Sign in to use this feature.

Years

Between: -

Subjects

remove_circle_outline
remove_circle_outline
remove_circle_outline
remove_circle_outline
remove_circle_outline
remove_circle_outline
remove_circle_outline
remove_circle_outline
remove_circle_outline

Journals

Article Types

Countries / Regions

Search Results (51)

Search Parameters:
Keywords = hydroponic wastewater treatment

Order results
Result details
Results per page
Select all
Export citation of selected articles as:
18 pages, 1154 KB  
Article
Hydroponic Nature-Based Wastewater Treatment: Changes in Algal Communities and the Limitations of Laser Granulometry for Taxonomic Identification
by Aleksandra Bawiec, Katarzyna Pawęska, Dorota Richter and Mirosława Pietryka
Sustainability 2026, 18(2), 909; https://doi.org/10.3390/su18020909 - 15 Jan 2026
Abstract
The increasing need for sustainable wastewater treatment technologies has accelerated the development of Nature-Based Solutions (NBS), including hydroponic systems applied as tertiary treatment. This study aimed to assess changes in algal species composition in hydroponically treated municipal wastewater and to evaluate whether laser [...] Read more.
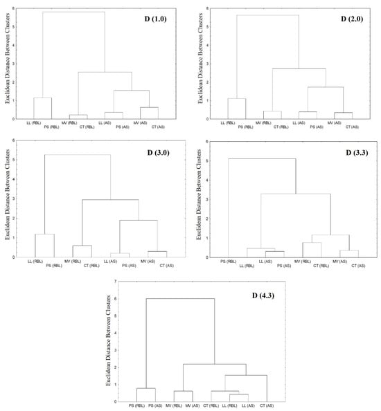
The increasing need for sustainable wastewater treatment technologies has accelerated the development of Nature-Based Solutions (NBS), including hydroponic systems applied as tertiary treatment. This study aimed to assess changes in algal species composition in hydroponically treated municipal wastewater and to evaluate whether laser granulometry can be used as a rapid tool for preliminary identification of algal taxa. The experiment was conducted in a static hydroponic system with three macrophyte species (Pistia stratiotes, Limnobium laevigatum, and Myriophyllum verticillatum) under white and red–blue light conditions. Microscopic identification was compared with indirect indicators such as chlorophyll a concentration and particle size distribution (D-values) obtained using laser granulometry. The results showed a substantial reduction in cyanobacteria and a shift towards diatoms and green algae, demonstrating the ecological benefits of hydroponic NBS. However, regression analysis revealed no significant correlation between algal cell volume and D(3.0) or D(4.3) values (R2 < 0.06, p > 0.38), excluding the use of granulometric data for taxonomic purposes. This limitation complicates monitoring of potentially harmful cyanobacteria in effluent and may necessitate additional algal removal before discharge Full article
Show Figures

Figure 1

17 pages, 1121 KB  
Article
Design and Environmental Analysis of an Aquaponics System Coupled with Photovoltaic Unit for Food Production and Reuse of Nutrients from Wastewater: A Life Cycle Assessment Study
by Juan J. Espada Sanjurjo, Mª Prado Díaz de Mera-Sánchez and Rosalía Rodríguez Escudero
Appl. Sci. 2026, 16(2), 635; https://doi.org/10.3390/app16020635 - 8 Jan 2026
Viewed by 198
Abstract
Aquaponics consists of the combination of hydroponics and aquaculture within a closed loop, being a promising technology for food production and wastewater treatment in the context of the circular economy. This technology is less energy-intensive, environmentally friendly, and consumes less water. In addition, [...] Read more.
Aquaponics consists of the combination of hydroponics and aquaculture within a closed loop, being a promising technology for food production and wastewater treatment in the context of the circular economy. This technology is less energy-intensive, environmentally friendly, and consumes less water. In addition, the wastewater produced by fish, rich in nutrients, can be used to grow a wide variety of plants, which avoids further treatments for nutrient removal. Although aquaponics presents advantages from an environmental point of view with regard to other technologies, its sustainability must be analyzed using systematic tools, such as the Life Cycle Assessment (LCA). In this work, a small-scale aquaponics system (tilapia–lettuce) coupled with a photovoltaic unit was designed and assessed from an environmental perspective using the LCA to quantify its environmental burdens. The photovoltaic unit was sized to supply renewable energy to the system, achieving a reduction of 52% in grid electricity consumption. The environmental impacts of the system were quantified by the LCA, showing that electricity and fish feed were the most important contributors to all the impacts (by 90%), obtaining significant reductions (by 40% on average for all of them) when coupling a photovoltaic unit to the system. Full article
Show Figures

