Next Article in Journal
Accelerated Droplet Routing on MEDA Biochips Considering Shape-Dependent Velocity Models Through Guidance and Lower-Bound Constraints
Next Article in Special Issue
Ergonomic Risk in Total Hip Arthroplasty: Approach-Specific Postural Loads and Position-Swap Effects During Cup Preparation
Previous Article in Journal
AI-Based Embedded Framework for Cyber-Attack Detection Through Signal Processing and Anomaly Analysis
Previous Article in Special Issue
Spinal Line Detection for Posture Evaluation Through Training-Free 3D Human Body Reconstruction with 2D Depth Images
 
 
Font Type:
Arial Georgia Verdana
Font Size:
Aa Aa Aa
Line Spacing:
Column Width:
Background:
Article

Lumbar Shear Force Prediction Models for Ergonomic Assessment of Manual Lifting Tasks

Biomedical, Industrial and Systems Engineering Department, Gannon University, Erie, PA 16541, USA
*
Author to whom correspondence should be addressed.
Appl. Sci. 2026, 16(3), 1414; https://doi.org/10.3390/app16031414
Submission received: 19 December 2025 / Revised: 20 January 2026 / Accepted: 23 January 2026 / Published: 30 January 2026
(This article belongs to the Special Issue Novel Approaches and Applications in Ergonomic Design, 4th Edition)

Abstract

Lumbar shear forces are increasingly recognized as critical contributors to lower-back injury risk, yet most ergonomic assessment tools—most notably the Revised NIOSH Lifting Equation (RNLE)—do not directly estimate shear loading. This study develops and evaluates a family of linear mixed-effects regression models that statistically predict L4/L5 lumbar shear force exposure using traditional NIOSH lifting parameters combined with posture descriptors extracted from digital human models. A harmonized dataset of 106 peak-shear lifting postures was compiled from five controlled laboratory studies, with lumbar shear forces obtained from validated biomechanical simulations implemented in the Siemens JACK (Siemens software, Plano, TX, USA) platform. Twelve model formulations were examined, varying in fixed-effect structure and hierarchical random effects, to quantify how load magnitude, hand location, sex, and joint posture relate to simulated task-level anterior–posterior shear exposure at the lumbar spine. Across all models, load magnitude and horizontal reach emerged as the strongest and most stable predictors of shear exposure, reflecting their direct mechanical influence on anterior spinal loading. Hip and knee flexion provided substantial additional explanatory power, highlighting the role of whole-body posture strategy in modulating shear demand. Upper-limb posture and coupling quality exhibited minimal or inconsistent effects once load geometry and lower-body posture were accounted for. Random-effects analyses demonstrated that meaningful variability arises from individual movement strategies and task conditions, underscoring the necessity of mixed-effects modeling for representing hierarchical structure in lifting data. Parsimonious models incorporating subject-level random intercepts produced the most stable and interpretable coefficients while maintaining strong goodness-of-fit. Overall, the findings extend the NIOSH framework by identifying posture-dependent determinants of lumbar shear exposure and by demonstrating that simulated shear loading can be reliably predicted using ergonomically accessible task descriptors. The proposed models are intended as statistical predictors of task-level shear exposure that complement—rather than replace—comprehensive biomechanical simulations. This work provides a quantitative foundation for integrating shear-aware metrics into ergonomic risk assessment practices, supporting posture-informed screening of manual material-handling tasks in field and sensor-based applications.

1. Introduction

Low-back disorders remain among the most prevalent occupational injuries in workplaces that require manual lifting or frequent handling of materials. Decades of epidemiological evidence show that these injuries are strongly influenced by the mechanical demands placed on the lumbar spine, especially when tasks involve extended reaches, trunk flexion, or repetitive lifting cycles [1,2,3,4]. To support injury prevention efforts, practitioners frequently rely on the Revised NIOSH Lifting Equation (RNLE) [5], a tool that evaluates lifting tasks through a set of multiplicative factors describing object weight, hand location, asymmetry, coupling quality, and task frequency [6,7,8,9]. The RNLE has become a cornerstone of ergonomics practice due to its simplicity and suitability for field assessments. However, by design, the equation estimates a Recommended Weight Limit rather than the internal forces acting on the spine, and therefore cannot directly represent the biomechanical mechanisms that generate tissue stress [8].
More sophisticated approaches—such as forward [10] and inverse [11] dynamics models—have included both compression and shear forces at the L4/L5 joint [12,13,14]. These computational tools account for joint angles, anthropometric differences, and muscle recruitment patterns, capturing aspects of spinal loading that simplified ergonomic formulas cannot. The trade-off, however, is practicality: high-fidelity biomechanical simulations require motion capture systems, specialized software, and technical expertise that are rarely available during routine workplace evaluations. Consequently, ergonomists often face a methodological divide between using a widely accessible but biomechanically incomplete framework or adopting precise simulation tools that are impractical outside laboratory settings [15].
With increasing evidence that shear forces may play an important role in disc injury, vertebral slippage, and degenerative changes—sometimes independently of compressive loading—the limitations of existing field methods become more evident [16,17]. Recent studies have highlighted mismatches between simplified ergonomic assessments and simulated spinal shear loads, suggesting that current screening tools may not fully capture critical contributors to low-back injury risk [8,18].
To address this gap, the present study develops a set of mixed-effects regression models that statistically relate traditional NIOSH lifting parameters and posture descriptors to L4/L5 shear forces obtained from validated biomechanical simulations. By pooling data from multiple controlled laboratory studies and standardizing posture variables across protocols, we quantify the degree to which NIOSH-style descriptors reflect true lumbar shear loading and identify the relative influence of load magnitude, horizontal and vertical hand location, asymmetry, and joint angles. The objective is to create a data-driven, ergonomically interpretable model of shear loading that preserves field applicability while offering greater biomechanical insight. The proposed models are not intended to replace detailed musculoskeletal analyses but to provide task-level estimates of shear exposure suitable for ergonomic screening and comparative risk assessment. To our knowledge, this represents the first pooled analytic framework specifically focused on predicting shear forces at the lumbar spine from NIOSH lifting parameters. The resulting model provides ergonomists with a complementary assessment tool that enhances understanding of lumbar shear risk without requiring full motion-capture-based analyses.

2. Materials and Methods

2.1. Study Overview

The present work establishes a statistical modeling approach that relates commonly used NIOSH lifting descriptors to lumbar shear forces estimated through validated biomechanical simulations. To build this framework, datasets were compiled from multiple laboratory investigations that reported spinal loading outcomes derived from motion capture recordings, digital human modeling platforms, and inverse-dynamics analysis. Shear-force estimates were treated as reference outputs from validated digital human modeling rather than as independently derived biomechanical quantities. Only the postures corresponding to the highest shear demands within each lifting trial were retained, as these frames best represent the mechanical conditions associated with elevated injury risk. By merging these observations into a harmonized dataset, we generated a comprehensive collection of lifting scenarios that vary in load magnitude, hand location and trunk posture. This pooled dataset served as the basis for constructing mixed-effects regression models designed to quantify how NIOSH task parameters predict L4/L5 shear forces across subjects and study protocols. An overview of the study workflow, including data sources, posture extraction, and modeling steps, is provided in Figure 1.

2.2. Ethical Approval

All datasets incorporated into this analysis originated from studies that had already undergone ethical review and received approval from the Gannon University Institutional Review Board. The present investigation relied exclusively on de-identified biomechanical simulation outputs; no new experimental sessions were conducted. All research activities complied with institutional policies and applicable federal regulations governing the protection of human subjects.

2.3. Source Studies and Inclusion Criteria

Five previously completed investigations were eligible for inclusion in the current analysis [12,14,19,20,21]. Although conducted in different applied settings—ranging from industrial box lifting and manual materials handling to patient transfer simulations, brewery workflows, and virtual reality-guided lifting tasks—each study shared key methodological features that allowed their data to be pooled. Specifically, all studies collected full-body kinematics using motion capture systems and incorporated these recordings into a validated digital human modeling environment capable of estimating lumbar loads through inverse dynamics or related biomechanical approaches. To ensure comparability across protocols, only studies that produced estimates of L4/L5 forces and reported sufficient information to derive NIOSH lifting parameters were considered. Furthermore, each dataset had to include clearly identifiable postures associated with peak spinal loading within the lifting sequence. These criteria enabled all retained postures to be expressed within a unified NIOSH-based task descriptor framework and supported the development of consistent mixed-effects models for predicting lumbar shear forces.

