Sign in to use this feature.

Years

Between: -

Subjects

remove_circle_outline
remove_circle_outline
remove_circle_outline
remove_circle_outline
remove_circle_outline
remove_circle_outline
remove_circle_outline
remove_circle_outline

Journals

Article Types

Countries / Regions

Search Results (74)

Search Parameters:
Keywords = high cetane number

Order results
Result details
Results per page
Select all
Export citation of selected articles as:
20 pages, 976 KB  
Review
Ricinus communis as a Sustainable Alternative for Biodiesel Production: A Review
by Miriam Martínez-González, Miguel Angel Ramos-López, Ana L. Villagómez-Aranda, José Alberto Rodríguez-Morales, Juan Campos-Guillén, Karla Elizabeth Mariscal-Ureta, Aldo Amaro-Reyes, Juan Antonio Valencia-Hernández, Diana Saenz de la O and Carlos Eduardo Zavala-Gómez
Fuels 2025, 6(4), 90; https://doi.org/10.3390/fuels6040090 - 2 Dec 2025
Viewed by 697
Abstract
The current rise in global energy demand and environmental degradation has highlighted the need to use renewable energy as an alternative to fossil fuels. Ricinus communis L. (castor bean oil) has emerged as a promising source for biofuels production due to high oil [...] Read more.
The current rise in global energy demand and environmental degradation has highlighted the need to use renewable energy as an alternative to fossil fuels. Ricinus communis L. (castor bean oil) has emerged as a promising source for biofuels production due to high oil content (45–55%), ability to grow on marginal soils, and resistance to adverse conditions. This review analyzes 93 relevant studies from 2019 to 2025, selected by the PRISMA method (Preferred Reporting Items for Systematic reviews and Meta-Analyses) from databases such as Google Scholar and Web of Science. There were identified that agronomic techniques such as optimized plant spacing, balanced fertilization, and elicitation can significantly increase productivity. Among the production methods used, heterogeneous catalysis (96.8%) and enzymatic processes (90%) stand up for their sustainability and efficiency. However, the main limitation remains the high viscosity of castor biodiesel (14–18 mm2/s at 40 °C), which exceeds international quality standards. Even so, castor biodiesel offers excellent lubricity (reduces injection wear by 20%), has standard oxidative stability, and has a relatively low cetane number (38–42), which poses challenges for ignition quality. Improvement strategies such as blending, enzymatic modification, and additive incorporation have shown potential to mitigate these limitations. The review also addresses environmental benefits, regulatory challenges, and market opportunities where the castor biodiesel offers competitive advantages. Enhancing research and innovation, supported by targeted public policies and technical standards, is essential to overcome current barriers and enable the commercial adoption of castor biodiesel as part of a more sustainable and diversified energy future. Full article
(This article belongs to the Special Issue Biomass Conversion to Biofuels: 2nd Edition)
Show Figures

Figure 1

20 pages, 2263 KB  
Review
Alternative Fuels for General Aviation Piston Engines: A Comprehensive Review
by Florentyna Morawska, Paula Kurzawska-Pietrowicz, Remigiusz Jasiński and Andrzej Ziółkowski
Energies 2025, 18(19), 5299; https://doi.org/10.3390/en18195299 - 7 Oct 2025
Viewed by 1303
Abstract
This review synthesizes recent research on alternative fuels for piston-engine aircraft and related propulsion technologies. Biofuels show substantial promise but face technological, economic, and regulatory barriers to widespread adoption. Among liquid options, biodiesel offers a high cetane number and strong lubricity yet suffers [...] Read more.
This review synthesizes recent research on alternative fuels for piston-engine aircraft and related propulsion technologies. Biofuels show substantial promise but face technological, economic, and regulatory barriers to widespread adoption. Among liquid options, biodiesel offers a high cetane number and strong lubricity yet suffers from poor low-temperature flow and reduced combustion efficiency. Alcohol fuels (bioethanol, biomethanol) provide high octane numbers suited to high-compression engines but are limited by hygroscopicity and phase-separation risks. Higher-alcohols (biobutanol, biopropanol) combine favorable heating values with stable combustion and emerge as particularly promising candidates. Biokerosene closely matches conventional aviation kerosene and can function as a drop-in fuel with minimal engine modifications. Emissions outcomes are mixed across studies: certain biofuels reduce NOx or CO, while others elevate CO2 and HC, underscoring the need to optimize combustion and advance second- to fourth-generation biofuel production pathways. Beyond biofuels, hydrogen engines and hybrid-electric systems offer compelling routes to lower emissions and improved efficiency, though they require new infrastructure, certification frameworks, and cost reductions. Demonstrated test flights with biofuels, synthetic fuels, and hydrogen confirm technical feasibility. Overall, no single option fully replaces aviation gasoline today; instead, a combined trajectory—biofuels alongside hydrogen and hybrid-electric propulsion—defines a pragmatic medium- to long-term pathway for decarbonizing general aviation. Full article
(This article belongs to the Special Issue Internal Combustion Engine Performance 2025)
Show Figures

