates the progressive damage mechanisms occurring in a GF-PP tape specimen subjected to axial tensile loading. In the global view shown in Figure 11a, the specimen undergoes a longitudinal deformation, ultimately resulting in catastrophic failure. The applied tensile forces (red arrows) act in opposite directions along the fiber axis, generating a combination of matrix-dominated and fiber-dominated damage modes. The red box highlights the central fracture region, where the transition from elastic response to brittle fragmentation becomes evident as the load increases. A magnified view in Figure 11b captures the localized failure zone in more detail. Here, multiple fiber bundles separate and split apart, indicating that load redistribution among fiber tows plays a critical role in the final fracture process. The staggered fiber ends and uneven separation of the tape demonstrate that failure does not occur through a single dominant mechanism but instead through the interaction of several damage modes that develop sequentially and sometimes simultaneously.
The interpretation of PCA-based AE clusters was further validated using the frequency-domain analysis in Section 3.2 and optical microscopy images shown in Figure 11c–e. Peak-frequency distributions revealed three well-defined bands (presented in Table 3) corresponding to matrix cracking (~70–190 kHz), matrix/fiber debonding (~230–375 kHz), and fiber breakage (~350–500 kHz), which are consistent with literature-reported ranges. Additional support is provided by RA-value and duration analyses, which distinguish tensile-dominated damage mechanisms (matrix cracking and fiber breakage) from shear-related interfacial debonding. Optical microscopy images confirmed the presence of these damage modes, showing characteristic matrix cracks, interfacial separation, and brittle fiber fracture surfaces that correlate with the AE-derived clusters. The convergence of unsupervised clustering, frequency-domain AE characteristics, and direct visual evidence reinforces the robustness of the assigned damage-mode interpretation.
The lower images, Figure 11c–e, provide micro-mechanical evidence of these specific failure mechanisms in the case of baseline specimens. Figure 11c shows matrix cracking, identifiable by the brittle and jagged fracture of the polymer matrix surrounding the fibers. This mode in this type of composites might be characterized by AE waveforms with high duration, low energy levels, and also RA values less than unity. In Figure 11d, fiber breakage is observed, characterized by clean, sharp fracture surfaces typical of brittle glass fibers. This mechanism signifies that the applied load has exceeded the tensile strength of individual fibers, often marking the onset of catastrophic failure. In the composite specimens studied in the present work, this damage mechanism presents AE waveforms with low duration, high energy, and RA values less than unity. Figure 11e illustrates matrix/fiber debonding, a common interfacial failure mode where the fibers detach from the surrounding matrix. The smooth separation along the interface indicates inadequate stress transfer caused by overloaded bonding regions. Debonding reduces the composite’s stiffness and accelerates the progression toward fiber breakage by increasing local stress concentrations. The AE waveforms of this damage mechanism are more complex, with the latter showing higher energy than matrix cracking and RA values greater than unity.

3.6. Measurement Traceability and Uncertainty Considerations

A metrology-driven framework requires that all measurements be traceable to standardized procedures and that sources of uncertainty be explicitly acknowledged and controlled. In the present study, traceability is ensured through the use of internationally recognized testing standards and calibrated instrumentation across all measurement stages. Tensile testing was conducted in accordance with ASTM D3039, providing traceability of force and displacement measurements to calibrated load cells and crosshead systems. Mass-change measurements followed ASTM D5229M-20, using an analytical balance with a resolution of 0.001 g, ensuring consistent and repeatable quantification of moisture uptake behavior. Acoustic emission measurements were performed using a calibrated AE acquisition system with fixed sensor gain, threshold settings, and timing parameters held constant across all tests. AE descriptors such as amplitude, energy, duration, rise time, and frequency content are treated as quantitative measurement outputs rather than qualitative indicators, enabling reproducible signal characterization. The use of standardized AE features and normalization prior to analysis further supports traceability and comparability between specimens and aging conditions.
Experimental uncertainty and dispersion were addressed through replicate testing, with a minimum of five specimens evaluated for each aging condition. Variability in tensile strength retention, mass uptake, and AE response was found to be limited, and consistent trends were observed across all replicates. In the AE-based damage classification, uncertainty associated with algorithmic sensitivity and data perturbation was quantified using ARI, which consistently yielded values close to unity across baseline and aged conditions. This indicates high clustering stability and low sensitivity to noise or initialization effects. While individual AE events are inherently stochastic, the large number of recorded hits per test enables statistically meaningful analysis of cumulative metrics such as AE energy, hit distributions, and descriptor evolution. As a result, uncertainty at the signal level does not materially affect the identification of dominant damage mechanisms or the interpretation of aging-induced degradation trends. Collectively, these considerations establish a link between measured quantities, standardized procedures, and quantified confidence, reinforcing the traceability and reliability of the proposed metrological framework.

