Next Article in Journal
Role of Snow in the High-Mountain Hydrologic Cycle
Previous Article in Journal
Hydrochemical Characteristics, Mechanisms of Formation, and Sources of Different Water Bodies in the Northwest Coal–Electricity Agglomeration Area
 
 
Font Type:
Arial Georgia Verdana
Font Size:
Aa Aa Aa
Line Spacing:
Column Width:
Background:
Article

Progress on the Use of Hydroponics to Remediate Hog Farm Wastewater after Vermifiltration Treatment

by
Kirill Ispolnov
1,2,*,
Tomás M. R. Luz
1,2,
Luis M. I. Aires
1,2 and
Judite S. Vieira
1,2
1
LSRE-LCM—Laboratory of Separation and Reaction Engineering—Laboratory of Catalysis and Materials, School of Technology and Management, Polytechnic of Leiria, Campus 2, 2411-901 Leiria, Portugal
2
ALiCE—Associate Laboratory in Chemical Engineering, Faculty of Engineering, University of Porto, Rua Dr. Roberto Frias, 4200-465 Porto, Portugal
*
Author to whom correspondence should be addressed.
Water 2024, 16(11), 1524; https://doi.org/10.3390/w16111524
Submission received: 29 April 2024 / Revised: 22 May 2024 / Accepted: 23 May 2024 / Published: 25 May 2024
(This article belongs to the Section Wastewater Treatment and Reuse)

Abstract

Hog farm wastewater may require novel biological treatment techniques to improve efficiency and reduce costs. Previous studies combining vermifiltration with downstream hydroponics showed the need for a balanced wastewater nutrient content, particularly the nitrogen-to-phosphorus ratio. Here, a deep-water culture hydroponic system, growing lettuce as model culture, was used to remediate hog farm wastewater after an initial vermifiltration stage, aiming to produce an effluent suitable for irrigation. Supplemented vermifiltered wastewater (SVW) with added nutrients was tested against unsupplemented vermifiltered wastewater (VW) over 35 days, using a synthetic nutrient solution (NS) as a control. Supplementation was shown to improve lettuce growth, light use efficiency, and water use efficiency. Nutrient analysis over time showed a better-balanced phosphorus and nitrogen removal in SVW than in VW; in all treatments nitrogen and phosphorus content was reduced to legally acceptable levels for treated wastewater reuse in irrigation: nitrate 5 mgN L−1 in VW and undetectable in SVW and NS; ammonia undetectable in all treatments; and total phosphorus 2.4 mg L−1 in SVW, 0.9 mg L−1 in NS and undetectable in VW. Coliforms increased in VW and SVW during hydroponic treatment, which should be solved by disinfection. Overall, combining vermifiltration with downstream hydroponic culture proved to be a promising treatment to remediate nutrients in hog farm effluent to make it suitable to be reused for irrigation.

1. Introduction

Pork is one of the most consumed meats in the world economy and its production and consumption are projected to reach 127 Mt by 2030 [1]. In the European Union, pork production has increased in recent years, reaching over 23,400 kt in 2021 [2].
Industrialized swine farming has a significant environmental impact. It generates wastewater reportedly rich in organic matter, total nitrogen (TN), ammonia nitrogen (NH3-N), total phosphorus (TP) [3], and heavy metals such as copper and zinc [4]. Piggery sludge and wastewater contribute to air pollution by volatile organic compounds (VOC) [5] and greenhouse gases (GHG) such as CH4 and N2O [6,7]. Pig manure has been reported to cause microbial contamination with fecal bacteria such as E. coli and Enterobacter spp. [8].
Conventional swine wastewater treatments can be either inefficient or complex, challenging and expensive [3]. Swine wastewater is commonly treated by deposition in anaerobic or facultative lagoons, which is a cheap treatment method [9]; however, lagoons are ineffective in the removal of organic matter [10], nitrogen, and phosphorus [10,11,12] and are prone to overflow, posing environmental threats. Centralized treatment on wastewater treatment plants may be used afterward, implying additional transportation costs and service fees for farmers. Reusing untreated wastewater in agriculture has been a traditional practice with both benefits and limitations [13]. Inadequately managed reuse of untreated swine wastewater in agriculture leads to critical environmental problems, such as microbial contamination [14], excessive soil salinization and fertilization, and heavy metal accumulation [4,15]. Soil pollution leads to groundwater contamination [16,17], spreading to wells and water bodies. Poor wastewater treatment places a heavy burden on ecosystems, and the resulting reduced availability of clean water impairs economic growth, sanitation, and health, seriously affecting life conditions for a continuously growing human population, mainly in developing countries. Water and wastewater management is crucial for any prospect of sustainable development, as stated by the United Nations Organization within the Sustainable Development Goals framework [18,19].
Novel treatment approaches, namely nature-based technologies, can be interesting alternatives to usual swine wastewater management and may attract the attention of farmers and local governments. Vermifiltration can be an option for natural hog farm wastewater treatment, able to be implemented locally on the farms after the typical facultative lagoon treatment or primary treatment. Vermifilters are typically trickling biogeofilters packed with several layers of inert substrates and a top layer of organic material inoculated with live earthworms that interact synergistically with microorganisms [20,21]. Earthworms ingest, grind, and digest organic waste and their activity keeps the vermifilter aerated, promoting microbial decomposition [21]. Thus, vermifilters are effective at removing suspended solids by mechanical retention and digestion, organic matter by digestion and respiration [22,23], and ammonia nitrogen by nitrification [22] with typical removal efficiencies reaching 80–90%. Microbial communities are altered by earthworms, favoring nitrifying bacteria [24,25] and reducing pathogens [26,27,28]. The bioavailability of heavy metals such as Cd, Pb, Ni, Cu, Cr, and Zn can be significantly reduced by vermifiltration [29]. However, vermifiltration still fails to effectively remove total phosphorus [30] and depends on physical and chemical conditions such as temperature, pH, C:N ratio, and hydraulic retention time (HRT) to remove total nitrogen [31,32], thus requiring additional organisms or downstream treatment stages.
The use of vermifiltered wastewater as a liquid medium for hydroponic cultures may prove to be an interesting additional treatment stage. The ability of hydroponic culture to effectively remove nitrate and phosphate from synthetic media and wastewater has been reported in the literature [33,34,35]. Hydroponics comprises several techniques of soil-less crop cultivation where the roots stay in direct contact with a nutrient-carrying liquid medium [36,37]. Since plants critically depend on nitrogen and phosphorus, which they absorb through their roots as ammonia, nitrate, and phosphate [36], hydroponic culture can be a useful method for nutrient removal from wastewater with simultaneous production of a desirable crop. It is established that for optimal hydroponic growth, plants need the nutrients in the liquid medium to be adequately balanced for each crop species [38,39].
The treated wastewater can be further valued by its use for purposes such as irrigation, which is a measure widely recognized to face water scarcity. According to Portuguese legislation, specifically the Decree-Law nr. 236 of 1998 (Decreto-Lei 236/98), water quality must meet specific requirements for different purposes, with established maximum admissible values (MAV) or maximum recommended values (MRV) for different parameters. For irrigation, the recommended pH range is 6.5 to 8.4 on the Sörensen scale; MRV is 1 dS m−1 for electrical conductivity (EC), 640 mg L−1 for total dissolved solids (TDS), 60 mg L−1 for total suspended solids (TSS), 50 mg L−1 (11 mgN L−1) for nitrate, and 100 colony-forming units (CFU) per 100 mL for fecal coliforms. [40]. The recent Portuguese Decree-Law nr. 119 of 2019 (Decreto-Lei 119/2019) and the EU Regulation 2020/741 of 25 May 2020 establish quality classes for reclaimed wastewater to be used for irrigation, with maximum values for BOD5 10 to 40 mgO2 L−1, SST 10 to 60 mg L−1, turbidity 5 NTU (class A only), E. coli 10 CFU per 100 mL for class A; 100 CFU per 100 mL for class B, 1000 CFU per 100 mL for class C, and 10,000 CFU per 100 mL for classes D and E. All quality classes should meet the recommended maxima for nitrate of 15 mg L−1 (11 mgN L−1), ammonia 10 mg L−1 (8.2 mgN L−1), and TP 5 mg L−1 [41,42].
One study combining vermifiltration and hydroponics for swine wastewater treatment was conducted by Ispolnov et al. [43] in a recirculating vermifiltration and hydroponic culture system. A few limitations in growth and nutrient uptake were observed due to low available photosynthetic light. Therefore, methodical studies needed to be carried out to better understand the viability of vermifiltered wastewater for hydroponic production, concurrently with the remediation of nutrients and other pollutants. A deep water culture hydroponic system was later optimized for efficient N and P removal [35]. The present study aimed to continue previous work, assessing the remediation of vermifiltered hog farm wastewater through hydroponic lettuce growth, as model culture, using the optimized treatment conditions. Vermifiltered wastewater nutrient content correction was implemented to allow a balanced and efficient nitrogen and phosphorus removal by the growing hydroponic culture, aiming to generate a treated effluent that could be safely and profitably used in irrigation. The treated wastewater was assessed for nitrogen and phosphorus content, as well as other effluent quality parameters such as pH, EC, TDS, TSS, BOD5, and fecal coliforms, to validate its suitability for the proposed use.

2. Materials and Methods

All experiments were conducted at the Higher School of Technology and Management of Polytechnic University of Leiria, Portugal.

2.1. Swine Wastewater

Hog farm wastewater was collected from a local hog farm in Leiria region, Portugal, from the second of a series of open-air facultative stabilization lagoons. Since the lagoons were exposed to weather conditions and the exact wastewater deposition frequency and amounts were unknown, wastewater composition varied at each collection moment. After collection, the larger solids were filtered out with a colander, and the wastewater was stored in the laboratory in an opaque plastic container covered with a breathable cloth to protect from insect infestation while simultaneously preventing anoxia to limit anaerobic microbial activity.

2.2. Vermifiltration System

The vermifilter was built out of an opaque PVC cylinder, with a 90 cm height, a 15.7 cm internal diameter, a 17 L total volume, and a 0.019 m2 horizontal section area. Small 3 mm perforations were made around its lower half at a 7 cm distance to improve aeration. The cylinder was filled from bottom to top with layers of decreasing-size gravel and sand as described previously [35], topped by a layer of SiroTM (Leal & Soares, S.A., Mira, Portugal) vermicompost mixed with wood shavings from a local sawmill (apparent ratio 1:2 by volume). Internal void volume was previously estimated at 4.4 L [44].
The uppermost organic layer was inoculated with 10 to 12 g L−1 of live earthworms of the Eisenia fetida species from a vermicomposting container set up in the laboratory.
Before feeding into the vermifilter, raw wastewater was diluted to ca. 10–20% in a 160 L cylindrical dilution tank to achieve an EC of 1.5 to 1.8 dS m−1, to prevent salinity stress to the earthworms [45]. The dilution tank was stirred by an overhead CAT R50 120 W stirrer (Rose Scientific Inc., Cincinnati, OH, USA) fitted with a four-blade, 100 mm diameter, 50 mm width rotor at 120 rpm, to ensure sufficient homogeneity. The diluted wastewater was fed dropwise onto the top of the vermifilter by a Heidolph Pumpdrive 5101 (Heidolph Instruments GmbH & CO. KG, Schwabach, Germany) peristaltic pump at a flow rate of 13 L d−1, corresponding to a hydraulic loading rate (HLR) of 0.68 m3 m−2 d−1 and a hydraulic retention time (HRT) of approximately 8 h. The wastewater trickled through the vermifilter by gravity, exiting a 9 mm opening at the bottom into a collecting tank (Figure 1). The earthworms were allowed to acclimatize for at least 3 weeks before the vermifiltered wastewater was collected for hydroponic treatment.