Figure 1

20 pages, 2201 KB  
Article
Performance and Emission Characteristics of n-Pentanol–Diesel Blends in a Single-Cylinder CI Engine
by Doohyun Kim, Jeonghyeon Yang and Jaesung Kwon
Energies 2025, 18(19), 5083; https://doi.org/10.3390/en18195083 - 24 Sep 2025
Viewed by 1034
Abstract
This work provides a systematic evaluation of the performance and regulated emissions of binary n-pentanol–diesel blends under steady-state conditions, thereby clarifying condition-dependent efficiency–emission trade-offs across multiple loads and speeds. A single-cylinder, air-cooled diesel engine was operated at two speeds (1700 and 2700 rpm) [...] Read more.
This work provides a systematic evaluation of the performance and regulated emissions of binary n-pentanol–diesel blends under steady-state conditions, thereby clarifying condition-dependent efficiency–emission trade-offs across multiple loads and speeds. A single-cylinder, air-cooled diesel engine was operated at two speeds (1700 and 2700 rpm) and four brake mean effective pressure (BMEP) levels (0.25–0.49 MPa) using commercial diesel (D100) and three n-pentanol–diesel blends at volume ratios of 10%, 30%, and 50% (designated D90P10, D70P30, and D50P50, respectively). Brake thermal efficiency (BTE), brake specific energy consumption (BSEC), and brake specific fuel consumption (BSFC) were measured alongside exhaust emissions of nitrogen oxides (NOx), carbon monoxide (CO), hydrocarbon (HC), carbon dioxide (CO2), and smoke opacity. The results show that due to a lower cetane number, high latent heat of vaporization, and reduced heating value, n-pentanol blends incur efficiency and fuel consumption penalties at light to moderate loads. However, these disadvantages diminish or reverse at high loads and speeds: D50P50 surpasses D100 in BTE and matches or improves BSEC and BSFC at 2700 rpm and 0.49 MPa. Emission data reveal that the blend’s fuel-bound oxygen and enhanced mixing provide up to 16% NOx reduction; 35% and 45% reductions in CO and HC, respectively; and a 74% reduction in smoke opacity under demanding conditions, while CO2 per unit work output aligns with or falls below D100 at high load. These findings demonstrate that optimized n-pentanol–diesel blends can simultaneously improve efficiency and mitigate emissions, offering a practical pathway for low-carbon diesel engines. Full article
(This article belongs to the Special Issue Renewable Fuels for Internal Combustion Engines: 2nd Edition)
Show Figures

Figure 1

20 pages, 1435 KB  
Article
Evaluation of Tire Pyrolysis Oil–HVO Blends as Alternative Diesel Fuels: Lubricity, Engine Performance, and Emission Impacts
by Tomas Mickevičius, Agnieszka Dudziak, Jonas Matijošius and Alfredas Rimkus
Energies 2025, 18(16), 4389; https://doi.org/10.3390/en18164389 - 18 Aug 2025
Cited by 2 | Viewed by 1888
Abstract
In the pursuit of sustainable and circular energy sources, this study examines the potential of tire pyrolysis oil (TPO) as a diesel fuel substitute when combined with hydrotreated vegetable oil (HVO), a second-generation biofuel. At varying TPO-HVO blend percentages, this investigation evaluates engine [...] Read more.
In the pursuit of sustainable and circular energy sources, this study examines the potential of tire pyrolysis oil (TPO) as a diesel fuel substitute when combined with hydrotreated vegetable oil (HVO), a second-generation biofuel. At varying TPO-HVO blend percentages, this investigation evaluates engine performance and emissions in relation to critical fuel parameters, including density, viscosity, and lubricity. The high-frequency reciprocating rig (HFRR) method was employed to examine tribological aspects, and a single-cylinder diesel engine was tested under various load conditions. The findings indicated that blends containing up to 30% TPO maintained sufficient lubrication and engine performance to comply with diesel standards, concurrently reducing carbon monoxide and smoke emissions. The increase in TPO proportion resulted in a decrease in cetane number, an increase in NOx emissions, and a rise in viscosity, particularly under full engine load conditions. The utilization of TPO is crucial for converting tire waste into fuel, as it mitigates the accumulation of tire waste and reduces dependence on fossil fuels, despite existing challenges. This study provides critical insights into the efficacy of blending methods and underscores the necessity of additional fuel refining processes, such as cetane enhancement and desulfurization, to facilitate their integration into transportation energy systems. Full article
Show Figures