Figure 1

83 pages, 6034 KB  
Review
Assessing the Ecotoxicological Effects of Emerging Drug and Dye Pollutants on Plant–Soil Systems Pre- and Post-Photocatalytic Wastewater Treatment
by Maria Paiu, Lidia Favier and Maria Gavrilescu
Plants 2025, 14(24), 3835; https://doi.org/10.3390/plants14243835 - 16 Dec 2025
Viewed by 509
Abstract
Emerging pollutants such as pharmaceuticals and synthetic dyes increasingly enter agricultural soils through irrigation with treated or untreated wastewater and via biosolid amendments, raising concerns for plant health, soil functionality, and food chain safety. Their environmental behavior is governed by complex interactions between [...] Read more.
Emerging pollutants such as pharmaceuticals and synthetic dyes increasingly enter agricultural soils through irrigation with treated or untreated wastewater and via biosolid amendments, raising concerns for plant health, soil functionality, and food chain safety. Their environmental behavior is governed by complex interactions between compound physicochemistry, soil properties, and plant physiology, leading to variable persistence, mobility, and ecotoxicological outcomes. This review synthesizes current evidence on the fate, uptake, and phytotoxic effects of drug and dye contaminants in plant–soil systems, and provides a comparative assessment of ecological risks before and after photocatalytic wastewater treatment. The analysis integrates findings from soil- and hydroponic-based studies addressing pollutant sorption–desorption dynamics, leaching, microbial transformations, and plant responses ranging from germination impairment and biomass reduction to oxidative stress and genotoxicity. Special emphasis is given to the formation and behavior of transformation products generated during photocatalytic degradation, which may display altered mobility or toxicity relative to parent compounds. Comparative evaluation reveals that photocatalysis substantially reduces contaminant loads and toxicity in many cases, although incomplete mineralization or the formation of reactive intermediates can sustain or enhance adverse effects under certain conditions. By linking pollutant fate mechanisms with plant and soil responses, this review highlights both the potential and the limitations of photocatalysis as a sustainable strategy for safeguarding agroecosystems in the context of expanding wastewater reuse. Full article
(This article belongs to the Section Plant–Soil Interactions)
Show Figures

Figure 1

23 pages, 2740 KB  
Article
Optimization of Aluminum Electrocoagulation Parameters for Nutrient Removal from Hydroponic Wastewater Using Response Surface Methodology
by Yara Soltan, Khalid Bani-Melhem, Muneer Ba-Abbad, Fares Almomani and Ala’a Al-Muhtaseb
Water 2025, 17(23), 3346; https://doi.org/10.3390/w17233346 - 22 Nov 2025
Viewed by 826
Abstract
Hydroponic systems represent a sustainable, soil-less alternative to conventional agriculture, offering high water-use efficiency and reduced land demand. However, the resulting hydroponic wastewater solution (HWS) requires proper treatment to prevent environmental contamination and enable nutrient recovery. This study systematically optimized the electrocoagulation (EC) [...] Read more.
Hydroponic systems represent a sustainable, soil-less alternative to conventional agriculture, offering high water-use efficiency and reduced land demand. However, the resulting hydroponic wastewater solution (HWS) requires proper treatment to prevent environmental contamination and enable nutrient recovery. This study systematically optimized the electrocoagulation (EC) process for nitrate and phosphate removal from HWS using Response Surface Methodology (RSM) based on the Box–Behnken Design (BBD). The effects of three key factors—applied current (0.03–0.80 A), electrolysis time (10–60 min), and number of aluminum electrodes (2, 4, 6)—were examined to maximize nutrient removal efficiency while minimizing energy consumption. Statistical modeling in Minitab software 2021, confirmed the strong influence of these parameters on removal performance (p < 0.05, high R2 values). Phosphate removal was highly efficient, reaching 99.7% under optimal conditions (0.415 A, four-electrode configuration, 35–60 min). However, nitrate removal was low at lower levels of applied current (0.03 A), with the best performance (Greater than 95%) achieved at 0.8 A and 60 min using six electrodes. Higher current and electrode numbers improved removal efficiency, though excessive current occasionally caused electrode passivation. Energy analysis showed that increasing the current and electrode number enhanced removal efficiency but also elevated power consumption. Overall, the results demonstrate that fine-tuning current intensity and electrolysis duration is critical to balance removal performance and energy demand. The study concludes that electrocoagulation is an effective and treatment option for nutrient recovery and decentralized management of hydroponic wastewater. Full article
Show Figures

