Sign in to use this feature.

Years

Between: -

Subjects

remove_circle_outline
remove_circle_outline
remove_circle_outline
remove_circle_outline
remove_circle_outline
remove_circle_outline
remove_circle_outline
remove_circle_outline
remove_circle_outline

Journals

Article Types

Countries / Regions

remove_circle_outline
remove_circle_outline
remove_circle_outline
remove_circle_outline

Search Results (258)

Search Parameters:
Keywords = hip screening

Order results
Result details
Results per page
Select all
Export citation of selected articles as:
10 pages, 628 KB  
Article
Intra-Rater Reliability and Construct Validity of Hand-Held Dynamometry to Evaluate the Hip Adductor Squeeze Test in Elite Youth Football Players
by Alexandros Stefanakis, Shane Gore, Christopher Hicks, Michael Mansfield and Matthew Willett
Sports 2026, 14(2), 53; https://doi.org/10.3390/sports14020053 - 3 Feb 2026
Abstract
Hip and groin injuries are common in elite football, and reduced isometric adductor strength has been identified as a key risk factor. Therefore, reliable and valid field-based methods for assessing hip adduction strength are essential for effective monitoring and injury prevention. This study [...] Read more.
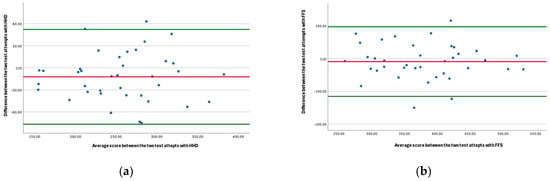
Hip and groin injuries are common in elite football, and reduced isometric adductor strength has been identified as a key risk factor. Therefore, reliable and valid field-based methods for assessing hip adduction strength are essential for effective monitoring and injury prevention. This study aimed to evaluate the intra-rater reliability and construct validity of a hand-held dynamometer (HHD) compared with the ForceFrame (FFS) during the adductor squeeze test in elite youth football players. Thirty-eight male academy athletes completed two testing sessions four weeks apart, performing maximal isometric adductor squeezes using both devices. Relative reliability was assessed using intraclass correlation coefficients (ICC), and construct validity was evaluated using paired t-tests, Bland–Altman analysis, and linear regression. The HHD demonstrated excellent intra-rater reliability (ICC = 0.90, 95% CI: 0.82–0.95) and the FFS showed good reliability (ICC = 0.85, 95% CI: 0.71–0.92). Paired t-tests revealed no significant differences between devices, and regression analysis confirmed no proportional bias, indicating strong agreement and construct validity. These findings demonstrate that the HHD provides valid and reliable measurements of isometric hip adduction strength and may serve as a practical, portable, and cost-effective alternative to fixed dynamometry for field-based strength assessment, rehabilitation monitoring, and injury-prevention screening in elite football environments. Full article
Show Figures

Figure 1

22 pages, 4243 KB  
Article
Lumbar Shear Force Prediction Models for Ergonomic Assessment of Manual Lifting Tasks
by Davide Piovesan and Xiaoxu Ji
Appl. Sci. 2026, 16(3), 1414; https://doi.org/10.3390/app16031414 - 30 Jan 2026
Viewed by 77
Abstract
Lumbar shear forces are increasingly recognized as critical contributors to lower-back injury risk, yet most ergonomic assessment tools—most notably the Revised NIOSH Lifting Equation (RNLE)—do not directly estimate shear loading. This study develops and evaluates a family of linear mixed-effects regression models that [...] Read more.
Lumbar shear forces are increasingly recognized as critical contributors to lower-back injury risk, yet most ergonomic assessment tools—most notably the Revised NIOSH Lifting Equation (RNLE)—do not directly estimate shear loading. This study develops and evaluates a family of linear mixed-effects regression models that statistically predict L4/L5 lumbar shear force exposure using traditional NIOSH lifting parameters combined with posture descriptors extracted from digital human models. A harmonized dataset of 106 peak-shear lifting postures was compiled from five controlled laboratory studies, with lumbar shear forces obtained from validated biomechanical simulations implemented in the Siemens JACK (Siemens software, Plano, TX, USA) platform. Twelve model formulations were examined, varying in fixed-effect structure and hierarchical random effects, to quantify how load magnitude, hand location, sex, and joint posture relate to simulated task-level anterior–posterior shear exposure at the lumbar spine. Across all models, load magnitude and horizontal reach emerged as the strongest and most stable predictors of shear exposure, reflecting their direct mechanical influence on anterior spinal loading. Hip and knee flexion provided substantial additional explanatory power, highlighting the role of whole-body posture strategy in modulating shear demand. Upper-limb posture and coupling quality exhibited minimal or inconsistent effects once load geometry and lower-body posture were accounted for. Random-effects analyses demonstrated that meaningful variability arises from individual movement strategies and task conditions, underscoring the necessity of mixed-effects modeling for representing hierarchical structure in lifting data. Parsimonious models incorporating subject-level random intercepts produced the most stable and interpretable coefficients while maintaining strong goodness-of-fit. Overall, the findings extend the NIOSH framework by identifying posture-dependent determinants of lumbar shear exposure and by demonstrating that simulated shear loading can be reliably predicted using ergonomically accessible task descriptors. The proposed models are intended as statistical predictors of task-level shear exposure that complement—rather than replace—comprehensive biomechanical simulations. This work provides a quantitative foundation for integrating shear-aware metrics into ergonomic risk assessment practices, supporting posture-informed screening of manual material-handling tasks in field and sensor-based applications. Full article
(This article belongs to the Special Issue Novel Approaches and Applications in Ergonomic Design, 4th Edition)
Show Figures