Figure 1

25 pages, 5318 KB  
Review
Physical, Chemical, and Performance Properties of Biodiesel Fuels: A Comparative Study of Lipid-Based Feedstocks
by Sergii Boichenko, Anna Yakovlieva, Stepan Zubenko and Iryna Shkilniuk
Energies 2025, 18(16), 4274; https://doi.org/10.3390/en18164274 - 11 Aug 2025
Viewed by 2704
Abstract
Contemporary climate challenges and energy security issues once again demonstrate that the transition to alternative motor fuels is a key and priority task for ensuring sustainable development in European Union countries, as well as in Ukraine. This review provides a comparative analysis of [...] Read more.
Contemporary climate challenges and energy security issues once again demonstrate that the transition to alternative motor fuels is a key and priority task for ensuring sustainable development in European Union countries, as well as in Ukraine. This review provides a comparative analysis of the physical, chemical, and performance properties of biodiesel fuels derived from 17 lipid-based feedstocks, including vegetable oils, animal fats, food industry waste, and microalgae. This study investigates the influence of fatty acid composition and transesterification alcohol type on key fuel properties, including density, viscosity, cetane number, pour point, heat value, and flash point. The results show that biodiesel fuels with a high content of saturated fatty acids exhibit higher cetane numbers and energy content, while biodiesel fuels with a high content of unsaturated fatty acids possess improved viscosity and cold flow properties. Camelina, rapeseed, and used cooking oil are identified as being particularly promising feedstocks based on their performance and availability in the European and Ukrainian dimensions. These findings are supported by a SWOT analysis and cost–benefit comparison, providing practical insights into the feasibility and scalability of biodiesel production pathways. Full article
(This article belongs to the Section A: Sustainable Energy)
Show Figures

Figure 1

19 pages, 1453 KB  
Article
Performance and Environmental Sustainability of Fish Waste Biodiesel on Diesel Engines
by Mehmood Ali, Muhammad Shakaib, Asad A. Zaidi, Muhammad Asad Javed, Sohaib Z. Khan and Ashraf Aly Hassan
Sustainability 2025, 17(12), 5385; https://doi.org/10.3390/su17125385 - 11 Jun 2025
Cited by 3 | Viewed by 1592
Abstract
The harmful environmental impacts of fossil fuel combustion, particularly greenhouse gas (GHG) emissions, have driven global interest in developing sustainable biodiesel alternatives. Pakistan imports 294.46 million tons of high-speed diesel (HSD) annually, costing approximately USD 140.237 million. A 10% biodiesel blend could save [...] Read more.
The harmful environmental impacts of fossil fuel combustion, particularly greenhouse gas (GHG) emissions, have driven global interest in developing sustainable biodiesel alternatives. Pakistan imports 294.46 million tons of high-speed diesel (HSD) annually, costing approximately USD 140.237 million. A 10% biodiesel blend could save 29.446 million tons of HSD and USD 14.023 million annually. Fish waste, a significant byproduct of Pakistan’s fishing industry, offers a promising feedstock for biodiesel production. This study explores its conversion into biodiesel and evaluates performance in diesel engines, supporting sustainability and circular economy goals. This study produced fish waste biodiesel through two-step transesterification reactions, achieving a 68% conversion yield. The biodiesel exhibited properties within ASTM D6751 standards, with a calorific value of 40.47 MJ/kg and a cetane number of 55.92. Engine performance and emission tests on LOMBARDINI 15LD225 diesel engines showed significant CO emission reductions with B10 and B20 blends compared to conventional diesel. Simulation using Ricardo Wave software 2019.1 demonstrated a 90% model accuracy for predicting CO emissions. The findings highlight the viability of fish waste-derived biodiesel as a cleaner, renewable alternative to fossil diesel, supporting sustainability and circular economy goals. Full article
(This article belongs to the Section Waste and Recycling)
Show Figures