4. Conclusions

This study established a metrology-based framework to assess the tensile durability of GF-PP tapes aged in DI water at 95 °C for up to 4 weeks, a condition representative of possible service environments in composite pipe applications. A strength loss greater than 25% was taken as structurally meaningful, providing a clear reference point for evaluating hydrothermal degradation. AE was used to track damage evolution in both unaged and aged specimens loaded along the fiber direction. The primary damage mechanisms examined include matrix cracking, matrix/fiber debonding, and fiber breakage, all of which govern load transfer in unidirectional composites. AE interpretation was performed using signal-derived descriptors rather than raw waveforms to reduce noise sensitivity and enable efficient statistical analysis. A set of 14 AE descriptors was initially considered, prompting the use of unsupervised methods such as PCA and k-means algorithm to determine the most relevant parameters for damage classification. Key descriptors included risetime, energy, amplitude, duration, and peak frequency. Although peak-frequency-based damage identification could be partly validated using experimental and literature data, further analysis of the remaining descriptors was needed to reliably distinguish the clusters associated with each damage mode.
Strength retention and water uptake behavior of GF-PP tapes were analyzed and contrasted with the damage evolution through the selected AE descriptors. The strength retention decreased 43% after 4 weeks of aging exceeding the 25% considered as significant deterioration as moisture ingress gradually approached saturation after approximately 230 h (1.4 weeks). With 83.63–91.23% of total AE hits, fiber breakage was the most dominant damage mechanism over time for the unaged and aged samples, while matrix cracking was the less dominant having between 0.94–3.2% of total AE hits. This could be attributed to the GF content in the composite around which was 60 ± 5%. However, in terms of the share of total AE energy, fiber breakage was also the most dominant damage mechanism having between 42.84–46.88% of total AE energy, while matrix cracking contributed between 14.26–19.02%. The total AE energy of GF-PP tapes was also considerably affected after the hydrothermal aging over 4 weeks. Other AE descriptors as RA value and duration revealed shifts in matrix cracking, fiber breakage, and matrix/fiber debonding as the material undergoes hydrothermal aging. From baseline to 4 weeks, GF-PP tapes exhibit a 20–40% reduction in AE duration ranges and a 10–30% decrease in RA values, confirming progressive degradation of the matrix, interface, and overall load-transfer capability.
Uncertainty and dispersion were assessed through replicate testing and consistency of observed trends across specimens for each aging condition. No significant inter-specimen dispersion was observed in mechanical strength retention, AE hit and energy distributions, or clustering outcomes. The high stability of the AE-based classification, as reflected by ARI values approaching unity. Thus, to assess the consistency of the k-means algorithm, the ARI was evaluated and remained high across the baseline, 1-week, and 4-week aging conditions, showing that the boundaries of each damage mechanism are well defined. ARI results provide additional confidence that uncertainty in the measured responses does not materially influence the conclusions of this study. Therefore, the combined use of machine learning and the AE technique proved to be effective for identifying damage modes and assessing structural integrity in UGFT tapes. Nevertheless, many damage mechanisms generate overlapping AE signatures, which limits classification accuracy even when PCA and k-means algorithm are applied. The performance of these methods is further constrained by the quality, consistency, and volume of AE data, as well as by practical challenges such as sensor variability and environmental noise. Although the number of specimens tested per condition was five, each tensile experiment generated a large population of acoustic emission events, enabling statistically meaningful analysis of AE hit distributions and energy evolution. The consistency of trends across replicate tests, together with independent validation from mechanical testing, mass-change measurements, and microscopy, supports the robustness of the observed degradation behavior. Expanding the specimen pool in future studies would further enhance statistical confidence and allow refined quantification of variability in AE metrics. Future work could explore integrating k-means with supervised learning techniques (e.g., neural networks) to improve classification precision and enable automated damage labeling, while applying this framework to other composite systems and environmental conditions.

