Sign in to use this feature.

Years

Between: -

Subjects

remove_circle_outline
remove_circle_outline
remove_circle_outline
remove_circle_outline
remove_circle_outline
remove_circle_outline
remove_circle_outline
remove_circle_outline
remove_circle_outline

Journals

Article Types

Countries / Regions

remove_circle_outline
remove_circle_outline
remove_circle_outline
remove_circle_outline

Search Results (424)

Search Parameters:
Keywords = hydrogen embrittlement (HE)

Order results
Result details
Results per page
Select all
Export citation of selected articles as:
16 pages, 5643 KB  
Article
Hydrogen-Induced Delayed Fracture Susceptibility in Ti–Nb–V Microalloyed Press-Hardened Steel Compared to Ti-Microalloyed Reference
by Renzo Valentini, Leonardo Bertini, Fabio D’Aiuto, Michele Maria Tedesco and Hardy Mohrbacher
Metals 2026, 16(2), 159; https://doi.org/10.3390/met16020159 - 28 Jan 2026
Abstract
In alignment with the European Union’s 2050 carbon-neutrality targets, the automotive industry is intensifying efforts to adopt lightweight materials that ensure structural integrity without compromising safety. Press-hardened steels (PHS), offering a combination of ultra-high strength and formability, are at the forefront of these [...] Read more.
In alignment with the European Union’s 2050 carbon-neutrality targets, the automotive industry is intensifying efforts to adopt lightweight materials that ensure structural integrity without compromising safety. Press-hardened steels (PHS), offering a combination of ultra-high strength and formability, are at the forefront of these developments. Standard PHS grades rely on Ti–B microalloying; however, further alloying with Nb and V has been proposed to enhance hydrogen embrittlement resistance via microstructural refinement and hydrogen trapping. This study investigates hydrogen transport and mechanical degradation in a Ti–Nb–V microalloyed PHS compared to a conventional Ti-only 22MnB5 grade. Electrochemical permeation, thermal desorption, and mechanical testing were employed to characterize hydrogen diffusivity, solubility, and trapping mechanisms. The Ti–Nb–V variant demonstrated lower hydrogen diffusivity, higher solubility, and improved resistance to delayed fracture, attributable to the presence of fine NbTiV precipitates. Full article
(This article belongs to the Special Issue Microstructure and Mechanical Behavior of High-Strength Steel)
Show Figures

Figure 1

7 pages, 2065 KB  
Communication
Strain-Affected Hydrogen Diffusion Under Biaxial Stress in α Iron
by Zhiqin Du, Zhonghao Heng, Jian Li, Chen Jin and Jianghua Shen
Materials 2026, 19(3), 486; https://doi.org/10.3390/ma19030486 - 26 Jan 2026
Viewed by 42
Abstract
A deep understanding of hydrogen diffusion in metals under stress is crucial for revealing the mechanism of hydrogen embrittlement. While the effects of isotropic and uniaxial stress have been studied, the atomic-scale mechanism under a pure biaxial stress state remains unclear. This work [...] Read more.
A deep understanding of hydrogen diffusion in metals under stress is crucial for revealing the mechanism of hydrogen embrittlement. While the effects of isotropic and uniaxial stress have been studied, the atomic-scale mechanism under a pure biaxial stress state remains unclear. This work employs molecular dynamics simulations to investigate hydrogen diffusion in α-iron under controlled biaxial stress. The results show that biaxial stress influences diffusion indirectly by altering the lattice geometry and thus the migration energy barrier. It is found that the diffusion path is governed by the direction of the minimum principal strain, while the diffusion rate is controlled by the maximum tensile principal strain, with which it exhibits an approximately exponential relationship. These insights clarify the distinct roles of different strain components, providing a refined framework for understanding hydrogen behavior under complex stress states and guiding the design of hydrogen-resistant materials. Full article
(This article belongs to the Section Metals and Alloys)
Show Figures