Figure 1

22 pages, 12462 KB  
Article
Impact of Post-Injection Strategies on Combustion and Emissions in a CTL–Ammonia Dual-Fuel Engine
by Siran Tian, Lina Zhang, Yi Wang and Haozhong Huang
Energies 2025, 18(12), 3077; https://doi.org/10.3390/en18123077 - 11 Jun 2025
Cited by 1 | Viewed by 930
Abstract
Ammonia is a carbon-free fuel with strong potential for emission reduction. However, its high auto-ignition temperature and low reactivity lead to poor ignitability and unstable combustion. In contrast, coal-to-liquid (CTL) fuel offers high cetane number, low sulfur content, and low aromaticity, making it [...] Read more.
Ammonia is a carbon-free fuel with strong potential for emission reduction. However, its high auto-ignition temperature and low reactivity lead to poor ignitability and unstable combustion. In contrast, coal-to-liquid (CTL) fuel offers high cetane number, low sulfur content, and low aromaticity, making it a clean fuel with excellent ignition performance. Blending CTL with ammonia can effectively compensate for ammonia’s combustion limitations, offering a promising pathway toward low-carbon clean combustion. This study explores the effects of post-injection strategies on combustion and emission characteristics of a CTL–ammonia dual-fuel engine under different levels of ammonia energy fractions (AEFs). Results show that post-injection significantly improves combustion and emission performance by expanding ammonia’s the favorable reactivity range of ammonia and enhancing NH3 oxidation, particularly under moderate AEF conditions (5–10%) where ammonia and CTL demonstrate strong synergy. For emissions, moderate post-injection notably reduces CO at low AEFs, while NOX emissions consistently decrease with increasing post-injection quantity, with greater suppression observed at higher AEFs. Soot emissions are also effectively reduced under post-injection conditions. Although total hydrocarbon (THC) emissions increase due to ammonia’s low reactivity, post-injection mitigates this accumulation trend to some extent, demonstrating overall co-benefits for emission control. Comprehensive evaluation indicates that the combination of 5–10% AEF, 8–12 mg post-injection quantity, and post-injection timing of 10–15 °CA achieves the most favorable balance of combustion efficiency, emissions reduction, and reaction stability, confirming the potential of the CTL–ammonia dual-fuel system for clean and efficient combustion. Full article
(This article belongs to the Section I2: Energy and Combustion Science)
Show Figures

Figure 1

26 pages, 16158 KB  
Article
Optimization of Blighia sapida Seed Oil Biodiesel Production: A Sustainable Approach to Renewable Biofuels
by Oyetola Ogunkunle and Christopher C. Enweremadu
Resources 2025, 14(6), 89; https://doi.org/10.3390/resources14060089 - 26 May 2025
Cited by 1 | Viewed by 1587
Abstract
This study aims to optimize the production of biodiesel from Blighia sapida (Ackee) seed oil, a non-edible and underutilized feedstock, as a sustainable alternative to conventional fossil-based diesel fuels. The transesterification of Blighia sapida seed oil was optimized using Response Surface Methodology (RSM) [...] Read more.
This study aims to optimize the production of biodiesel from Blighia sapida (Ackee) seed oil, a non-edible and underutilized feedstock, as a sustainable alternative to conventional fossil-based diesel fuels. The transesterification of Blighia sapida seed oil was optimized using Response Surface Methodology (RSM) with a Box–Behnken experimental design. Three process variables, reaction time, temperature, and methanol-to-oil molar ratio, were selected for modeling biodiesel yield. The resulting biodiesel was characterized by physicochemical properties in accordance with ASTM D6751 standards. The optimal transesterification conditions were found to be 60 min, 60 °C, and a methanol-to-oil ratio of 3:1, yielding 98.36% biodiesel. This represents an improvement over the unoptimized yield of 94.3% at a 6:1 molar ratio. Experimental validation produced an average yield of 97.49%, confirming the model’s reliability. The produced biodiesel exhibited a kinematic viscosity of 4.02 mm2/s, cetane number of 54.6, flash point of 138 °C, and acid value of 0.421 mg KOH/g, which are all within the ASTM D6751 standard limits. This work is among the first to systematically optimize Blighia sapida biodiesel production using RSM. The results demonstrate its viability as a clean-burning, high-quality biodiesel fuel with promising fuel properties and environmental benefits. Its high cetane number and low methanol requirement enhance its combustion performance and production efficiency, positioning Blighia sapida as a competitive feedstock for sustainable biofuel development. Full article
Show Figures