Author Contributions

Conceptualization, J.P.M. and P.M.; methodology, J.P.M.; software, J.P.M.; validation, J.P.M.; formal analysis, J.P.M.; investigation, J.P.M.; resources, P.M.; data curation, J.P.M.; writing—original draft preparation, J.P.M.; writing—review and editing, P.M.; visualization, J.P.M.; supervision, P.M.; project administration, P.M.; funding acquisition, P.M. All authors have read and agreed to the published version of the manuscript.

Funding

This research was funded an Alliance Grant by the Natural Sciences and Engineering Research Council of Canada, with grant number ALLRP 568487-21.

Data Availability Statement

The original contributions presented in the study are included in the article, further inquiries can be directed at the corresponding author.

Acknowledgments

The authors would like to gratefully acknowledge the support of the staff of machine shop at the University of Alberta in providing the facility for conducting the tensile tests.

Conflicts of Interest

The authors declare no conflicts of interest.

References

  1. Nikforooz, M.; Montesano, J.; Golzar, M.; Shokrieh, M.M. Assessment of the thermomechanical performance of continuous glass fiber reinforced thermoplastic laminates. Polym. Test. 2018, 67, 457–467. [Google Scholar] [CrossRef]
  2. Nikforooz, M.; Montesano, J.; Golzar, M.; Shokrieh, M.M. Assessment of failure toughening mechanisms in continuous glass fiber thermoplastic laminates subjected to cyclic loading. Compos. B Eng. 2019, 161, 344–356. [Google Scholar] [CrossRef]
  3. Yilmaz, T.; Sinmazcelik, T. Effects of hydrothermal aging on glass– fiber/polyetherimide (PEI) composites. J. Mater. Sci. 2010, 45, 399–404. [Google Scholar] [CrossRef]
  4. Nayak, R.K.; Ray, B.C. Water absorption, residual mechanical and thermal properties of hydrothermally conditioned nano-Al2O3 enhanced glass fiber reinforced polymer composites. Polymers 2017, 74, 4175–4194. [Google Scholar] [CrossRef]
  5. Gibhardt, D.; Doblies, A.; Meyer, L.; Fiedler, B. Effects of Hygrothermal Ageing on the Interphase, Fatigue, and Mechanical Properties of Glass Fibre Reinforced Epoxy. Fibers 2019, 7, 55. [Google Scholar] [CrossRef]
  6. Zhu, R.; Li, X.; Wu, C.; Du, L.; Du, X.; Tafsirojjaman, T. Effect of Hydrothermal Environment on Mechanical Properties and Electrical Response Behavior of Continuous Carbon Fiber/Epoxy Composite Plates. Polymers 2022, 14, 4072. [Google Scholar] [CrossRef]
  7. Cheng, W.; Cao, Y. Strength degradation of GFRP cross-ply laminates in hydrothermal conditions. APL Mater. 2024, 12, 031113. [Google Scholar] [CrossRef]
  8. Mouzakisa, D.E.; Dimogianopoulos, D.G. Acoustic emission detection of damage induced by simulated environmental conditioning in carbon fiber reinforced composites. Eng. Fract. Mech. 2019, 210, 422–428. [Google Scholar] [CrossRef]
  9. Chen, J.; Lei, L.; Ji, C.; Yang, S.; Cheng, Z.; Fan, J.; Yu, T. Cluster analysis of acoustic emission signals for bending damage mechanism of flax fiber reinforced composites under hydrothermal aging. Compos. Commun. 2025, 53, 102165. [Google Scholar] [CrossRef]
  10. Rubio-González, C.; del Pilar de Urquijo-Ventura, M.; Rodríguez-González, J.A. Damage progression monitoring using self-sensing capability and acoustic emission on glass fiber/epoxy composites and damage classification through principal component analysis. Compos. B Eng. 2023, 254, 110608. [Google Scholar] [CrossRef]
  11. Sukur, E.F.; Elmas, S.; Seyyednourani, M.; Eskizeybek, V.; Yildiz, M.; Sas, H.S. A rational study on the hydrothermal aging of AFP manufactured CF/polyetherketoneketone composites with in situ consolidation supported by acoustic emission inspection. J. Appl. Polym. 2022, 139, e52480. [Google Scholar] [CrossRef]
  12. Palacios Moreno, J.; Nazaripoor, H.; Mertiny, P. Damage Mechanism Characterization of Glass Fiber-Reinforced Polymer Composites: A Study Using Acoustic Emission Technique and Unsupervised Machine Learning Algorithms. J. Compos. Sci. 2025, 9, 426. [Google Scholar] [CrossRef]