2.4. Data Harmonization Approach

Although the contributing studies varied in their objectives, lifting scenarios, and laboratory environments, a standardized harmonization procedure was implemented to make their data analytically compatible. For each dataset, all lifting trials were examined to identify the posture at which lumbar shear forces reached their maximum value during the movement cycle. These high-shear frames were chosen because they capture the biomechanical conditions most relevant for evaluating low-back loading and injury risk.
Each selected posture was reformatted into a unified data structure containing the full set of NIOSH lifting descriptors—horizontal reach, vertical hand height, vertical travel distance, coupling category, and object weight—along with participant anthropometric information and the corresponding L4/L5 shear force estimated from the biomechanical model. Asymmetry angle and task frequency were not taken into consideration, as all tasks were performed without torsion of the spine, and not on a continuous basis. Coordinate conventions, measurement units, and segment definitions were reconciled across studies to match NIOSH standards and the conventions used in the JACK simulation environment.
When tasks included repeated lifts, peak values were averaged across repetitions unless the original experimental protocol required individual trials to remain distinct. The resulting harmonized dataset provided a consistent representation of lifting postures and enabled all observations to be incorporated into a single mixed-effects statistical modeling framework. Figure 2 illustrates the reachable hand positions extracted from the reference publications and one associated stick-figure posture.

2.5. Task and Pose Extraction

For this study, only those portions of the five source datasets that corresponded to postures with the highest lumbar shear demands were incorporated into the pooled analysis. Although the original investigations differed in application domain and task objective, each followed a similar experimental structure: participants performed well-defined lifting or load-handling motions under controlled laboratory or workplace-simulated conditions, with posture and spinal forces estimated using motion capture integrated into a validated digital human modeling workflow. Within each study, the researchers had identified specific instances during the lift cycle that generated the largest predicted spinal loads. These high-demand frames were extracted for the present analysis because they represent the mechanical extremes most relevant for understanding how NIOSH parameters relate to shear loading at the L4/L5 segment.

2.5.1. Industrial Materials-Handling Study [20]

Participants lifted and transferred loads of 5–10 kg while maintaining fixed foot placement and standardized object locations. The postures retained here included the floor-pickup position—characterized by substantial knee and trunk flexion—and the forward-reach posture used during object placement at height. These configurations consistently produced the highest shear forces due to increased horizontal distance and trunk angle.

2.5.2. Healthcare Patient-Handling Study [14]

Subjects transferred a 25-kg patient mannequin between a wheelchair and a hospital bed and assisted sit-to-stand transitions. Three postures were identified as peak-shear conditions: a deeply flexed trunk at the start of the lift, a forward-leaning posture during bed placement, and an asymmetric bent-torso posture during sit-to-stand support. These represent common high-risk moments encountered in clinical handling scenarios.

2.5.3. Virtual-Reality Lifting Study [19]

Participants moved a 10-kg box from floor to table in both physical and VR settings. Two task phases—initial load pickup and object placement—were extracted because they produced the largest shear components in both environments. Including both VR and physical conditions allowed assessment of whether posture representation differences meaningfully altered predicted lumbar loads.

2.5.4. Brewery Ergonomics Study [12]

Real workers handled empty (14 kg) and full (72 kg) beer kegs while using their natural lifting strategies. For the empty-keg task, peak shear occurred during floor pickup and during placement on a 1-m cleaning platform. For the heavy-keg task, the highest shear loads arose during the deep squat required to lift a full keg and during the extended-reach phase needed to stack one keg onto another. These postures reflect authentic high-demand conditions from industrial settings.

2.5.5. Digital Human Model Validation Study [21]

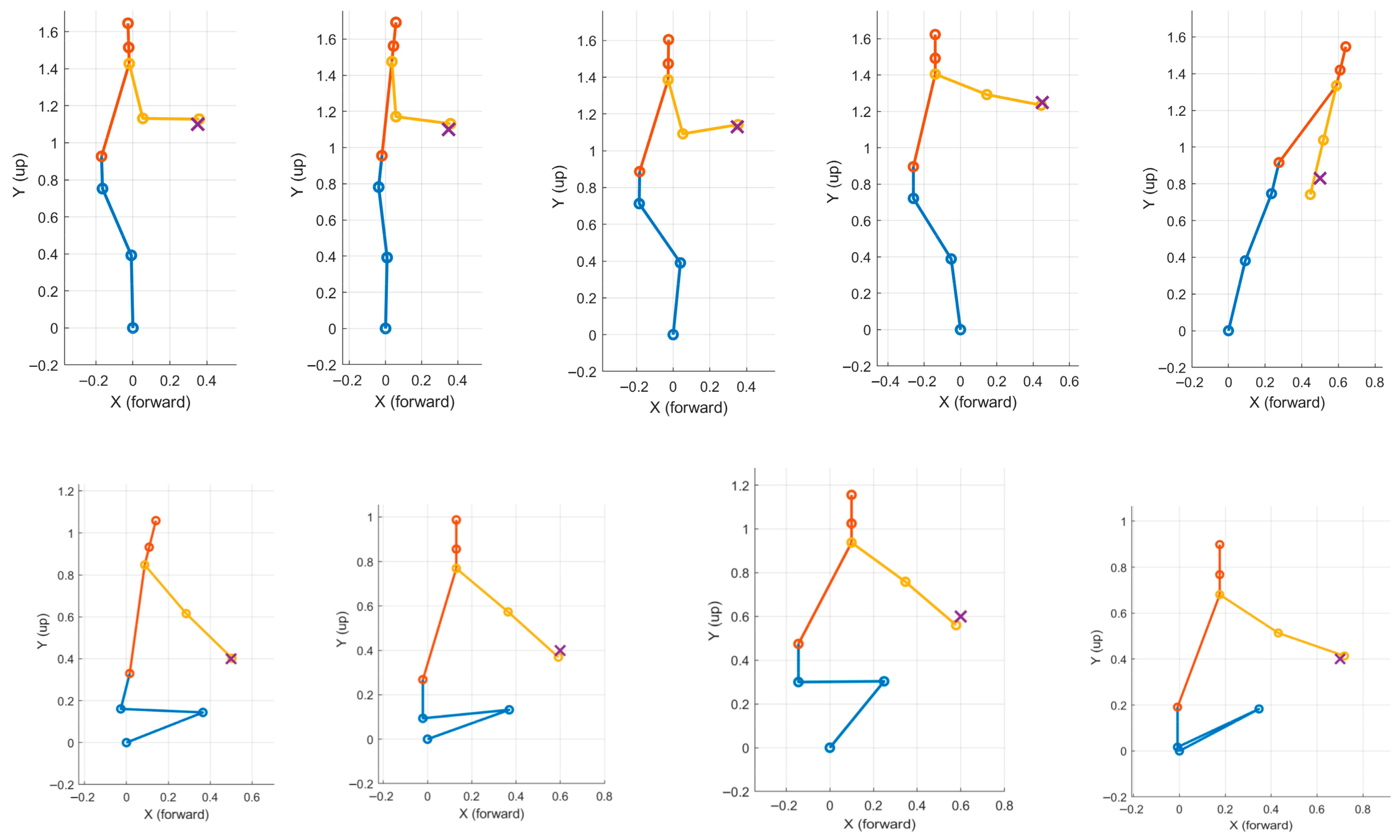
This study contributed lifts and repetitive actions simulated using Siemens JACK and Task Simulation Builder. The peak postures typically involved either the greatest trunk flexion angle or the largest external moment arm between the load and the lumbar spine, both of which elevate anterior shear at L4/L5 (see bottom row in Figure 3).
Across all five studies, only postures representing biomechanically meaningful extremes in shear loading were retained. By narrowing the dataset to these high-demand configurations, the present analysis focuses on the task moments that most strongly influence the relationship between NIOSH multipliers and lumbar shear forces. These harmonized peak-shear postures constitute the foundation for the statistical modeling described in subsequent sections.

2.6. Digital Human Modeling Integration

All source studies estimated posture-dependent spinal loading using a digital human model implemented within the Siemens JACK ergonomics platform. Although each study employed its own workflow—ranging from inverse-kinematics reconstruction to direct motion-driven animation—the resulting models were uniformly scaled to participant anthropometrics, and joint alignments were matched to motion capture landmarks to ensure accurate reproduction of body posture.
For studies relying on Xsens Awinda inertial motion capture system (Xsens 3D Motion Tracking Technology, Enschede, The Netherlands), movement data were first processed using the DHM_Xsens framework and then mapped onto a corresponding JACK manikin (DHM_JACK). This mapping preserved the segment orientations of critical regions such as the pelvis, lumbar spine, and upper extremities. In studies that used optical motion capture or posture files produced through the Task Simulation Builder (TSB), the skeletal configurations were imported directly into JACK after appropriate adjustments to coordinate orientation, scaling, and limb alignment.
All digital human models shared a common reference frame, and joint angles were extracted using a standardized convention. Angles for the trunk, hip, knee, shoulder, and elbow were exported from each peak-shear posture and consolidated into the unified dataset used for statistical modeling. This standardization ensured that posture descriptions and corresponding biomechanical outputs were comparable across all source datasets.