Figure 1

14 pages, 3627 KB  
Article
Performance Assessment of a Diesel Engine Fueled with Biodiesel in a Plateau Environment
by Guangmeng Zhou, Xumin Zhao, Zhongjie Zhang, Zengyong Liu, Surong Dong and Qikai Peng
Energies 2025, 18(8), 1955; https://doi.org/10.3390/en18081955 - 11 Apr 2025
Cited by 3 | Viewed by 957
Abstract
Biodiesel has a higher oxygen content and a higher cetane number, which can compensate for the intake oxygen deficiency in diesel engines in a plateau environment to a certain extent. However, the decreased air density makes biodiesel fuel spray atomization and evaporation more [...] Read more.
Biodiesel has a higher oxygen content and a higher cetane number, which can compensate for the intake oxygen deficiency in diesel engines in a plateau environment to a certain extent. However, the decreased air density makes biodiesel fuel spray atomization and evaporation more difficult due to its higher density and kinematic viscosity, reducing the quality of the air-fuel mixture. The investigations in this study focus on the effects of biodiesel blending ratios and their coupling with injection timing on diesel engine performances under varying altitude conditions. The results show that as the altitude increases, using a high proportion of biodiesel-blended fuel results in a lower degree of torque reduction. The torque reduction of B100 is 14% lower than that of baseline at an altitude of 4500 m. In addition, when the altitude increases by 2000 m, the optimal fuel injection timing is delayed by 4° CA, regardless of the biodiesel blending ratio. The low-temperature combustion heat release ratio of biodiesel engines slightly increases with the delay of injection time, which is increased with the biodiesel blending ratio. For B100 fuel, increasing the pilot injection quantity under high-altitude conditions helps to improve the heat release rate during the early and late stages of combustion and reduce expansion losses. Full article
(This article belongs to the Special Issue Biodiesel: Production, Sources and Environmental Impact)
Show Figures

Figure 1

15 pages, 2006 KB  
Article
Sensitivity Analysis Study of Engine Control Parameters on Sustainable Engine Performance
by Bingfeng Huang, Wei Hong, Kun Shao and Heng Wu
Sustainability 2024, 16(24), 11107; https://doi.org/10.3390/su162411107 - 18 Dec 2024
Cited by 3 | Viewed by 1697
Abstract
With the increasing global concern for environmental protection and sustainable resource utilization, sustainable engine performance has become the focus of research. This study conducts a sensitivity analysis of the key parameters affecting the performance of sustainable engines, aiming to provide a scientific basis [...] Read more.
With the increasing global concern for environmental protection and sustainable resource utilization, sustainable engine performance has become the focus of research. This study conducts a sensitivity analysis of the key parameters affecting the performance of sustainable engines, aiming to provide a scientific basis for the optimal design and operation of engines to promote the sustainable development of the transportation industry. The performance of an engine is essentially determined by the combustion process, which in turn depends on the fuel characteristics and the work cycle mode suitability of the technical architecture of the engine itself (oil-engine synergy). Currently, there is a lack of theoretical support and means of reference for the sensitivity analysis of the core parameters of oil–engine synergy. Recognizing the problems of unclear methods of defining sensitivity parameters, unclear influence mechanisms, and imperfect model construction, this paper proposes an evaluation method system composed of oil–engine synergistic sensitivity factor determination and quantitative analysis of contribution. The system contains characteristic data acquisition, model construction and research, and sensitivity analysis and application. In this paper, a hierarchical SVM regression model is constructed, with fuel physicochemical characteristics and engine control parameters as input variables, combustion process parameters as an intermediate layer, and diesel engine performance as output parameters. After substituting the characteristic data into the model, the following results were obtained, R2 > 0.9, MSE < 0.014, MAPE < 3.5%, indicating the model has high accuracy. On this basis, a sensitivity analysis was performed using the Sobol sensitivity analysis algorithm. It was concluded that the load parameters had the highest influence on the ID (ignition delay time), combustion duration (CD), and combustion temperature parameters of the combustion elements, reaching 0.24 and above. The influence weight of the main spray strategy was greater than that of the pre-injection strategy. For the sensitivity analysis of the premix ratio, the injection timing, EGR (exhaust gas recirculation) rate, and load have significant influence weights on the premix ratio, while the influence weights of the other parameters are not more than 0.10. In addition, the combustion temperature among the combustion elements has the highest influence weights on the NOx, PM (particulate matter) concentration, and mass, as well as on the BTE (brake thermal efficiency) and BSFC (brake specific fuel consumption). The ID has the highest influence weight on HC and CO at 0.35. Analysis of the influence weights of the index parameters shows that the influence weights of the fuel physicochemical parameters are much lower than those of the engine control parameters, and the influence weights of the fuel CN (cetane number) are about 5% greater than those of the volatility, which is about 3%. From the analysis of the proportion of index parameters, the engine control parameter influence weights are in the following order: load > EGR > injection timing > injection pressure > pre-injection timing> pre-injection ratio. Full article
(This article belongs to the Special Issue Technology Applications in Sustainable Energy and Power Engineering)
Show Figures