Figure 1

23 pages, 4421 KB  
Article
Dynamic Modeling of Agricultural Fresh and Dry Biomass Under Variable Nutrient Supply
by Andrew Sharkey, Asher Altman, Yuming Sun and Yongsheng Chen
Agriculture 2025, 15(18), 1927; https://doi.org/10.3390/agriculture15181927 - 11 Sep 2025
Viewed by 778
Abstract
Data-driven empirical models, including those based on reaction kinetics, are well-regarded for their ability to make accurate predictions and uncover underlying relationships. While such models have been extensively employed for microbial communities, their use in agricultural populations remains comparatively limited. In this study, [...] Read more.
Data-driven empirical models, including those based on reaction kinetics, are well-regarded for their ability to make accurate predictions and uncover underlying relationships. While such models have been extensively employed for microbial communities, their use in agricultural populations remains comparatively limited. In this study, researchers analyzed data from hydroponic lettuce cultivation experiments observing nitrogen-, phosphorus-, and potassium-limited growth. Dynamic μ models, which incorporated nutrient-fueled growth and maturity-based rate decay, were adapted to accommodate a variable nutrient supply, as would be expected for nutrient recovery efforts using domestic wastewater. To test these models, researchers analyzed multiple approaches, differing variations in analyses, and other agricultural models against observed biomass measurements. The resulting Dynamic μ biomass models showed significantly less error than all other tested models, were validated against three variable nutrient treatments, and were evaluated against expected wastewater concentrations. Wastewater-cultivated lettuce was predicted to grow between 20 and 72% of fresh mass compared to lettuce grown under ideal nutrient concentrations, and models identified 41.7 days to maximize dry biomass, with a final harvest time of 44.0 days to maximize fresh biomass. Finally, this research demonstrates the application of agricultural modeling for profit estimation and informing decisions on supplemental nutrient use, providing guidance for nutrient recovery from wastewater. Full article
(This article belongs to the Section Agricultural Systems and Management)
Show Figures

Figure 1

18 pages, 2358 KB  
Article
Characterizing the Temporally Dynamic Nature of Relative Growth Rates: A Kinetic Analysis on Nitrogen-, Phosphorus-, and Potassium-Limited Growth
by Andrew Sharkey, Asher Altman, Yuming Sun, Thomas K. S. Igou and Yongsheng Chen
Agriculture 2025, 15(15), 1641; https://doi.org/10.3390/agriculture15151641 - 29 Jul 2025
Cited by 2 | Viewed by 914
Abstract
Developing precision models to describe agricultural growth is a necessary step to promote sustainable agriculture and increase resource circulation. In this study, the researchers hydroponically cultivated Bibb lettuce (Lactuca sativa) across a variety of nitrogen, phosphorus, and potassium (NPK)-limited treatments and [...] Read more.
Developing precision models to describe agricultural growth is a necessary step to promote sustainable agriculture and increase resource circulation. In this study, the researchers hydroponically cultivated Bibb lettuce (Lactuca sativa) across a variety of nitrogen, phosphorus, and potassium (NPK)-limited treatments and developed robust data-driven kinetic models observing nutrient uptake, biomass growth, and tissue composition based on all three primary macronutrients. The resulting Dynamic μ model is the first to integrate plant maturity’s impact on growth rate, significantly improving model accuracy across limiting nutrients, treatments, and developmental stages. This reduced error supports this simple expansion as a practical and necessary inclusion for agricultural kinetic modeling. Furthermore, analysis of nutrient uptake refines the ideal hydroponic nutrient balance for Bibb lettuce to 132, 35, and 174 mg L−1 (N, P, and K, respectively), while qualitative cell yield analysis identifies minimum nutrient thresholds at approximately 26.2–41.7 mg-N L−1, 3.7–5.6 mg-P L−1, and 17.4–31.5 mg-K L−1 to produce compositionally healthy lettuce. These findings evaluate reclaimed wastewater’s ability to offset the fertilizer burden for lettuce by 23–45%, 14–57%, and 3–23% for N, P, and K and guide the required minimum amount of wastewater pre-processing or nutrient supplements needed to completely fulfill hydroponic nutrient demands. Full article
(This article belongs to the Section Agricultural Systems and Management)
Show Figures

