Preventive Effects of Cinnamon Leaf Nanosuspension and Byproducts on Type II Diabetes and Parkinson’s Disease in Rat Models
Abstract
1. Introduction
2. Materials and Methods
2.1. Materials
2.2. Processing of Cinnamon Leaves and Hydrosol
2.3. Determination of Bioactive Compounds in Cinnamon Leaves and Hydrosol by UPLC-MS/MS
2.4. Preparation of Liposome-Derived Cinnamon Leaf Nanosuspension (CN)
2.5. Determination of CN Properties
2.6. Determination of Storage Stability and Stability in Simulated Gastric and Intestinal Fluid
2.7. In Vitro Release of CA Under Gastrointestinal Condition
2.8. Animal Experiment
2.8.1. Type II Diabetes
2.8.2. Parkinson’s Disease
2.8.3. Catalepsy Test
2.9. Statistical Analysis
3. Results and Discussion
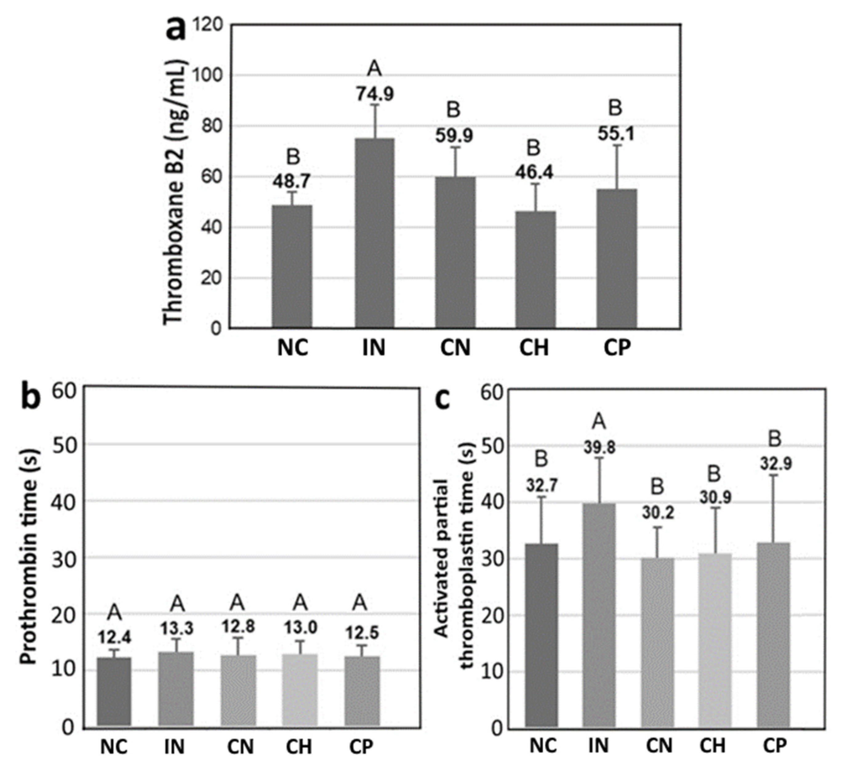
3.1. Determination of Cinnamaldehyde and the Other Compounds in Cinnamon Leaves and Hydrosol
3.2. Properties of Cinnamon Leaf Nanosuspension
3.3. In Vitro Release Study
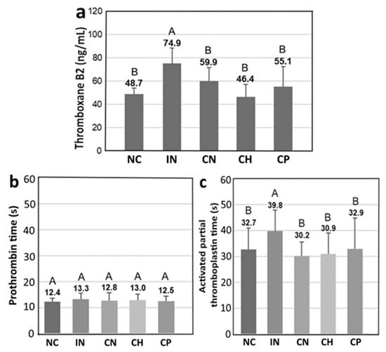
3.4. Type II Diabetes
3.5. Parkinson’s Disease
3.6. Comparative Discussion on T2D and PD Disease Biomarkers as Well as Their Association
3.6.1. Type II Diabetes
3.6.2. Parkinson’s Disease
3.6.3. Association Between Type II Diabetes and Parkinson’s Disease
4. Conclusions
Author Contributions
Funding
Institutional Review Board Statement
Informed Consent Statement
Data Availability Statement
Acknowledgments
Conflicts of Interest
List of Abbreviations
| ALT | alanine aminotransferase |
| AMPK | adenosine monophosphate activated kinase |
| ANOVA | analysis of variance |
| ApoE | apolipoprotein E |
| aPTT | activated partial thromboplastin time |
| AST | aspartate aminotransferase |
| BBB | Blood–brain barrier |
| BDNF/TrkB | brain-derived neurotrophic factor (BDNF)/tropomyosin receptor kinase B |
| BMI | body mass index |
| BUN | blood urea nitrogen |
| bw | body weight |
| CA | cinnamaldehyde |
| CAT | catalase |
| CH | cinnamon leaf hydrosol |
| CN | cinnamon leaf nanosuspension |
| CP | cinnamon leaf powder |
| CREA | creatinine |
| DJ-1 | Parkinson-associated protein deglycase |
| DLS | dynamic light scattering |
| DPN | diabetic peripheral neuropathy |
| DPP4 | dipeptidyl peptidase-4 |
| EGFs | epidermal growth factors |
| ERK | extracellular signal regulated kinase pathway |
| FBG | fasting blood glucose |
| FOXO1 | forkhead box protein O1 |
| GABA | γ-aminobutyric acid |
| GCase | glucocerebrosidase |
| GFAP | glial fibrillar acidic protein |
| GLP-1 | glucogen like peptide 1 |
| GSH-Px | glutathione peroxidase |
| GSK3β | glycogen synthase kinase 3 beta |
| HDL | high density lipoprotein |
| HIFs | hypoxia-inducible factors |
| HO-1 | heme oxygenase-1 |
| HOMA-IR | homeostatic model assessment of insulin resistance |
| IACUC | Institutional Animal Care and Use Committee |
| IGF-1 | insulin-like growth factor 1 |
| IL-1β | interleukin-1 beta |
| IL-6 | interleukin-6 |
| IN | induction |
| iNOS | inducible nitric oxide synthase |
| IR | insulin resistance |
| IR-IRS-1-PI3K/AKT | insulin resistance-insulin receptor substrate 1-phosphoinositide-3 kinase/protein kinase B |