Figure 1

14 pages, 509 KB  
Article
Low Bone Mineral Density in Men Living with HIV on Tenofovir Antiretroviral Therapy: A Cross-Sectional Exploratory Study from a Malaysian Tertiary Hospital
by Muhamad Riduan Daud, Petrick Periyasamy, Kok-Yong Chin, Najma Kori, Ummu Afeera Zainulabid, Sheng Qian Yew, Nur Ezzaty Mohammad Kazmin and Xiong Khee Cheong
Trop. Med. Infect. Dis. 2026, 11(2), 38; https://doi.org/10.3390/tropicalmed11020038 - 29 Jan 2026
Viewed by 231
Abstract
Background and objectives: Low bone mineral density (BMD) is a recognized complication in people living with HIV (PLHIV) that remains under-addressed, particularly in Malaysia. Known contributing factors for low BMD include advanced age, HIV infection itself, and prolonged use of anti-retroviral therapy (ART), [...] Read more.
Background and objectives: Low bone mineral density (BMD) is a recognized complication in people living with HIV (PLHIV) that remains under-addressed, particularly in Malaysia. Known contributing factors for low BMD include advanced age, HIV infection itself, and prolonged use of anti-retroviral therapy (ART), particularly tenofovir-based regimens. There are limited data on the burden of low BMD in the HIV population in Malaysia. This study aimed to determine the prevalence of low BMD among men living with HIV on tenofovir disoproxil fumarate (TDF) and to identify the possible associated factors compared to a group of healthy individuals matched for age and ethnicity. Methods: This is single-center cross-sectional study involved 112 men (56 HIV-positive individuals and 56 uninfected individuals matched for age and ethnicity) who underwent dual-energy X-ray absorptiometry (DXA) scans of the femoral neck and lumbar spine. Sociodemographic, clinical lifestyle, and laboratory data, including FRAX scores for those aged more than 40 years old, were collected. Results: The prevalence of low BMD at the femoral neck in HIV-infected men on tenofovir disoproxil fumarate was significantly higher compared to healthy individuals (32.1% vs. 16.1%; p < 0.05). Low BMD prevalence at the lumbar spine was higher in the HIV group (8.9% vs. 3.6%; p = 0.463) but was not statistically significant. Older age and low body mass index (BMI) were found to be significantly associated with reduced BMD in HIV patients. Chronic kidney disease stage 2 and 3a was linked with low femoral neck BMD. HIV-related factors (duration of illness, duration of ART exposure, and CD4+ counts) showed no significant associations to low BMD. The 10-year risk of major osteoporotic and hip fractures estimated by the FRAX tool was low in both groups, and no participant exceeded the recommended intervention threshold. Conclusions: Men with HIV on tenofovir disoproxil fumarate have a higher prevalence of low BMD, particularly at the femoral neck. Traditional risk factors were more closely associated with low BMD compared to HIV-related factors and specific markers, supporting the need for routine bone health screening and preventive strategies in this population. Full article
(This article belongs to the Special Issue HIV Testing and Antiretroviral Therapy)
Show Figures