Figure 1

23 pages, 10278 KB  
Article
Natural-Based Solution for Sewage Using Hydroponic Systems with Water Hyacinth
by Lim Yen Yen, Siti Rozaimah Sheikh Abdullah, Muhammad Fauzul Imron and Setyo Budi Kurniawan
Water 2025, 17(14), 2122; https://doi.org/10.3390/w17142122 - 16 Jul 2025
Cited by 1 | Viewed by 1544
Abstract
Domestic wastewater discharge is the major source of pollution in Malaysia. Phytoremediation under hydroponic conditions was initiated to treat domestic wastewater and, at the same time, to resolve the space limitation issue by installing a hydroponic system in vertical space at the site. [...] Read more.
Domestic wastewater discharge is the major source of pollution in Malaysia. Phytoremediation under hydroponic conditions was initiated to treat domestic wastewater and, at the same time, to resolve the space limitation issue by installing a hydroponic system in vertical space at the site. Water hyacinth (WH) was selected in this study to identify its performance of water hyacinth in removing nutrients in raw sewage under batch operation. In the batch experiment, the ratio of CODinitial/plantinitial was identified, and SPSS ANOVA analysis shows that the number of plant size factors was not statistically different in this study. Therefore, four WH, each with an initial weight of 60 ± 20 g, were recommended for this study. Throughout the 10 days of the batch experiment, the average of COD, BOD, TSS, TP, NH4, and color removal was 73%, 73%, 86%, 79%, 77%, and 54%, respectively. The WH biomass weight increased by an average of 78%. The plants have also improved the DO level from 0.24 mg/L to 4.88 mg/L. However, the pH of effluent decreased from pH 7.05 to pH 4.88 below the sewage Standard B discharge limit of pH 9–pH 5.50. Four WH plant groups were recommended for future study, as the COD removal among the other plant groups is not a statistically significant difference (p < 0.05). Furthermore, the lower plant biomass is preferable for the high pollutant removal performance due to the fact that it can reduce the maintenance and operating costs. Full article
(This article belongs to the Section Wastewater Treatment and Reuse)
Show Figures

Figure 1

13 pages, 1862 KB  
Article
Hydroponic Wastewater Treatment with Microalgae: A Sustainable Alternative for Irrigating Pelargonium × hortorum
by Alejandro Rápalo-Cruz, Cintia Gómez-Serrano, Cynthia Victoria González-López, Miguel Urrestarazu-Gavilán and Silvia Jiménez-Becker
Horticulturae 2025, 11(5), 547; https://doi.org/10.3390/horticulturae11050547 - 19 May 2025
Viewed by 1774
Abstract
Microalgae are an effective solution for the treatment and valorization of wastewater generated in hydroponic systems. In the current context of sustainability and resource management, the search for ecological alternatives in agriculture is essential. This study investigated the use of wastewater from hydroponic [...] Read more.
Microalgae are an effective solution for the treatment and valorization of wastewater generated in hydroponic systems. In the current context of sustainability and resource management, the search for ecological alternatives in agriculture is essential. This study investigated the use of wastewater from hydroponic systems, purified by microalgae, for the irrigation of Pelargonium × hortorum. An experiment was designed under controlled conditions in which different irrigation treatments were applied. Hydroponic leachates treated by microalgae were used at 100%, 75%, and 50% (diluted using tap water), in addition to tap water as a negative control and nutrient solution as a positive control. The treatment system was established in a raceway photobioreactor, which allowed the proliferation of microalgae that act as bioremediators for the elimination of pollutants and the removal of nitrogen and phosphorus. The growth parameters, biomass, and general health of the Pelargonium × hortorum plants were evaluated, complemented with physicochemical analyses of the water carried out during the experimental period. These analyses showed that the water obtained after the purification process retained nutrients that can be reused for irrigation. The results indicated that plants irrigated with treated water showed significant improvements in height, diameter, number of leaves, leaf area, leaf dry weight, and flower dry weight compared to those irrigated with tap water. In conclusion, the study shows that the treatment of hydroponic wastewater by means of microalgal cultivation represents a viable and ecological alternative for the irrigation of ornamental plants such as Pelargonium × hortorum. The implementation of this system contributes both to the reduction of pollutants and to the optimal use of water resources, establishing a solid basis for future research in which additional nutrients could be incorporated to balance the nutrient solution studied. Full article
Show Figures