| IR-Shc-MAP | insulin receptor-Src homology and collagen protein-mitogen-activated protein (MAP) kinase |
| LDL | low density lipoprotein |
| L-DOPA | L-3,4-dihydroxyphenylalanine |
| LRRK2 | Leucine-Rich Repeat Kinase 2 |
| MAPK | mitogen-activated protein kinase |
| MDA | malondialdehyde |
| MPTP | 1-methyl-4-phenyl-1, 2, 3, 6-tetrahydropyridine |
| MRM | multiple reaction monitoring |
| mtDNA | mitochondrial deoxyribonucleic acid |
| mTOR | mammalian target of rapamycin |
| MW | molecular weight |
| NA | nicotinamide |
| NADPH | nicotinamide adenine dinucleotide phosphate |
| NC | normal control |
| ND | not detected |
| NfL | neurofilament light chain |
| NFκB | nuclear factor kappa-light-chain-enhancer of activated B cells |
| NLRP3 | nod like receptor family pyrin domain containing 3 |
| NMDA | N-methyl-D-aspartate |
| NO | nitric oxide |
| Nrf2 | Nuclear factor-2 erythroid related factor-2 |
| OGTT | oral glucose tolerance test |
| PARK2, PARK6, PARK7, PARK8 | Parkinson proteins |
| PD | Parkinson’s disease |
| PDI | polydispersity index |
| PLCr | platelet large cell ratio |
| PT | prothrombin time |
| ROS | reactive oxygen species |
| SAS | statistical analysis system |
| SOD | superoxide dismutase |
| STZ | streptozotocin |
| T2D | type II diabetes |
| TC | total cholesterol |
| TEM | transmission electron microscopy |
| TFDA | Taiwan food and drug administration |
| TG | triglycerides |
| TGFβ | transforming growth factor-beta |
| TLR/NFκB | toll-like receptor/nuclear factor kappa-light-chain-enhancer of activated B cell |
| TNF-α | tumor necrosis factor-alpha |
| TXB2 | thromboxane B2 |
| UPLC-MS/MS | ultra-performance liquid chromatography-tandem mass spectrometry |
| UPR | unfolded protein response |
| URIC | uric acid |
| USFDA | United States Food and Drug Administration |
| WNT | wingless-related integrated site |
References
- Liu, C.T. Properties and Product Development of Leaf Extract Essential Oil from Taiwanese Cinnamon. Master’s Thesis, National Pingtung University of Science and Technology, Pingtung, Taiwan, 2018. [Google Scholar]
- Huang, Y.C.; Chen, B.H. A comparative study on improving streptozotocin-induced type 2 diabetes in rats by hydrosol, extract and nanoemulsion prepared from cinnamon leaves. Antioxidants 2023, 12, 29. [Google Scholar] [CrossRef]
- Wang, Y.C.; Wang, V.; Chen, B.H. Analysis of bioactive compounds in cinnamon leaves and preparation of nanoemulsion and byproducts for improving Parkinson’s disease in rats. Front. Nutr. 2023, 10, 1229192. [Google Scholar] [CrossRef]
- Nathan, D.M. Long-term complications of diabetes mellitus. N. Engl. J. Med. 1993, 328, 1676–1685. [Google Scholar] [CrossRef]
- Zochodne, D.; Kline, G.; Smith, E.E.; Hill, M.D. Diabetic Neurology; CRC Press: Boca Raton, FL, USA, 2016. [Google Scholar]
- Goyal, R.; Singhal, M.; Jialal, I. Type 2 Diabetes; StatPearls: Treasure Island, FL, USA, 2023. Available online: https://www.ncbi.nlm.nih.gov/books/NBK513253/ (accessed on 12 January 2026).