Figure 1

24 pages, 8142 KB  
Article
Evaluating the Hydrogen Embrittlement Resistance of Nickel-Based Coatings as Diffusion Barriers for Carbon Steels
by Mmesoma Mario Alaneme and Zoheir Farhat
Hydrogen 2026, 7(1), 13; https://doi.org/10.3390/hydrogen7010013 - 17 Jan 2026
Viewed by 253
Abstract
This study evaluates the hydrogen embrittlement (HE) resistance of nickel-based electroplated coatings applied on cold-finished mild steel, with emphasis on their performance as diffusion barriers to impede hydrogen ingress. Nickel coatings were deposited using Watts plating bath under controlled electroplating parameters. Electrochemical hydrogen [...] Read more.
This study evaluates the hydrogen embrittlement (HE) resistance of nickel-based electroplated coatings applied on cold-finished mild steel, with emphasis on their performance as diffusion barriers to impede hydrogen ingress. Nickel coatings were deposited using Watts plating bath under controlled electroplating parameters. Electrochemical hydrogen charging was performed in an alkaline medium at progressively increasing charging current densities to simulate varying levels of hydrogen exposure. Tensile testing was conducted immediately after charging to assess the mechanical response of both uncoated and nickel-coated specimens, focusing on key properties such as elongation, yield strength, ultimate tensile strength, and toughness. The results revealed a gradual degradation in ductility and toughness for the uncoated steel samples with increasing hydrogen content. In contrast, the nickel-coated specimens maintained mechanical stability up to a critical hydrogen threshold, beyond which a pronounced reduction in tensile response was observed. Fractographic analysis supported these trends, revealing a transition from ductile to brittle fracture characteristics with increasing concentrations of hydrogen. These findings highlight the protective capabilities and limitations of nickel-based coatings in mitigating hydrogen-induced degradation, offering insights into their application in industries where hydrogen embrittlement of structural materials is a major concern. Full article
Show Figures

Figure 1

17 pages, 2919 KB  
Article
Enhancing Hydrogen Embrittlement Resistance of Al–Zn–Mg–Cu Alloys via Si Microalloying and Optimized Heat Treatment
by Huijun Shi, Ruian Hu, Yi Lu, Shengping Wen, Wu Wei, Xiaolan Wu, Kunyuan Gao, Hui Huang and Zuoren Nie
Metals 2026, 16(1), 76; https://doi.org/10.3390/met16010076 - 9 Jan 2026
Viewed by 208
Abstract
7xxx series aluminum alloys are critical structural materials in aerospace applications, but their susceptibility to hydrogen embrittlement (HE) poses significant challenges to service safety and durability. The effects of Si, Er, and Zr microalloying, combined with optimized heat treatments on the HE resistance [...] Read more.
7xxx series aluminum alloys are critical structural materials in aerospace applications, but their susceptibility to hydrogen embrittlement (HE) poses significant challenges to service safety and durability. The effects of Si, Er, and Zr microalloying, combined with optimized heat treatments on the HE resistance of Al–Zn–Mg–Cu alloys, were systematically investigated using transmission electron microscopy (TEM), scanning electron microscopy (SEM), and mechanical testing. Three alloys—1# (AlZnMgCuZr), 2# (AlZnMgCuErZr), and 3# (AlZnMgCuSiErZr)—were subjected to single-stage or two-stage homogenization, followed by solution treatments at 470 °C/2 h and 540 °C/1 h, and peak aging at 125 °C. The hydrogen charging experiment was conducted by first applying a modified acrylic resin coating to protect the gripping sections of the specimen, followed by a tensile test. Results demonstrate that alloy 3# with Si addition exhibited the lowest RAloss, followed by the 2# alloy, which effectively improved the alloys’ hydrogen embrittlement behavior. Compared with the solution in 470 °C/2 h, the 540 °C/1 h solution treatment enabled complete dissolution of Mg2Si phases, promoting homogeneous precipitation and peak hardness comparable to alloy 2#. Two-stage homogenization significantly enhanced the number density and refinement of L12-structured Al3(Er,Zr) nanoprecipitates. Silicon further accelerated the precipitation kinetics, leading to more Al3(Er,Zr) nanoprecipitates, finely dispersed T′/η′ phases, and lath-shaped GPB-II zones. The GPB-II zones effectively trapped hydrogen, thereby improving HE resistance. This work provides a viable strategy for enhancing the reliability of high-strength aluminum alloys in hydrogen-containing environments. Full article
Show Figures