Graphical abstract

30 pages, 2104 KB  
Article
Achieving a Biocircular Economy in the Aquaculture Sector Through Waste Valorization
by Setyo Budi Kurniawan, Azmi Ahmad, Muhammad Fauzul Imron, Siti Rozaimah Sheikh Abdullah, Ahmad Razi Othman and Hassimi Abu Hasan
Toxics 2025, 13(2), 131; https://doi.org/10.3390/toxics13020131 - 11 Feb 2025
Cited by 14 | Viewed by 3417
Abstract
Aquaculture wastewater treatment not only assists in alleviating the scarcity of clean water for daily usage and environmental pollution, but also generates valuable byproducts. This paper aims to review the generation of wastewater from the aquaculture sector, its characteristics, and available treatment technologies, [...] Read more.
Aquaculture wastewater treatment not only assists in alleviating the scarcity of clean water for daily usage and environmental pollution, but also generates valuable byproducts. This paper aims to review the generation of wastewater from the aquaculture sector, its characteristics, and available treatment technologies, while comprehensively discussing the adoption of a biocircular economy approach through waste valorization. With rich nutrients, such as nitrogenous compounds, and the presence of phosphorus in the aquaculture effluent, these aspects could be explored and valorized into biofertilizers, broadening their application in aquaponics and hydroponics, as well as in algae and daphnid cultivation. Biofertilizer can also be used in agriculture because it contains essential elements needed by plants. Thus, methods of converting nutrients into biofertilizers in terms of sludge recovery can be accomplished via anaerobic and aerobic digestion, drying, composting, and vermicomposting. Moving forward, aquaculture effluent recovery is addressed under the biocircular economy by re-engaging aquaculture wastewater effluents into the production cycle. The enhancement of aquaculture effluents and biomass for uses such as aquaponics, hydroponics, algae cultivation, daphnid co-cultivation, and biofertilizers presents valuable opportunities for nutrient recovery while ensuring that non-toxic wastewater can be safely discharged into external water bodies. This approach has the potential to revolutionize wastewater treatment in aquaculture, shifting the economic model of wastewater management from a linear system to a circular, more sustainable one. Full article
Show Figures