Figure 1

24 pages, 531 KB  
Review
Artificial Intelligence and Orthopaedic Prosthetic Planning: A State-of-the-Art Review and Evolving Liability Perspectives
by Francesca Romana Guarnaccia, Federica Spadazzi, Miriam Ottaviani, Nicola Di Fazio, Gianpietro Volonnino, Lucio Di Mauro, Paola Frati and Raffaele La Russa
Sci 2026, 8(2), 27; https://doi.org/10.3390/sci8020027 - 29 Jan 2026
Viewed by 150
Abstract
Background and aim: Artificial intelligence (AI) is gaining increasing relevance in orthopaedic surgery, particularly in prosthetic surgery, due to its ability to support preoperative planning through advanced imaging analysis, implant size prediction, and outcome forecasting. However, recent literature shows considerable variability in employed [...] Read more.
Background and aim: Artificial intelligence (AI) is gaining increasing relevance in orthopaedic surgery, particularly in prosthetic surgery, due to its ability to support preoperative planning through advanced imaging analysis, implant size prediction, and outcome forecasting. However, recent literature shows considerable variability in employed models, evaluated outcomes, and clinical applicability. The objective of this scoping review is to map AI applications in preoperative planning for orthopaedic arthroplasties and to assess their impact on radiographic and clinical outcomes, also discussing key ethical and medicolegal implications within both Italian and international contexts. Materials and methods: A literature review was conducted following scoping review methodology. The bibliographic search (10 September 2025) was performed in PubMed and Scopus using the query “preoperative planning WITH artificial intelligence AND prosthesis orthopaedic surgery AND outcomes”, restricted to the years 2020–2025, English-language studies, and research focused specifically on real-world AI techniques applied to preoperative planning in prosthetic surgery, reporting radiographic and/or clinical outcomes related to planning. Exclusion criteria included intra/postoperative studies, non-orthopaedic applications, robotic surgery, studies lacking clinical outcomes, case reports, and articles without full-text availability. After PRISMA screening and selection, 42 primary studies were included. Results: Of the 42 studies included, 20 focused on the hip, 19 on the knee, and 3 on the shoulder. Available evidence indicates that AI may improve templating accuracy and prosthetic component positioning, with more robust results in hip and knee arthroplasty, while applications in shoulder arthroplasty remain emerging. Nonetheless, important methodological limitations persist, including algorithm heterogeneity. Discussion: Overall, the findings suggest a promising role for AI in preoperative planning; however, the heterogeneity and variable quality of the evidence call for caution in interpretation and highlight the need for more rigorous prospective research. These considerations also carry relevant medicolegal implications, as the reliability and standardisation of AI-based tools represent essential prerequisites for their safe and conscious integration within diverse regulatory frameworks. Conclusions: AI appears to be a promising tool in the preoperative planning of orthopaedic arthroplasties, although further clinical validation and methodological standardisation are required. The evidence gathered also provides a useful foundation for addressing the associated medicolegal and regulatory implications, particularly in light of evolving Italian and European regulations and their differences from U.S. models. Full article
Show Figures

Figure 1

14 pages, 1143 KB  
Article
Geriatric Nutritional Risk Index as a Predictor for Osteoporosis Risk in Elderly Patients with Type 2 Diabetes Mellitus: A Hospital-Based Study
by Abdalla M. Abdelrahman, Michael Edwar Farg, Hanaa A. Nofal, Shaherah Yousef Andargeery, Dina S. Elrafey, Wesam M. R. Ashour and Ahmed Ibrahim Gad
Diagnostics 2026, 16(3), 408; https://doi.org/10.3390/diagnostics16030408 - 27 Jan 2026
Viewed by 175
Abstract
Background: Osteoporosis is a major complication in older adults with type 2 diabetes mellitus (T2DM). Malnutrition contributes to bone loss, and the Geriatric Nutritional Risk Index (GNRI) has emerged as a simple tool for assessing nutritional status. Evidence on the predictive value [...] Read more.
Background: Osteoporosis is a major complication in older adults with type 2 diabetes mellitus (T2DM). Malnutrition contributes to bone loss, and the Geriatric Nutritional Risk Index (GNRI) has emerged as a simple tool for assessing nutritional status. Evidence on the predictive value of the GNRI for osteoporosis in elderly patients with T2DM remains limited. Objective: To evaluate the association between GNRI scores and osteoporosis and determine its predictive performance in elderly patients with T2DM. Methods: A cross-sectional study was conducted on 200 elderly patients with T2DM attending the internal medicine outpatient clinics at Zagazig university hospitals between January and October 2025. Clinical data, biochemical parameters, and bone mineral density (BMD) at the lumbar spine, femoral neck, and total hip were assessed. GNRI scores were calculated using standard formulas. Participants were classified into osteoporosis and non-osteoporosis groups according to WHO criteria. Correlations and ROC curve analysis were performed to assess the predictive ability of the GNRI in comparison with age, BMI, and serum albumin. Results: Osteoporosis was present in 15% of the cohort. Patients with osteoporosis had significantly lower GNRI scores and lower BMD values at all measured sites (p < 0.05). The GNRI showed significant positive correlations with BMD parameters in both sexes. ROC analysis demonstrated that the GNRI had the highest predictive performance for osteoporosis (AUC = 0.80 for all patients; AUC = 0.85 in males; AUC = 0.77 in females). Optimal GNRI cutoff values were <100.03 for the total sample, <99.10 for males, and <100.3 for females. Conclusions: The GNRI is a valuable and simple clinical tool for predicting osteoporosis in elderly patients with T2DM. Lower GNRI scores are significantly associated with reduced BMD. Incorporating the GNRI into routine assessment may help identify high-risk patients who require early screening and intervention. Full article
(This article belongs to the Section Clinical Diagnosis and Prognosis)
Show Figures