Figure 1

39 pages, 10403 KB  
Article
High-Temperature Degradation of Hastelloy C276 in Methane and 99% Cracked Ammonia Combustion: Surface Analysis and Mechanical Property Evolution at 4 Bar
by Mustafa Alnaeli, Burak Goktepe, Steven Morris and Agustin Valera-Medina
Processes 2026, 14(2), 235; https://doi.org/10.3390/pr14020235 - 9 Jan 2026
Viewed by 252
Abstract
This study examines the high-temperature degradation of Hastelloy C276, a corrosion-resistant nickel-based alloy, during exposure to combustion products generated by methane and 99% cracked ammonia. Using a high-pressure optical combustor (HPOC) at 4 bar and exhaust temperatures of 815–860 °C, standard tensile specimens [...] Read more.
This study examines the high-temperature degradation of Hastelloy C276, a corrosion-resistant nickel-based alloy, during exposure to combustion products generated by methane and 99% cracked ammonia. Using a high-pressure optical combustor (HPOC) at 4 bar and exhaust temperatures of 815–860 °C, standard tensile specimens were exposed for five hours to fully developed post-flame exhaust gases, simulating real industrial turbine or burner conditions. The surfaces and subsurface regions of the samples were analysed using scanning electron microscopy (SEM; Zeiss Sigma HD FEG-SEM, Carl Zeiss, Oberkochen, Germany) and energy-dispersive X-ray spectroscopy (EDX; Oxford Instruments X-MaxN detectors, Oxford Instruments, Abingdon, United Kingdom), while mechanical properties were evaluated by tensile testing, and the gas-phase compositions were tracked in detail for each fuel blend. Results show that exposure to methane causes moderate oxidation and some grain boundary carburisation, with localised carbon enrichment detected by high-resolution EDX mapping. In contrast, 99% cracked ammonia resulted in much more aggressive selective oxidation, as evidenced by extensive surface roughening, significant chromium depletion, and higher oxygen incorporation, correlating with increased NOx in the exhaust gas. Tensile testing reveals that methane exposure causes severe embrittlement (yield strength +41%, elongation −53%) through grain boundary carbide precipitation, while cracked ammonia exposure results in moderate degradation (yield strength +4%, elongation −24%) with fully preserved ultimate tensile strength (870 MPa), despite more aggressive surface oxidation. These counterintuitive findings demonstrate that grain boundary integrity is more critical than surface condition for mechanical reliability. These findings underscore the importance of evaluating material compatibility in low-carbon and hydrogen/ammonia-fuelled combustion systems and establish critical microstructural benchmarks for the anticipated mechanical testing in future work. Full article
(This article belongs to the Special Issue Experiments and Diagnostics in Reacting Flows)
Show Figures