Figure 1

16 pages, 2738 KB  
Article
The Physiological Response of Salix matsudana for Water Pollution by 2,4-Dinitrophenol
by Huicheng Xie, Yikang Fu, Degang Fu, Dengfeng Lin, Huimin Zhou, Guilong Fu, Hui Li, Jinxin Liu, Xiuguo Zheng and Kun Li
Toxics 2024, 12(10), 763; https://doi.org/10.3390/toxics12100763 - 20 Oct 2024
Cited by 1 | Viewed by 1627
Abstract
In this study, the effects of different concentrations of 2,4-dinitrophenol (2,4-DNP) stress on physiological parameters, as well as the uptake and removal of 2,4-DNP in Salix matsudana, were investigated using hydroponic simulation experiments to explore the potential of the use of Salix [...] Read more.
In this study, the effects of different concentrations of 2,4-dinitrophenol (2,4-DNP) stress on physiological parameters, as well as the uptake and removal of 2,4-DNP in Salix matsudana, were investigated using hydroponic simulation experiments to explore the potential of the use of Salix matsudana in the phytoremediation of wastewater polluted by 2,4-DNP. The results showed that PN (net photosynthetic rate), Tr (transpiration rate), Gs (stomatal conductance), Ls (stomatal limitation value), Fv/Fm (maximal quantum yield of PSII photochemistry), and qp (photochemical quenching coefficient) of Salix matsudana seedlings showed an overall decreasing trend, while Ci (intercellular CO2 concentration) showed an increasing trend with the increase in 2,4-DNP concentration. The net photosynthetic rate and intercellular carbon dioxide concentration showed an opposite trend in the leaves with the increase in 2,4-DNP stress concentration, and the inhibition of net photosynthesis by 2,4-DNP on Salix matsudana seedlings was mainly based on non-stomatal factors. In the 15 d incubation experiment, the values of SOD (superoxide dismutase), POD (peroxidase), and CAT (catalase) indexes were higher at low concentrations of 2,4-DNP stress, and all three enzymes reached their maximum values at 10 mg L−1 of 2,4-DNP and then decreased. Salix matsudana seedlings could tolerate 2,4-DNP stress well, which did not exceed 20 mg L−1. The toxicity of 2,4-DNP solution was significantly reduced after purification by Salix matsudana seedlings. The removal rate of 2,4-DNP was higher than 80% in each treatment group by Salix matsudana purified after 15 days. When the concentration of 2,4-DNP reached 20 mg L−1, the contents of MDA (malonicdialdehyde) were 55.62 mmol g−1, and the values of REC (relative conductivity) and LD (leaf damage) were 63.51% and 59.93%, respectively. The structure and function of the cell membrane in leaves were seriously damaged. With the increase in 2,4-DNP concentration, the removal of 2,4-DNP by Salix matsudana seedlings showed a decreasing trend. When the 2,4-DNP concentration was 5 mg L−1, the highest removal rate of 2,4-DNP by Salix matsudana seedlings was 95.98%, while when the 2,4-DNP concentration was 20 mg L−1, the highest removal rate was 86.76%. It is noted that the suitable, recommended concentration for the phytoremediation of 2,4-DNP contamination by Salix matsudana seedlings is between 8.81 and 13.78 mg L−1. Full article
(This article belongs to the Special Issue Bioremediation of Pollutants in Sewage Sludge)
Show Figures

Figure 1

19 pages, 951 KB  
Article
Ecological Risk Assessment and Sustainable Management of Pollutants in Hydroponic Wastewater from Plant Factories
by Hong-Duck Ryu, Jae-Hoon Kim, Hyeyeol Han, Ju-Hyun Park and Yong Seok Kim
Sustainability 2024, 16(17), 7688; https://doi.org/10.3390/su16177688 - 4 Sep 2024
Cited by 5 | Viewed by 1998
Abstract
Although the plant factory (PF) industry is expanding worldwide, there are currently no regulatory measures for wastewater discharged from PFs in South Korea. This study aims to present the characteristics of major pollutants discharged from PFs that have not been reported in the [...] Read more.
Although the plant factory (PF) industry is expanding worldwide, there are currently no regulatory measures for wastewater discharged from PFs in South Korea. This study aims to present the characteristics of major pollutants discharged from PFs that have not been reported in the literature and suggest effective management measures for them. The occurrence of 17 pollutants in hydroponic wastewater (HW) from 33 PFs was analyzed, and their potential ecological risk (PER) to aquatic life was assessed. Water samples were collected up to three times from each PF. The detection frequencies of 11 pollutants, including total organic carbon, total nitrogen, total phosphorus, Mn, Ni, B, Mo, Cr, Cu, Zn, and Ba, in HW exceeded 50%. Ni, Cr, and Ba are notably not recommended components of nutrient solutions in South Korea. Among the micropollutants, the concentration of Cu, which is a recommended component, was the highest, at 10.317 mg/L. The PER assessment identified Cu and Zn as “high-hazard” pollutants, with Cu, Zn, Ni, Mn, and B prioritized for management. To ensure the sustainability of hydroponic cultivation, these five pollutants must be managed. Nature-based techniques, such as the implementation of constructed wetlands and phyto-filtration, are recommended for effective treatment. Full article
(This article belongs to the Section Pollution Prevention, Mitigation and Sustainability)
Show Figures