2.3. Plants

Cuvette-grown small green lettuce (Lactuca sativa L. var. crispa) plants were purchased from Agriloja agricultural supply store (Leiria, Portugal) and planted hydroponically the following day after carefully rinsing the soil off the roots. Lettuce was chosen as a model culture as it is a relevant and widely studied culture for hydroponic growth, with a relatively short growth cycle of around 1 month, apt to be planted in any season and harvested at any moment of its vegetative growth [36].

2.4. Hydroponic Setup

Six 8 L opaque rectangular plastic containers (0.49 m long, 0.18 m wide, and 0.14 m tall) from Surfinia (Patrol Group, Krakow, Poland) were used for deep-water culture (DWC) hydroponic setup. The containers were placed on the surface of a 1.20 m by 0.60 m table (see Figure 2).
Aeration was ensured by 2.2 cm spherical porous glass diffusers, one at the bottom of each container, connected to a central compressed air line through six separate flow control valves. Aeration was intended to simultaneously ensure root oxygenation and growth medium stirring. The tops of the containers were covered with extruded polystyrene (XPS) boards, cut to fit each container tightly enough to block the light. Lettuce was planted in 5.5 cm diameter plastic net pots (Bulsø VVS ApS, Odense, Denmark), three per container, placed in circular holes drilled in the polystyrene boards, and filled with lightweight expanded clay aggregate (Leca International, Copenhagen, Denmark) for root support.
For artificial lighting, a 1.19 m × 0.61 m × 0.06 m (length × width × height) Reflector Intertek 4008920 (Intertek Group plc, London, UK) light fixture, fitted with eight high-output fluorescent PRO Pure Light T5 54 W, 6500 K lamps, was suspended horizontally on chains from a wooden support built specifically for this purpose, in such a way that the light fixture height could be regulated by altering the chain length. Daily photoperiod (PP) was set to 16 h with a timer outlet. This photoperiod length was chosen for being commonly used for indoor lettuce growth [46,47].
The hydroponic container arrangement was such that the containers were exposed to an approximate Daily Light Integral (DLI) of approximately 11 mol m−2 d−1 by hanging the light fixture at 40.5 cm above the containers with 2 middle lamps turned off. This DLI value fell within the optimal range for lettuce in this hydroponic system [35]. Photosynthetic Photon Flux Density (PPFD) measurements (LI-250Q PAR package; LI-COR, Lincoln, NE, USA) were conducted over each pot, 10 cm above the XPS boards. The calculated DLI values are listed in Table 1.
To test the hypothesis that different containers might be exposed to significantly different DLI, ANOVA with a post hoc Tukey test was performed. No significant differences were observed between the DLI measured in all containers.

2.5. Vermifiltered Wastewater Treatment by Hydroponic Culture

The experiment was conducted in the laboratory at room temperature (20–22 °C) with no direct solar radiation. Lettuce was hydroponically grown for 35 days after transplanting (DAT) on three liquid media: (i) vermifiltered wastewater (VW) (ii) supplemented vermifiltered wastewater (SVW) and (iii) a synthetic nutrient solution (NS) as control (Figure 2) with two replicates per treatment. A volume of 2 L per lettuce was used, previously found to be adequate to promote high N and P removal from NS under the DLI levels used in this experiment [35].
The synthetic nutrient solution (NS) was based on the medium suggested by Carvalho et al. [48]. The only change to the original composition was the replacement of tetrahydrated calcium nitrate by YaraTeraTM CalcinitTM (Yara International, Oslo, Norway) granulated fertilizer (1.1% ammonia nitrogen; 14.4% nitrate nitrogen; 26.5% CaO), as previously described by Aires et al. [35].

2.6. Plant Growth Assessment

Fresh plant weight (FW) was individually obtained before planting by weighing on a Precisa Gravimetrics 262SMA-FR 0.0001 g uncertainty analytical balance (Precisa Gravimetrics AG, Dieticon, Switzerland); at the end, the final FW was determined with a KERN 470-36, 0.001 g uncertainty balance (KERN & Sohn GmbH, Balingen, Germany). Dry weight (DW) was estimated as 0.05 FW, based on the assumption of 95% water content [49].

2.7. Wastewater Analysis

Physical, chemical, and microbiological wastewater quality parameters were assessed at different treatment stages, namely vermifilter feed, vermifilter effluent, and all hydroponic media. Before the determination of physical and chemical parameters in hydroponic media, water loss by evapotranspiration was compensated by adding the corresponding amounts of tap water. Wastewater samples were filtered through 47 mm, 0.7 µm pore FiltraTECHTM (FiltraTECH, Saint Jean de Braye, France) fiberglass filters prior to all colorimetric determinations.
Wastewater temperature, electrical conductivity (EC), pH, and total dissolved solids (TDS) were measured with a PeakTech® 5307 multiparameter probe (PeakTech Prüf- und Messtechnik GmbH, Ahrensburg, Germany). Hydroponic media pH was repeatedly adjusted to the 6.5–7.0 range by adding drops of concentrated sulfuric acid. Turbidity, expressed in Nephelometric Turbidity Units (NTU), was measured with a Hanna-HI88703 turbidimeter (Hanna Instruments Ltd, Leighton Buzzard, Bedfordshire, UK).
Total suspended solids (TSS) were determined according to SMEWW 2540 D [50], by filtration (47 mm, 0.7 µm pore FiltraTECHTM fiberglass filters), drying at 103–105 °C (SELECTA Digiheat 2001245 oven, J. P. Selecta, Abrera, Barcelona, Spain) and weighing on a KERN BJ 220-4M analytical balance (KERN & Sohn GmbH, Balingen, Germany).
Five-day biochemical oxygen demand (BOD5) was determined according to SMEWW 5210 B [50] with a YSI 5000 (Yellow Springs, OH, USA) dissolved oxygen probe. BOD5, rather than chemical oxygen demand (COD), was chosen as a measure of organic load, as the goal of this work was to test the possibility of generating treated wastewater that could be used for irrigation, whose quality classification depends on BOD5 [41,42].
Dissolved phosphorus, henceforth also referred to as phosphate (PO4-P), total nitrogen (TN), nitrate nitrogen (NO3-N), and ammonia nitrogen (NH3-N) were determined colorimetrically on a VARIAN Cary 50 UV–visible spectrophotometer (Agilent Technologies Inc., USA; Santa Clara, CA, USA) in standard clear plastic cells. Specifically, PO4-P was determined according to SMEWW 4500-P E, TN according to SMEWW 4500-N C [50], NO3-N according to EPA 352.1 method [51], and NH3-N according to ISO 7150-1 method [52].
Magnesium, potassium, and calcium were quantified by flame atomic absorption spectroscopy according to SMEWW 3111 B [50] on a VARIAN-SpectrAA 55B spectrometer fitted with the corresponding specific VARIAN hollow-cathode lamp for potassium, magnesium, or calcium (Agilent Technologies Inc., Santa Clara, CA, USA).
Total coliforms and E. coli were determined according to ISO 9308-1 standard [53] by serial dilutions, filtration through sterile 0.45 µm pore membrane Sartorius Stedim Biotech filters (Sartorius AG, Göttingen, Germany), inoculation on sterile chromogenic agar plates (Microbiology Chromocult® Coliform Agar, EMD Millipore Corporation, Merck KGaA, Darmstadt, Germany) and incubation for 24 h at 37 °C in a Memmert IPP400 incubation oven (Memmert GmbH & Co. KG, Büchenbach, Germany). Positive colonies were counted and represented as colony-forming units per 100 mL (CFU per 100 mL). Positive colony confirmation was performed with PanReac AppliChem oxidase sticks (Panreac Química S.L.U., Barcelona, Spain, Applichem GmbH, Darmstadt, Germany, ITW Reagents, S.R.L., Monza, Italy).

2.8. Calculation and Statistical Analysis

Water Use Efficiency (WUE) was determined as the increase in fresh weight (ΔFW) (g) per volume of water lost by evapotranspiration (Vevap) (L) [54], according to Equation (1).
W U E g F W · L 1 = F W ( g ) V e v a p ( L )
Light Use Efficiency (LUE) was determined as the ratio between the DW produced (ΔDW) (g) and the DLI (mol m−2 d−1) across the total area (m2), over the total time (t) measured as the number of days after transplanting (DAT) [55], according to Equation (2).
L U E g D W · m o l 1 = D W ( g ) D L I ( m o l · m 2 · d 1 ) · A r e a ( m 2 ) · t ( D A T )
Relative change in component concentrations was used as a criterion for wastewater treatment efficiency. The relative change (RC) in the concentration of a given component was calculated according to Equation (3), similar to commonly used efficiency equations, e.g., [30,56], where ΔC is the concentration change and C0 is its initial value:
R C % = C C 0 · 100 %
All sets of replicas were considered subject to normal distribution of uncertainty. Standard deviation (SD) was used as the measure of uncertainty associated with each mean. For parameters obtained by calculation from experimental results, when SD could not be obtained directly, uncertainty propagation rules for random errors were used [57]. To test the significance of differences between observed means, a unidirectional analysis of variance (ANOVA) with post hoc Tukey test was performed [58], considering “no significant difference between means” as the null hypothesis H0; significance level α was set at 0.05.

3. Results and Discussion

3.1. Raw Wastewater Characterization

Raw hog farm wastewater was characterized each time it was collected at the farm. The measured parameters for wastewater collected at four different times (once in May 2022, once in January 2023, and twice in February 2023) are presented in Table 2. Since the wastewater had been held in uncovered, non-aerated stabilizing lagoons at the hog farm, wastewater composition and properties depended on weather conditions, thus varying significantly with the seasons. Heterogeneity and variable time lapse after discharge into the lagoon also affect wastewater composition but are difficult to account for. From the wastewater characterization data, it was clear that TDS, BOD5, and ammonia nitrogen exceeded the legal reference limits by orders of magnitude. TP exceeded the emission limit value for wastewater discharge in May and January, and although nitrate did not exceed the reference values, the high ammonia nitrogen concentrations could seriously contribute to nitrate increase over time through nitrification, under the right conditions. Overall, the lagoon-held hog farm wastewater was far from safe for discharge into rivers or field irrigation, confirming the necessity of further treatment procedures.