Figure 1

49 pages, 13564 KB  
Review
Cryogenic Performance and Modelling of Fibre- and Nano-Reinforced Composites: Failure Mechanisms, Toughening Strategies, and Constituent-Level Behaviour
by Feng Huang, Zhi Han, Mengfan Wei, Zhenpeng Gan, Yusi Wang, Xiaocheng Lu, Ge Yin, Ke Zhuang, Zhenming Zhang, Yuanzhi Gao, Yu Su, Xueli Sun and Ping Cheng
J. Compos. Sci. 2026, 10(1), 36; https://doi.org/10.3390/jcs10010036 - 8 Jan 2026
Viewed by 265
Abstract
Composite materials are increasingly required to operate in cryogenic environments, including liquid hydrogen and oxygen storage, deep-space structures, and polar infrastructures, where long-term strength, toughness, and reliability are essential. This review provides a unique contribution by systematically integrating recent advances in understanding cryogenic [...] Read more.
Composite materials are increasingly required to operate in cryogenic environments, including liquid hydrogen and oxygen storage, deep-space structures, and polar infrastructures, where long-term strength, toughness, and reliability are essential. This review provides a unique contribution by systematically integrating recent advances in understanding cryogenic behaviour into a unified multi-scale framework. This framework synthesises four critical and interconnected aspects: constituent response, composite performance, enhancement mechanisms, and modelling strategies. At the constituent level, fibres retain stiffness, polymer matrices stiffen but embrittle, and nanoparticles offer tunable thermal and mechanical functions, which collectively define the system-level performance where thermal expansion mismatch, matrix embrittlement, and interfacial degradation dominate failure. The review further details toughening strategies achieved through nano-addition, hybrid fibre architectures, and thin-ply laminates. Modelling strategies, from molecular dynamics to multiscale finite element analysis, are discussed as predictive tools that link these scales, supported by the critical need for in situ experimental validation. The primary objective of this synthesis is to establish a coherent perspective that bridges fundamental material behaviour to structural reliability. Despite these advances, remaining challenges include consistent property characterisation at low temperature, physics-informed interface and damage models, and standardised testing protocols. Future progress will depend on integrated frameworks linking high-fidelity data, cross-scale modelling, and validation to enable safe deployment of next-generation cryogenic composites. Full article
Show Figures

Graphical abstract

22 pages, 12403 KB  
Article
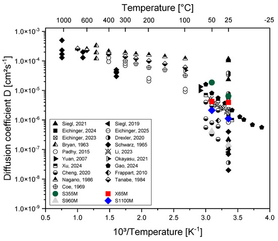
Diffusion and Critical Hydrogen Content of Carbon Steels with Different Strengths and Microstructures
by Dino Zwittnig, Matthias Eichinger, Martin Mülleder, Claudius Schindler, Rupert Egger and Gregor Mori
Materials 2026, 19(1), 15; https://doi.org/10.3390/ma19010015 - 19 Dec 2025
Viewed by 473
Abstract
Four thermomechanically rolled carbon steels with different strength levels and microstructures, namely S355M, X65M, S960M, and S1100M, were selected, and their critical hydrogen contents Hcrit were determined. Hcrit is the hydrogen content where brittle fracture of the steel can occur. The [...] Read more.
Four thermomechanically rolled carbon steels with different strength levels and microstructures, namely S355M, X65M, S960M, and S1100M, were selected, and their critical hydrogen contents Hcrit were determined. Hcrit is the hydrogen content where brittle fracture of the steel can occur. The Hcrit values for the four carbon steels are 2.03 (S355M), 0.91 (X65M), 0.32 (S960M), and 0.53 ppm (S1100M). Bainitic carbon steel S1100M outperforms lower-strength tempered martensitic steel S960M in terms of resistance to hydrogen embrittlement. All other steels follow the trend that a higher strength of steel results in a lower resistance to hydrogen embrittlement. The root cause for the beneficial behavior of bainitic steels is discussed. Full article
(This article belongs to the Section Corrosion)
Show Figures