Figure 1

15 pages, 873 KB  
Article
Neck Circumference as a Practical Anthropometric Biomarker for Visceral Adiposity and Metabolic Dysregulation in Type 2 Diabetes
by Meixia Ji, Zhifu Zeng, Zhengliang Huang, Zhaowei Shi and Meifen Ji
Metabolites 2026, 16(2), 93; https://doi.org/10.3390/metabo16020093 - 26 Jan 2026
Viewed by 154
Abstract
Objective: Visceral adipose tissue is a primary driver of insulin resistance and dysglycemia in type 2 diabetes (T2D), yet its clinical assessment remains challenging. This study aimed to validate neck circumference (NC) as a novel, practical anthropometric biomarker for estimating visceral fat area [...] Read more.
Objective: Visceral adipose tissue is a primary driver of insulin resistance and dysglycemia in type 2 diabetes (T2D), yet its clinical assessment remains challenging. This study aimed to validate neck circumference (NC) as a novel, practical anthropometric biomarker for estimating visceral fat area (VFA) and identifying metabolic risk in a T2D cohort, facilitating its integration into public health and primary care screening strategies. Methods: In a cross-sectional study of 1139 T2D patients, we collected data on NC, biochemical parameters (fasting plasma glucose, hemoglobin A1c, high-density lipoprotein cholesterol, low-density lipoprotein cholesterol, triglycerides), and precisely measured VFA and subcutaneous fat area (SFA) via bioelectrical impedance analysis (Omron HDS-2000). We employed Pearson’s correlation and multivariate logistic regression to analyze the relationship between NC and metabolic indicators. Receiver operating characteristic (ROC) curve analysis was used to establish sex-specific NC cut-off values for predicting abnormal VFA. Results: The cohort comprised 687 (60.3%) males and 452 (39.7%) females. NC demonstrated strong positive correlations with VFA (p < 0.001), as did body mass index (BMI), waist–hip ratio (WHR), and SFA. In males, NC was further positively correlated with key metabolic biomarkers including fasting insulin, Insulin Resistance Index, triglycerides, and creatinine. ROC analysis identified NC > 39.5 cm for males and >35.5 cm for females as the optimal cut-off points for detecting abnormal visceral adiposity, highlighting its diagnostic utility. Conclusions: NC serves as a highly accessible and effective biomarker for visceral adiposity and associated metabolic dysfunction in patients with T2D. The established sex-specific cut-off values provide a simple, non-invasive tool for risk stratification in clinical and public health settings, enabling early intervention and improved management of metabolic disease. Full article
Show Figures

Figure 1

14 pages, 273 KB  
Article
Effect of Targeted Yoga Practice on PMS Symptoms, Body Composition, and Hip Mobility: An Eight-Week Pilot Study
by Vanda Agnes Nemes, Eszter Mikó-Baráth, Charlotte Briest, Dorottya Szabó, Tibor Mintál, Balázs Patczai and Katalin Gőcze
Sports 2026, 14(1), 21; https://doi.org/10.3390/sports14010021 - 5 Jan 2026
Viewed by 358
Abstract
Premenstrual syndrome (PMS) negatively affects women’s physical performance, emotional balance, and quality of life. Although pharmacological therapies exist, their side effects and limited effectiveness highlight the need for alternatives. This partially controlled, non-blinded, non-randomized prospective pilot study included 34 women aged 18–40 years [...] Read more.
Premenstrual syndrome (PMS) negatively affects women’s physical performance, emotional balance, and quality of life. Although pharmacological therapies exist, their side effects and limited effectiveness highlight the need for alternatives. This partially controlled, non-blinded, non-randomized prospective pilot study included 34 women aged 18–40 years and examined the effects of an eight-week structured yoga program. Participants met the same eligibility criteria and were comparable at baseline in age, sociodemographic characteristics, and PMS severity. The study group attended two weekly 90-min hatha yoga sessions and completed a 15-min daily home practice, while controls maintained their usual physical activity. Outcome measures included body composition, hip range of motion, spinal mobility (flexion and lateral flexion), and Premenstrual Symptoms Screening Tool (PSST) scores. After eight weeks, the yoga group showed significant reductions in body weight and fat mass and an increase in muscle mass. Hip external rotation improved significantly among yoga participants, while changes in spinal mobility did not reach statistical significance. The intervention group showed a significant reduction in PMS symptom severity, while the control group showed no significant change. The findings suggest that regular yoga practice can enhance physical functioning and alleviate PMS-related symptoms, supporting its role as a movement-based approach for improving women’s health. Full article
(This article belongs to the Special Issue Fostering Sport for a Healthy Life)
11 pages, 8332 KB  
Article
Markerless Pixel-Based Pipeline for Quantifying 2D Lower Limb Kinematics During Squatting: A Preliminary Validation Study
by Dayanne R. Pereira, Danilo S. Catelli, Paulo R. P. Santiago and Bruno L. S. Bedo
Biomechanics 2026, 6(1), 1; https://doi.org/10.3390/biomechanics6010001 - 22 Dec 2025
Viewed by 404
Abstract
Background/Objectives: Marker-based motion capture remains widely used for lower limb kinematics due to its high precision, although its application is often constrained by elevated operational costs and the requirement for controlled laboratory environments. Markerless methods, such as MediaPipe offer a promising alternative [...] Read more.
Background/Objectives: Marker-based motion capture remains widely used for lower limb kinematics due to its high precision, although its application is often constrained by elevated operational costs and the requirement for controlled laboratory environments. Markerless methods, such as MediaPipe offer a promising alternative for extending biomechanical analyses beyond traditional laboratory settings, but evidence supporting their validity in controlled tasks is still limited. This study aimed to validate a pixel-based markerless pipeline for two-dimensional kinematic analysis of hip and knee motion during squatting. Methods: Ten healthy volunteers performed three squats with a maximum depth of 90°. Kinematic data were collected simultaneously using marker-based and markerless systems. For the marker-based method, hip and knee joint angles were calculated from marker trajectories within a fixed coordinate system. For the markerless approach, a custom pixel-based pipeline was developed in MediaPipe 0.10.26 to compute bidimensional joint angles from screen coordinates. A paired t-test was conducted using Statistical Parametric Mapping, and maximum flexion values were compared between systems with Bland–Altman analysis. Total range of motion was also analyzed. Results: The markerless pipeline provided valid estimates of hip and knee motion, despite a systematic tendency to overestimate joint angles compared to the marker-based system, with a mean bias of −17.49° for the right hip (95% LoA: −51.89° to 16.91°). Conclusions: These findings support the use of markerless tools in clinical contexts where cost and accessibility are priorities, provided that systematic biases are taken into account during interpretation. Overall, despite the systematic differences, the 2D MediaPipe-based markerless system demonstrated sufficient consistency to assist clinical decision-making in settings where traditional motion capture is not available. Full article
(This article belongs to the Section Sports Biomechanics)
Show Figures