3.2. Hydroponic Media Nutrients

A preliminary study conducted on similar systems showed deficient lettuce growth on VW compared to NS due to nutrient limitations, suggesting that supplementing VW with selected nutrients, notably phosphorus, should improve overall growth and remediation results [59]. To assess nutrient deficiencies or inadequate nutrient ratios in VW, it was analyzed for key nutrients (nitrate and ammonia nitrogen, phosphate, potassium, calcium, and magnesium) and compared to NS to determine the nutrients to be added and their amounts. Table 3 shows the concentrations of the main nutrients in VW and NS. The indicated VW nutrient content is within the range of values observed routinely during 55 days of vermifiltration operation.
To achieve an N:P ratio closer to that in NS, for the SVW treatment potassium dihydrogen phosphate was added to VW as phosphorus and potassium supplement, an amount equivalent to 30 mgP L−1. Calcium chloride was added as a calcium supplement to a final concentration corresponding to half the concentration in the NS. Micronutrients were added in amounts corresponding to 100% of their concentrations in NS. Table 4 lists the added concentrations of each compound. The FeCl3·6H2O solution was previously mixed with Na2EDTA·2H2O to prevent coagulation and flocculation since FeCl3 is a known coagulating agent [60].

3.3. Lettuce Growth, Light Use Efficiency, and Water Use Efficiency

Nutrient uptake by hydroponic plants was expected to correlate with plant biomass production. The total biomass increase was determined for each plant in all liquid media. The mean DW gain per plant in each treatment is presented in Figure 3. According to the results of ANOVA with a post hoc Tukey test, no significant difference was observed between SVW and NS (positive control). In contrast, VW showed a significantly lower biomass gain than either SVW or NS treatment, suggesting a positive effect of VW supplementation on overall biomass growth. Visual analysis at the end of the study showed some degree of leaf necrosis in lettuce grown on VW but not on SVW or NS; both SVW and NS produced larger and healthier-looking lettuces than VW. Lettuce size was observed to be larger towards the center, which is consistent with higher DLI values (Figure 4, see also Table 1).
Since water and artificial light are two essential resources for indoor hydroponics, water use efficiency and light use efficiency were determined for each treatment (Table 5). In SVW and NS, significantly higher LUE values were obtained when compared to VW, with no significant DLI differences. A study conducted by Jin et al. reported an average LUE of 0.55 g DW mol−1 for lettuce cultivated in vertical farms, which was similar to the values obtained in SVW and NS [61]. WUE was not significantly different in SVW and VW but significantly higher in NS. Despite being lower than the control, the WUE value in SVW was adequate for indoor lettuce cultivation by hydroponics [46]. Thus, under the conditions of this study, wastewater supplementation increased process efficiency in terms of light and water use.

3.4. Hydroponic Vermifiltered Wastewater Treatment Efficiency

The efficiency of wastewater treatment by hydroponic lettuce cultivation was assessed over the 35-day growth period by pH, EC, TDS, BOD5, nitrogen, phosphorus, potassium, calcium, magnesium, and coliform bacteria determinations.

3.4.1. pH, EC, Solids, and Organic Matter

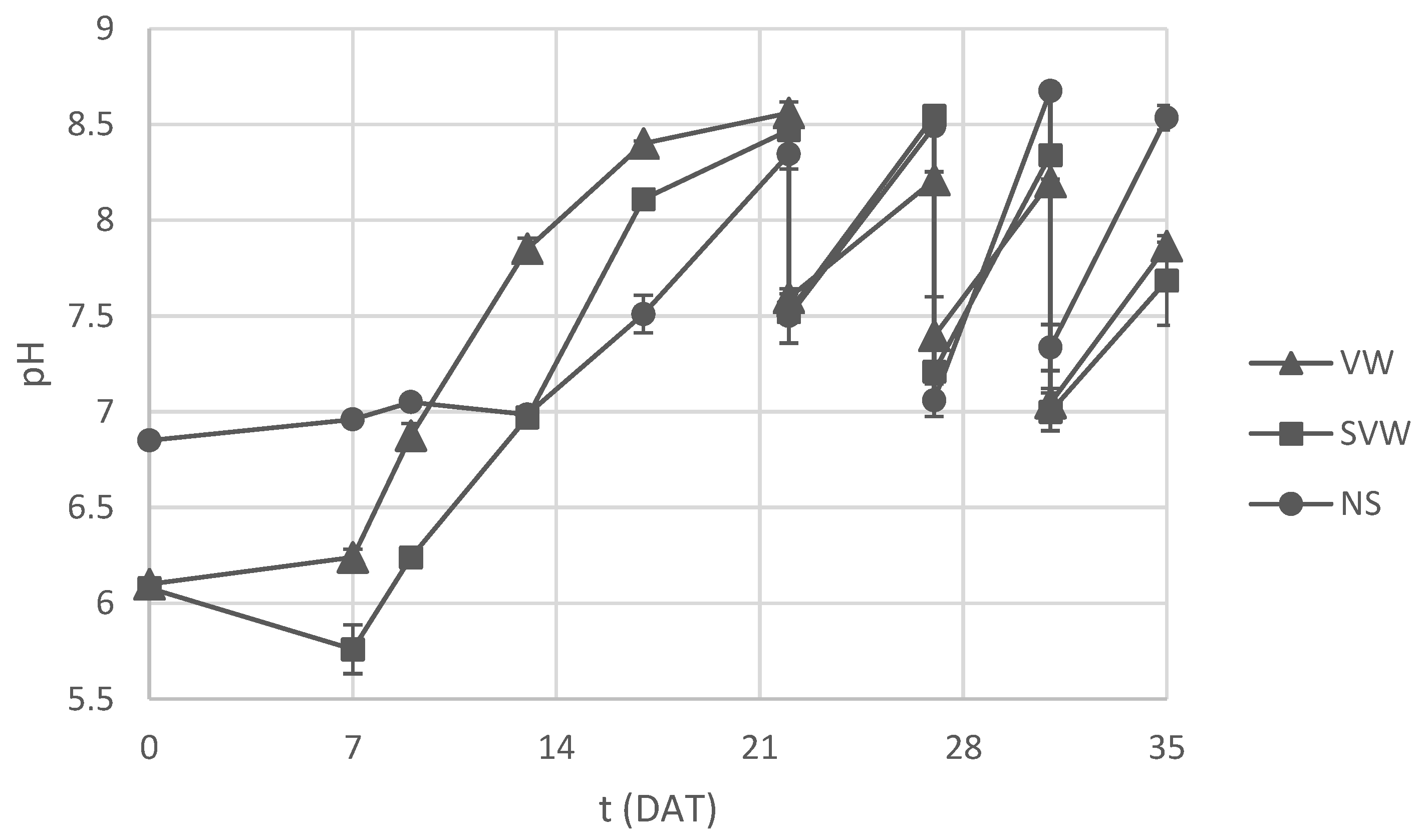
Media pH measurements are shown in Figure 5. When necessary, pH was adjusted in all media with concentrated sulfuric acid to improve nutrient uptake and plant growth [36,62,63]. Starting at 7 DAT in VW and SVW, and at 13 DAT in NS, pH increased to attain values around 8.5 at 22 DAT; after that, pH was adjusted every week with concentrated sulfuric acid, falling to values between 7.0 and 7.6 after each adjustment and returning to significantly higher values a week later. The observed weekly increase was consistently highest in NS after 22 DAT, suggesting that this was due to normal plant and associated microbial community growth and metabolism rather than a wastewater effect. Nutrient ion uptake in hydroponic systems tends to disrupt root cell charge balance and is compensated by the release of other ions. Specifically, ammonia to nitrate nitrogen ratio plays an important role, as NH4+ uptake is compensated by H+ release, and NO3 uptake by OH release [37]. After vermifiltration, ammonia nitrogen was an order of magnitude lower than nitrate nitrogen, and the ratio tended to decrease further over time. Ammonia nitrogen was significantly higher in NS than in VW and SVW up to 14 DAT, while nitrate nitrogen was higher in NS than in VW and SVW at 21 and 28 DAT (see Section 3.4.2). The observed pH increase, more pronounced in NS toward the end of hydroponic growth, was consistent with nitrate becoming the predominant nitrogen form absorbed by the plants. These results suggest that pH should be closely monitored and adjusted during hydroponic cultivation to maintain optimal conditions. At the end of the study, pH values fell within the legally recommended range (6.5–8.4) for irrigation in VW and SVW and within the legally admissible range in NS [40].
The initial EC and TDS values were lower in VW, respectively, 1.52 dS m−1 and 1086 mg L−1, and higher in SVW (2.27 dS m−1 and 1661 mg L−1) and NS (2.56 dS m−1 and 1865 mg L−1), consistent with an initial nutrient concentration being similar in SVW and NS and significantly lower in VW. These two parameters, being closely correlated, varied similarly throughout the study, decreasing in all three media, consistently with the expected uptake of ionic nutrients (Figure 6). By the end of the study, hydroponic wastewater treatment was able to meet the legally recommended EC and TDS values for irrigation [40]; all media showed values slightly below the recommended maxima for EC (1 dS m−1), while TDS values were above the recommended limit of 640 mg L−1 in SVW (788 mg L−1) and NS (759 mg L−1). The pH adjustment at 22, 27, and 31 DAT did not significantly affect either EC or TDS, suggesting that such routine adjustments are safe for plants regarding saline stress.
Organic matter content was assessed at the beginning and the end of the hydroponic treatment as BOD5. Hydroponic systems have been shown to remove organic matter. For instance, Keeratiurai et al. reported 79% removal of COD from fishpond wastewater in a hydroponic system [64]. In other studies, hydroponic treatment has been shown to allow up to 85% BOD removal after secondary treatment in a wastewater treatment plant [65] and a 63% BOD removal from vermifiltered hog farm wastewater [43], which is consistent with the present results. Table 6 shows the initial and final BOD5 values as well as their absolute changes in all three hydroponic media over 35 days. SVW had been diluted with an inorganic solution during supplementation, so it was also expected to show a lower BOD5 than VW. The decrease in BOD5 after 35 days of hydroponic lettuce growth could be explained by the activity of aerobic heterotrophic micro-organisms in hydroponic media [66].