2.7. Biomechanical Estimation of Spinal Shear Load

Spinal loading for all source studies was computed using the biomechanics module within Siemens JACK, which incorporates anthropometric scaling, linked-segment inverse dynamics, and internal load estimation. The analysis focused on the L4/L5 segment, a commonly used reference location for evaluating lumbar spine mechanics and assessing anterior–posterior shear loads generated during lifting and load-handling tasks.
For every extracted peak-demand posture, the JACK model calculated the contributions of gravitational forces, inertial effects from segment accelerations, and externally applied loads transmitted through the hands. External hand forces were either measured directly (e.g., in studies using VR-based force sensors) or assigned based on the weight of the lifted object, following the procedures specified in the original experiments. When participants handled patient mannequins or industrial objects such as kegs, the distribution of load magnitude between the hands matched the conventions used in the corresponding study protocol.
The JACK biomechanics engine produced estimates of the anterior–posterior shear force acting at L4/L5 for each posture. These shear values were extracted and compiled into the unified dataset used for the present statistical analysis. Because all studies relied on the same computational environment and consistent anthropometric scaling rules, the resulting shear-force estimates were directly comparable across datasets.

2.8. Mixed-Effects Regression Modeling

To evaluate how well different biomechanical and task-related parameters predicted lumbar shear forces across the pooled dataset, a series of linear mixed-effects regression models were developed and compared. These candidate specifications varied both in the selection of fixed-effects predictors and in the complexity of their random-effects structures. Some models incorporated the full set of available joint angles and NIOSH-derived task descriptors, whereas others deliberately removed individual posture variables or location parameters to test whether they contributed meaningful information to the prediction of L4/L5 shear force. This stepwise approach enabled us to assess the sensitivity of shear-force estimation to specific predictors and to determine which biomechanical features remained robust across different lifting environments.
Because the dataset contained repeated observations nested within individuals, tasks, and studies, alternative random-effects configurations were also examined. Several models included only a subject-level random intercept to account for person-specific baseline loading. Others added a task-level intercept to capture systematic differences across lifting scenarios. A smaller subset of models introduced random slopes for selected predictors—such as load magnitude or horizontal reach—to test whether individual subjects demonstrated heterogeneous responses to these parameters. The most complex specification permitted correlations between random intercepts and random slopes, thereby allowing the model to represent inter-individual variability in lifting mechanics more fully.
All candidate models were specified as linear mixed-effects regressions predicting L4/L5 shear force from task descriptors and posture variables. In general form, the models can be written as:
S h e a r i = β 0 + k = 1 p β k X k , i + b s u b j i + b t a s k i + b s t u d y i + ε i
where Shear i is the estimated L4/L5 anterior–posterior shear force (N) for observation i ; X k , i are fixed-effect predictors (e.g., Load, H, V, Sex, Coupling, and joint angles); β k are fixed-effect coefficients; b subj ( i ) , b task ( i ) and b study ( i ) are random intercepts associated with the subject, task, and study corresponding to observation i ; and ε i is the residual error term. Random intercepts are included in each model selectively, as illustrated in Table 1. For each model, the fixed-effect predictors X k , their symbols, units, and biomechanical definitions are summarized in Table A1, while estimated coefficients β 0 , β k and random intercepts for each model specification are reported in Table A2 and Table A3.
For models that included subject-specific random slopes, the equation was extended as:
S h e a r i = β 0 + k = 1 p β k X k , i + b 0 , s u b j i + b 0 , t a s k i + b 1 , s u b j i L o a d i + b 2 , s u b j i H i + ε i
where b 1 , subj and b 2 , subj represent subject-specific deviations from the population-average slopes for Load and horizontal distance, respectively (included depending on model specification).
All models were fitted using restricted maximum likelihood (REML) in MATLAB 2023a (MathWorks Inc., Natick, MA, USA). For each specification, the fixed-effects estimates, variance components, and model-fit indices (AIC, BIC, log-likelihood, and residual variance) were recorded. Residual standard deviation was computed as the square root of the model-estimated residual variance term obtained from the REML fit and represents unexplained within-observation variability. The objective of this modeling phase was to systematically explore how assumptions about fixed and random effects shape the statistical representation of L4/L5 shear loading. Table 1 summarizes the structural characteristics of all models considered, including their predictor sets, random-effects structures, and the associated number of fixed parameters, random parameters, and covariance components. Collectively, these models establish the foundation for identifying which NIOSH parameters and joint-angle descriptors are most informative for predicting lumbar shear forces across diverse lifting contexts.