  13. Barre, S.; Benzeggagh, M.L. On the use of acoustic emission to investigate damage mechanisms in glass-fiber-reinforced-polypropylene. Compos. Sci. Technol. 1994, 52, 369–376. [Google Scholar] [CrossRef]
  14. Kotsikos, G.; Evans, J.T.; Gibson, A.G.; Hale, J.M. Environmentally enhanced fatigue damage in glass fibre reinforced composites characterised by acoustic emission. Compos. Part A Appl. Sci. Manuf. 2000, 31, 969–977. [Google Scholar] [CrossRef]
  15. Ceysson, O.; Salvia, M.; Vincent, L. Damage mechanisms characterisation of carbon fiber/epoxy composite laminates by both electrical resistance measurements and acoustic emission signals. Scr. Mater. 1996, 34, 1273–1280. [Google Scholar] [CrossRef]
  16. Harizi, W.; Chaki, S.; Bourse, G.; Ourak, M. Damage mechanisms assessment of Glass Fiber-Reinforced Polymer (GFRP) composites using multivariable analysis methods applied to acoustic emission data. Compos. Struct. 2022, 289, 115470. [Google Scholar] [CrossRef]
  17. Zhou, W.; Zhao, W.-Z.; Zhang, Y.-N.; Ding, Z.-J. Cluster analysis of acoustic emission signals and deformation measurement for delaminated glass fiber epoxy composites. Compos. Struct. 2018, 195, 349–358. [Google Scholar] [CrossRef]
  18. Abdi, H.; Williams, L.J. Principal component analysis. WIREs Comput. Stat. 2010, 2, 433–459. [Google Scholar] [CrossRef]
  19. Godin, N.; Huguet, S.; Gaertner, R. Integration of the Kohonen’s self-organising map and k-means algorithm for the segmentation of the AE data collected during tensile tests on cross-ply composites. NDT E Int. 2005, 38, 299–309. [Google Scholar] [CrossRef]
  20. Kharrat, M.; Placet, V.; Ramasso, E.; Boubakar, M.L. Influence of damage accumulation under fatigue loading on the AE-based health assessment of composite materials: Wave distortion and AE-features evolution as a function of damage level. Compos. Part A Appl. Sci. Manuf. 2018, 109, 615–627. [Google Scholar] [CrossRef]
  21. ASTM D5630-22; Standard Test Method for Ash Content in Plastics. ASTM International: West Conshohocken, PA, USA, 2023.
  22. ASTM D2584-18; Standard Test Method for Ignition Loss of Cured Reinforced Resins. ASTM International: West Conshohocken, PA, USA, 2018.
  23. Nazaripoor, H.; Ashrafizadeh, H.; Schultz, R.; Runka, J.; Mertiny, P. Acoustic Emission Damage Detection during Three-Point Bend Testing of Short Glass Fiber Reinforced Composite Panels: Integrity Assessment. J. Compos. Sci. 2022, 6, 48. [Google Scholar] [CrossRef]
  24. ASTM D3039-17; Standard Test Method for Tensile Properties of Polymer Matrix Composite Materials. ASTM International: West Conshohocken, PA, USA, 2017.
  25. ASTM D2256M-21; Standard Test Method for Tensile Properties of Yarns by the Single-Strand Method. ASTM International: West Conshohocken, PA, USA, 2015.
  26. ASTM D2343-17; Standard Test Method for Tensile Properties of Glass Fiber Strands, Yarns, and Rovings Used in Reinforced Plastics. ASTM International: West Conshohocken, PA, USA, 2009.
  27. Tayefi, M.; Eesaee, M.; Hassanipour, M.; Elkoun, S.; David, E.; Nguyen-Tri, P. Recent progress in the accelerated aging and lifetime prediction of elastomers: A review. Polym. Degrad. Stab. 2023, 214, 110379. [Google Scholar] [CrossRef]
  28. Sunny, J.; Nazaripoor, H.; Palacios Moreno, J.; Mertiny, P. Accelerated Zero-Stress Hydrothermal Aging of Dry E-Glass Fibers and Service Life Prediction Using Arrhenius Model. Fibers 2023, 11, 70. [Google Scholar] [CrossRef]
  29. Sunny, J.; Palacios Moreno, J.; Nazaripoor, H.; Mertiny, P. Hydrothermal Aging and Humidity Exposure of Carbon and Basalt Fibers and Life Time Prediction. Fibers 2024, 12, 58. [Google Scholar] [CrossRef]
  30. ASTM D5229M-20; Standard Test Method for Moisture Absorption Properties and Equilibrium Conditioning of Polymer Matrix Composite Materials. ASTM International: West Conshohocken, PA, USA, 2020.
  31. Liu, X.; Su, Q.; Zhu, J.; Song, X. The Aging Behavior and Life Prediction of CFRP Rods under a Hygrothermal Environment. Polymers 2023, 15, 2490. [Google Scholar] [CrossRef]