3.4.2. Nutrient Uptake

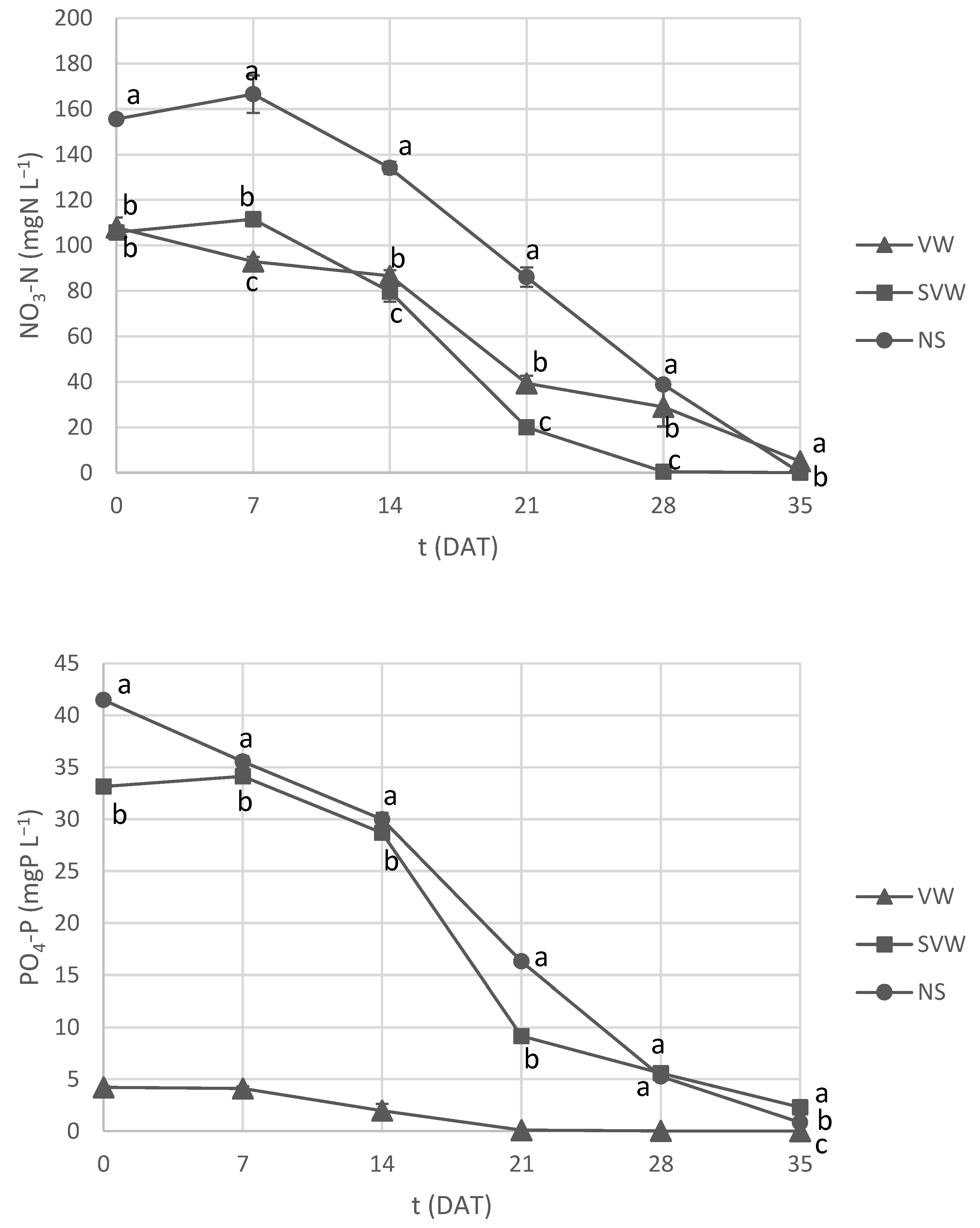
Nutrient content was determined over time in all six containers to compare the treatment efficiency attained in VW, SVW, and NS as a positive control. The concentrations of NO3-N, NH3-N, and PO4-P over time (days after transplanting, DAT) are presented in Figure 7. Ammonia nitrogen is efficiently nitrified in vermifilters [21], so its initial concentration was expected to be significantly lower than that of nitrate, as was indeed observed. The removal of ammonia and nitrate nitrogen was generally similar in VW and SVW, as expected since VW was not supplemented with any nitrogen forms, and different from NS. However, nitrate concentration was significantly lower in SVW than in VW from 14 to 35 DAT, suggesting that supplementation with other nutrients towards more balanced NS-like proportions had a positive effect on nitrate removal. No such observation could be made concerning ammonia since its concentrations fell below the quantification limits from 14 DAT onward in both vermifiltered wastewater treatments. The supplementation also produced an observable difference in phosphate removal, with SVW showing a behavior closer to the control than VW, over the entire study period. In all treatments, the final nitrogen values were below the legal limits for both wastewater discharge and irrigation, according to Portuguese law (11 mgN L−1 nitrate, 8.2 mgN L−1 ammonia). For phosphate, final concentrations were no higher than 2.3 mgP L−1 (corresponding to approximately 2.4 mg L−1 of total phosphorus [44]), thus below the limit of 10 mgP L−1 for wastewater discharge [40]; for the use of treated wastewater in irrigation, the law states the limit of 5 mgP L−1 total phosphorus as facultative to minimize biofilm formation [42].
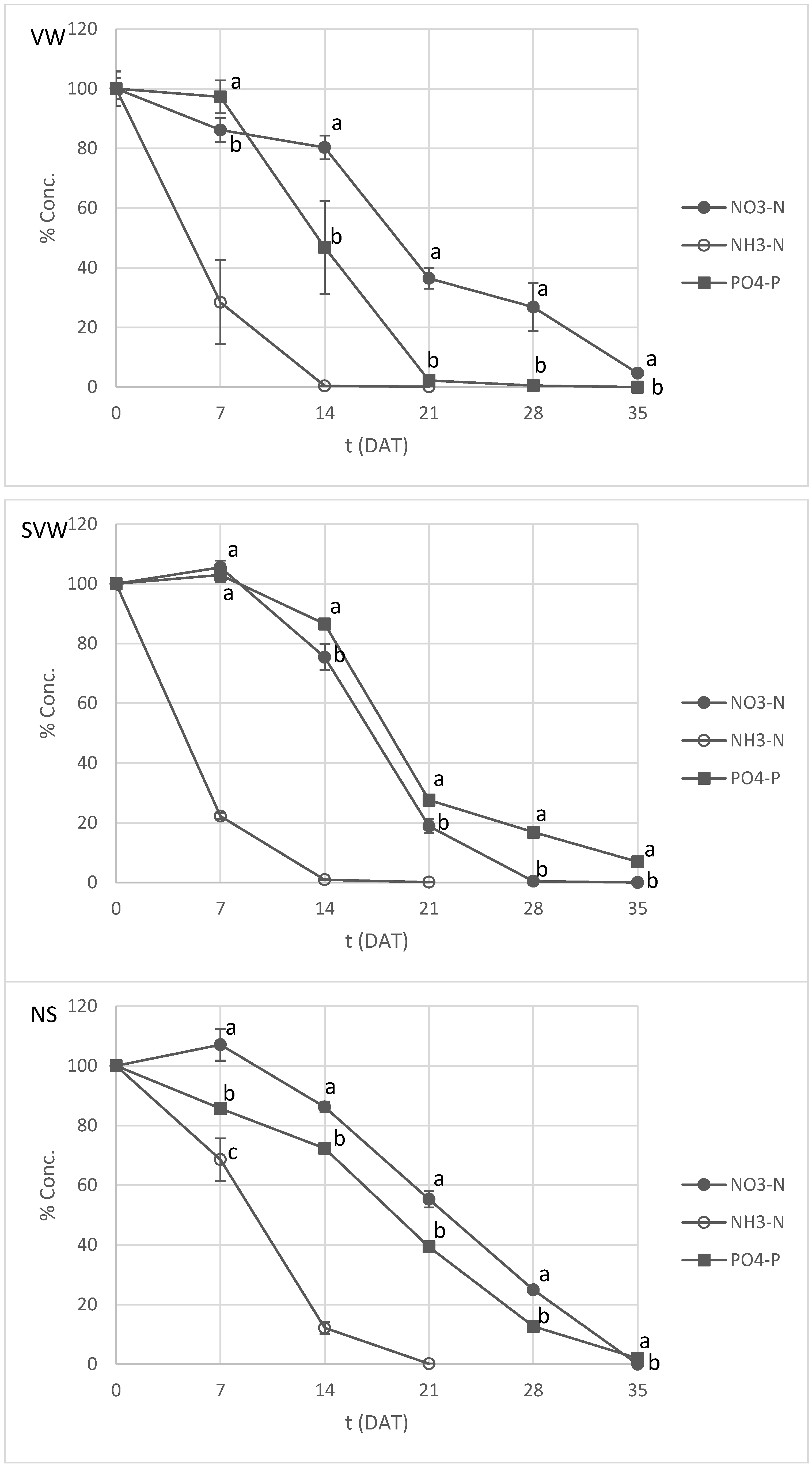
To assess the consistency of nitrogen and phosphorus removal over time in VW and SVW, the concentrations were represented on a relative scale, as a percentage of the corresponding initial values (Figure 8). The results show that in VW the remaining percentage of phosphorus was significantly lower than that of nitrate after at least 14 DAT and practically depleted after 21 DAT, whereas in SVW and NS the relative amounts were closer together, although not perfectly aligned. SVW slightly favored nitrate removal over phosphate, while the opposite was observed in NS; overall, SVW nutrient removal was not inferior to NS, suggesting that wastewater supplementation can indeed improve nutrient removal efficiencies by ensuring a more balanced nutrition for the plants throughout growth. To avoid supplementing wastewater with laboratory-grade reagents, as was completed in this study, different types of wastewater or solid waste can potentially be combined to formulate balanced hydroponic media for specific crops.
As shown in Table 6, all the analyzed nitrogen (ammonia and nitrate) and phosphorus were substantially removed by the hydroponic lettuce culture, as corroborated by the literature [66]. In addition to the total removal of ammonia nitrogen from all three media, 95% of nitrate was removed from VW and fully removed from both SVW and NS, suggesting an improvement in uptake after nutrient supplementation. Phosphate was fully removed from VW, again suggesting its role as a limiting nutrient in that medium, and phosphate removal from SVW was less efficient than from NS, suggesting that the supplementation as it was performed may not have been optimal and that detailed vermifiltered wastewater composition studies are necessary to devise a more accurate nutrient supplementation procedure.
Potassium, calcium, and magnesium were quantified at the start and at the end of the hydroponic growth cycle, to assess how liquid media composition affected the uptake of nutrients other than nitrogen and phosphorus. The results are presented in Table 6. Final potassium concentrations were below the detection limit, and therefore it was considered that the total amount of potassium had been consumed in all treatments. Calcium and magnesium relative uptake values were similar in SVW and NS. The absolute uptake of calcium and magnesium in VW, compared to SVW and NS, suggests that their initial levels in VW were adequate for hydroponic lettuce growth under the conditions of the present study. Calcium and magnesium are only considered relevant contaminants in water for direct human consumption, according to Portuguese legislation [40].