3. Results

The distribution of shear forces, posture variables, and lifting parameters showed substantial variability within and across participants, tasks, and study protocols. Across all studies, peak L4/L5 shear forces ranged from 57.9 N to 1614.97 N, with an overall mean of 579.9 N (SD = 315.49 N). As illustrated in Figure 4, lumbar shear forces exhibit substantial variability across the horizontal–vertical workspace. Lower shear forces are generally observed at shorter horizontal reaches and moderate vertical hand positions, whereas higher shear forces are concentrated in regions associated with larger horizontal distances and lower vertical hand heights. Importantly, Figure 4 also demonstrates that multiple shear-force magnitudes can occur at the same hand location, indicating that shear loading is influenced not only by hand position but also by external load magnitude and whole-body joint configuration. These shear magnitudes fall within the range commonly reported in laboratory lifting studies and frequently exceed thresholds associated with elevated anterior–posterior loading of the lumbar spine [22]. A total of 106 lifting observations from multiple studies were included in the final dataset. Before selecting a final regression model, twelve mixed-effects model formulations were estimated to examine how different combinations of fixed and random effects captured variability in L4/L5 shear loading. These models ranged from a baseline fixed-effects specification (Model 0) to increasingly complex structures incorporating subject-level intercepts, task-level intercepts, random slopes, and correlated random effects (Models 1–11).
Each model was evaluated using likelihood-based fit statistics (AIC, BIC, log-likelihood), convergence properties, and stability of parameter estimates. This systematic comparison allowed us to determine the contribution of individual predictors, assess the importance of subject- and task-level random effects, and evaluate whether additional complexity in the random-effects structure improved shear-force prediction. Table 2 summarizes the model-fit indices, including the Akaike Information Criterion (AIC), Bayesian Information Criterion (BIC), log-likelihood and deviance. The Akaike Information Criterion (AIC) and Bayesian Information Criterion (BIC) quantify overall model quality while penalizing unnecessary complexity; lower values indicate a better balance between fit and parsimony. The log-likelihood measures how well the model explains the observed data, with higher likelihoods corresponding to better fit (and therefore lower AIC/BIC). Deviance is a transformation of the likelihood that reflects model misfit, where lower deviance indicates better performance.
Across the set of candidate models, the inclusion of random intercepts had a clear and systematic effect on model performance. The baseline fixed-effects model (Model 0), which did not include any random effects, produced the largest residual standard deviation (SD = 60.13 N), indicating that a fixed-effects-only approach was unable to accommodate subject-specific variability in shear loading. Introducing random intercepts—most commonly at the SubjectID level (e.g., Models 1, 2, 5, 7, 8, 9, 10, and 11)—reduced the residual SD substantially, with most mixed-effects models converging to residuals in the range of 44–45 N (see Table 3). This reduction demonstrates that between-subject differences represent a meaningful source of variability in L4/L5 shear forces and must be accounted for in the modeling framework.
Models that incorporated random slopes (Models 3 and 4) yielded further reductions in deviance and produced some of the lowest AIC values in the comparison (e.g., AIC = 1140.4 for Model 3 and AIC = 1115.7 for Model 4). These improvements are expected when additional variance components allow the model to capture subject-specific responses to biomechanical predictors. However, these gains came at the cost of substantial increases in model complexity, as reflected by the large number of random-effects parameters required to estimate subject-level slopes and their associated covariance structures.
Conversely, the more restricted random-effects structures in Models 5 and 6 illustrated the consequences of oversimplifying the hierarchical variability. Model 6, which included only a TaskID random intercept, performed poorly, reproducing the same residual SD as the fixed-effects baseline (60.13 N—See Table 3) and generating the highest AIC of all models (AIC = 1155.3). Model 5, which retained only a SubjectID random intercept, performed better than Model 0 but still showed inferior fit relative to models including both subject- and task-level clustering.
Overall, the pattern of results underscores that the hierarchical structure of the dataset—comprising repeated measures nested within subjects and tasks—requires mixed-effects modeling for appropriate variance partitioning. Models incorporating random intercepts for SubjectID consistently outperformed the fixed-effects baseline, while additional random slopes provided incremental improvements at the expense of greatly increased complexity. These results support the use of parsimonious mixed-effects structures for predicting lumbar shear forces across heterogeneous lifting contexts.
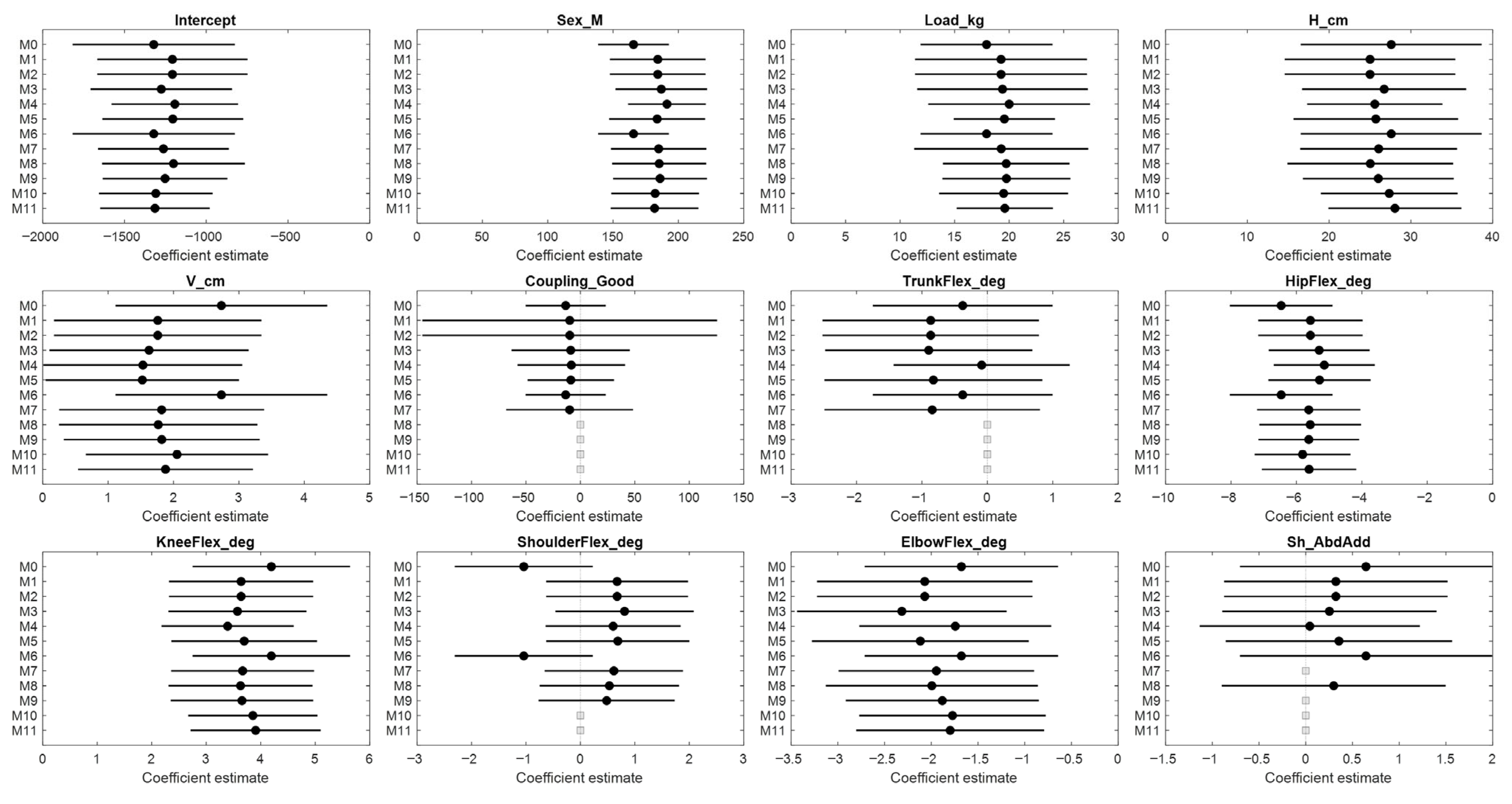
Figure 5 presents the estimated fixed-effect coefficients for all twelve mixed-effects models, expressed as Estimate ± Standard Error. The figure provides an integrated view of how each predictor contributes to L4/L5 shear force under different model specifications and highlights the degree to which each parameter remains stable or varies across the full model set. Detailed coefficient values are reported in Table A2.
Across all models, the coefficient for Load (Load_kg) was consistently positive, statistically significant, and highly stable. This indicates that increases in external mass reliably elevate anterior–posterior shear forces at the lumbar spine, regardless of the modeling structure. The Sex coefficient (coded 0 = female, 1 = male) also remained positive across all models, suggesting that male participants experienced higher shear forces even when performing the same lifting tasks under equivalent conditions.
The effect of horizontal distance (H_cm) was generally positive, though its magnitude and precision varied with model complexity. This reflects the mechanical role of horizontal reach in altering the anterior–posterior load on the lumbar spine. Vertical height (V_cm) had smaller coefficients that fluctuated across models, indicating that vertical load position influences shear to a lesser and more posture-dependent extent than horizontal reach.
Lower-body postures demonstrated clear biomechanical patterns. Hip flexion consistently exhibited a negative coefficient in every model, showing that increasing hip flexion generally reduces shear—likely by shortening the horizontal lever arm between the trunk and the load. Knee flexion tended to produce positive coefficients with moderate stability, aligning with the increased forward inclination often observed when knee flexion is reduced.
Upper-body angles exerted comparatively smaller effects. Elbow flexion produced a modest negative coefficient in nearly all models, but the effect size was limited. Shoulder flexion showed variability in sign and magnitude, with wide standard errors in several models, suggesting that its influence on shear force may be weak, indirect, or context-specific.
Shoulder abduction/adduction contributed minimally and frequently displayed non-significant effects. Coupling quality, when included, produced coefficients close to zero and exhibited large standard errors. Its negligible influence indicates that hand-coupling classification did not meaningfully affect shear forces within this dataset.
Figure 1 also illustrates which parameters achieved statistical significance across model variations. Predictors with 95% confidence intervals crossing zero were considered non-significant (p > 0.05). Consistent significance was observed for Load, Sex, and Hip flexion, which remained robust across nearly all model structures. Knee flexion also reached significance in many models, though with more variability compared to these core predictors.
Other parameters—such as trunk flexion, shoulder flexion, shoulder abduction/adduction, and coupling quality—frequently showed non-significant results, reflecting weaker or more context-dependent relationships with shear force. Their reduced stability also indicates that much of the variability associated with these angles may be absorbed by subject-level random effects rather than fixed predictors. Full significance patterns are provided in Table A3.
Table 3 summarizes the random-effect standard deviations for all twelve mixed-effects models, showing how variability in shear force is partitioned across subjects, tasks, studies (when included), and residual error. The values reveal that SubjectID_SD consistently captures a meaningful portion of the variance, typically ranging from ~40 N to ~44 N in most models, and reaching higher values only in Model 4 due to its expanded random-effects structure. These magnitudes indicate that inter-individual differences—such as variations in lifting technique, anthropometry, or joint coordination patterns—play a substantial role in determining L4/L5 shear force.
TaskID_SD values range from approximately 10–16 N in models where they appear, confirming that differences in task geometry (e.g., vertical and horizontal load positions, start/end posture constraints) contribute additional variability beyond individual differences. As expected for shear force—which is highly sensitive to horizontal displacement and overall body configuration—task-level variation is smaller than subject-level variation but still meaningful.
Models that include both subject and task random intercepts exhibit a pronounced reduction in residual variance compared to fixed-effects-only structures (Model 0), underscoring the necessity of accounting for hierarchical variability in shear-force modeling. When random slopes are introduced (Models 3 and 4), subject-level standard deviations increase, indicating that individuals differ not only in their baseline shear-force levels but also in how strongly shear force responds to changes in load magnitude or horizontal distance.
Across the full model set, Table 3 shows that residual standard deviation falls from approximately 60 N in the fixed-effects model to ~44 N in mixed-effects models with appropriate grouping structures. This represents a substantial improvement in unexplained variance and demonstrates that random intercepts are essential for capturing the heterogeneous nature of lifting and load-handling behaviors.
The comparison of models also highlights the trade-off between complexity and interpretability. Models with more elaborate random-effects structures (e.g., including random slopes) improve statistical fit at the cost of parameter stability and clarity. More parsimonious models—those retaining only subject and task random intercepts—provide a more balanced representation of shear-force variability and produce more stable fixed-effect estimates.
Taken together, Figure 1 and Table 3 show that the core biomechanical relationships governing L4/L5 shear force remain stable across model specifications. Load magnitude, horizontal load position, sex, and lower-extremity posture—particularly hip and knee flexion—emerge as the most reliable predictors. Variables with less consistent coefficients, such as shoulder posture or coupling quality, appear more sensitive to individual movement strategies or contribute minimally to shear loading.
Overall, these results support the use of a mixed-effects modeling framework to appropriately represent both inter-individual and inter-task sources of variation in lumbar shear force. They provide a quantitative foundation for identifying which task parameters most strongly influence anterior–posterior shear loading and for refining ergonomic assessment tools to better reflect the determinants of spinal shear mechanics.