  32. Davies, D.L.; Bouldin, D.W. A Cluster Separation Measure. IEEE Trans. Pattern Anal. Mach. Intell. 2009, 2, 224–227. [Google Scholar] [CrossRef]
  33. Caliński, T.; Harabasz, J. A dendrite method for cluster analysis. Commun. Stat. 1979, 3, 1–27. [Google Scholar]
  34. Gates, A.J.; Ahn, Y.-Y. The Impact of Random Models on Clustering Similarity. J. Mach. Learn. Res. 2017, 18, 1–28. [Google Scholar]
  35. Muir, C.; Tulshibagwale, N.; Furst, A.; Swaminathan, B.; Almansour, A.S.; Sevener, K.; Presby, M.; Kiser, J.D.; Pollock, T.M.; Daly, S.; et al. Quantitative Benchmarking of Acoustic Emission Machine Learning Frameworks for Damage Mechanism Identification. Integr. Mater. Manuf. Innov. 2023, 12, 70–81. [Google Scholar] [CrossRef]
  36. Fotouhi, M.; Heidary, H.; Ahmadi, M.; Pashmforoush, F. Characterization of composite materials damage under quasi-static three-point bending test using wavelet and fuzzy C-means clustering. J. Compos. Mater. 2012, 46, 1795–1808. [Google Scholar] [CrossRef]
  37. Almeida, R.S.M.; Magalhães, M.D.; Karim, M.N.; Tushtev, K.; Rezwan, K. Identifying damage mechanisms of composites by acoustic emission and supervised machine learning. Mater. Des. 2023, 227, 111745. [Google Scholar] [CrossRef]
  38. Das, A.K.; Suthar, D.; Leung, C.K. Machine learning based crack mode classification from unlabeled acoustic emission waveform features. Cem. Concr. Res. 2019, 121, 42–57. [Google Scholar] [CrossRef]
  39. Ramirez-Jimenez, C.R.; Papadakis, N.; Reynolds, N.; Gan, T.H.; Purnell, P.; Pharaoh, M. Identification of failure modes in glass/polypropylene composites by means of the primary frequency content of the acoustic emission event. Compos. Sci. Technol. 2004, 64, 1819–1827. [Google Scholar] [CrossRef]
  40. Amenabar, I.; Mendikute, A.; López-Arraiza, A.; Lizaranzu, M.; Aurrekoetxea, J. Comparison and analysis of non-destructive testing techniques suitable for delamination inspection in wind turbine blades. Compos. B Eng. 2011, 42, 1298–1305. [Google Scholar] [CrossRef]
  41. Robert, M.; Roy, R.; Benmokrane, B. Environmental effects on glass fiber reinforced polypropylene thermoplastic composite laminate for structural applications. Polym. Compos. 2010, 31, 604–611. [Google Scholar] [CrossRef]
  42. Hu, Y.; Lang, A.W.; Li, X.; Nutt, S.R. Hygrothermal aging effects on fatigue of glass fiber/polydicyclopentadiene composites. Polym. Degrad. Stab. 2014, 110, 464–472. [Google Scholar] [CrossRef]
  43. Roundia, W.; Mahib, A.E.; Gharada, A.E.; Rebiere, J.-L. Acoustic emission monitoring of damage progression in Glass/Epoxy composites during static and fatigue tensile tests. Appl. Acoust. 2018, 132, 124–134. [Google Scholar] [CrossRef]
  44. Song, Y.; Deng, J.; Xu, Z.; Nie, Y.; Lan, Z. Effect of Thermal Aging on Mechanical Properties and Color Difference of Glass Fiber/Polyetherimide (GF/PEI) Composites. Polymers 2022, 14, 67. [Google Scholar] [CrossRef]
  45. Kalteremidou, K.; Murray, B.R.; Tsangouri, E.; Aggelis, D.G.; Hemelrijck, D.V.; Pyl, L. Multiaxial damage characterization of carbon/epoxy angle-ply laminates under static tension by combining in situ microscopy with acoustic emission. Appl. Sci. 2018, 8, 2021. [Google Scholar] [CrossRef]
  46. Aggelis, D.G.; Barkoula, N.; Matikas, T.E.; Paipetis, A.S. Acoustic structural health monitoring of composite materials: Damage identification and evaluation in cross ply laminates using acoustic emissions and ultrasonics. Compos. Technol. 2012, 72, 1127–1133. [Google Scholar] [CrossRef]
Figure 1. Schematics of (a) tensile testing of GF-PP specimen, (b) test setup for fiber-breaking force measurement; photographs of (c) AE data acquisition system and (d) universal testing machine with a 100 kN load cell; and (e) schematic of unsupervised learning methods for damage identification and classification.
Figure 1. Schematics of (a) tensile testing of GF-PP specimen, (b) test setup for fiber-breaking force measurement; photographs of (c) AE data acquisition system and (d) universal testing machine with a 100 kN load cell; and (e) schematic of unsupervised learning methods for damage identification and classification.