3.4.3. Coliform Bacteria

Total coliforms and E. coli, an organism representative of fecal coliforms, were determined in VW and SVW at the start and the end of hydroponic growth, as shown in Table 6. A substantial increase in coliform CFU counts per 100 mL was observed in both media. Similar results were previously observed in a recirculating hydroponic system [43]. Thus, the present results reinforce the suggestion that DWC hydroponic systems can pose a risk of pathogen proliferation. Coliforms and other bacteria can be removed from wastewaters by a variety of chemical and physical techniques, such as chlorination, ozonation, ultraviolet light [67], percolation and membrane techniques [68], nanoparticles and photocatalysis [69], or simply by storage in holding ponds [70,71]. Wastewater disinfection either before or after use in hydroponic systems is advisable whenever coliforms and other pathogens are cause for concern. Disinfection before hydroponic treatment would prevent the risk of lettuce contamination, namely by internalizing fecal coliforms, which is known to be enhanced by root injuries [72,73].

3.5. Treated Vermifiltered Wastewater and Lettuce Destination and Valorization Perspectives

An important aim of this study was to treat hog farm wastewater, allowing it to be used in irrigation according to Portuguese legislation [40], and to assign it a suitable reclaimed wastewater quality class for irrigation or other purposes [41,42]. To better understand the effectiveness of the remediation, the measured parameters were additionally assessed according to limit values for discharge into the environment [40].
Wastewater quality parameters after the hydroponic treatment of VW, SVW, and NS are summarized in Table 7, along with maximum recommended values (MRV) for irrigation and emission limit values (ELV) for wastewater discharge according to the Law [40]. The analyzed parameters of hydroponically treated vermifiltered wastewater, both supplemented and unsupplemented, met the legal criteria for irrigation and discharge for all parameters except TDS (in SVW) and fecal coliforms. TN values in VW and SVW were on the limit for discharge and should decrease after a longer treatment period. The presence of organic matter may account for higher TN concentrations in VW and SVW than in NS; the full nitrogen balance, including organic nitrogen, should be investigated to clarify this subject. Since dissolved phosphorus rather than TP was determined in this work, its concentration was considered to represent TP assuming a minimum of 94% dissolved phosphorus based on previous work [44]. TDS showed high final concentrations in SVW and NS, possibly reflecting an excess of nutrients in those two media, which the growing lettuce plants were not able to consume completely, as was the case of calcium and magnesium. Calculations before supplementation showed that calcium and magnesium tended to strongly increase EC and TDS, posing a risk of saline stress to the lettuce. Thus, supplementation with these and other nutrients should be carefully optimized. Final fecal coliform counts in hydroponically treated VW and SVW did not meet the legally recommended value for irrigation but that does not present a serious problem as no rigid limits are imposed by the Law. Hydroponic treatment has shown contradictory results regarding its ability to reduce coliforms. Some studies have shown a coliform reduction in wastewater after hydroponic growth, improving with increasing retention time [74,75]; however, in a previous study conducted by the authors of this study, coliforms showed the ability to proliferate in hydroponic media after reduction by vermifiltration [43]. According to recent Law, concerning reclaiming treated wastewater, the vermifiltered wastewater after hydroponic treatment could be classified as category C based on the fecal coliform counts (between 100 and 1000 CFU per 100 mL), meaning they could be used for irrigation of raw consumed produce growing above ground, where the consumed parts were not in contact with irrigation water, of produce to be processed before consumption or of produce not destined for human or animal consumption (production of milk or meat). As for urban use, this wastewater could be used to wash streets. Furthermore, if the fecal coliforms were reduced or removed by additional treatment, the resulting wastewater could be classified as category B at best due to TSS content (TSS ≤ 35 mg L−1), which would allow it to be used for all category C purposes and irrigation of limited access gardens, including leisure and sports facilities, as well as all types of urban use such as washing streets and vehicles, toilets, refrigeration water, and firefighting systems [41,42].
Lettuce produced as a by-product of this swine wastewater treatment has the potential to be valued from a circular economy perspective. The ideal destination would be their introduction into the pig diet, but food safety (e.g., toxicity in Caco-2 cell lines, microbiological and metal content) must be assessed. Nevertheless, as pig slurry is a simpler matrix than, for example, urban wastewater, and it is traditionally used in soil for agricultural fertilization, proving to be sustainable at appropriate application rates (e.g., [76]), it can be speculated that the lettuce produced by this treatment has good prospects for use in animal feed (a disinfection stage before hydroponics would contribute positively). Another feasible destination for the plants is composting or vermicomposting to produce organic compost for agriculture. In fact, the discarded plants from the present study were successfully vermicomposted together with other vegetable waste in a laboratory vermicomposter. Moreover, if vermifiltered wastewater showed good properties as a nutrient solution for hydroponic lettuce, which is a sensitive plant, then non-edible hydroponic crops, such as ornamental plants with commercial value, also have the potential to be grown with simultaneous vermifiltered wastewater remediation, contributing to the viability and sustainability of this treatment system.

4. Conclusions

Hydroponics, using lettuce as a model culture, was used in this work to treat facultative lagoon-stabilized vermifiltered hog farm wastewater (VW) for nitrogen and phosphorus, focused on wastewater reclamation for irrigation. VW and nutrient solution (NS) analysis suggested limiting VW levels of phosphate and relatively lower VW levels of nitrate, potassium, calcium, and magnesium. VW supplemented with phosphate and other nutrients (SVW) was tested in the hydroponic treatment assay for 35 days alongside the original VW and NS, under adequate DLI, volume of solution per plant, and temperature conditions. Plant growth was improved on SVW, resulting in a biomass increase significantly higher than on VW and similar to NS. Plant size and overall visual aspect were similarly better on SVW and NS than on VW.
An increase in pH was observed in all three treatments, while EC and TDS decreased in all treatments, consistent with nutrient uptake; pH adjustment with H2SO4 towards adequate levels had no significant effect on EC and TDS.
Nutrient supplementation of VW had a positive effect on nitrogen and phosphorus removal. Nitrate removal was accelerated in SVW, and a lower level was attained at the end of the 35-day study. Moreover, nitrate and phosphate levels showed a steadier ratio over the growth cycle in SVW and NS than in VW. NH3-N was completely removed in all three treatments, NO3-N was removed by 95% in VW and completely in SVW and NS, and PO4-P was removed completely in VW, by 93% in SVW, and by 98% in NS. Overall, all three treatments efficiently removed inorganic nitrogen and phosphorus to values below the legally required limits for irrigation. Thus, under operational conditions, the VW treatment was effective if lettuce biomass and appearance were not critical. Coliform counts after hydroponic treatment of VW and SVW posed a challenge, reducing treated wastewater quality for possible reuse and suggesting the necessity of an additional disinfection stage. Nevertheless, according to recent Portuguese and European legislation for wastewater reclamation, treated vermifiltered wastewater could be reused for irrigation of raw consumed produce growing above ground, where the consumed parts are not in contact with irrigation water, or produce to be processed before consumption.
Hydroponic culture under optimized growth conditions for nutrient removal proved to be a viable technique for the treatment of hog farm wastewater for reuse in irrigation after storage in facultative lagoons and a prior vermifiltration stage. Vermifiltered wastewater provides a good nutritional basis for hydroponics, and a careful supplementation with some key nutrients, namely phosphate, to attain better nutrient ratios is a promising strategy to ensure both efficient wastewater treatment and productive greenery cultivation. The results suggest that hydroponically grown cultures with commercial value other than lettuce, such as ornamental plants and plants for energetic valorization, could be cultivated with simultaneous remediation of vermifiltered wastewater for reuse in irrigation. Hydroponic culture valorization will boost the treatment sustainability and circular economy, and thus future studies on valorization opportunities will be carried out.

Author Contributions

Conceptualization, K.I., T.M.R.L. and L.M.I.A.; methodology, K.I., T.M.R.L., L.M.I.A. and J.S.V.; validation, K.I., T.M.R.L. and L.M.I.A.; formal analysis, K.I., T.M.R.L. and L.M.I.A.; investigation, K.I., T.M.R.L. and L.M.I.A.; resources, K.I., T.M.R.L., L.M.I.A. and J.S.V.; data curation, K.I., T.M.R.L. and L.M.I.A.; writing—original draft preparation, K.I. and T.M.R.L.; writing—review and editing, K.I., L.M.I.A. and J.S.V.; visualization, K.I., T.M.R.L. and L.M.I.A.; supervision, K.I., L.M.I.A. and J.S.V.; project administration, L.M.I.A. and J.S.V.; funding acquisition, J.S.V. All authors have read and agreed to the published version of the manuscript.

Funding

This research was funded by FCT/MCTES (PIDDAC): LSRE-LCM, UIDB/50020/2020 (DOI: 10.54499/UIDB/50020/2020), and UIDP/50020/2020 (DOI: 10.54499/UIDP/50020/2020); ALiCE, LA/P/0045/2020 (DOI: 10.54499/LA/P/0045/2020).

Data Availability Statement

Dataset available on request from the authors.

Acknowledgments

The authors would like to thank PhD student Ounísia dos Santos (LSRE-LCM) and laboratory technicians Maria Carlos Rodrigues and André Fonseca (School of Technology and Management, Polytechnic of Leiria) for assistance in the implementation of analytical methods.

Conflicts of Interest

The authors declare no conflicts of interest.