- International Diabetes Federation (IDF). International Diabetes Federation Diabetes Atlas, 9th ed.; IDF: Brussels, Belgium, 2019; p. 168. [Google Scholar]
- American Diabetes Association Professional Practice Committee. 9. Pharmacologic Approaches to Glycemic Treatment: Standards of Care in Diabetes—2024. Diabetes Care 2024, 47, S158–S178. [Google Scholar] [CrossRef] [PubMed]
- Nabrdalik, K.; Musiałek, J.; Grzanka, M.; Skonieczna-Żydecka, K.; Giebel, S.; Płaczkiewicz-Jankowska, E.; Młynarska, E.; Rysz, J.; Franczyk, B. Gastrointestinal Adverse Events of Metformin Treatment in Patients with Type 2 Diabetes Mellitus: A Systematic Review with Meta-Analysis and Meta-Regression. Front. Endocrinol. 2022, 13, 975912. [Google Scholar] [CrossRef] [PubMed]
- Sknepnek, A.; Bajcar, M.; Hlavatá, H.; Cömertpay, S.; Dudáková, M.; Knez, Ž.; Čerenak, A.; Križman, P.; Grošič, A.; Košir, I.J.; et al. Natural solutions for diabetes: The therapeutic potential of medicinal plants and mushrooms. Front. Nutr. 2025, 12, 1511049. [Google Scholar] [CrossRef]
- Su, D.; Li, J.; Ba, H.; Zou, R.; Gao, H.; Tan, C.; Luo, Y.; Liu, S.; Chen, S.; Li, X.; et al. Projections for prevalence of Parkinson’s disease and its attributable burden in 2044 countries and territories from 2021 to 2050: A modelling study based on Global Burden of Disease 2021. BMJ 2025, 388, e080952. [Google Scholar] [CrossRef]
- World Health Organization (WHO). Neurological Disorders: Public Health Challenges; WHO: Geneva, Switzerland, 2020. [Google Scholar]
- Wakhloo, D.; Oberhauser, J.; Madira, A.; Mahajani, S. From cradle to grave: Neurogenesis, neuroregeneration and neurodegeneration in Alzheimer’s and Parkinson’s diseases. Neural Regen. Res. 2022, 17, 2606–2614. [Google Scholar] [CrossRef]
- Sita, G.; Hrelia, P.; Tarozzi, A.; Morroni, F. Isothiocyanates are promising compounds against oxidative stress, neuroinflammation and cell death that may benefit neurodegeneration in Parkinson’s disease. Int. J. Mol. Sci. 2016, 17, 1454. [Google Scholar] [CrossRef] [PubMed]
- Connolly, B.S.; Lang, A.E. Pharmacological treatment of Parkinson disease: A review. Mov. Disord. 2025, 40, 1234–1245. [Google Scholar] [CrossRef]
- Alghamdi, S.A.; Babgi, A.B.; Alghamdi, A.A.; Alghamdi, A.S.; Alghamdi, N.A.; Alghamdi, M.A. Levodopa and Plant—Derived Bioactive Compounds in Parkinson’s Disease: A comparative review of neuroprotective mechanisms and therapeutic potential. CNS Neurosci. Ther. 2025, 31, e12583070. [Google Scholar]
- da Silva, P.B.V.; Rosales, T.K.O.; Fabi, J.P. Nanoencapsulation of Biotics: Feasibility to Enhance stability, bioavailability, and controlled release in the gastrointestinal tract. Nutrients 2025, 17, 1180. [Google Scholar]
- Kamble, M.G.; Singh, A.; Singh, S.V.; Kamble, M.G.; Sagar, N.A.; Rani, N. Nanotechnology for encapsulation of bioactive components: A review. Discov Food 2025, 5, 116. [Google Scholar] [CrossRef]
- Souto, E.B.; Souto, S.B.; Campos, J.R.; Severino, P.; Pashirova, T.N.; Zakharova, L.Y.; Silva, A.M.; Durazzo, A.; Lucarini, M.; Izzo, A.A.; et al. Nanoparticle delivery systems in the treatment of diabetes mellitus: A review. Pharmaceutics 2019, 11, 639. [Google Scholar]
- Ajeeshkumar, K.K.; Aneesh, P.; Raju, N.; Suseela, M.; Ravishankar, C.N.; Benjakul, S. Advancement in liposome technology: Preparation techniques and application in food, functional foods, and bioactive delivery: A review. Crit. Rev. Food Sci. Food Saf. 2021, 20, 1280–1306. [Google Scholar] [CrossRef] [PubMed]
- Perus, M.; Marevci, M.K.; Kotnik, P. Liposomes: Recent progress on nanoparticles production and their usage in medicine. Biomater. Adv. 2026, 180, 214585. [Google Scholar] [CrossRef]
- Seo, M.W.; Park, T.E. Recent advances with liposomes as drug carriers for treatment of neurodegenerative diseases. Biomed. Eng. Lett. 2021, 11, 211–216. [Google Scholar] [CrossRef]
- Chen, B.H.; Jen, C.T.; Wang, C.C.; Pan, M.H. Improving Alzheimer’s disease and Parkinson’s disease in rats with nanoemulsion and byproducts prepared from cinnamon leaves. Pharmaceutics 2025, 17, 1200. [Google Scholar] [CrossRef]
- Ali, M.; Erabadda, B.; Chen, Y.; Xu, Y.; Gong, K.; Liu, M.; Binette, A.P.; Timsina, J.; Western, D.; Yang, C.; et al. Shared and disease-specific pathways in frontotemporal dementia and Alzheimer’s and Parkinson’s diseases. Nat. Med. 2025, 31, 2567–2577. [Google Scholar] [CrossRef]
- Cunningham, A.; Barrett, E.; Risch, S.; Lee, P.H.U.; Lee, C.; Moghekar, A.; Patra, P.; Shim, J.W. NFκB1: A common biomarker linking Alzheimer’s and Parkinson’s disease pathology. Front. Neurosci. 2025, 19, 1589857. [Google Scholar] [CrossRef]
- Pérez-Taboada, I.; Alberquilla, S.; Martín, E.D.; Anand, R.; Vietti-Michelina, S.; Tebeka, N.N.; Cantley, J.; Cragg, S.J.; Moratalla, R.; Vallejo, M. Diabetes causes dysfunctional dopamine neurotransmission favoring nigrostriatal degeneration in mice. Mov. Disord. 2020, 35, 1636–1648. [Google Scholar] [CrossRef] [PubMed]
- Hong, C.T.; Chen, K.Y.; Wang, W.; Chiu, J.Y.; Wu, D.; Chao, T.Y.; Hu, C.J.; Chau, K.Y.D.; Bamodu, O.A. Insulin resistance promotes Parkinson’s disease through aberrant expression of α-synuclein, mitochondrial dysfunction, and deregulation of the polo-like kinase 2 signaling. Cells 2020, 9, 740. [Google Scholar] [CrossRef]
- Münch, G.; Lüth, H.J.; Wong, A.; Arendt, T.; Hirsch, E.; Ravid, R.; Riederer, P. Crosslinking of α-synuclein by advanced glycation endproducts—An early pathophysiological step in Lewy body formation? J. Chem. Neuroanat. 2000, 20, 253–258. [Google Scholar] [CrossRef] [PubMed]
- Corrà, M.F.; Vila-Chã, N.; Sardoeira, A.; Hansen, C.; Sousa, A.P.; Reis, I.; Sambayeta, F.; Damásio, J.; Calejo, M.; Schicketmueller, A.; et al. Peripheral neuropathy in Parkinson’s disease: Prevalence and functional impact on gait and balance. Brain 2023, 146, 225–236. [Google Scholar] [CrossRef] [PubMed]
- TFDA. Method Validation Report; Taiwan Food and Drug Administration: Taipei, Taiwan, 2021.