Figure 1

13 pages, 257 KB  
Article
Abdominal Obesity Indices as Predictors of Psychiatric Morbidity in a Large-Scale Taiwanese Cohort
by Jia-In Lee, Jiun-Hung Geng, Yi-Ching Lo, Szu-Chia Chen, Yi-Ya Fang and Cheng-Sheng Chen
Nutrients 2026, 18(1), 13; https://doi.org/10.3390/nu18010013 - 19 Dec 2025
Cited by 1 | Viewed by 505
Abstract
Background/Objectives: Obesity has been linked to a number of diseases, including depression and anxiety. In addition to the commonly used body mass index (BMI) and waist circumference, many obesity-related indices have been proposed. We aimed to investigate the associations between 10 obesity-related indices [...] Read more.
Background/Objectives: Obesity has been linked to a number of diseases, including depression and anxiety. In addition to the commonly used body mass index (BMI) and waist circumference, many obesity-related indices have been proposed. We aimed to investigate the associations between 10 obesity-related indices and psychiatric morbidity in a large cohort of 121,601 Taiwanese participants. Methods: This cross-sectional study analyzed data from 121,601 adults aged 30–70 years enrolled in the Taiwan Biobank between 2012 and 2023. The mean age of the participants was 50 years, and the 10 obesity-related indices were BMI, waist circumference, waist-to-height ratio, waist-to-hip ratio, abdominal volume index, body roundness index, lipid accumulation product, visceral adiposity index, conicity index and triglyceride glucose index. Psychiatric morbidity, defined as the presence of depressive or anxiety symptoms, was identified using self-reported, physician-diagnosed depression, Patient Health Questionnaire 2-item (PHQ-2) score ≥ 3, or Generalized Anxiety Disorder 2-item (GAD-2) score ≥ 3. Multivariable logistic regression models were used to assess associations between each obesity-related index and psychiatric morbidity. Results: Psychiatric morbidity was observed in 5414 (5%), 1375 (3.0%) and 4039 (5%) individuals in the whole cohort, male participants and female participants, respectively. After adjusting for variables, all of the obesity-related indices were significantly associated with psychiatric morbidity, except for BMI in the male subjects. There were no significant interactions between sex and these 10 obesity-related indices. Conclusions: We found significant associations between multiple obesity-related indices and psychiatric morbidity; as these indices are simple and routinely collected, they may help identify individuals at higher psychological risk in population settings. Further research is warranted to clarify underlying mechanisms and their potential utility in screening or prevention. Full article
(This article belongs to the Section Nutrition and Obesity)
Show Figures