Figure 1

19 pages, 4026 KB  
Article
Effect of Silicon and Continuous Annealing Process on the Microstructure, Mechanical Properties, and Hydrogen Embrittlement of DP1500 Steel
by Wei Li, Yu Tang, Boyu Cao, Yeqian Jiang, Yang Shen, Wei Li and Ke Zhang
Materials 2026, 19(1), 6; https://doi.org/10.3390/ma19010006 - 19 Dec 2025
Cited by 1 | Viewed by 432
Abstract
Dual-phase (DP) steels are widely used in automotive structures due to their excellent strength–ductility balance. This study examines how silicon content and continuous annealing parameters affect the microstructure, mechanical properties, and hydrogen embrittlement (HE) behavior of DP1500 steel. Two steels, 05DP (0.5% Si) [...] Read more.
Dual-phase (DP) steels are widely used in automotive structures due to their excellent strength–ductility balance. This study examines how silicon content and continuous annealing parameters affect the microstructure, mechanical properties, and hydrogen embrittlement (HE) behavior of DP1500 steel. Two steels, 05DP (0.5% Si) and 15DP (1.5% Si), were processed under annealing temperatures of 800–850 °C and over-aging temperatures of 240–300 °C. Higher annealing temperatures increased austenite formation and produced more martensite after cooling, leading to higher strength but reduced ductility at 850 °C due to martensite coarsening. Increasing the over-aging temperature coarsened carbides and reduced strength yet stabilized retained austenite and improved ductility through the TRIP effect. An increase in silicon content suppressed carbide precipitation, promoted carbon enrichment in austenite, refined the ferrite–martensite structure, and significantly enhanced both strength and elongation. Consequently, 15DP steel exhibited superior mechanical properties compared to 05DP steel, exhibiting 90–100 MPa higher tensile strength (+6.2–7.0%), 55–65 MPa higher yield strength (+5.3–6.2%), and 1.4–1.8 percentage points higher total elongation (+10–14%), resulting in a 16–20% increase in the strength–ductility balance (Rm × A). However, due to the relatively high hydrogen embrittlement susceptibility of fresh martensite formed either by the TRIP effect during deformation or after over-aging, 15DP steel did not exhibit substantially improved HE resistance despite its higher retained austenite fraction. Full article
Show Figures

Figure 1

15 pages, 7975 KB  
Article
Effect of Electrochemical Hydrogen Degradation on the Bond Microstructure of Explosively Welded Joints
by Michał Gloc, Piotr Maj and Sylwia Przybysz-Gloc
Appl. Sci. 2025, 15(24), 13139; https://doi.org/10.3390/app152413139 - 14 Dec 2025
Viewed by 263
Abstract
This study investigates hydrogen embrittlement mechanisms at the interfaces of explosively welded joints between 304L austenitic stainless steel and carbon/low-alloy steels (St41k, 15HM), focusing on the unique properties of local melting zones (LMZs) formed during joining. Advanced microstructural characterization, including scanning electron microscopy [...] Read more.
This study investigates hydrogen embrittlement mechanisms at the interfaces of explosively welded joints between 304L austenitic stainless steel and carbon/low-alloy steels (St41k, 15HM), focusing on the unique properties of local melting zones (LMZs) formed during joining. Advanced microstructural characterization, including scanning electron microscopy (SEM), energy-dispersive X-ray spectroscopy (EDS), and microhardness testing, was combined with controlled electrochemical hydrogen charging. Results demonstrate that while base materials suffered substantial hydrogen-induced degradation—blistering in carbon steels and microcracking in stainless steel—the LMZ exhibited exceptional resistance to hydrogen damage. Compositional analyses revealed that the LMZ possessed intermediate chromium (4.8–8.8 wt.%) and nickel (1.7–3.6 wt.%) contents, reflecting mixing from both plates, and significantly higher microhardness compared to adjacent zones. The superior hydrogen resistance of the LMZ is attributed to their refined microstructure, increased density of hydrogen trapping sites, and non-equilibrium phase composition resulting from rapid solidification. These findings indicate that tailoring the process of the LMZ in clad steel joints can be an effective strategy to mitigate hydrogen embrittlement risks in critical hydrogen infrastructure. Full article
(This article belongs to the Special Issue Electrochemistry and Corrosion of Materials)
Show Figures