4. Discussion

The present study examined how NIOSH lifting parameters and posture descriptors contribute to L4/L5 shear forces across a harmonized, multi-study dataset of peak loading postures. By applying a systematic set of mixed-effects regression models, we evaluated not only the magnitude and direction of each fixed effect but also how these effects change under different assumptions regarding subject-level and task-level variability. This approach enabled a rigorous assessment of both the statistical determinants of shear loading and the underlying biomechanical mechanisms that govern anterior–posterior spinal demand.
Across all model formulations, load magnitude consistently emerged as the strongest and most stable predictor of shear force. The effect of load remained positive, statistically significant, and nearly unchanged in magnitude even as random-effects structures became more complex. This robustness reflects the direct mechanical consequence of increasing external load: as the mass in the hands rises, so does the forward-directed shear at the lumbar spine due to increased extensor muscle activity and elevated anterior joint reaction forces. The invariance of the load coefficient across models indicates that individual differences in anthropometry, lifting technique, or movement strategy do not meaningfully disrupt the fundamental coupling between added mass and anterior shear. Load_kg had one of the strongest and most consistent effects: shear forces increased by approximately 19–20 N for every additional kilogram lifted. In practical terms, increasing the handled load from 10 kg to 15 kg raises predicted L4/L5 shear by roughly 100 N, even before considering posture.
Horizontal reach showed a similarly consistent and theoretically grounded effect. In every model where it appeared, a greater horizontal distance between the hands and the spine increased shear force. This aligns precisely with the mechanical geometry of lifting: as the load moves farther anteriorly, the moment arm about the spine grows, amplifying the forward shear component. Notably, the horizontal reach effect remained significant even when joint angles were included in the model, demonstrating that hand location is not fully redundant with posture measures and continues to serve as an independent geometric determinant of spinal loading. The coefficient for H_cm remained between 25 and 28 N/cm, indicating that each additional centimeter of horizontal distance between the hands and the ankles adds ~25 N of shear. Thus, extending the reach by just 10 cm elevates shear forces by 250–280 N, making horizontal distance one of the most critical ergonomic risk drivers.
Vertical hand position (V_cm) played a smaller but still meaningful role, with coefficients around 1.5–2.7 N/cm. Raising the load by 20 cm therefore increases shear by only 30–50 N, much less than equivalent increases in H_cm, confirming long-standing ergonomic guidance that horizontal reach is far more hazardous than vertical displacement [23]. This pattern reflects the indirect role of vertical positioning in determining spinal mechanics. Although lower lifting origins typically impose greater trunk inclination—which increases anterior shear—the relationship between vertical hand height and lumbar loading is modulated by the lifter’s posture strategy. Some individuals respond to low starting heights by increasing hip flexion, which can mitigate shear, while others flex primarily at the spine. As a result, vertical height contributes to shear loading in a more context-dependent manner than horizontal reach or load magnitude.
Hip and knee kinematics had opposing effects: each degree of hip flexion reduced shear by ~5.5 N, while each degree of knee flexion increased shear by ~3.5–4 N, suggesting that hip-dominant strategies reduce spinal demand, whereas deep knee flexion pushes the torso vertically and increases shear. Hip flexion consistently showed a strong negative association with shear force. Increased hip flexion rotates the pelvis posteriorly and reduces the horizontal distance between the load and the lumbar spine, thereby lowering anterior shear. The consistency of this effect across nearly all models underscores the biomechanical importance of hip-dominant lifting strategies as a mechanism for reducing spinal demand [24].
Knee flexion showed a generally positive relationship with shear force: straighter legs lead to increased forward trunk inclination and a longer moment arm, thereby increasing shear. This interpretation is reinforced by the stability and significance of the knee coefficient across most model structures, ranging from 3.393 N/deg to 4.195 N/deg. These findings highlight the complementary roles of hip and knee posture in determining spinal mechanics and underscore the value of directly incorporating posture—rather than relying solely on hand coordinates—when modeling lumbar loading.
Elbow and shoulder angles contributed smaller effects (generally <2 N/deg), confirming that distal joint posture plays a secondary role relative to load magnitude and trunk/hip configuration. Elbow flexion exhibited a modest but largely consistent negative coefficient, suggesting that bringing the load closer to the trunk through elbow flexion may marginally reduce shear. Shoulder flexion, however, showed considerable instability in magnitude and was frequently non-significant, indicating that its influence on lumbar shear is weak or highly context-dependent. Shoulder abduction/adduction exhibited no reliable association with shear loading in any model. Although these upper-limb variables are unquestionably relevant to other injury mechanisms—such as shoulder strain, control, and grasp security—they do not appear to significantly influence peak shear forces once lower-body posture and load geometry are accounted for.
Coupling quality similarly did not show significant associations with shear loading. While poor coupling may increase perceived exertion, slip risk, or the need for compensatory upper-body stabilization, its direct contribution to anterior–posterior spinal loading is minimal within the configurations studied here. This reinforces the distinction between biomechanical risk factors, which influence joint loading, and task difficulty or hazard factors, which influence safety through separate pathways.
Analysis of the random-effects structure provided further insight into the biomechanics of lifting. Subject-level random intercepts consistently ranged from ~40 N to ~44 N and decreased sharply only in models with random slopes. Across all studies, peak L4/L5 shear forces ranged from 57.9 N to 1614.97 N, with an overall mean of 579.9 N (SD = 315.49 N).
When interpreted relative to the typical magnitude of shear loading, these subject-level offsets correspond to approximately 7–8% of the mean L4/L5 shear force, indicating that inter-individual differences introduce nontrivial shifts in baseline spinal loading. Task-level random effects, with standard deviations typically between 10 and 16 N, correspond to approximately 2–3% of the mean shear force, reflecting systematic task-dependent differences beyond those captured by fixed effects. Together, these random components underscore the necessity of hierarchical modeling to account for subject- and task-specific baseline shifts and to prevent inflation of residual variability.
Model comparison also demonstrated the importance of balancing statistical fit with biomechanical plausibility. While models incorporating random slopes for load or horizontal distance (Models 3 and 4) achieved lower AIC values, they did so at the cost of producing inflated variance components, unstable fixed-effect estimates, and covariance structures approaching singularity. These characteristics strongly indicate overfitting: the models begin to impose individualized load-response functions on each subject, despite no biomechanical rationale for such variability after posture and geometry have been accounted for. In contrast, more parsimonious models with only subject and task intercepts (Models 7–10) produced stable coefficients, retained significance for all core predictors, avoided overfitting, and preserved strong explanatory power. These models therefore represent the most interpretable and practically meaningful formulations for ergonomic assessment.
Taken together, the findings present a coherent picture of the determinants of lumbar shear force. Load magnitude and horizontal reach consistently emerge as the dominant mechanical drivers, while hip and knee posture serve as key modulators of spinal demand. Vertical height contributes variably but meaningfully, particularly in posture-sensitive contexts, whereas upper-limb posture and coupling quality play only minor roles. The substantial inter-individual variability observed reinforces the need for mixed-effects approaches in ergonomic modeling, as no single fixed-effects formulation can account for differences in anthropometry, coordination, or movement strategy. Overall, the results extend the classical logic of the NIOSH lifting framework by demonstrating that posture contributes uniquely to lumbar shear and that future ergonomic tools—particularly those incorporating wearable sensors or digital human models—may benefit from explicitly integrating posture-dependent variables into shear loading assessment.