Graphical abstract

15 pages, 942 KB  
Article
Anthropometric Indicators of Obesity as Screening Tools for Hypertriglyceridemia in Older Adults: A Cross-Sectional Study
by Max Wolfgang Farias Paiva, Caio Felipe de Sousa Miranda, Gabriel Alves Godinho, Carlos Daniel Dutra Lopes, Tony Souza Queiroz, Débora Jesus da Silva, Sabrina da Silva Caires, Paulo da Fonseca Valença Neto, Claudio Bispo de Almeida, Cezar Augusto Casotti, Beatriz Cardoso Roriz, Francisco Dimitre Rodrigo Pereira Santos, Octavio Luiz Franco, Danieli Fernanda Buccini, Arthur Barros Fernandes, Hellen Dayanny Ferreira Silva Pinheiro and Lucas dos Santos
Obesities 2025, 5(4), 93; https://doi.org/10.3390/obesities5040093 - 14 Dec 2025
Viewed by 517
Abstract
Background: Hypertriglyceridemia is a lipid disorder characterized by elevated plasma triglyceride levels, and its prevalence increases with aging. This condition contributes substantially to morbidity and mortality in older adults. In settings with limited access to laboratory testing, especially in developing countries such as [...] Read more.
Background: Hypertriglyceridemia is a lipid disorder characterized by elevated plasma triglyceride levels, and its prevalence increases with aging. This condition contributes substantially to morbidity and mortality in older adults. In settings with limited access to laboratory testing, especially in developing countries such as Brazil, identifying low-cost and easily applicable screening tools is essential. Objective: To investigate the discriminatory capacity of anthropometric indicators of obesity for screening hypertriglyceridemia in older adults. Methods: A population-based cross-sectional study was conducted with 223 community-dwelling older adults (57% women). Independent variables included body mass index (BMI), waist circumference (WC), abdominal circumference (AC), triceps skinfold thickness (TSF), body adiposity index (BAI), waist-to-hip ratio (WHR), waist-to-height ratio (WHtR), and conicity index (CI). Hypertriglyceridemia was defined as triglyceride levels ≥ 150 mg/dL. Discriminatory performance was assessed using receiver operating characteristic (ROC) curves, and associations were examined using Poisson regression with robust variance. Results: The prevalence of hypertriglyceridemia was 35%. Among older men, AC and CI showed the highest sensitivities (88.90% and 77.40%), while WHR and BMI demonstrated the highest specificities (83.10% and 76.90%). In older women, AC and BMI had the highest sensitivities (95.70% and 87.20%), whereas CI and WHtR exhibited the highest specificities (72.50% and 68.80%). All anthropometric indicators were positively associated with hypertriglyceridemia after adjustment for confounders. Conclusions: AC and CI demonstrated the strongest discriminatory capacity for screening older men with a higher probability of presenting hypertriglyceridemia, while AC and BMI showed the greatest discriminatory capacity among older women. In contrast, WHR and BMI had the highest ability to rule out the condition in older men, whereas CI and WHtR performed this role more effectively in older women. These findings show that low-cost anthropometric indicators can be used in a complementary manner, combining the most sensitive and the most specific measures to support an optimized triage process for hypertriglyceridemia in older adults, particularly in resource-limited settings. Full article
Show Figures

Figure 1

16 pages, 299 KB  
Article
Cardiometabolic Risk Factors Among Adults in a Rural Amazonian Peruvian Population
by Miguel A. Arce-Huamani, Gustavo A. Caceres-Cuellar, Anyela Y. Guevara-Paz, Cleofe R. Lopez-Quispe, Abhely K. Barzola-Blancas, Valeria A. Cespedes-Atto, Catherine G. Acosta-Celis, Katherine Pérez-Acuña, Williams Carrascal-Astola and J. Smith Torres-Roman
Medicina 2025, 61(12), 2206; https://doi.org/10.3390/medicina61122206 - 13 Dec 2025
Viewed by 564
Abstract
Background and Objectives: Cardiometabolic diseases are rising in Latin America, yet rural Amazonian populations remain understudied. We aimed to characterize the prevalence and factors associated with a simple composite cardiometabolic risk in rural Amazonian adults. Materials and Methods: We conducted an [...] Read more.
Background and Objectives: Cardiometabolic diseases are rising in Latin America, yet rural Amazonian populations remain understudied. We aimed to characterize the prevalence and factors associated with a simple composite cardiometabolic risk in rural Amazonian adults. Materials and Methods: We conducted an analytical cross-sectional study during community screenings in San Martín, Peru, in 2025, enrolling adults aged ≥ 18 years. The outcome was present when ≥2 biological/anthropometric alterations were identified at the same visit (hypertension, dyslipidemia, hyperglycemia, hyperuricemia, general obesity, abdominal obesity, or elevated waist-to-hip ratio). Behaviors included current tobacco use, alcohol risk (AUDIT), and physical activity (IPAQ). We summarized variables (univariate), compared groups (bivariate: chi-square; Fisher for alcohol), and fitted modified Poisson regression with robust errors to estimate prevalence ratios (PRs); variables with p ≤ 0.20 in bivariate analysis entered multivariable models. Results: We enrolled 205 adults; 70.2% met the composite outcome. In multivariable models, abdominal obesity (adjusted PR [aPR] 1.70; 95% CI 1.40–2.10), hyperglycemia (1.65; 1.25–2.17), hyperuricemia (1.38; 1.19–1.61), dyslipidemia (1.25; 1.07–1.46), and general obesity (1.21; 1.04–1.40) were independently associated with cardiometabolic risk. Hypertension (1.06; 0.88–1.29) and elevated waist-to-hip ratio (1.20; 0.88–1.63) were not. Physical activity differed crudely but showed no independent association; tobacco and alcohol were not associated. Conclusions: In this rural Amazonian population, we observed a high prevalence of composite cardiometabolic risk and found that central adiposity and metabolic derangements, not blood pressure or self-reported behaviors, were the main correlates. Simple measures such as waist circumference, fasting glucose or HbA1c, a basic lipid panel, and serum urate may help flag adults at higher cardiometabolic risk in similar low-resource primary-care settings, but prospective studies are needed to evaluate their predictive value and screening performance. Full article
(This article belongs to the Section Cardiology)
11 pages, 878 KB  
Article
Universal Hip Ultrasound Screening in Newborns: A 21-Month Prospective Observational Study in a Spoke Center
by Neftj Ragusa, Nefer Roberta Gianotto, Virginia Deut, Chiara Mattivi, Francesca Compagno, Marta Cherubini Scarafoni, Silvia Dominici and Massimo Berger
Med. Sci. 2025, 13(4), 311; https://doi.org/10.3390/medsci13040311 - 10 Dec 2025
Viewed by 529
Abstract
Background: Developmental dysplasia of the hip (DDH) encompasses a spectrum of neonatal hip abnormalities that, if not detected and treated early, may lead to long-term orthopedic sequelae. Universal ultrasound screening using Graf’s method has been proposed to improve early diagnosis, though its implementation [...] Read more.
Background: Developmental dysplasia of the hip (DDH) encompasses a spectrum of neonatal hip abnormalities that, if not detected and treated early, may lead to long-term orthopedic sequelae. Universal ultrasound screening using Graf’s method has been proposed to improve early diagnosis, though its implementation remains heterogeneous in Italy. Objectives: This study aimed to describe the outcomes of a universal ultrasound screening program for DDH conducted in a first-level birth center in northern Italy, evaluating DDH incidence, risk factors, management outcomes, and program feasibility. Methods: A prospective observational study was conducted from February 2024 to October 2025 at the Ivrea birth center (Piedmont region, Italy). All consecutive live-born infants (n = 904) underwent hip ultrasound according to Graf’s method, between 0 and 11 weeks of age. Hips were classified as type I (normal), type IIa (physiologically immature), or type IIb–IV (pathological). Infants with type IIa hips were re-evaluated after 2–4 weeks; those with type IIb or worse were referred to pediatric orthopedics. Results: Of 1808 hips examined, 92% were Graf type I and 8% type IIa. After follow-up, 93% of type IIa hips matured spontaneously. Pathological DDH (Graf IIb or worse) was diagnosed in 8 infants (0.88%), of whom 75% were female; 50% had no identifiable risk factors. All affected infants were treated with harness before 12 weeks of age, with complete recovery and no late diagnoses. No infant required surgical treatment. Conclusions: Universal ultrasound screening for DDH was feasible and effective in a first-level birth center, ensuring early diagnosis and absence of late-presenting cases. These findings support universal screening as a safe and equitable approach to reduce DDH-related morbidity and align with national recommendations for standardized early detection programs. Full article
Show Figures