Figure 1

12 pages, 2569 KB  
Article
First-Principles Investigation of Mechanical and Interfacial Properties of Fe–Al Intermetallic Compounds
by Yijie Niu, Qiang Chi, Peng Wang, Changzheng Liu, Jianli Ji, Jun Wang, Hui Feng, Shuai Xu and Shaobin Zhang
Coatings 2025, 15(12), 1446; https://doi.org/10.3390/coatings15121446 - 8 Dec 2025
Viewed by 526
Abstract
Fe–Al intermetallic compounds are promising candidates for hydrogen permeation barrier coatings owing to their excellent oxidation stability and inherent resistance to hydrogen embrittlement. However, the mechanical properties and interfacial behavior of different Fe–Al phases, particularly at Fe/Fe–Al interfaces, remain insufficiently understood, limiting their [...] Read more.
Fe–Al intermetallic compounds are promising candidates for hydrogen permeation barrier coatings owing to their excellent oxidation stability and inherent resistance to hydrogen embrittlement. However, the mechanical properties and interfacial behavior of different Fe–Al phases, particularly at Fe/Fe–Al interfaces, remain insufficiently understood, limiting their reliable application in hydrogen-containing environments. In this work, density functional theory (DFT) calculations were employed to systematically evaluate the bulk mechanical moduli, surface energetics, and interfacial adhesion of FeAl, Fe3Al, and Fe2Al5. The results reveal that FeAl exhibits the highest elastic and shear moduli due to its B2-ordered structure and directional bonding, while Fe2Al5 shows pronounced anisotropy and the lowest strength as a consequence of its low-symmetry structure. Surface energy analysis indicates that Fe2Al5 possesses relatively stable facets, whereas interfacial adhesion calculations demonstrate that FeAl/Fe and Fe3Al/Fe interfaces provide significantly stronger bonding compared to Fe2Al5/Fe. Charge density and electron localization function (ELF) analyses confirm that Fe–Fe bonds are dominated by metallic character with delocalized electrons, whereas Al-rich regions display enhanced localization, leading to weaker interfacial adhesion in Fe2Al5/Fe. These findings clarify the fundamental mechanisms governing Fe–Al mechanical and interfacial properties and provide theoretical guidance for the design of robust Fe–Al-based hydrogen barrier coatings. Full article
Show Figures

Figure 1

16 pages, 3183 KB  
Article
The Effect of NbC Precipitates on Hydrogen Embrittlement of Dual-Phase Steels
by Wei Li, Kejia Qiang, Boyu Cao, Yu Tang, Fengcang Ma, Wei Li and Ke Zhang
Metals 2025, 15(12), 1342; https://doi.org/10.3390/met15121342 - 7 Dec 2025
Viewed by 401
Abstract
New grades of dual-phase (DP) steels with ultimate tensile strength (UTS) up to 1500 MPa have been developed using a continuous annealing process. This study investigates the effects of over-aging temperature and NbC precipitates on the microstructure and hydrogen embrittlement of these DP [...] Read more.
New grades of dual-phase (DP) steels with ultimate tensile strength (UTS) up to 1500 MPa have been developed using a continuous annealing process. This study investigates the effects of over-aging temperature and NbC precipitates on the microstructure and hydrogen embrittlement of these DP steels. Increasing the over-aging temperature promotes carbide coarsening, which reduces tensile strength, but simultaneously stabilizes retained austenite by inhibiting martensite transformation and enhances ductility through the TRIP effect. Compared to the reference DP steel, the Nb-added DP steel exhibits further strength enhancement due to fine-grain strengthening and precipitation strengthening. Results from slow strain rate tensile (SSRT) and thermal desorption spectroscopy (TDS) tests demonstrate that the Nb-added DP steel possesses superior resistance to hydrogen embrittlement. This improvement is primarily attributed to the hydrogen trapping effect of NbC precipitates, complemented by their grain refinement capability. Full article
(This article belongs to the Special Issue Advances in Corrosion and Failure Analysis of Metallic Materials)
Show Figures