Figure 1

22 pages, 8608 KB  
Article
Modeling Bibb Lettuce Nitrogen Uptake and Biomass Productivity in Vertical Hydroponic Agriculture
by Andrew Sharkey, Asher Altman, Abigail R. Cohen, Teagan Groh, Thomas K. S. Igou, Rhuanito Soranz Ferrarezi and Yongsheng Chen
Agriculture 2024, 14(8), 1358; https://doi.org/10.3390/agriculture14081358 - 14 Aug 2024
Cited by 3 | Viewed by 3532
Abstract
Global fertilizer production and mismanagement significantly contribute to many harmful environmental impacts, revealing the need for a greater understanding of crop growth and nutrient uptake, which can be used to optimize fertilizer management. This study experimentally adapts first-principles microbial modeling techniques to the [...] Read more.
Global fertilizer production and mismanagement significantly contribute to many harmful environmental impacts, revealing the need for a greater understanding of crop growth and nutrient uptake, which can be used to optimize fertilizer management. This study experimentally adapts first-principles microbial modeling techniques to the hydroponic cultivation of Bibb lettuce (Lactuca sativa) under nitrogen-limited conditions. Monod and Michaelis–Menten’s approaches are applied to predict biomass productivity and nutrient uptake and to evaluate the feasibility of reclaimed wastewater as a nutrient source of nitrogen. Experimental and modeling results reveal significantly different kinetic saturation constants (Ks = 1.331 and Km = 17.887 mg L−1) and a corresponding cell yield strongly dependent on nutrient concentration, producing visually and compositionally distinct tissue between treatments receiving 26.2 and 41.7 mgN L−1. The resulting Monod model overestimates dry mass predictions during low nutrient conditions, and the collective results support the development of a dynamic Monod curve that is temporally dependent during the plants’ lifecycle. Despite this shortcoming, these results support the feasibility of reclaiming nitrogen from wastewater in hydroponic agriculture, expecting to produce lesser biomass lettuce exhibiting healthy tissue. Furthermore, this study provides a mathematical foundation for agricultural simulations and nutrient management. Full article
(This article belongs to the Special Issue Innovative Hydroponic Systems for Sustainable Agriculture)
Show Figures

Figure 1

19 pages, 2959 KB  
Article
Exogenous Salicylic Acid Alleviates Physiological Stress in Salix matsudana Seedlings and Increases 2,4-Dinitrophenol Removal
by Chen Wu, Liudong Zhang, Yikang Fu, Guilong Fu, Degang Fu, Hui Li, Shuai Su, Huicheng Xie, Hui Tian, Ruijiang Wang and Kun Li
Forests 2024, 15(8), 1392; https://doi.org/10.3390/f15081392 - 9 Aug 2024
Cited by 4 | Viewed by 1371
Abstract
2,4-dinitrophenol (2,4-DNP) is a new kind of pollutant that is highly toxic and difficult to be biodegraded. In this study, the feasibility of using exogenous growth regulator salicylic acid (SA) to improve the purification ability of Salix matsudana (S. matsudana) seedlings to [...] Read more.
2,4-dinitrophenol (2,4-DNP) is a new kind of pollutant that is highly toxic and difficult to be biodegraded. In this study, the feasibility of using exogenous growth regulator salicylic acid (SA) to improve the purification ability of Salix matsudana (S. matsudana) seedlings to 2,4-DNP stress was investigated by a hydroponic simulation experiment. The main research results are as follows: (1) After adding exogenous SA, a high concentration of SA (1000 mg·L−1) inhibited the photosynthetic process and the normal physiological process of the chlorophyll fluorescence system of S. matsudana seedlings to a certain extent. When adding a low concentration of SA (10 mg·L−1) to treat S. matsudana seedlings, all exogenous treatment groups could alleviate the stress of 2,4-DNP on the photosynthetic system and chlorophyll fluorescence system of S. matsudana seedlings, and 10 mg·L−1 SA (DNP + S1) was the best. (2) The addition of exogenous SA could alleviate the damage of 2,4-DNP to S. matsudana seedlings by enhancing the activity of its antioxidant enzymes to remove excess reactive oxygen species (ROS) in the body and reducing the level of membrane lipid peroxidation and the size of membrane damage. The treatment with 10 mg·L−1 SA had the best effect. (3) Exogenous low concentration of SA (10 mg·L−1) could alleviate the decline of biomass index of S. matsudana seedlings under 2,4-DNP stress, but a high concentration of SA (1000 mg·L−1) could not alleviate the 2,4-DNP toxicity of S. matsudana seedlings leaves. Exogenous SA could effectively alleviate the growth damage caused by 2,4-DNP stress on S. matsudana seedlings and increase the tolerance threshold range of S. matsudana seedlings to 2,4-DNP (8.81–33.78 mg·L−1). (4) Exogenous addition of SA could increase the removal percentage of 2,4-DNP in Salix matsudana seedlings. Among them, the removal percentage of Salix matsudana was the highest at 10 mg·L−1 SA, which was 1.46 times (5 days) and 1.19 times (10 days) higher than that of the DNP treatment group, respectively. Overall, when SA reached 10 mg·L−1, the photosynthetic productivity of S. matsudana was the highest, and S. matsudana had the best purification effect on 2,4-DNP in wastewater. Full article
Show Figures