- International Conference of Harmonization (ICH). Guideline on the Validation of Analysis Procedures: Methodology Q2B; International Conference of Harmonization: Fukuoka, Japan, 1996. [Google Scholar]
- Hsu, H.Y.; Chen, B.H. A comparative study on inhibition of breast cancer cells and tumors in mice by carotenoid extract and nanoemulsion prepared from sweet potato (Ipomoea batatas L.) Peel. Pharmaceutics 2022, 14, 980. [Google Scholar] [CrossRef]
- Ye, Q.; Kwon, S.; Gu, Z.; Selomulya, C. Stable nanoemulsions for poorly soluble curcumin: From production to digestion response in vitro. J. Mol. Liq. 2024, 394, 123720. [Google Scholar] [CrossRef]
- Pahuja, R.; Seth, K.; Shukla, A.; Shukla, R.K.; Bhatnagar, P.; Chauhan, L.K.S.; Saxena, P.N.; Arun, J.; Chaudhari, B.P.; Patel, D.K.; et al. Trans-blood brain barrier delivery of dopamine-loaded nanoparticles reverses functional deficits in Parkinsonian rats. ACS Nano 2015, 9, 4850–4871. [Google Scholar] [CrossRef]
- Katouzian, I.; Taheri, R.A. Preparation, characterization and release behavior of chitosan-coated nanoliposomes (chitosomes) containing olive leaf extract optimized by response surface methodology. J. Food Sci. Technol. 2021, 58, 3430–3443. [Google Scholar] [CrossRef]
- Molaveisi, M.; Shahidi-Noghabi, M.; Naji-Tabasi, S. Controlled release and improved stability of vitamin D3 within nanoliposomes stabilized by palmitic acid. J. Food Saf. 2021, 5, e12924. [Google Scholar] [CrossRef]
- Hsu, F.L.; Li, W.H.; Yu, C.W.; Hsieh, Y.C.; Yang, Y.F.; Liu, J.T.; Shih, J.; Chu, Y.Z.; Yen, P.L.; Chang, S.T.; et al. In vivo antioxidant activities of essential oils and their constituents from leaves of the Taiwanese Cinnamomum osmophloeum. J. Agric. Food Chem. 2012, 60, 3092–3097. [Google Scholar] [CrossRef]
- Lee, S.C.; Xu, W.X.; Lin, L.Y.; Yang, J.J.; Liu, C.T. Chemical composition and hypoglycemic and pancreas-protective effect of leaf essential oil from indigenous cinnamon (Cinnamomum osmophloeum Kanehira). J. Agric. Food Chem. 2013, 61, 4905–4913. [Google Scholar] [CrossRef]
- Hosni, A.; Abdel-Moneim, A.A.; Abdel-Reheim, E.S.; Mohamed, S.M.; Helmy, H. Cinnamaldehyde potentially attenuates gestational hyperglycemia in rats through modulation of PPARγ, proinflammatory cytokines and oxidative stress. Biomed. Pharmacother. 2017, 88, 52–60. [Google Scholar] [CrossRef]
- Hafizur, R.M.; Hameed, A.; Shukrana, M.; Raza, S.A.; Chishti, S.; Kabir, N.; Siddiqui, R.A. Cinnamic acid exerts anti-diabetic activity by improving glucose tolerance in vivo and by stimulating insulin secretion in vitro. Phytomedicine 2015, 22, 297–300. [Google Scholar] [CrossRef]
- Jain, S.K.; Krueger, S.; McVie, R.; Jaramillo, J.J.; Palmer, M.; Smith, T. Relationship of blood thromboxane-B2 (TxB2) with lipid peroxides and effect of vitamin E and placebo supplementation on TxB2 and lipid peroxide levels in type 1 diabetic patients. Diabetes Care 1998, 21, 1511–1516. [Google Scholar] [CrossRef]
- Hashizume, T.; Yamaguchi, H.; Kawamoto, A.; Tamura, A.; Sato, T.; Fujii, T. Lipid peroxide makes rabbit platelet hyperaggregable to agonists through phospholipase A2 activation. Arch. Biochem. Biophys. 1991, 289, 47–52. [Google Scholar] [CrossRef] [PubMed]
- Liu, L.; Feng, A.; Du, C.; Qi, C. Relationship between the changes in thromboxane B2, 6-keto-prostaglandin F1a, and blood glucose levels and progressive ischemic stroke. Ann. Palliat. Med. 2021, 10, 5373–5379. [Google Scholar] [CrossRef]
- Dresden, D. Effects of diabetes on the body and organs. Medical News Today, 4 May 2023. [Google Scholar]
- Hyatt, C.E.; Brainard, B.M. Point of care assessment of coagulation. Top. Companion Anim. Med. 2016, 31, 11–17. [Google Scholar] [CrossRef]
- Sapkota, B.; Shrestha, S.K.; Poudel, S. Association of activated partial thromboplastin time and fibrinogen level in patients with type II diabetes mellitus. BMC Res. Notes 2013, 6, 485. [Google Scholar] [CrossRef] [PubMed]