Figure 1

14 pages, 1775 KB  
Article
Development of a Deep Learning Model for Hip Arthroplasty Templating Using Anteroposterior Hip Radiograph
by Siwadol Wongsak, Tanapol Janyawongchot, Nithid Sri-Utenchai, Dhammathat Owasirikul, Suphaneewan Jaovisidha, Patarawan Woratanarat and Paphon Sa-Ngasoongsong
J. Clin. Med. 2025, 14(24), 8689; https://doi.org/10.3390/jcm14248689 - 8 Dec 2025
Viewed by 518
Abstract
Background: Preoperative templating is an essential step in hip arthroplasty (HA), guiding implant selection and reducing surgical complications. It is typically performed using acetate templates or digital software. These methods, however, depend on the surgeon’s experience and may be limited by cost and [...] Read more.
Background: Preoperative templating is an essential step in hip arthroplasty (HA), guiding implant selection and reducing surgical complications. It is typically performed using acetate templates or digital software. These methods, however, depend on the surgeon’s experience and may be limited by cost and availability. This study aimed to develop and validate a deep learning (DL) model using plain radiographs to predict implant sizes in HA. Methods: This retrospective study included patients who underwent primary HA using a cementless CORAIL® femoral stem and PINNACLE® acetabular cup. The DL model was trained on 688 preoperative anteroposterior (AP) hip radiographs and validated temporally on 98 additional cases. Implant sizes predicted by the DL model were compared with on-screen templating (acetate templates overlaid on digital images). The actual implanted size was used as the reference standard. Accuracy, mean absolute error (MAE), and root mean square error (RMSE) were calculated. Logistic regression was performed to identify factors influencing prediction accuracy. Results: The DL model showed higher accuracy than the on-screen templating for the acetabular cup (88.9% [77.4% to 95.8%] vs. 83.3% [70.7% to 90.2%]) and femoral stem components (85.7% [77.2% to 92.0%] vs. 81.6% [72.5% to 88.7%]), while the on-screen method performed better for the bipolar head (93.2% [81.3% to 98.6%] vs. 72.7% [57.2% to 85.0%]). MAE and RMSE were comparable between the methods for acetabular and femoral stem components (all p > 0.05), with statistically significant differences observed only in the bipolar head (p < 0.01 and 0.02, respectively). Although logistic regression analysis showed trends toward higher accuracy in acetabular size prediction among women and those with shorter height, no demographic factors were statistically significant predictors of accuracy. Conclusions: A DL model using only plain radiographs can accurately predict implant sizes in HA, particularly for the acetabulum and femoral stem. These findings suggest that the DL-based model could be a useful tool in preoperative planning. With further refinement to improve generalizability, this approach could be useful in a routine clinical setting in the future. Full article
(This article belongs to the Special Issue Recent Advances and Clinical Outcomes of Hip and Knee Arthroplasty)
Show Figures