Figure 1

11 pages, 1812 KB  
Article
Reuse of Treated Slaughterhouse Wastewater from Immediate One-Step Lime Precipitation and Atmospheric Carbonation to Produce Aromatic Plants in Hydroponics
by Luís Madeira, Margarida Ribau Teixeira, Sérgio Nunes, Adelaide Almeida and Fátima Carvalho
Water 2024, 16(11), 1566; https://doi.org/10.3390/w16111566 - 30 May 2024
Cited by 1 | Viewed by 1875
Abstract
The transition from the linear economy paradigm to the circular economy in industrial wastewater treatment is on the global agenda. The search for new simple, eco-innovative and low-cost processes for treating industrial wastewater, which can also be used by small- and medium-sized industries, [...] Read more.
The transition from the linear economy paradigm to the circular economy in industrial wastewater treatment is on the global agenda. The search for new simple, eco-innovative and low-cost processes for treating industrial wastewater, which can also be used by small- and medium-sized industries, has been a constant challenge to ensure environmental sustainability in all types of industries. The present work aimed to evaluate the suitability of the treated slaughterhouse wastewater (SWW) obtained by the integrated process composed of immediate one-step lime precipitation (IOSLM) and atmospheric carbonation (AC) for the production of aromatic plants by hydroponics. Results showed a significant increase in plant height of 177 and 147% and root length of 64 and 37% for Pennyroyal and Chocolate Peppermint plants, respectively, after 26 days. No signs of toxicity or symptoms of micronutrient deficiency were detected in aromatic plants. Full article
(This article belongs to the Special Issue Water, Wastewater and Waste Management for Sustainable Development)
Show Figures

Figure 1

20 pages, 3774 KB  
Article
Progress on the Use of Hydroponics to Remediate Hog Farm Wastewater after Vermifiltration Treatment
by Kirill Ispolnov, Tomás M. R. Luz, Luis M. I. Aires and Judite S. Vieira
Water 2024, 16(11), 1524; https://doi.org/10.3390/w16111524 - 25 May 2024
Cited by 3 | Viewed by 2802
Abstract
Hog farm wastewater may require novel biological treatment techniques to improve efficiency and reduce costs. Previous studies combining vermifiltration with downstream hydroponics showed the need for a balanced wastewater nutrient content, particularly the nitrogen-to-phosphorus ratio. Here, a deep-water culture hydroponic system, growing lettuce [...] Read more.
Hog farm wastewater may require novel biological treatment techniques to improve efficiency and reduce costs. Previous studies combining vermifiltration with downstream hydroponics showed the need for a balanced wastewater nutrient content, particularly the nitrogen-to-phosphorus ratio. Here, a deep-water culture hydroponic system, growing lettuce as model culture, was used to remediate hog farm wastewater after an initial vermifiltration stage, aiming to produce an effluent suitable for irrigation. Supplemented vermifiltered wastewater (SVW) with added nutrients was tested against unsupplemented vermifiltered wastewater (VW) over 35 days, using a synthetic nutrient solution (NS) as a control. Supplementation was shown to improve lettuce growth, light use efficiency, and water use efficiency. Nutrient analysis over time showed a better-balanced phosphorus and nitrogen removal in SVW than in VW; in all treatments nitrogen and phosphorus content was reduced to legally acceptable levels for treated wastewater reuse in irrigation: nitrate 5 mgN L−1 in VW and undetectable in SVW and NS; ammonia undetectable in all treatments; and total phosphorus 2.4 mg L−1 in SVW, 0.9 mg L−1 in NS and undetectable in VW. Coliforms increased in VW and SVW during hydroponic treatment, which should be solved by disinfection. Overall, combining vermifiltration with downstream hydroponic culture proved to be a promising treatment to remediate nutrients in hog farm effluent to make it suitable to be reused for irrigation. Full article
(This article belongs to the Section Wastewater Treatment and Reuse)
Show Figures

Figure 1

Back to TopTop