- Zhang, H.; Chen, M.; Sun, L.; Zhu, W.; Niu, T.; Mohammed Farooqui, H.F.; Wang, H.; Song, B.; Wang, J.; Zhang, H. The role of activated partial thrombin time in mediating the impact of poorly glycemic control on diabetic peripheral neuropathy in patients with type 2 diabetes mellitus. Front. Endocrinol. 2025, 16, 1501323. [Google Scholar] [CrossRef]
- Lippi, G.; Franchini, M.; Targher, G.; Montagnana, M.; Salvagno, G.L.; Guidi, G.C.; Favaloro, E.J. Epidemiological association between fasting plasma glucose and shortened APTT. Clin. Biochem. 2009, 42, 118–120. [Google Scholar] [CrossRef]
- Anderson, R.A. Chromium and polyphenols from cinnamon improve insulin sensitivity: Plenary lecture. Proc. Nutr. Soc. 2008, 67, 48–53. [Google Scholar] [CrossRef] [PubMed]
- Zare, R.; Nadjarzadeh, A.; Zarshenas, M.M.; Shams, M.; Heydari, M. Efficacy of cinnamon in patients with type II diabetes mellitus: A randomized controlled clinical trial. Clin. Nutr. 2019, 38, 549–556. [Google Scholar] [CrossRef]
- Zelicha, H.; Yang, J.; Henning, S.M.; Huang, J.; Lee, R.P.; Thames, G.; Livingston, E.H.; Heber, D.; Li, Z. Effect of cinnamon spice on continuously monitored glycemic response in adults with prediabetes: A 4-week randomized controlled crossover trial. Am. J. Clin. Nutr. 2024, 119, 649–657. [Google Scholar] [CrossRef] [PubMed]
- Nagatsu, T. Tyrosine hydroxylase: Human isoforms, structure and regulation in physiology and pathology. Essays Biochem. 1995, 30, 15–35. [Google Scholar]
- Rangasamy, S.B.; Dasarathi, S.; Nutakki, A.; Mukherjee, S.; Nellivalasa, R.; Pahan, K. Stimulation of dopamine production by sodium benzoate, a metabolite of cinnamon and a food additive. J. Alzheimers Dis. Rep. 2021, 5, 295–310. [Google Scholar] [CrossRef] [PubMed]
- Steinacker, P.; Aitken, A.; Otto, M. 14-3-3 proteins in neurodegeneration. Semin. Cell Dev. Biol. 2011, 22, 696–704. [Google Scholar] [CrossRef]
- Shaltiel-Karyo, R.; Davidi, D.; Frenkel-Pinter, M.; Ovadia, M.; Segal, D.; Gazit, E. Differential inhibition of α-synuclein oligomeric and fibrillar assembly in Parkinson’s disease model by cinnamon extract. Biochim. Biophys. Acta Gen. Subj. 2012, 1820, 1628–1635. [Google Scholar] [CrossRef]
- Politis, M.; Wu, K.; Molloy, S.; Bain, P.G.; Chaudhuri, K.R.; Piccini, P. Parkinson’s disease symptoms: The patient’s perspective. Mov. Disord. 2010, 25, 1646–1651. [Google Scholar] [CrossRef]
- Parent, M.; Wallman, M.J.; Gagnon, D.; Parent, A. Serotonin innervation of basal ganglia in monkeys and humans. J. Chem. Neuroanat. 2011, 41, 256–265. [Google Scholar] [CrossRef]
- Wallman, M.J.; Gagnon, D.; Parent, M. Serotonin innervation of human basal ganglia. Eur. J. Neurosci. 2011, 33, 1519–1532. [Google Scholar] [CrossRef] [PubMed]
- Politis, M.; Niccolini, F. Serotonin in Parkinson’s disease. Behav. Brain Res. 2015, 277, 136–145. [Google Scholar] [CrossRef]
- Tresse, E.; Marturia-Navarro, J.; Sew, W.Q.G.; Cisquella-Serra, M.; Jaberi, E.; Riera-Ponsati, L.; Fauerby, N.; Hu, E.; Kretz, O.; Aznar, S.; et al. Mitochondrial DNA damage triggers spread of Parkinson’s disease-like pathology. Mol. Psychiatry 2023, 28, 4902–4914. [Google Scholar] [CrossRef] [PubMed]
- Shah, S.P.; Duda, J.E. Dietary modifications in Parkinson’s disease: A neuroprotective intervention? Med. Hypotheses 2015, 85, 1002–1005. [Google Scholar] [CrossRef]
- Xu, D.C.; Chen, Y.; Xu, Y.; ShenTu, C.Y.; Peng, L.H. Signaling pathways in Parkinson’s disease: Molecular mechanisms and therapeutic interventions. Signal Transduct. Target. Ther. 2023, 8, 73. [Google Scholar] [CrossRef]
- Sian, J.; Dexter, D.T.; Lees, A.J.; Daniel, S.; Agid, Y.; Javoy-Agid, F.; Jenner, P.; Marsden, C.D. Alterations in glutathione levels in Parkinson’s disease and other neurodegenerative disorders affecting basal ganglia. Ann. Neurol. 1994, 36, 348–355. [Google Scholar] [CrossRef]