5. Conclusions

This study quantified how NIOSH lifting parameters and posture descriptors collectively determine L4/L5 shear forces by applying mixed-effects regression models to a harmonized dataset drawn from multiple lifting investigations. Across all model specifications, load magnitude and horizontal reach emerged as the most consistent and influential predictors of shear loading, reflecting their direct mechanical contribution to anterior–posterior spinal demand. Hip and knee flexion provided additional explanatory value by capturing posture-dependent changes in trunk inclination and load positioning that are not fully represented by hand coordinates alone. In contrast, upper-limb posture, shoulder abduction, and coupling quality played minimal roles in predicting peak shear forces.
The mixed-effects framework demonstrated that meaningful variability in shear loading arises from both individual movement strategies and task geometry, emphasizing the importance of accounting for hierarchical structure in ergonomic modeling. Parsimonious models incorporating subject and task random intercepts provided the most stable and interpretable results, while overly complex models with random slopes introduced overfitting without adding biomechanical insight.
In our view, Model 11 provides the best overall formulation for ergonomic use because it achieves the most favorable balance between parsimony, interpretability, and coefficient stability. Although some intermediate models yield marginally lower AIC/BIC values, Model 11 uses the fewest parameters while retaining the core fixed effects that remained stable across specifications. In addition, task-level variability was comparatively small in our dataset, and Model 11 avoids allocating variance into multiple random-effect components without materially improving predictive structure. For these reasons, and because the principal fixed-effect relationships were robust across model families, we consider Model 11 the most practically meaningful and least overfit specification for predicting L4/L5 shear force.
Overall, the findings reinforce core biomechanical principles of load handling while extending the NIOSH framework with posture-sensitive predictors that enhance the ability to estimate lumbar shear forces across diverse lifting conditions. This work provides a quantitative foundation for improving ergonomic assessment tools and supports the integration of posture measurement—particularly hip and knee configuration—into modern, sensor-informed evaluations of lifting biomechanics. Future work may integrate compression, muscle activation, and joint moment predictors into a unified exposure framework; however, such integration lies beyond the scope of field-oriented ergonomic screening models.

Author Contributions

Conceptualization, D.P. and X.J.; methodology, D.P. and X.J.; software, X.J.; validation, D.P. and X.J.; formal analysis, D.P.; investigation, X.J.; resources, D.P.; data curation, X.J.; writing—original draft preparation, D.P.; writing—review and editing, D.P. and X.J.; visualization, D.P.; supervision, D.P.; project administration, D.P.; funding acquisition, D.P. All authors have read and agreed to the published version of the manuscript.

Funding

This research received no external funding.

Institutional Review Board Statement

Ethical review and approval were not required for this study, as it involved secondary analysis of de-identified data derived from previously published and IRB-approved research studies.

Informed Consent Statement

Not applicable.

Data Availability Statement

These data were derived from the following resources available in the public domain [12,14,19,20,21]. The original contributions presented in this study are included in the article. Further inquiries can be directed to the corresponding author.

Acknowledgments

During the preparation of this manuscript, the authors used Grammarly (Version 14.1270.0) for the purposes of finding grammatical mistakes, spelling errors, and typos. The authors have reviewed and edited the output and take full responsibility for the content of this publication.

Conflicts of Interest

The authors declare no conflict of interest.

Appendix A

This appendix contains additional information that complements the regression analyses described in the main text. Table A1 outlines the complete set of biomechanical, anthropometric, and task-specific variables used in the mixed-effects models, including definitions and measurement units. Table A2 provides the fixed- and random-effect estimates for all twelve model formulations, accompanied by their standard errors. Table A3 compiles the p-values for each predictor across models, with non-significant entries emphasized to assist interpretation. Collectively, these tables give readers a comprehensive overview of the statistical framework employed to model L4/L5 shear forces across different participants, tasks, and experimental protocols.
Table A1. Nomenclature of Variables Included in the Regression Models.
Table A1. Nomenclature of Variables Included in the Regression Models.
Variable NameSymbol/AbbreviationUnitsDescription
LoadLoad_kgkgMass of the lifted object at the moment of exertion.
Horizontal DistanceH_cmcmHorizontal reach distance from the midpoint between the ankles to the hands.
Vertical HeightV_cmcmVertical height of the hands at the moment of lift initiation or peak load.
Sex (Male)Sex_M– (binary)Participant sex coded as 1 = male, 0 = female.
Coupling QualityCoupling_Good– (binary)Quality of hand–object coupling (1 = good grip, 0 = poor).
Hip Flexion AngleHipFlex_degdegrees (°)Angle between the femur and pelvis relative to the neutral standing posture.
Knee Flexion AngleKneeFlex_degdegrees (°)Angle between the tibia and femur; higher values indicate greater knee bend.
Trunk Flexion AngleTrunkFlex_degdegrees (°)Forward flexion of the torso relative to the pelvis.
Shoulder Flexion AngleShoulderFlex_degdegrees (°)Flexion of the humerus relative to the torso.
Elbow Flexion AngleElbowFlex_degdegrees (°)Flexion angle of the elbow joint.
Shoulder Abduction/AdductionSh_AbdAdddegrees (°)Mediolateral displacement of the humerus from the frontal plane.
Study IdentifierStudyID– (categorical)Identifies the source study for each observation.
Task IdentifierTaskID– (categorical)Identifies the lifting task condition within each study.
Participant IdentifierSubjectID– (categorical)Identifies the participant contributing to each observation.
L4/L5 Shear ForceL4L5_Shear_NNewtons (N)Estimated Shear load at the L4/L5 spinal segment
Table A2. Regression Coefficients Table.
Table A2. Regression Coefficients Table.
ParameterModel 0Model 1Model 2Model 3Model 4Model 5
Intercept−1320.9 ± 253.1−1206.6 ± 234.3−1206.6 ± 230.1−1274.7 ± 220.84−1191.9 ± 197.3−1204.4 ± 219.8
Sex_M165.64 ± 13.81184.2 ± 18.68184.2 ± 18.68186.91 ± 17.88191.25 ± 15.18183.73 ± 18.74
Load_kg17.928 ± 3.08819.255 ± 4.02319.255 ± 4.02319.391 ± 3.99420.000 ± 3.78519.56 ± 2.369
H_cm27.596 ± 5.64525.003 ± 5.32225.003 ± 5.32226.729 ± 5.11925.589 ± 4.22025.711 ± 5.134
V_cm2.732 ± 0.8261.759 ± 0.8091.759 ± 0.8091.626 ± 0.7771.532 ± 0.7751.5235 ± 0.754
Coupling_
Good
−13.526 ± 18.77−9.782 ± 69.07−9.782 ± 29.42−8.922 ± 27.70−8.348 ± 25.22−8.810 ± 20.26
TrunkFlex_deg−0.377 ± 0.701−0.866 ± 0.844−0.866 ± 0.844−0.896 ± 0.808−0.087 ± 0.687−0.825 ± 0.850
HipFlex_deg−6.466 ± 0.801−5.572 ± 0.814−5.572 ± 0.814−5.304 ± 0.787−5.148 ± 0.788−5.294 ± 0.798
KneeFlex_deg4.195 ± 0.7373.640 ± 0.6753.640 ± 0.6753.573 ± 0.6463.393 ± 0.6193.697 ± 0.682
ShoulderFlex_deg−1.040 ± 0.6470.674 ± 0.6650.674 ± 0.6650.811 ± 0.6480.601 ± 0.6330.687 ± 0.671
ElbowFlex_deg−1.678 ± 0.528−2.070 ± 0.588−2.070 ± 0.588−2.315 ± 0.572−1.743 ± 0.524−2.117 ± 0.592
Sh_AbdAdd0.644 ± 0.6880.322 ± 0.6100.322 ± 0.6100.253 ± 0.5850.043 ± 0.6010.355 ± 0.618
StudyID_SD44.19
SubjectID_SD43.6443.6417.23316.7143.53
TaskID_SD16.3416.3415.6315.87
Load_slope_SD4.265.7
H_slope_SD6.86
Residual_SD60.1344.1944.1942.66224.4944.863
ParameterModel 6Model 7Model 8Model 9Model 10Model 11
Intercept−1320.9 ± 253.11−1261.5 ± 204.03−1200.2 ± 222.78−1251.7 ± 194.53−1308.2 ± 177.21−1313.4 ± 170.93
Sex_M165.64 ± 13.81184.89 ± 18.63185.30 ± 18.37185.94 ± 18.32182.20 ± 17.12181.76 ± 17.13
Load_kg17.928 ± 3.08819.272 ± 4.07319.729 ± 2.96319.750 ± 2.99519.492 ± 3.01819.600 ± 2.251
H_cm27.596 ± 5.64526.056 ± 4.89425.034 ± 5.16926.014 ± 4.70527.349 ± 4.26328.047 ± 4.147
V_cm2.732 ± 0.8261.8188 ± 0.79951.7666 ± 0.7741.8205 ± 0.7642.0536 ± 0.7111.878 ± 0.682
Coupling_Good−13.526 ± 18.77−9.9016 ± 29.736
TrunkFlex_deg−0.377 ± 0.701−0.8429 ± 0.8405
HipFlex_deg−6.466 ± 0.801−5.6228 ± 0.8057−5.578 ± 0.793−5.622 ± 0.786−5.811 ± 0.748−5.613 ± 0.736
KneeFlex_deg4.195 ± 0.7373.6682 ± 0.66913.630 ± 0.6743.656 ± 0.6673.856 ± 0.6053.907 ± 0.609
ShoulderFlex_deg−1.040 ± 0.6470.6144 ± 0.64830.532 ± 0.6530.482 ± 0.638
ElbowFlex_deg−1.678 ± 0.528−1.9456 ± 0.5337−1.994 ± 0.579−1.882 ± 0.527−1.773 ± 0.509−1.798 ± 0.513
Sh_AbdAdd0.644 ± 0.6880.299 ± 0.611
StudyID_SD
SubjectID_SD43.70242.6642.7339.83639.606
TaskID_SD0 (collapsed)16.68910.2810.6210.866
Load_slope_SD
H_slope_SD
Residual_SD60.1343.93844.46744.19644.9645.488
Table A3. p-Value Comparison Table. Bolded Values are not Significant.
Table A3. p-Value Comparison Table. Bolded Values are not Significant.
VariableM0M1M2M3M4M5M6M7M8M9M10M11
Sex_M<0.001<0.001<0.001<0.001<0.001<0.001<0.001<0.001<0.001<0.001<0.001<0.001
Load_kg<0.001<0.001<0.001<0.001<0.001<0.001<0.001<0.001<0.001<0.001<0.001<0.001
H_cm<0.001<0.001<0.001<0.001<0.001<0.001<0.001<0.001<0.001<0.001<0.001<0.001
V_cm0.00130.0320.0320.0390.0510.0460.00130.0250.02460.0190.00480.007
Coupling (Good)0.4730.8880.740.7480.7410.6650.4730.74
TrunkFlex_deg0.5920.3070.3070.270.90.3340.5920.318
HipFlex_deg<0.001<0.001<0.001<0.001<0.001<0.001<0.001<0.001<0.001<0.001<0.001<0.001
KneeFlex_deg0.0014<0.001<0.001<0.001<0.001<0.001<0.001<0.001<0.001<0.001<0.001<0.001
ShoulderFlex_deg0.1110.3130.3130.2140.3450.3090.1110.3460.4170.451
ElbowFlex_deg0.0020.000670.00067<0.0010.001240.000560.002<0.0010.000850.00055<0.001<0.001
Sh_AbdAdd0.3510.5990.5990.6670.9440.5670.3510.625