Graphical abstract

13 pages, 828 KB  
Article
Integrating Radiology and Metabolic Risk: DEXA-Based Characterization of Bone Health in Type 2 Diabetes
by Ali H. Alghamdi, Mansuor A. Alanazi, Salwa Bukhari, Reham A. Alsumaira, Razan H. Alenzi, Abeer S. Aljuhani, Saud S. Alharbi and Mohammed A. Alsheikh
Metabolites 2025, 15(12), 766; https://doi.org/10.3390/metabo15120766 - 25 Nov 2025
Viewed by 605
Abstract
Background/Objectives: Type 2 diabetes mellitus (T2DM) is increasingly recognized as a contributor to skeletal fragility despite patients often having a normal or even elevated bone mineral density (BMD), a phenomenon described as the “T2DM bone paradox.” This study aimed to use DEXA [...] Read more.
Background/Objectives: Type 2 diabetes mellitus (T2DM) is increasingly recognized as a contributor to skeletal fragility despite patients often having a normal or even elevated bone mineral density (BMD), a phenomenon described as the “T2DM bone paradox.” This study aimed to use DEXA screening to explore how metabolic and demographic factors, particularly body mass index (BMI), age, sex, and glycated hemoglobin (HbA1c), influence Bone Mineral Density (BMD) among Saudi adults, a population where diabetes and obesity are highly prevalent. Methods: A retrospective cross-sectional study was conducted among 89 adults (mean age 61.1 years; 82% female) who underwent dual-energy X-ray absorptiometry (DEXA) at King Fahad Specialist Hospital in Tabuk, Saudi Arabia. Bone mineral density was evaluated at the lumbar spine, femoral neck, and total hip. Correlation and multiple regression analyses were conducted to assess how age, sex, body mass index (BMI), and glycated hemoglobin (HbA1c) were related to BMD T-scores. Results: The prevalence of osteopenia and osteoporosis was 43.8% and 23.6%, respectively, with women and older adults showing the highest rates of low bone mass. Participants had a mean age of 61.1 ± 12.1 years, average BMI of 32 kg/m2, and mean HbA1c of 6.6 ± 1.8%. Females showed slightly lower T-scores at all skeletal sites compared with males (lumbar spine −1.81 vs. −1.55; femoral neck −1.15 vs. −0.76; total hip −0.62 vs. −0.12), indicating greater bone loss in women. BMI was consistently and positively associated with BMD across all skeletal sites (p < 0.05), whereas age and female sex were negative predictors at the femoral neck and hip. HbA1c showed a paradoxical positive relationship with BMD at weight-bearing sites, reflecting the complexity of metabolic effects on bone quality. The models explained up to 28% of the variance in BMD. Conclusions: Individuals with higher level BMI tended to have better bone mass, while older age and female sex were related to decreased BMD. The positive association between HbA1c and BMD supports the concept of the “diabetic bone paradox” and emphasizes the value of combining the evaluation of both metabolic and skeletal factors when assessing fracture risk in Middle Eastern populations. Full article
(This article belongs to the Section Endocrinology and Clinical Metabolic Research)
Show Figures

Figure 1

10 pages, 792 KB  
Case Report
Application of Molecular Diagnostics in Periprosthetic Joint Infection Microorganism Identification Following Screening Colonoscopy: A Case Report and Review of the Literature
by Pieralberto Valpiana, Andrea Giordano Salvi, Michele Paolo Festini Capello, Fjorela Qordja, Sebastian Schaller, Jaeah Kim and Pier Francesco Indelli
Prosthesis 2025, 7(6), 152; https://doi.org/10.3390/prosthesis7060152 - 21 Nov 2025
Viewed by 553
Abstract
Background: Culture-negative periprosthetic joint infections (PJIs) are dramatically increasing in prevalence. The success rate of implant-saving procedures in acute PJI cases is closely correlated with prompt diagnosis, rapid isolation/identification of the microorganism, and timely surgical intervention. Methods: A 70-year-old female patient [...] Read more.
Background: Culture-negative periprosthetic joint infections (PJIs) are dramatically increasing in prevalence. The success rate of implant-saving procedures in acute PJI cases is closely correlated with prompt diagnosis, rapid isolation/identification of the microorganism, and timely surgical intervention. Methods: A 70-year-old female patient with an acutely infected left total hip arthroplasty (THA) following a routine screening colonoscopy was rapidly treated with debridement, antibiotic pearls, and retention of the implant (DAPRI) after rapid identification of the microorganism using a molecular diagnostics-based algorithm. Results: Molecular diagnostics enabled the identification of Escherichia coli as the causative agent of the transient bacteremia and subsequent seeding of the left hip within less than an hour. Conclusions: This case suggests that endoscopic procedures may increase the risk to joint replacement patients. In acute PJI, the use of molecular diagnostics, which facilitates prompt identification of microorganisms, may increase the success rate of implant-saving surgical procedures. Full article
(This article belongs to the Section Orthopedics and Rehabilitation)
Show Figures

Figure 1

Back to TopTop