Figure 1

15 pages, 5439 KB  
Article
Role of Environmental Chemistry in Governing the Corrosion and Stress Corrosion Cracking Mechanism of L415 Pipeline Steel in Acidic Soils
by Siwen Liu, Minghao Liu, Yangqin Shangguan, Ke Mei, Shiyao Zhu, Kai Liu and Ruiquan Liao
Materials 2025, 18(24), 5492; https://doi.org/10.3390/ma18245492 - 6 Dec 2025
Viewed by 310
Abstract
The operational integrity of L415 pipeline steel, a critical component of China’s energy network, is severely threatened by the unique acidic red soil environments prevalent in Southern China. A significant knowledge gap exists regarding its specific failure mechanisms, particularly the interplay between Anodic [...] Read more.
The operational integrity of L415 pipeline steel, a critical component of China’s energy network, is severely threatened by the unique acidic red soil environments prevalent in Southern China. A significant knowledge gap exists regarding its specific failure mechanisms, particularly the interplay between Anodic Dissolution (AD) and Hydrogen Embrittlement (HE) in driving Stress Corrosion Cracking (SCC). This study systematically investigates the corrosion and SCC behavior of L415 steel in a simulated environment that replicates the typical soil chemistry of the Gannan region in Southern China. Results revealed that corrosion kinetics are highly dependent on environmental chemistry, with corrosion rates escalating nearly four-fold from 0.0505 mm/a to a severe 0.1949 mm/a, driven by the synergy of low pH and high SO42− concentration. This behavior is governed by the integrity of the corrosion product film, where aggressive environments form porous, unprotective layers with low charge transfer resistance. Slow strain rate tensile (SSRT) tests confirmed that the steel’s susceptibility to SCC is strongly promoted by acidity. Critically, the dominant SCC mechanism was environment-dependent, transitioning from Hydrogen Embrittlement (HE) to intergranular cracking in the most acidic environment, and a mixed AD-HE mechanism causing transgranular cracking in high-chloride conditions. These findings provide a direct mechanistic link between soil chemistry and failure mode, offering a crucial scientific basis for developing environment-specific integrity management strategies for pipelines in these challenging terrains. Full article
(This article belongs to the Special Issue Corrosion Electrochemistry and Protection of Metallic Materials)
Show Figures

Figure 1

16 pages, 6491 KB  
Article
Hydrogen Damage Behavior of X80 Pipeline Steel Under AC Interference
by Tong Li, Zhihui Li, Kejun Jiang, Yuxiang Cai, Wan Sun, Ziyong He, Jun Zhao, Tao Cao, Junjun Jin, Wenjing Chen and Guoqing Gou
Materials 2025, 18(24), 5487; https://doi.org/10.3390/ma18245487 - 5 Dec 2025
Viewed by 344
Abstract
X80 pipeline steel is a key material in the field of oil and gas transportation. Its damage behavior in a hydrogen-filled environment directly affects pipeline safety. In this study, through hydrogen permeation experiments and slow strain rate tensile tests, the electrochemical responses and [...] Read more.
X80 pipeline steel is a key material in the field of oil and gas transportation. Its damage behavior in a hydrogen-filled environment directly affects pipeline safety. In this study, through hydrogen permeation experiments and slow strain rate tensile tests, the electrochemical responses and hydrogen-induced cracking behaviors of X80 base metal and welded joints under hydrogen filling conditions in both AC and DC were systematically compared. The results show that when the base material is filled with hydrogen at 20 mA/cm2 AC, the hydrogen permeation flux is the largest, and the overall hydrogen permeation parameter of the welded joint is lower than that of the base material. High-frequency polarization promotes hydrogen permeation, but anodic corrosion products at high current densities can impede hydrogen entry. The slow strain rate tensile test further confirmed that the mechanical properties of the material declined more significantly under direct current hydrogen charging, and the sensitivity to stress corrosion cracking was higher. Under alternating hydrogen charging conditions, due to the alternating effects of hydrogen charging at the cathode and corrosion at the anode, a relatively low hydrogen embrittlement sensitivity is exhibited. Full article
Show Figures