- Martin, H.L.; Teismann, P. Glutathione—A review on its role and significance in Parkinson’s disease. FASEB J. 2009, 23, 3263–3272. [Google Scholar] [CrossRef]
- Khasnavis, S.; Pahan, K. Cinnamon treatment upregulates neuroprotective proteins Parkin and DJ-1 and protects dopaminergic neurons in a mouse model of Parkinson’s disease. J. Neuroimmune Pharmacol. 2014, 9, 569–581. [Google Scholar] [CrossRef]
- Ahmadi, A.; Naziri, M.; Fallahpour, F.; Gholami, K.; Arabpour, J.; Pazeshgare, F.; Akbarzadeh, D.; Ansari, A.; Sabri, H.; Deravi, N. Therapeutic potential of cinnamon for neurological disorders: A mini-review. Neurol. Asia 2022, 27, 1–17. [Google Scholar] [CrossRef]
- Jana, A.; Modi, K.K.; Roy, A.; Anderson, J.A.; Van Breemen, R.B.; Pahan, K. Up-regulation of neurotrophic factors by cinnamon and its metabolite sodium benzoate: Therapeutic implications for neurodegenerative disorders. J. Neuroimmune Pharmacol. 2013, 8, 739–755. [Google Scholar] [CrossRef] [PubMed]
- Pahan, P.; Pahan, K. Can cinnamon bring aroma in Parkinson’s disease treatment? Neural Regen. Res. 2015, 10, 30–32. [Google Scholar] [CrossRef]
- Angelopoulou, E.; Paudel, Y.N.; Piperi, C.; Mishra, A. Neuroprotective potential of cinnamon and its metabolites in Parkinson’s disease: Mechanistic insights, limitations, and novel therapeutic opportunities. J. Biochem. Mol. Toxicol. 2021, 35, e22720. [Google Scholar] [CrossRef]
- Bae, W.Y.; Choi, J.S.; Jeong, J.W. The neuroprotective effects of cinnamic aldehyde in an MPTP mouse model of Parkinson’s disease. Int. J. Mol. Sci. 2018, 19, 551. [Google Scholar] [CrossRef]
- Sandyk, R. The relationship between diabetes mellitus and Parkinson’s disease. Int. J. Neurosci. 1993, 69, 125–130. [Google Scholar] [CrossRef]
- Cheong, J.L.Y.; de Pablo-Fernandez, E.; Foltynie, T.; Noyce, A.J. The association between type 2 diabetes mellitus and Parkinson’s disease. J. Park. Dis. 2020, 10, 775–789. [Google Scholar] [CrossRef]
- Bantounou, M.A.; Shoaib, K.; Mazzoleni, A.; Modalavalasa, H.; Kumar, N.; Philip, S. The association between type 2 diabetes mellitus and Parkinson’s disease: A systematic review and meta-analysis. Brain Disord. 2024, 15, 100158. [Google Scholar] [CrossRef]
- Kleinridders, A.; Cai, W.; Cappellucci, L.; Ghazarian, A.; Collins, W.R.; Vienberg, S.G.; Pothos, E.N.; Kahn, C.R. Insulin resistance in brain alters dopamine turnover and causes behavioral disorders. Proc. Natl. Acad. Sci. USA 2015, 112, 3463–3468. [Google Scholar] [CrossRef] [PubMed]
- Kawahata, I.; Finkelstein, D.I.; Fukunaga, K. Pathogenic impact of α-synuclein phosphorylation and its kinases in α-synucleinopathies. Int. J. Mol. Sci. 2022, 23, 6216. [Google Scholar] [CrossRef] [PubMed]
- Cheng, G.; Liu, Y.; Ma, R.; Cheng, G.; Guan, Y.; Chen, X.; Wu, Z.; Chen, T. Anti-parkinsonian therapy: Strategies for crossing the blood-brain barrier and nano-biological effects of nanomaterials. Nano-Micro Lett. 2022, 14, 105. [Google Scholar] [CrossRef]
- Grabrucker, A.M.; Ruozi, B.; Belletti, D.; Pederzoli, F.; Forni, F.; Vandelli, M.A. Nanoparticle transport across the blood brain barrier. Tissue Barriers 2016, 4, e1153568. [Google Scholar] [CrossRef]
- Cena, V.; Jativa, P. Nanoparticle crossing of blood-brain barrier: A road to new therapeutic approaches to central nervous system diseases. Nanomedicine 2018, 13, 1513–1516. [Google Scholar] [CrossRef]
- Karthivashan, G.; Ganesan, P.; Park, S.Y.; Kim, J.S.; Choi, D.K. Therapeutic strategies and nano-drug delivery applications in management of ageing Alzheimer’s disease. Drug Deliv. 2018, 25, 307–320. [Google Scholar] [CrossRef]
- Wunsch, A.; Mulac, D.; Langer, K. Lipoprotein imitating nanoparticles: Lecithin coating binds ApoE and mediates non-lysosomal uptake leading to transcytosis over the blood-brain-barrier. Int. J. Pharm. 2020, 589, 119821. [Google Scholar] [CrossRef]