Metrology 06 00011 g001
Figure 2. (a) AE descriptors projected onto principal components 1 and 2 through PCA for the AE signals of the unaged GF-PP tape specimens (baseline) using data from ‘Ch1’ with corresponding principal component scores (green points), and (b) enlarged projections for the selection of (c) energy (ENER), and (d) rise time (RISE).
Figure 2. (a) AE descriptors projected onto principal components 1 and 2 through PCA for the AE signals of the unaged GF-PP tape specimens (baseline) using data from ‘Ch1’ with corresponding principal component scores (green points), and (b) enlarged projections for the selection of (c) energy (ENER), and (d) rise time (RISE).
Metrology 06 00011 g002
Figure 3. AE descriptors projected onto principal components 1 and 2 through PCA for the AE signals of the aged GF-PP tape specimens with corresponding principal component scores (green points) (a) after 1 week with (b) enlarged projections for the selection of AE descriptors, and (c) after 4 weeks with (d) enlarged projections for the selection of AE descriptors.
Figure 3. AE descriptors projected onto principal components 1 and 2 through PCA for the AE signals of the aged GF-PP tape specimens with corresponding principal component scores (green points) (a) after 1 week with (b) enlarged projections for the selection of AE descriptors, and (c) after 4 weeks with (d) enlarged projections for the selection of AE descriptors.
Metrology 06 00011 g003
Figure 4. Davies–Bouldin (DB) and Calinski–Harabasz (CH) indices for the selection of appropriate number of clusters for the AE descriptors for the unaged and aged GF-PP tape specimens.
Figure 4. Davies–Bouldin (DB) and Calinski–Harabasz (CH) indices for the selection of appropriate number of clusters for the AE descriptors for the unaged and aged GF-PP tape specimens.
Metrology 06 00011 g004
Figure 5. AE signal gathering from the experiments in terms of amplitude vs. peak frequency for: (a) fiber tensile tests, (b) GF-PP tape tensile test—baseline, (c) GF-PP tape tensile test after 1 week of aging and (d) GF-PP tape tensile test after 4 weeks of aging.
Figure 5. AE signal gathering from the experiments in terms of amplitude vs. peak frequency for: (a) fiber tensile tests, (b) GF-PP tape tensile test—baseline, (c) GF-PP tape tensile test after 1 week of aging and (d) GF-PP tape tensile test after 4 weeks of aging.
Metrology 06 00011 g005
Figure 6. Applied k-means algorithm for the classification of AE data recorded during mechanical loading.
Figure 6. Applied k-means algorithm for the classification of AE data recorded during mechanical loading.
Metrology 06 00011 g006
Figure 7. (a) Strength retention for GF-PP tape specimens after 1 and 4 weeks of aging in DI water. Stress curves for GF-PP tape specimens and normalized cumulative hits of damage mechanisms as a function of time for (b) baseline, (c) 1 week of aging in DI water and (d) 4 weeks of aging in DI water. (e) Water uptake behavior of GF-PP tape specimens for up to 700 h and (f) microscopic images for association of the damage mechanisms with clusters.
Figure 7. (a) Strength retention for GF-PP tape specimens after 1 and 4 weeks of aging in DI water. Stress curves for GF-PP tape specimens and normalized cumulative hits of damage mechanisms as a function of time for (b) baseline, (c) 1 week of aging in DI water and (d) 4 weeks of aging in DI water. (e) Water uptake behavior of GF-PP tape specimens for up to 700 h and (f) microscopic images for association of the damage mechanisms with clusters.
Metrology 06 00011 g007
Figure 8. (a) AE total energy for GF-PP tape specimens for baseline, 1 week and 4 weeks of aging in DI water. AE hit and AE energy percentages of each damage mechanism for (b) baseline, (c) 1 week of aging and (d) 4 weeks of aging.
Figure 8. (a) AE total energy for GF-PP tape specimens for baseline, 1 week and 4 weeks of aging in DI water. AE hit and AE energy percentages of each damage mechanism for (b) baseline, (c) 1 week of aging and (d) 4 weeks of aging.