Figure 1

15 pages, 52707 KB  
Article
Effects of Martensite Content and Anisotropy on Hydrogen Fracture of Dual-Phase Steels
by Tim Boot, Eirik Leivseth, Sara Fernández Iniesta, Pascal Kömmelt, Amarante J. Böttger and Vera Popovich
Metals 2025, 15(12), 1333; https://doi.org/10.3390/met15121333 - 3 Dec 2025
Viewed by 508
Abstract
This work studies the hydrogen embrittlement (HE) behaviour of Dual-Phase steels with varying martensite content. Steels with martensite contents of 25 ± 5, 50 ± 4 and 78 ± 7% were realised by intercritically annealing an as-received DP steel. These steels were charged [...] Read more.
This work studies the hydrogen embrittlement (HE) behaviour of Dual-Phase steels with varying martensite content. Steels with martensite contents of 25 ± 5, 50 ± 4 and 78 ± 7% were realised by intercritically annealing an as-received DP steel. These steels were charged with hydrogen and consequently subjected to an in situ slow strain rate tensile test to characterise the embrittlement. It was found that the steel with 50% martensitic content showed the most ductility in air, but the highest embrittlement of 86 ± 10%. The extent of embrittlement does not increase further from the point that martensite forms a continuous network in the microstructure. The presence of martensite on the surface is linked to the formation of brittle crack initiation sites in these steels. Furthermore it was found that the anisotropic banded structure in the annealed steels promotes brittle crack propagation along the direction of banding, which originates from rolling process. This research shows that anisotropic martensite distributions as well as surface martensite should be avoided when developing rolled steels, to maximise HE resistance. Full article
(This article belongs to the Special Issue Hydrogen Embrittlement of Metals and Alloys)
Show Figures

Figure 1

19 pages, 5719 KB  
Article
Hydrogen Embrittlement Susceptibility of New Generation Advanced High-Strength Steels for Automotive Applications
by James Lelliott, Elizabeth Sackett, Neil McMurray and Douglas Figueroa-Gordon
Corros. Mater. Degrad. 2025, 6(4), 61; https://doi.org/10.3390/cmd6040061 - 24 Nov 2025
Viewed by 1055
Abstract
The adoption of advanced high-strength steels (AHSS) in the automotive industry has significantly increased in recent years driven by weight reduction and enhanced crashworthiness. Hot dip galvanised sacrificial coatings are regularly applied to these steels for corrosion protection. In this investigation, the scanning [...] Read more.
The adoption of advanced high-strength steels (AHSS) in the automotive industry has significantly increased in recent years driven by weight reduction and enhanced crashworthiness. Hot dip galvanised sacrificial coatings are regularly applied to these steels for corrosion protection. In this investigation, the scanning vibrating electrode technique (SVET) demonstrated that hydrogen evolution on the steel substrate is taking place when these sacrificial coatings are damaged during service, increasing the risk of hydrogen embrittlement. The hydrogen embrittlement susceptibility of a new generation of nano-precipitate ferritic, FNP, AHSS have been studied and compared against conventional dual phase ferritic-martensitic, FM, AHSS at equivalent strength levels. Hydrogen permeation tests have shown that FNP AHSS have lower effective diffusion coefficients, Deff, than FM AHSS at equivalent strength levels. At 800 MPa strength levels Deff were 1.68 × 10−7 cm2/s and 1.87 × 10−7 cm2/s for FNP800 and FM800, respectively. At higher strength levels, 1000 MPa, Deff were 7.45 × 10−8 cm2/s and 1.45 × 10−7 cm2/s for the FNP1000 and FM1000, respectively. Slow strain-rate tests (SSRT) showed that FNP AHSS displayed over 35% higher resistance to hydrogen embrittlement than conventional FM AHSS. Quantitative fractographic analyses confirmed that the new ferritic nano-precipitate microstructure retains much more ductile behaviour than conventional martensitic-ferritic even under the most severe hydrogen charging conditions tested. Full article
Show Figures

Figure 1

Back to TopTop