- Pifferi, F.; Laurent, B.; Plourde, M. Lipid transport and metabolism at the blood-brain interface: Implications in health and disease. Front. Physiol. 2021, 12, 645646. [Google Scholar] [CrossRef]
- Ohta, S.; Kikuchi, E.; Ishijima, A.; Azuma, T.; Sakuma, I.; Ito, T. Investigating the optimum size of nanoparticle for their delivery into brain assisted by focused ultrasound-induced blood-brain barrier opening. Sci. Rep. 2020, 10, 18220. [Google Scholar] [CrossRef] [PubMed]
- Jena, A.B.; Samal, R.R.; Bhol, N.K.; Duttaroy, A.K. Cellular red-ox system in health and disease: The latest update. Biomed. Pharmcoth. 2023, 162, 114606. [Google Scholar] [CrossRef]
- Burtscher, J.; Duderstadt, Y.; Gatterer, H.; Burtscher, M.; Vozdek, R.; Millet, G.P.; Hicks, A.A.; Ehrenreich, H.; Kopp, M. Hypoxia sensing and responses in Parkinson’s disease. Int. J. Mol. Sci. 2024, 25, 1759. [Google Scholar] [CrossRef]
- Catrina, S.B.; Zheng, X. Hypoxia and hypoxia-inducible factors in diabetes and its complications. Diabetologia 2021, 64, 709–716. [Google Scholar] [CrossRef] [PubMed]
- Xiang, S.; Zhan, H.; Zhan, J.; Li, X.; Lin, X. Breaking hypoxic barrier: Oxygen-supplied nanomaterials for enhanced T cell-mediated tumor immunotherapy. Int. J. Pharm. X 2025, 10, 100400. [Google Scholar] [CrossRef] [PubMed]
- Sabari, S.S.; Balasubramani, K.; Iyer, M.; Sureshbabu, H.W.; Venkatesan, D.; Gopalakrishnan, A.V.; Narayanaswamy, A.; Senthil Kumar, N.; Vellingiri, B. Type 2 diabetes (T2DM) and Parkinson’s disease (PD): A mechanistic approach. Mol. Neurobiol. 2023, 60, 4547–4573. [Google Scholar] [CrossRef]
- Duarte, A.I.; Moreira, P.I.; Oliveira, C.R. Insulin in central nervous system: More than just a peripheral hormone. J. Aging Res. 2012, 2012, 384017. [Google Scholar] [CrossRef]
- Morris, J.K.; Vidoni, E.D.; Perea, R.D.; Rada, R.; Johnson, D.K.; Lyons, K.; Pahwa, R.; Burns, J.M.; Honea, R.A. Insulin resistance and gray matter volume in neurodegenerative disease. Neuroscience 2014, 270, 139–147. [Google Scholar] [CrossRef]
- Yao, W.D.; Gainetdinov, R.; Arbuckle, M.I.; Sotnikova, T.D.; Cyr, M.; Beaulieu, J.M.; Torres, G.E.; Grant, S.G.N.; Caron, M.G. Identification of PSD-95 as a regulator of dopamine-mediated synaptic and behavioral plasticity. Neuron 2004, 41, 625–638. [Google Scholar] [CrossRef]
- Jeanneteau, F.; Deinhardt, K. Fine-tuning MAPK signaling in the brain: The role of MKP-1. Commun. Integr. Biol. 2011, 4, 281–283. [Google Scholar] [CrossRef] [PubMed]
- Wan, Q.; Xiong, Z.G.; Man, H.Y.; Ackerley, C.A.; Braunton, J.; Lu, W.Y.; Becker, L.E.; MacDonald, J.F.; Wang, Y.T. Recruitment of functional GABA(A) receptors to postsynaptic domains by insulin. Nature 1997, 388, 686–690. [Google Scholar] [CrossRef]
- Hariharan, M. Effects of Insulin on Synapse Formation and Function: A Possible Role for Insulin Resistance. Master’s Thesis, Department of Biochemistry and Molecular Biology, Dalhousie University, Halifax, NS, Canada, 2012. [Google Scholar]
- Cao, R.; Tian, H.; Zhang, Y.; Liu, G.; Xu, H.; Rao, G.; Tian, Y.; Fu, X. Signaling pathways and intervention for therapy of type 2 diabetes mellites. MedComm 2023, 4, e283. [Google Scholar] [CrossRef]
- Karimirad, R.; Inbaraj, B.S.; Chen, B.H. Recent advances on the analysis and biological functions of cinnamaldehyde and its derivatives. Antioxidants 2025, 14, 765. [Google Scholar] [CrossRef] [PubMed]
- Yerra, V.G.; Negi, G.; Sharma, S.S.; Kumar, A. Potential therapeutic effects of the simultaneous targeting of the Nrf2 and NF-κB pathways in diabetic neuropathy. Redox Biol. 2013, 1, 394–397. [Google Scholar] [CrossRef] [PubMed]
- Konig, A.; Outeiro, T.F. Diabetes and Parkinson’s disease: Understanding shared molecular mechanisms. J. Parkinsons Dis. 2024, I, 917–924. [Google Scholar] [CrossRef]
- Jain, R.; Vora, L.; Nathiya, D.; Khatri, D.K. Nrf2-Keap1 pathway and NLRP3 inflammasome in Parkinson’s disease: Mechanistic crosstalk and therapeutic implications. Mol. Neurobiol. 2026, 63, 91. [Google Scholar] [CrossRef]