References

  1. Coenen, P.; Kingma, I.; Boot, C.R.; Twisk, J.W.; Bongers, P.M.; van Dieën, J.H. Cumulative Low Back Load at Work as a Risk Factor of Low Back Pain: A Prospective Cohort Study. J. Occup. Rehabil. 2013, 23, 11–18. [Google Scholar] [CrossRef] [PubMed]
  2. Zemková, E.; Amiri, B.; Horníková, H.; Zapletalová, L. Potential Neurophysiological and Biomechanical Risk Factors for Sport-Related Back Problems: A Scoping Review. Sports Med. Health Sci. 2024, 6, 123–138. [Google Scholar] [CrossRef] [PubMed]
  3. Wilson, F.; Ardern, C.L.; Hartvigsen, J.; Dane, K.; Trompeter, K.; Trease, L.; Vinther, A.; Gissane, C.; McDonnell, S.J.; Caneiro, J.P.; et al. Prevalence and Risk Factors for Back Pain in Sports: A Systematic Review with Meta-Analysis. Br. J. Sports Med. 2020, 55, 601–607. [Google Scholar] [CrossRef] [PubMed]
  4. Machado, G.C.; Maher, C.G.; Ferreira, P.H.; Latimer, J.; Koes, B.W.; Steffens, D.; Ferreira, M.L. Can Recurrence after an Acute Episode of Low Back Pain be Predicted? Phys. Ther. 2017, 97, 889–895. [Google Scholar] [CrossRef]
  5. Waters, T.R.; Putz-Anderson, V.; Garg, A. Applications Manual for the Revised NIOSH Lifting Equation; U.S. Department of Health and Human Services, Centers for Disease Control and Prevention, National Institute for Occupational Safety and Health: Cincinnati, OH, USA, 1994.
  6. Waters, T.R.; Baron, S.; Kemmlert, K. Accuracy of Measurements for the Revised Niosh Lifting Equation. Appl. Ergon. 1998, 29, 433–438. [Google Scholar] [CrossRef]
  7. Elfeituri, F.E.; Taboun, S.M. An Evaluation of the Niosh Lifting Equation: A Psychophysical and Biomechanical Investigation. Int. J. Occup. Saf. Ergon. 2002, 8, 243–258. [Google Scholar] [CrossRef]
  8. Arjmand, N.; Amini, M.; Shirazi-Adl, A.; Plamondon, A.; Parnianpour, M. Revised Niosh Lifting Equation May Generate Spine Loads Exceeding Recommended Limits. Int. J. Ind. Ergon. 2015, 47, 1–8. [Google Scholar] [CrossRef]
  9. Fox, R.R.; Lu, M.-L.; Occhipinti, E.; Jaeger, M. Understanding Outcome Metrics of the Revised Niosh Lifting Equation. Appl. Ergon. 2019, 81, 102897. [Google Scholar] [CrossRef]
  10. Rupp, T.; Ehlers, W.; Karajan, N.; Günther, M.; Schmitt, S. A Forward Dynamics Simulation of Human Lumbar Spine Flexion Predicting the Load Sharing of Intervertebral Discs, Ligaments, and Muscles. Biomech. Model. Mechanobiol. 2015, 14, 1081–1105. [Google Scholar] [CrossRef]
  11. Piovesan, D.; Ji, X. Assessment of Whole-Body Vibration Via Integrating a Stewart Platform and Simwise Simulation. IFAC-PapersOnLine 2022, 55, 388–393. [Google Scholar] [CrossRef]
  12. Ji, X.; Hettiarachchige, R.O.; Littman, A.L.; Lavery, N.L.; Piovesan, D. Prevent Workers from Injuries in the Brewing Company Via Using Digital Human Modelling Technology. Appl. Sci. 2023, 13, 3593. [Google Scholar] [CrossRef]
  13. Ji, X.; Hettiarachchige, R.O.; Littman, A.L.; Piovesan, D. Using Digital Human Modelling to Evaluate the Risk of Musculoskeletal Injury for Workers in the Healthcare Industry. Sensors 2023, 23, 2781. [Google Scholar] [CrossRef] [PubMed]
  14. Ji, X.; Littman, A.; Hettiarachchige, R.O.; Piovesan, D. The Effect of Key Anthropometric and Biomechanics Variables Affecting the Lower Back Forces of Healthcare Workers. Sensors 2023, 23, 658. [Google Scholar] [CrossRef] [PubMed]
  15. González-Alonso, J.; Martín-Tapia, P.; González-Ortega, D.; Antón-Rodríguez, M.; Díaz-Pernas, F.J.; Martínez-Zarzuela, M. Me-Ward: A Multimodal Ergonomic Analysis Tool for Musculoskeletal Risk Assessment from Inertial and Video Data in Working Places. Expert Syst. Appl. 2025, 278, 127212. [Google Scholar] [CrossRef]
  16. Nail-Ulloa, I.; Zabala, M.; Sesek, R.; Chen, H.; Schall, M.C., Jr. Estimating Compressive and Shear Forces at L5-S1: Exploring the Effects of Load Weight, Asymmetry, and Height Using Optical and Inertial Motion Capture Systems. Sensors 2024, 24, 1941. [Google Scholar] [CrossRef]
  17. Lee, C.J.; Lee, J.K. Inertial Motion Capture-Based Wearable Systems for Estimation of Joint Kinetics: A Systematic Review. Sensors 2022, 22, 2507. [Google Scholar] [CrossRef]
  18. Refai, M.I.; Varrecchia, T.; Chini, G.; Ranavolo, A.; Sartori, M. Assessing Low-Back Loading During Lifting Using Personalized Electromyography-Driven Trunk Models and Niosh-Based Risk Levels. Front. Bioeng. Biotechnol. 2025, 13, 1486931. [Google Scholar] [CrossRef]
  19. Ji, X.; Gao, X.; Swierski, E. Evaluating the Accuracy of Virtual Reality in Replicating Real-Life Human Postures and Forces for Injury Risk Assessment. Sensors 2024, 24, 7049. [Google Scholar] [CrossRef]
  20. Ji, X.; Hernandez, J.; Schweitzer, E.; Littman, A. The Accuracy of Dynamic Simulation with the Use of Tsb within Jack Siemens Plm Software. In Proceedings of the International Conference on Industrial Engineering and Operations Management, Monterrey, Mexico, 3–5 November 2021. [Google Scholar]
  21. Ji, X.; Tiari, S. Posture Evaluation for the Full-Body Dynamic Simulation in Jack Siemens Plm. Int. J. Hum. Factors Ergon. 2022, 9, 261–281. [Google Scholar] [CrossRef]
  22. Gallagher, S.; Marras, W.S. Tolerance of the Lumbar Spine to Shear: A Review and Recommended Exposure Limits. Clin. Biomech. 2012, 27, 973–978. [Google Scholar] [CrossRef]
  23. Davidson, J.M.; McKinnon, C.D. An Assessment of Back and Shoulder Postures in Single-Handed Exertions: Expanding Ergonomic Reaching Guidelines to Consider Lumbar Spine Axial Twist. IISE Trans. Occup. Ergon. Hum. Factors 2024, 12, 189–202. [Google Scholar] [CrossRef]
  24. Lynn, S.K.; Noffal, G.J. Lower Extremity Biomechanics During a Regular and Counterbalanced Squat. J. Strength Cond. Res. 2012, 26, 2417–2425. [Google Scholar] [CrossRef]
Figure 1. Overview of the study workflow and data processing pipeline. Motion capture data from five prior laboratory studies [12,14,19,20,21] were used to generate lumbar shear force estimates via digital human modeling. For each task, the posture associated with peak L4/L5 shear force was extracted and harmonized into a unified dataset of 106 observations. NIOSH lifting parameters and joint-angle descriptors were then used as predictors in a series of linear mixed-effects regression models to evaluate determinants of lumbar shear loading.
Figure 1. Overview of the study workflow and data processing pipeline. Motion capture data from five prior laboratory studies [12,14,19,20,21] were used to generate lumbar shear force estimates via digital human modeling. For each task, the posture associated with peak L4/L5 shear force was extracted and harmonized into a unified dataset of 106 observations. NIOSH lifting parameters and joint-angle descriptors were then used as predictors in a series of linear mixed-effects regression models to evaluate determinants of lumbar shear loading.