Metrology 06 00011 g008
Figure 9. RA value as function of AE duration for damage mechanisms of GF-PP tape specimens: (a) baseline, (b) 1 week of aging and (c) 4 weeks of aging.
Figure 9. RA value as function of AE duration for damage mechanisms of GF-PP tape specimens: (a) baseline, (b) 1 week of aging and (c) 4 weeks of aging.
Metrology 06 00011 g009
Figure 10. ARI values for clustering stability of k-means algorithm: (a) baseline, (b) 1 week of aging and (c) 4 weeks of aging.
Figure 10. ARI values for clustering stability of k-means algorithm: (a) baseline, (b) 1 week of aging and (c) 4 weeks of aging.
Metrology 06 00011 g010
Figure 11. Microscopic images showing (a) a damage GF-PP tape specimen after testing with tensile loading direction (red arrows) and (b) magnified view that captures one localized failure zone in more detail. Micromechanical evidence of (c) matrix cracking, (d) fiber breakage and (e) fiber/matrix debonding.
Figure 11. Microscopic images showing (a) a damage GF-PP tape specimen after testing with tensile loading direction (red arrows) and (b) magnified view that captures one localized failure zone in more detail. Micromechanical evidence of (c) matrix cracking, (d) fiber breakage and (e) fiber/matrix debonding.
Metrology 06 00011 g011
Table 1. Experimental conditions and corresponding AE-identified damage mechanisms.
Table 1. Experimental conditions and corresponding AE-identified damage mechanisms.
TestNumber of SamplesDimensionsExpected Damage Mechanisms
GF-PP tape tensile test5Length = 250 mm
Width = 49 mm
Thickness = 0.5 mm
Matrix cracking and matrix/fiber debonding
Fiber tensile test10n/aFiber breakage
Table 2. Variance of the principal component of PCA for unaged GF-PP tape specimen (baseline).
Table 2. Variance of the principal component of PCA for unaged GF-PP tape specimen (baseline).
Principal ComponentVariance (%)Most Influential AE Descriptors
142.03Peak frequency and amplitude
229.18Peak frequency and centroid frequency
310.71Initiation frequency and average frequency
48.83Root mean square and peak frequency
54.83Counts and duration
62.10Centroid frequency and initiation frequency
Table 3. Variance of the principal component of PCA for aged GF-PP tape specimen (1 and 4 weeks of aging).
Table 3. Variance of the principal component of PCA for aged GF-PP tape specimen (1 and 4 weeks of aging).
1 Week of Aging4 Weeks of Aging
Principal ComponentVariance (%)Most Influential AE DescriptorsPrincipal ComponentVariance (%)Most Influential AE Descriptors
147.62Peak frequency and centroid frequency146.29Peak frequency and centroid frequency
223.75Amplitude and root mean square226.08Amplitude and root mean square
312.55Initiation frequency and average frequency312.54Amplitude and initiation frequency
48.11Root mean square and peak frequency46.60Root mean square and peak frequency
53.12Centroid frequency and initiation frequency53.59Centroid frequency and root mean square
62.32Centroid frequency and average frequency62.31Average frequency and centroid frequency
Table 4. Damage mechanisms of GF-PP tape specimens based on AE peak frequency bands in kHz and comparison with frequency bands available in the technical literature.
Table 4. Damage mechanisms of GF-PP tape specimens based on AE peak frequency bands in kHz and comparison with frequency bands available in the technical literature.
ReferenceFiber-Matrix TypeMatrix CrackingMatrix/Fiber DebondingFiber Breakage
Present workGF-PP70–190230–375 350–500
[39]GF-PP80–120240–350380–570
[40]GF-Polyester10–150150–250350–500
Disclaimer/Publisher’s Note: The statements, opinions and data contained in all publications are solely those of the individual author(s) and contributor(s) and not of MDPI and/or the editor(s). MDPI and/or the editor(s) disclaim responsibility for any injury to people or property resulting from any ideas, methods, instructions or products referred to in the content.