References

  1. OECD-FAO. Chapter 6: Meat. In OECD-FAO Agricultural Outlook 2021–2030; OECD Publishing: Rome, Italy, 2021; pp. 163–177. [Google Scholar]
  2. GPP—Gabinete de Planeamento Políticas e Administração Geral. Setor Suinícola Nacional; GPP—Gabinete de Planeamento Políticas e Administração Geral: Lisbon, Portugal, 2022. [Google Scholar]
  3. Deng, L.; Zheng, D.; Zhang, J.; Yang, H.; Wang, L.; Wang, W.; He, T.; Zhang, Y. Treatment and utilization of swine wastewater—A review on technologies in full-scale application. Sci. Total Environ. 2023, 880, 163223. [Google Scholar] [CrossRef] [PubMed]
  4. Zhang, D.; Wang, X.; Zhou, Z. Impacts of small-scale industrialized swine farming on local soil, water and crop qualities in a hilly red soil region of subtropical China. Int. J. Environ. Res. Public Health 2017, 14, 1524. [Google Scholar] [CrossRef] [PubMed]
  5. Chmielowiec-Korzeniowska, A. The concentration of volatile organic compounds (VOCS) in pig farm air. Ann. Agric. Environ. Med. 2009, 16, 249–256. [Google Scholar] [PubMed]
  6. Philippe, F.X.; Nicks, B. Review on greenhouse gas emissions from pig houses: Production of carbon dioxide, methane and nitrous oxide by animals and manure. Agric. Ecosyst. Environ. 2015, 199, 10–25. [Google Scholar] [CrossRef]
  7. Phillips, F.A.; Wiedemann, S.G.; Naylor, T.A.; McGahan, E.J.; Warren, B.R.; Murphy, C.M.; Parkes, S.; Wilson, J. Methane, nitrous oxide and ammonia emissions from pigs housed on litter and from stockpiling of spent litter. Anim. Prod. Sci. 2016, 56, 1390–1403. [Google Scholar] [CrossRef]
  8. Trawińska, B.; Józwik, M.; Nowakowicz-Dębek, B.; Chmielowiec-Korzeniowska, A.; Lechowski, J.; Tymczyna, L.; Pyrz, M. Effect of pig farm on microbial contamination of soil. Ann. Anim. Sci. 2015, 15, 165–175. [Google Scholar] [CrossRef]
  9. FSA Environmental. Alternative Systems for Piggery Effluent Treatment; FSA Environmental: Washington, DC, USA, 2000. [Google Scholar]
  10. Nguyen, M.T.; Nguyen, T.P.; Pham, T.H.; Duong, T.T.; Van Do, M.; Van Trinh, T.; Nguyen, Q.T.X.; Trinh, V.M. Removal of Nutrients and COD in Wastewater from Vietnamese Piggery Farm by the Culture of Chlorella vulgaris in a Pilot-Scaled Membrane Photobioreactor. Water 2022, 14, 3645. [Google Scholar] [CrossRef]
  11. Ji, M.-K.; Abou-Shanab, R.A.I.; Hwang, J.-H.; Timmes, T.C.; Kim, H.-C.; Oh, Y.-K.; Jeon, B.-H. Removal of Nitrogen and Phosphorus from Piggery Wastewater Effluent Using the Green Microalga Scenedesmus obliquus. J. Environ. Eng. 2013, 139, 1198–1205. [Google Scholar] [CrossRef]
  12. Luo, L.Z.; Shao, Y.; Luo, S.; Zeng, F.J.; Tian, G.M. Nutrient removal from piggery wastewater by Desmodesmus sp.CHX1 and its cultivation conditions optimization. Environ. Technol. 2019, 40, 2739–2746. [Google Scholar] [CrossRef] [PubMed]
  13. Jaramillo, M.F.; Restrepo, I. Wastewater reuse in agriculture: A review about its limitations and benefits. Sustainability 2017, 9, 1734. [Google Scholar] [CrossRef]
  14. Villamar, C.A.; Vera-Puerto, I.; Rivera, D.; De la Hoz, F.D. Reuse and recycling of livestock and municipal wastewater in Chilean agriculture: A preliminary assessment. Water 2018, 10, 817. [Google Scholar] [CrossRef]
  15. Tian, L.; Sun, H.; Dong, X.; Wang, J.; Huang, Y.; Sun, S. Effects of swine wastewater irrigation on soil properties and accumulation of heavy metals and antibiotics. J. Soils Sediments 2022, 22, 889–904. [Google Scholar] [CrossRef]
  16. Mora, A.; Torres-Martínez, J.A.; Capparelli, M.V.; Zabala, A.; Mahlknecht, J. Effects of wastewater irrigation on groundwater quality: An overview. Curr. Opin. Environ. Sci. Health 2022, 25, 100322. [Google Scholar] [CrossRef]
  17. Abd-Elhamid, H.F.; Abd-Elmoneem, S.M.; Abdelaal, G.M.; Zeleňáková, M.; Vranayova, Z.; Abd-Elaty, I. Investigating and managing the impact of using untreated wastewater for irrigation on the groundwater quality in arid and semi-arid regions. Int. J. Environ. Res. Public Health 2021, 18, 7485. [Google Scholar] [CrossRef] [PubMed]
  18. Durán-Sánchez, A.; Álvarez-García, J.; del Río-Rama, M.C. Sustainable water resources management: A bibliometric overview. Water 2018, 10, 1191. [Google Scholar] [CrossRef]
  19. United Nations Sustainable Development Goals. Goal 6: Ensure Access to Water and Sanitation for All. Available online: https://www.un.org/sustainabledevelopment/water-and-sanitation/ (accessed on 13 January 2024).
  20. Lourenço, N.; Nunes, L.M. Is filter packing important in a small-scale vermifiltration process of urban wastewater? Int. J. Environ. Sci. Technol. 2017, 14, 2411–2422. [Google Scholar] [CrossRef]
  21. Singh, R.; Bhunia, P.; Dash, R.R. A mechanistic review on vermifiltration of wastewater: Design, operation and performance. J. Environ. Manag. 2017, 197, 656–672. [Google Scholar] [CrossRef]
  22. Lourenço, N.; Nunes, L.M. Optimization of a vermifiltration process for treating urban wastewater. Ecol. Eng. 2017, 100, 138–146. [Google Scholar] [CrossRef]
  23. Adugna, A.T.; Andrianisa, H.A.; Konate, Y.; Maiga, A.H. Fate of filter materials and microbial communities during vermifiltration process. J. Environ. Manag. 2019, 242, 98–105. [Google Scholar] [CrossRef]
  24. Domínguez, J.; Aira, M.; Kolbe, A.R.; Gómez-Brandón, M.; Pérez-Losada, M. Changes in the composition and function of bacterial communities during vermicomposting may explain beneficial properties of vermicompost. Sci. Rep. 2019, 9, 9657–9667. [Google Scholar] [CrossRef]
  25. Huang, K.; Xia, H.; Cui, G.; Li, F. Effects of earthworms on nitrification and ammonia oxidizers in vermicomposting systems for recycling of fruit and vegetable wastes. Sci. Total Environ. 2017, 578, 337–345. [Google Scholar] [CrossRef] [PubMed]
  26. Arora, S.; Rajpal, A.; Kumar, T.; Bhargava, R.; Kazmi, A.A. Pathogen removal during wastewater treatment by vermifiltration. Environ. Technol. 2014, 35, 2493–2499. [Google Scholar] [CrossRef] [PubMed]
  27. Arora, S.; Kazmi, A.A. The effect of seasonal temperature on pathogen removal efficacy of vermifilter for wastewater treatment. Water Res. 2015, 74, 88–99. [Google Scholar] [CrossRef] [PubMed]
  28. Andleeb, S.; Ejaz, M.; Awan, U.A.; Ali, S.; Kiyani, A.; Shafique, I.; Zafar, A. In vitro screening of mucus and solvent extracts of Eisenia foetida against human bacterial and fungal pathogens. Pak. J. Pharm. Sci. 2016, 29, 969–977. [Google Scholar] [PubMed]
  29. Kannadasan, N.; Balasubramanian, B.; Palanisamy, T.; Shanmugam, S.; Pushparaj, K.; Al-Dhabi, N.A.; Arasu, M.V.; Narayanan, M. Sustainable biotreatment of textile dye effluent water by using earthworms through vermifiltration. J. King Saud Univ. Sci. 2021, 33, 101615. [Google Scholar] [CrossRef]
  30. Rajpal, A.; Arora, S.; Bhatia, A.; Kumar, T.; Bhargava, R.; Chopra, A.K.; Kazmi, A.A. Co-treatment of organic fraction of municipal solid waste (OFMSW) and sewage by vermireactor. Ecol. Eng. 2014, 73, 154–161. [Google Scholar] [CrossRef]
  31. Singh, R.; D’Alessio, M.; Jahangeer; Meneses, Y.; Bartelt-Hunt, S.; Ray, C. Nitrogen removal in vermifiltration: Mechanisms, influencing factors, and future research needs. J. Environ. Manag. 2021, 281, 111868. [Google Scholar] [CrossRef]
  32. Wang, D.; Nie, E.; Luo, X.; Yang, X.; Liu, Q.; Zheng, Z. Study of nitrogen removal performance in pilot-scale multi-stage vermi-biofilter: Operating conditions impacts and nitrogen speciation transformation. Environ. Earth Sci. 2015, 74, 3815–3824. [Google Scholar] [CrossRef]
  33. Bawiec, A. Efficiency of nitrogen and phosphorus compounds removal in hydroponic wastewater treatment plant. Environ. Technol. 2019, 40, 2062–2072. [Google Scholar] [CrossRef]
  34. Eregno, F.E.; Moges, M.E.; Heistad, A. Treated greywater reuse for hydroponic lettuce production in a green wall system: Quantitative health risk assessment. Water 2017, 9, 454. [Google Scholar] [CrossRef]
  35. Aires, L.M.I.; Ispolnov, K.; Luz, T.R.; Pala, H.; Vieira, J.S. Optimization of an Indoor DWC Hydroponic Lettuce Production System to Generate a Low N and P Content Wastewater. Processes 2023, 11, 365. [Google Scholar] [CrossRef]
  36. Velazquez-Gonzalez, R.S.; Garcia-Garcia, A.L.; Ventura-Zapata, E.; Barceinas-Sanchez, J.D.O.; Sosa-Savedra, J.C. A Review on Hydroponics and the Technologies Associated for Medium-and Small-Scale Operations. Agriculture 2022, 12, 646. [Google Scholar] [CrossRef]
  37. Savvas, D.; Gruda, N. Application of soilless culture technologies in the modern greenhouse industry—A review. Eur. J. Hortic. Sci. 2018, 83, 280–293. [Google Scholar] [CrossRef]
  38. Trejo-Téllez, L.I.; Gómez-Merino, F. Nutrient Solutions for Hydroponic Systems. In Hydroponics—A Standard Methodology for Plant Biological Researches; IntechOpen: London, UK, 2012. [Google Scholar]
  39. Bugbee, B. Nutrient management in recirculating hydroponic culture. Acta Hortic. 2004, 648, 99–112. [Google Scholar] [CrossRef]
  40. Ministério do Ambiente. Decreto-Lei no 236/98, de 1 de Agosto; Ministério do Ambiente: Lisboa, Portugal, 1998. [Google Scholar]
  41. European Parliament and Council Regulation (EU) 2020/741 of the European Parliament and of the Council. Off. J. Eur. Union 2020, L177, 32–55.
  42. Presidência do Conselho de Ministros. Decreto-Lei no119/2019, de 21 de Agosto; Presidência do Conselho de Ministros: Lisboa, Portugal, 2019. [Google Scholar]
  43. Ispolnov, K.; Aires, L.M.I.; Lourenco, N.D.; Vieira, J.S. A Combined Vermifiltration-Hydroponic System for Swine Wastewater Treatment. Appl. Sci. 2021, 11, 5064. [Google Scholar] [CrossRef]
  44. Ispolnov, K. Combining Vermifiltration with Hydroponics to Treat Organic Wastewaters and Produce Food. Master’s Thesis, NOVA University of Lisbon, Lisbon, Portugal, 2021. [Google Scholar]
  45. Rahimi, G.; Karimi, F. The prolonged effect of salinity on growth and/or survival of earthworm Eisenia fetida. Int. J. Environ. Waste Manag. 2016, 18, 58–67. [Google Scholar] [CrossRef]
  46. Pennisi, G.; Orsini, F.; Landolfo, M.; Pistillo, A.; Crepaldi, A.; Nicola, S.; Fernandez, J.A.; Marcelis, L.F.M.; Gianquinto, G. Optimal photoperiod for indoor cultivation of leafy vegetables and herbs. Eur. J. Hortic. Sci. 2020, 85, 329–338. [Google Scholar] [CrossRef]
  47. Zhang, X.; He, D.; Niu, G.; Yan, Z.; Song, J. Effects of environment lighting on the growth, photosynthesis, and quality of hydroponic lettuce in a plant factory. Int. J. Agric. Biol. Eng. 2018, 11, 33–40. [Google Scholar] [CrossRef]
  48. Carvalho, R.d.S.C.; Bastos, R.G.; Souza, C.F. Influence of the use of wastewater on nutrient absorption and production of lettuce grown in a hydroponic system. Agric. Water Manag. 2018, 203, 311–321. [Google Scholar] [CrossRef]
  49. Kim, M.J.; Moon, Y.; Tou, J.C.; Mou, B.; Waterland, N.L. Nutritional value, bioactive compounds and health benefits of lettuce (Lactuca sativa L.). J. Food Compos. Anal. 2016, 49, 19–34. [Google Scholar] [CrossRef]
  50. APHA/AWWA/WEF. Standard Methods for the Examination of Water and Wastewater, 21st ed.; APHA: Washington, DC, USA, 2005. [Google Scholar]
  51. EPA. Method 352.1: Nitrogen, Nitrate (Colorimetric, Brucine) by Spectrophotometer; EPA: Washington, DC, USA, 1971. [Google Scholar]
  52. ISO. Water Quality—Determination of Ammonium—Part 1: Manual Spectrometric Method (ISO Standard 7150-1:1984); ISO: London, UK, 1984. [Google Scholar]
  53. ISO. Water Quality—Enumeration of Escherichia coli and Coliform Bacteria—Part 1: Membrane Filtration Method for Waters with Low Bacterial Background Flora (ISO 9308-1:2014); ISO: London, UK, 2014. [Google Scholar]
  54. Pennisi, G.; Orsini, F.; Blasioli, S.; Cellini, A.; Crepaldi, A.; Braschi, I.; Spinelli, F.; Nicola, S.; Fernandez, J.A.; Stanghellini, C.; et al. Resource use efficiency of indoor lettuce (Lactuca sativa L.) cultivation as affected by red:blue ratio provided by LED lighting. Sci. Rep. 2019, 9, 14127. [Google Scholar] [CrossRef] [PubMed]
  55. Pennisi, G.; Pistillo, A.; Orsini, F.; Cellini, A.; Spinelli, F.; Nicola, S.; Fernandez, J.A.; Crepaldi, A.; Gianquinto, G.; Marcelis, L.F.M. Optimal light intensity for sustainable water and energy use in indoor cultivation of lettuce and basil under red and blue LEDs. Sci. Hortic. 2020, 272, 109508. [Google Scholar] [CrossRef]
  56. Kumar, T.; Rajpal, A.; Bhargava, R.; Prasad, K.S.H. Performance evaluation of vermifilter at different hydraulic loading rate using river bed material. Ecol. Eng. 2014, 62, 77–82. [Google Scholar] [CrossRef]
  57. Miller, J.N.; Miller, J.C. Statistics and Chemometrics for Analytical Chemistry, 4th ed.; Prentice Hall: Harlow, UK, 2000. [Google Scholar]
  58. Stangroom, J. One-Way ANOVA Calculator, Including Tukey HSD. Available online: https://www.socscistatistics.com/tests/anova/default2.aspx?frame=0 (accessed on 20 April 2024).