- Le, T.N.; Bright, R.; Truong, V.K.; Li, J.; Juneja, R.; Vasilev, K. Key biomarkers in type 2 diabetes patients: A systematic review. Diabetes Obs. Metab. 2025, 27, 7–22. [Google Scholar] [CrossRef] [PubMed]
- Arya, R.; Haque, A.K.M.A.; Shakya, H.; Billah, M.M.; Parvin, A.; Rahman, M.M.; Sakib, K.M.; Faruquee, H.M.; Kumar, V.; Kim, J.J. Parkinson’s disease: Biomarkers for diagnosis and disease progression. Int. J. Mol. Sci. 2024, 25, 12379. [Google Scholar] [CrossRef] [PubMed]











| Peak No. | Compound a | Retention Time (min) | MS/MS (m/z) | Content (µg/g) c | ||
|---|---|---|---|---|---|---|
| Sample | Precursor Ion | Production | Powder | Hydrosol d | ||
| 1 | Quercetin | 8.45 | 301 | 151 | 21.6 ± 1.8 | ND e |
| 2 | Coumarin | 5.68 | 147 | 91 | 3.1 ± 0.2 | ND |
| 3 b | Quercetin-3-O-galactoside Quercetin-3-O-glucoside | 7.40 | 463 | 300 | 5.7 ± 0.4 | ND |
| 4 | Rutin | 7.32 | 609 | 300 | 3.9 ± 0.2 | ND |
| 5 | Caffeic acid | 4.29 | 179 | 134 | 3.3 ± 0.1 | ND |
| 6 | Benzoic acid | 6.69 | 121 | 77 | 61.5 ± 0.8 | 4.2 ± 0.9 |
| 7 | 5-O-Caffeoylquinic acid | 2.15 | 353 | 191 | 0.7 ± 0.2 | ND |
| 8 | trans-Cinnamic acid | 9.20 | 147 | 103 | 435.7 ± 8.3 | 2.8 ± 0.1 |
| 9 | Cinnamaldehyde | 8.45 | 132 | 55 | 19,546.8 ± 271.5 | 1185.6 ± 70.5 |
| 10 | Kaempferol | 8.19 | 287 | 153 | 5.3 ± 0.6 | ND |
| 11 | Eugenol | 10.84 | 165 | 137 | 225.6 ± 3.7 | 13.7 ± 0.3 |
| 12 | Kaempferol 3-β-D-glucopyranoside | 8.47 | 447 | 284 | 23.8 ± 1.5 | ND |
| 13 | p-Coumaric acid | 5.67 | 164 | 90 | 5.4 ± 0.7 | ND |
| 14 | Cinnamyl alcohol | 8.29 | 117 | 115 | 96.8 ± 5.7 | 4.3 ± 0.3 |
| Incubation Time (h) | Particle Size (nm) a | Zeta Potential (mV) a | Encapsulation Efficiency (%) a |
|---|---|---|---|
| In GF | |||
| 0 | 23.2 ± 0.5 D | −33.2 ± 0.9 DE | – b |
| 0.5 | 23.6 ± 0.9 D | −34.2 ± 0.9 D | – |
| 1 | 24.1 ± 1.2 D | −32.8 ± 0.3 E | – |
| 1.5 | 23.2 ± 0.8 D | −32.5 ± 0.9 E | – |
| 2 | 24.7 ± 1.2 D | −30.8 ± 0.3 F | 88.4 ± 0.3 A |
| In IF | |||
| 0 | 29.1 ± 1.2 C | −39.6 ± 0.3 AB | – |
| 0.5 | 31.2 ± 0.2 B | −40.8 ± 1.2 A | – |
| 1 | 29.7 ± 1.4 BC | −38.1 ± 0.2 C | – |
| 1.5 | 30.9 ± 0.6 BC | −39.3 ± 1.0 BC | – |
| 2 | 33.2 ± 1.5 A | −38.3 ± 0.6 BC | 82.4 ± 0.3 B |
Disclaimer/Publisher’s Note: The statements, opinions and data contained in all publications are solely those of the individual author(s) and contributor(s) and not of MDPI and/or the editor(s). MDPI and/or the editor(s) disclaim responsibility for any injury to people or property resulting from any ideas, methods, instructions or products referred to in the content. |
© 2026 by the authors. Licensee MDPI, Basel, Switzerland. This article is an open access article distributed under the terms and conditions of the Creative Commons Attribution (CC BY) license.
Share and Cite
Lee, J.-W.; Jen, C.-T.; Stephen Inbaraj, B.; Chen, B.-H. Preventive Effects of Cinnamon Leaf Nanosuspension and Byproducts on Type II Diabetes and Parkinson’s Disease in Rat Models. Antioxidants 2026, 15, 195. https://doi.org/10.3390/antiox15020195
Lee J-W, Jen C-T, Stephen Inbaraj B, Chen B-H. Preventive Effects of Cinnamon Leaf Nanosuspension and Byproducts on Type II Diabetes and Parkinson’s Disease in Rat Models. Antioxidants. 2026; 15(2):195. https://doi.org/10.3390/antiox15020195
Chicago/Turabian StyleLee, Jin-Wei, Chen-Te Jen, Baskaran Stephen Inbaraj, and Bing-Huei Chen. 2026. "Preventive Effects of Cinnamon Leaf Nanosuspension and Byproducts on Type II Diabetes and Parkinson’s Disease in Rat Models" Antioxidants 15, no. 2: 195. https://doi.org/10.3390/antiox15020195
APA StyleLee, J.-W., Jen, C.-T., Stephen Inbaraj, B., & Chen, B.-H. (2026). Preventive Effects of Cinnamon Leaf Nanosuspension and Byproducts on Type II Diabetes and Parkinson’s Disease in Rat Models. Antioxidants, 15(2), 195. https://doi.org/10.3390/antiox15020195