Share and Cite

MDPI and ACS Style

Palacios Moreno, J.; Mertiny, P. Acoustic Emission and Machine Learning Approaches for Assessing Mechanical Degradation in Aged Unidirectional Glass Fiber-Reinforced Thermoplastics. Metrology 2026, 6, 11. https://doi.org/10.3390/metrology6010011

AMA Style

Palacios Moreno J, Mertiny P. Acoustic Emission and Machine Learning Approaches for Assessing Mechanical Degradation in Aged Unidirectional Glass Fiber-Reinforced Thermoplastics. Metrology. 2026; 6(1):11. https://doi.org/10.3390/metrology6010011

Chicago/Turabian Style

Palacios Moreno, Jorge, and Pierre Mertiny. 2026. "Acoustic Emission and Machine Learning Approaches for Assessing Mechanical Degradation in Aged Unidirectional Glass Fiber-Reinforced Thermoplastics" Metrology 6, no. 1: 11. https://doi.org/10.3390/metrology6010011

APA Style

Palacios Moreno, J., & Mertiny, P. (2026). Acoustic Emission and Machine Learning Approaches for Assessing Mechanical Degradation in Aged Unidirectional Glass Fiber-Reinforced Thermoplastics. Metrology, 6(1), 11. https://doi.org/10.3390/metrology6010011

Article Metrics

Back to TopTop