  59. Luz, T.R.; Ispolnov, K.; Aires, L.M.I. Tratamento de água residual suinícola através de vermifiltração e hidroponia: Viabilidade do cultivo hidropónico de alface em água residual de suinícola vermifiltrada. In Proceedings of the V Congresso Internacional Educação, Ambiente e Desenvolvimento, Leiria, Portugal, 9–12 November 2022; pp. 30–41. [Google Scholar]
  60. Metcalf & Eddy Inc.; Tchobanoglous, G.; Stensel, D.; Tsuchihashi, R.; Burton, F.L. Wastewater engineering: Treatment and Resource Recovery, 5th ed.; McGraw-Hill Professional: New York, NY, USA, 2013. [Google Scholar]
  61. Jin, W.; Lopez, D.F.; Heuvelink, E.; Marcelis, L.F.M. Light use efficiency of lettuce cultivation in vertical farms compared with greenhouse and field. Food Energy Secur. 2023, 12, e391. [Google Scholar] [CrossRef]
  62. Rusu, T.; Moraru, P.I.; Mintas, O.S. Influence of environmental and nutritional factors on the development of lettuce (Lactuca sativa L.) microgreens grown in a hydroponic system: A review. Not. Bot. Horti Agrobot. Cluj-Napoca 2021, 49, 12427. [Google Scholar] [CrossRef]
  63. Singh, H.; Dunn, B. Electrical Conductivity and pH Guide for Hydroponics. Oklahoma State University: Stillwater, OK, USA, 2016. [Google Scholar]
  64. Keeratiurai, P. Efficiency of wastewater treatment with hydroponics. J. Agric. Biol. Sci. 2013, 8, 800–805. [Google Scholar]
  65. Aishwarya, J.M.; Vidhya, R. Study on the Efficiency of a Hydroponic Treatment for Removing Organic Loading from Wastewater and Its Application as a Nutrient for the “Amaranthus campestris” Plant for Sustainability. Sustainability 2023, 15, 7814. [Google Scholar] [CrossRef]
  66. Magwaza, S.T.; Magwaza, L.S.; Odindo, A.O.; Mditshwa, A. Hydroponic technology as decentralised system for domestic wastewater treatment and vegetable production in urban agriculture: A review. Sci. Total Environ. 2020, 698, 134154. [Google Scholar] [CrossRef]
  67. Amin, M.M.; Hashemi, H.; Boyini, A.M. A review on wastewater disinfection. Int. J. Environ. Health Eng. 2013, 2, 22. [Google Scholar]
  68. Zuluaga-Gomez, J.; Bonaveri, P.; Zuluaga, D.; Álvarez-Peña, C.; Ramírez-Ortiz, N. Techniques for water disinfection, decontamination and desalinization: A review. Desalin. Water Treat. 2020, 181, 47–63. [Google Scholar] [CrossRef]
  69. Azim, N.; Diaz, A.; Li, W.; Irwin, T.; Calle, L.; Callahan, M. Literature Review of Disinfection Techniques for Water Treatment. In Proceedings of the 2020 International Conference on Environmental Systems, Virtual, USA, 12–16 July 2020. [Google Scholar]
  70. Hellweger, F.L.; Bucci, V.; Litman, M.R.; Gu, A.Z.; Onnis-Hayden, A. Biphasic Decay Kinetics of Fecal Bacteria in Surface Water Not a Density Effect. J. Environ. Eng. 2009, 135, 372–376. [Google Scholar] [CrossRef]
  71. Fogolari, O.; dos Reis, C.Z.; Philippi, L.S. Determining kinetic parameters for thermal inactivation of Escherichia coli in sewage sludge. Eng. Sanit. Ambient. 2012, 17, 255–262. [Google Scholar] [CrossRef]
  72. Moriarty, M.J.; Semmens, K.; Bissonnette, G.K.; Jaczynski, J. Internalization assessment of E. coli O157:H7 in hydroponically grown lettuce. LWT 2019, 100, 183–188. [Google Scholar] [CrossRef]
  73. Wang, Y.J.; Deering, A.J.; Kim, H.J. Effects of plant age and root damage on internalization of shiga toxin-producing escherichia coli in leafy vegetables and herbs. Horticulturae 2021, 7, 68. [Google Scholar] [CrossRef]
  74. Tibebu, S.; Worku, A.; Angassa, K. Removal of Pathogens from Domestic Wastewater Using Small-Scale Gradual Hydroponics Planted with Duranta erecta, Addis Ababa, Ethiopia. J. Environ. Public Health 2022, 3182996. [Google Scholar] [CrossRef] [PubMed]
  75. Ndulini, S.F.; Sithole, G.M.; Mthembu, M.S. Investigation of nutrients and faecal coliforms removal in wastewater using a hydroponic system. Phys. Chem. Earth 2018, 106, 68–72. [Google Scholar] [CrossRef]
  76. Shakoor, A.; Bosch-Serra, À.D.; Alberdi, J.R.O.; Herrero, C. Seven years of pig slurry fertilization: Impacts on soil chemical properties and the element content of winter barley plants. Environ. Sci. Pollut. Res. 2022, 29, 74655–74668. [Google Scholar] [CrossRef]
Figure 1. Vermifiltration–hydroponic treatment system setup. VF: vermifilter; WW: wastewater.
Figure 1. Vermifiltration–hydroponic treatment system setup. VF: vermifilter; WW: wastewater.
Water 16 01524 g001
Figure 2. Hydroponic container setup, NS: synthetic nutrient solution; VW: vermifiltered wastewater; SVW: supplemented vermifiltered wastewater.
Figure 2. Hydroponic container setup, NS: synthetic nutrient solution; VW: vermifiltered wastewater; SVW: supplemented vermifiltered wastewater.
Water 16 01524 g002
Figure 3. DW gain per plant, by treatment. Error bars: SD (n = 6). Different letters (a, b) indicate significant differences between liquid media, p < 0.05.
Figure 3. DW gain per plant, by treatment. Error bars: SD (n = 6). Different letters (a, b) indicate significant differences between liquid media, p < 0.05.
Water 16 01524 g003
Figure 4. Lettuce visual aspect grown for 35 DAT on different hydroponic media.
Figure 4. Lettuce visual aspect grown for 35 DAT on different hydroponic media.
Water 16 01524 g004
Figure 5. pH in the hydroponic media over time (VW: vermifiltered wastewater; SVW: supplemented vermifiltered wastewater; NS: nutrient solution). Error bars: SD (n = 4).
Figure 5. pH in the hydroponic media over time (VW: vermifiltered wastewater; SVW: supplemented vermifiltered wastewater; NS: nutrient solution). Error bars: SD (n = 4).
Water 16 01524 g005
Figure 6. Electrical conductivity (EC) and total dissolved solids (TDS) in the hydroponic media (VW: vermifiltered wastewater; SVW: supplemented vermifiltered wastewater; NS: nutrient solution). Error bars: SD (n = 4).
Figure 6. Electrical conductivity (EC) and total dissolved solids (TDS) in the hydroponic media (VW: vermifiltered wastewater; SVW: supplemented vermifiltered wastewater; NS: nutrient solution). Error bars: SD (n = 4).
Water 16 01524 g006
Figure 7. Ammonia nitrogen, nitrate nitrogen, and phosphate in the hydroponic media over time (VW: vermifiltered wastewater; SVW: supplemented vermifiltered wastewater; NS: nutrient solution). Error bars: SD (n = 4). Different letters (a, b, c) indicate significant differences between treatments, p < 0.05.
Figure 7. Ammonia nitrogen, nitrate nitrogen, and phosphate in the hydroponic media over time (VW: vermifiltered wastewater; SVW: supplemented vermifiltered wastewater; NS: nutrient solution). Error bars: SD (n = 4). Different letters (a, b, c) indicate significant differences between treatments, p < 0.05.
Water 16 01524 g007aWater 16 01524 g007b
Figure 8. Ammonia nitrogen, nitrate nitrogen, and phosphate as a percentage of initial values in the hydroponic media over time (VW: vermifiltered wastewater; SVW: supplemented vermifiltered wastewater; NS: nutrient solution). Error bars: SD (n = 4). Different letters (a, b, c) indicate significant differences between treatments, p < 0.05.
Figure 8. Ammonia nitrogen, nitrate nitrogen, and phosphate as a percentage of initial values in the hydroponic media over time (VW: vermifiltered wastewater; SVW: supplemented vermifiltered wastewater; NS: nutrient solution). Error bars: SD (n = 4). Different letters (a, b, c) indicate significant differences between treatments, p < 0.05.
Water 16 01524 g008
Table 1. Daily light integral (DLI) values, calculated for each container position. SD: standard deviation. Letter indices serve to indicate that no significant differences between treatments were observed, p < 0.05.
Table 1. Daily light integral (DLI) values, calculated for each container position. SD: standard deviation. Letter indices serve to indicate that no significant differences between treatments were observed, p < 0.05.
DLI (mol m−2 d−1)
per PlantMean ± SDper PlantMean ± SD
Row 19.1011.112.010.7 ± 1.5 a11.911.19.2210.8 ± 1.4 a
Row 29.1011.512.611.0 ± 1.8 a12.411.48.9910.9 ± 1.8 a
Row 39.1611.412.411.0 ± 1.7 a12.611.69.2711.2 ± 1.7 a
Table 2. Raw wastewater characterization at four separate sampling moments and mean ± SD. Portuguese legal maximum recommended values (MRV) for irrigation and emission limit values (ELV) for wastewater discharge are shown for comparison.
Table 2. Raw wastewater characterization at four separate sampling moments and mean ± SD. Portuguese legal maximum recommended values (MRV) for irrigation and emission limit values (ELV) for wastewater discharge are shown for comparison.
ParameterValuesReference Values [40]
May 2022January 202314 February 202322 February 2023Mean ± SDMRV (Irrigation)ELV (Discharge)
pH8.448.218.578.768.5 ± 0.26.5–8.46.0–9.0
EC (dS m−1)10.56.69.79.79.1 ± 1.71-
TDS (mg L−1)5634332069506690(5.6 ± 1.7) × 103640-
Turbidity (NTU)120070013001200(1.1 ± 0.3) × 103--
BOD5 (mgO2 L−1)280100448341(2.9 ± 1.5) × 102-40
NO3-N (mgN L−1)8.86.83.94.46 ± 21111
NH3-N (mgN L−1)990.1725.8806.9661.5(8.0 ± 1.4) × 102-8.2
TP (mg L−1)16.416.99.77.4013 ± 5-10
Table 3. Main nutrient content in VW compared to NS, each nutrient as mean ± SD (n = 4).
Table 3. Main nutrient content in VW compared to NS, each nutrient as mean ± SD (n = 4).
NutrientVWNS
NO3-N (mgN L−1)108 ± 4156 ± 1
NH3-N (mgN L−1)7.4 ± 0.110.8 ± 0.0
PO4-P (mgP L−1)4.2 ± 0.141.5 ± 0.1
K (mg L−1)145.6 ± 0.7313.3 ± 0.3
Ca (mg L−1)73 ± 1181 ± 2
Mg (mg L−1)17.2 ± 0.446.3 ± 0.09
Table 4. Composition of NS and the nutrients added to VW in SVW treatment.
Table 4. Composition of NS and the nutrients added to VW in SVW treatment.
NSComponents Added to VW in SVW Treatment
ComponentConcentration (mg L−1)ComponentAdded Concentration (mg L−1)
YaraTeraTM CalcinitTM900CaCl2236
KNO3134
K2SO4280
MgSO4·7H2O495MgSO4·7H2O495
KCl138
KH2PO4168KH2PO4132
FeCl3·6H2O12.0FeCl3·6H2O12.0
MnSO4·H2O3.39MnSO4·H2O3.39
H3BO32.92H3BO32.92
ZnSO4·7H2O0.49ZnSO4·7H2O0.49
CuSO4·5H2O0.08CuSO4·5H2O0.08
Na2MoO4·2H2O0.12Na2MoO4·2H2O0.12
Na2EDTA·2H2O16.4Na2EDTA·2H2O16.4
Table 5. Light use efficiency (LUE) and water use efficiency (WUE) by treatment, mean ± SD (n = 4). Different letters (a, b) indicate significant differences between liquid media, p < 0.05.
Table 5. Light use efficiency (LUE) and water use efficiency (WUE) by treatment, mean ± SD (n = 4). Different letters (a, b) indicate significant differences between liquid media, p < 0.05.
VWSVWNS
LUE (gDW mol−1)0.34 ± 0.09 b0.50 ± 0.11 a0.57 ± 0.14 a
WUE (gFW L−1)44 ± 10 b58 ± 9 b80 ± 15 a
Table 6. Wastewater quality parameters at the start and the end of hydroponic growth on VW, SVW, and NS for 35 days, as well as their relative change. Start and end values are mean ± SD (n = 4 for chemical parameters, n = 6 for coliforms). LOQ: limit of quantification; ND: not determined.
Table 6. Wastewater quality parameters at the start and the end of hydroponic growth on VW, SVW, and NS for 35 days, as well as their relative change. Start and end values are mean ± SD (n = 4 for chemical parameters, n = 6 for coliforms). LOQ: limit of quantification; ND: not determined.
MediumBOD5 (mgO2 L−1)NH3-N (mgN L−1)NO3-N (mgN L−1)PO4-P (mgP L−1)K (mg L−1)Ca (mg L−1)Mg (mg L−1)Total Coliforms (CFU per 100 mL)E. coli (CFU per 100 mL)
VWStart5 ± 17.4 ± 0.1108 ± 44.2 ± 0.1145.6 ± 0.773 ± 117.2 ± 0.43500 ± 16100 ± 1
End1.6 ± 0.1<LOQ5 ± 1<LOQ<LOQ58 ± 121.5 ± 1.16102 ± 9313 ± 3
RC, %−65 ± 27−100−95 ± 6−100−100−20 ± 16−91 ± 7+74.3 ± 0.6+213 ± 4
SVWStart3.68 ± 0.047.43 ± 0.02106 ± 1.533.2 ± 0.4164 ± 2154 ± 743.8 ± 1.43500 ± 16100 ± 1
End2.5 ± 0.3<LOQ<LOQ2.3 ± 0.2<LOQ112 ± 429.1 ± 0.34817 ± 9258 ± 9
RC, %−32 ± 9−100−100−93 ± 1.8−100−27 ± 6−34 ± 3+37.6 ± 0.6+158 ± 9
NSStart1.5 ± 0.110.8 ± 0.1155.6 ± 0.741.5 ± 0.11313.3 ± 0.3181 ± 246.3 ± 0.09NDND
End1.9 ± 0.8<LOQ<LOQ0.8 ± 0.19<LOQ122 ± 530.4 ± 0.8NDND
RC, %+30 ± 52−100−100−98 ± 1−100−32 ± 3−34.3 ± 1.7NDND
Table 7. Final parameters for hydroponically treated VW, SVW, and NS. Each parameter is represented as mean ± SD. MRV: maximum recommended value; ELV: emission limit value. LOQ: limit of quantification; ND: not determined.
Table 7. Final parameters for hydroponically treated VW, SVW, and NS. Each parameter is represented as mean ± SD. MRV: maximum recommended value; ELV: emission limit value. LOQ: limit of quantification; ND: not determined.
ParameterMRV (Irrig.)ELV (Disch.)VWSVWNS
pH6.5–8.46.0–9.07.86 ± 0.027.7 ± 0.28.54 ± 0.06
EC (dS m−1)1-0.63 ± 0.080.96 ± 0.080.93 ± 0.03
TDS (mg L−1)640-(4.4 ± 0.6) × 102788 ± 16759 ± 1
TSS (mg L−1)606010 ± 419 ± 25 ± 2
BOD5 (mgO2 L−1)-401.6 ± 0.12.5 ± 0.31.9 ± 0.8
TN (mgN L−1)-1513 ± 713.7 ± 1.22.56 ± 0.09
NO3-N (mgN L−1)11115 ± 1<LOQ<LOQ
NH3-N (mgN L−1)-8.2<LOQ<LOQ<LOQ
TP (mgP L−1)-10<LOQ2.4 ± 0.20.9 ± 0.2
Fecal coliforms (UFC per 100 mL)100-313 ± 3258 ± 9ND
Disclaimer/Publisher’s Note: The statements, opinions and data contained in all publications are solely those of the individual author(s) and contributor(s) and not of MDPI and/or the editor(s). MDPI and/or the editor(s) disclaim responsibility for any injury to people or property resulting from any ideas, methods, instructions or products referred to in the content.