Applsci 16 01414 g001
Figure 2. Standardized hand-position geometry derived from the reference studies (blue Xs), together with an example of the associated reference stick-figure posture used for joint-angle and task descriptor definitions. Circles represent joins (knee, hip, trunk, shoulder, elbow, neck) and appendages (Foot, Hand, Head).
Figure 2. Standardized hand-position geometry derived from the reference studies (blue Xs), together with an example of the associated reference stick-figure posture used for joint-angle and task descriptor definitions. Circles represent joins (knee, hip, trunk, shoulder, elbow, neck) and appendages (Foot, Hand, Head).
Applsci 16 01414 g002
Figure 3. Representative stick-figure postures corresponding to peak lumbar shear loading across the contributing studies. The examples illustrate typical task configurations, including floor pickup, forward reach placement, deep squat lifting, and patient handling.
Figure 3. Representative stick-figure postures corresponding to peak lumbar shear loading across the contributing studies. The examples illustrate typical task configurations, including floor pickup, forward reach placement, deep squat lifting, and patient handling.
Applsci 16 01414 g003
Figure 4. Distribution of task postures in the horizontal–vertical workspace. Each point represents the hand position defined by horizontal distance from the feet (x-axis) and vertical distance from the floor (y-axis). Bubble size qualitatively represents the relative magnitude of estimated L4/L5 anterior–posterior shear force for the corresponding posture and is shown for illustrative purposes only (not to scale). The figure is intended to visualize how shear loading varies across task geometry rather than convey quantitative force values.
Figure 4. Distribution of task postures in the horizontal–vertical workspace. Each point represents the hand position defined by horizontal distance from the feet (x-axis) and vertical distance from the floor (y-axis). Bubble size qualitatively represents the relative magnitude of estimated L4/L5 anterior–posterior shear force for the corresponding posture and is shown for illustrative purposes only (not to scale). The figure is intended to visualize how shear loading varies across task geometry rather than convey quantitative force values.
Applsci 16 01414 g004
Figure 5. Regression Coefficients Forest Plot.
Figure 5. Regression Coefficients Forest Plot.
Applsci 16 01414 g005
Table 1. Overview of the mixed-effects model specifications evaluated during the model-development process. Each model is described in terms of the predictors it included, the random-effects structure applied, and the number of fixed coefficients, random coefficients, and covariance parameters that resulted from its design.
Table 1. Overview of the mixed-effects model specifications evaluated during the model-development process. Each model is described in terms of the predictors it included, the random-effects structure applied, and the number of fixed coefficients, random coefficients, and covariance parameters that resulted from its design.
Model Fixed Effects Included β k Random-Effects Structure: bn,kNumber of Fixed ParametersNumber of Random Parameters
Model 0Full model: Load, H, V, Sex, Coupling, HipFlex, KneeFlex, TrunkFlex, ShoulderFlex, ElbowFlex, ShAbdAddNone (no random intercepts)120
Model 1Same as Model 0StudyID + SubjectID + TaskID
random intercepts
1244
Model 2Same as Model 0SubjectID + TaskID
random intercepts
1242
Model 3 Same as Model 0Random slopes for
Load_kg (SubjectID)+
TaskID intercept
1278
Model 4Same as Model 0Random slopes for Load_kg and H_cm (SubjectID) + TaskID intercept12144
Model 5Same as Model 0SubjectID
random intercepts
1236
Model 6Same as Model 0TaskID
random intercepts
126
Model 7Removed Sh_AbdAddSubjectID + TaskID
random intercepts
1142
Model 8Removed Coupling + TrunkFlexSubjectID + TaskID
random intercepts
1042
Model 9Removed Coupling + TrunkFlex+ Sh_AbdAddSubjectID + TaskID
random intercepts
942
Model 10 Further reduced:
remove ShoulderFlex
SubjectID + TaskID
random intercepts
842
Model 11Same as 10 SubjectID
random intercept
836
Table 2. Summary of model performance indices.
Table 2. Summary of model performance indices.
ModelAICBICLog LikelihoodDeviance
01153.31186.4−563.651127.3
11142.41183−555.181110.4
21140.41178.5−555.181110.4
31140.41183.7−553.211106.4
41115.71166.6−537.871075.7
51139.31174.9−555.641111.3
61155.31190.9−563.651127.3
71139.51175.2−555.741111.5
81147.41180.7−560.71121.4
91146.51177.4−561.241122.5
101145.81174.2−561.911123.8
111144.31170.1−562.131124.3
Table 3. Random Factors magnitudes.
Table 3. Random Factors magnitudes.
StudyID_SDSubjectID_SDTaskID_SDLoad_slope_SDH_slope_SDResidual_SD
Model 060.13
Model 144.18743.64116.33644.19
Model 243.64116.33644.19
Model 317.23415.6334.25942.662
Model 4316.7115.8665.7026.85924.49
Model 543.53344.863
Model 6~0 (6.7 × 10−15)60.13
Model 743.70216.68943.983
Model 842.6610.2844.467
Model 942.73310.61844.196
Model 1039.83610.86644.96
Model 1139.60645.488
Disclaimer/Publisher’s Note: The statements, opinions and data contained in all publications are solely those of the individual author(s) and contributor(s) and not of MDPI and/or the editor(s). MDPI and/or the editor(s) disclaim responsibility for any injury to people or property resulting from any ideas, methods, instructions or products referred to in the content.

Share and Cite

MDPI and ACS Style

Piovesan, D.; Ji, X. Lumbar Shear Force Prediction Models for Ergonomic Assessment of Manual Lifting Tasks. Appl. Sci. 2026, 16, 1414. https://doi.org/10.3390/app16031414

AMA Style

Piovesan D, Ji X. Lumbar Shear Force Prediction Models for Ergonomic Assessment of Manual Lifting Tasks. Applied Sciences. 2026; 16(3):1414. https://doi.org/10.3390/app16031414

Chicago/Turabian Style

Piovesan, Davide, and Xiaoxu Ji. 2026. "Lumbar Shear Force Prediction Models for Ergonomic Assessment of Manual Lifting Tasks" Applied Sciences 16, no. 3: 1414. https://doi.org/10.3390/app16031414

APA Style

Piovesan, D., & Ji, X. (2026). Lumbar Shear Force Prediction Models for Ergonomic Assessment of Manual Lifting Tasks. Applied Sciences, 16(3), 1414. https://doi.org/10.3390/app16031414

Note that from the first issue of 2016, this journal uses article numbers instead of page numbers. See further details here.

Article Metrics

Back to TopTop