Share and Cite

MDPI and ACS Style

Ispolnov, K.; Luz, T.M.R.; Aires, L.M.I.; Vieira, J.S. Progress on the Use of Hydroponics to Remediate Hog Farm Wastewater after Vermifiltration Treatment. Water 2024, 16, 1524. https://doi.org/10.3390/w16111524

AMA Style

Ispolnov K, Luz TMR, Aires LMI, Vieira JS. Progress on the Use of Hydroponics to Remediate Hog Farm Wastewater after Vermifiltration Treatment. Water. 2024; 16(11):1524. https://doi.org/10.3390/w16111524

Chicago/Turabian Style

Ispolnov, Kirill, Tomás M. R. Luz, Luis M. I. Aires, and Judite S. Vieira. 2024. "Progress on the Use of Hydroponics to Remediate Hog Farm Wastewater after Vermifiltration Treatment" Water 16, no. 11: 1524. https://doi.org/10.3390/w16111524

APA Style

Ispolnov, K., Luz, T. M. R., Aires, L. M. I., & Vieira, J. S. (2024). Progress on the Use of Hydroponics to Remediate Hog Farm Wastewater after Vermifiltration Treatment. Water, 16(11), 1524. https://doi.org/10.3390/w16111524

Note that from the first issue of 2016, this journal uses article numbers instead of page numbers. See further details here.

Article Metrics

Back to TopTop