Figure 1

35 pages, 12976 KB  
Article
Combustion and Emission Characteristics of Methanol–Diesel Dual Fuel Engine at Different Altitudes
by Zhongcheng Wang, Zhu Jie and Xiaoyu Liu
J. Mar. Sci. Eng. 2024, 12(12), 2210; https://doi.org/10.3390/jmse12122210 - 2 Dec 2024
Cited by 8 | Viewed by 3110
Abstract
Currently, in the two technological approaches for using diesel pilot injection to ignite methanol and partially substituting diesel fuel with methanol, neither can fully achieve carbon neutrality in the context of internal combustion engines. Compression-ignition direct-injection methanol marine engines exhibit significant application potential [...] Read more.
Currently, in the two technological approaches for using diesel pilot injection to ignite methanol and partially substituting diesel fuel with methanol, neither can fully achieve carbon neutrality in the context of internal combustion engines. Compression-ignition direct-injection methanol marine engines exhibit significant application potential because of their superior fuel economy and lower carbon emissions. However, the low cetane number of methanol, coupled with its high ignition temperature and latent heat of vaporization, poses challenges, especially amidst increasingly stringent marine emission regulations. It is imperative to comprehensively explore the impacts of the engine geometry, intake boundary conditions, and injection strategies on the engine performance. This paper first investigates the influence of the compression ratio on the engine performance, subsequently analyzes the effects of intake conditions on methanol ignition characteristics, and finally compares the combustion characteristics of the engine under different fuel injection timings. When the compression ratio is set at 13.5, only an injection timing of −30 °CA can initiate methanol compression ignition, but the combustion is not ideal. For compression ratios of 15.5 and 17.5, all the injection timings studied can ignite methanol. Reasonable increases in the intake pressure and intake temperature are beneficial for methanol compression ignition. However, when the intake temperature rises from 400 K to 500 K, a decrease in the thermal efficiency is observed. Particularly, at an injection timing of −30 °CA, both the peak cylinder pressure and peak cylinder temperature are higher, the ignition occurs earlier, the combustion process shifts forward, and the combustion efficiency and indicated thermal efficiency are at higher levels. Furthermore, the overall emissions of NOX, HC, and CO are relatively low. Therefore, selecting an appropriate injection timing is crucial to facilitate the compression ignition and combustion of methanol under low-load conditions. Full article
(This article belongs to the Special Issue Advanced Technologies for New (Clean) Energy Ships)
Show Figures

Figure 1

43 pages, 6496 KB  
Review
A Review of Biodiesel Cold Flow Properties and Its Improvement Methods: Towards Sustainable Biodiesel Application
by Yano Surya Pradana, I Gusti B. N. Makertihartha, Antonius Indarto, Tirto Prakoso and Tatang Hernas Soerawidjaja
Energies 2024, 17(18), 4543; https://doi.org/10.3390/en17184543 - 10 Sep 2024
Cited by 29 | Viewed by 6960
Abstract
Significant concerns over energy security and environmental impact reduction will drive all stakeholders to generate proper alternative energies. Biodiesel is a prospective cleaner-burning biofuel that can contribute on addressing these concerns globally. Presently, pure biodiesel (B100) application is still facing several obstacles, principally [...] Read more.
Significant concerns over energy security and environmental impact reduction will drive all stakeholders to generate proper alternative energies. Biodiesel is a prospective cleaner-burning biofuel that can contribute on addressing these concerns globally. Presently, pure biodiesel (B100) application is still facing several obstacles, principally in terms of its cold flow properties. Improvement in cold flow behavior parameters is the solution to promoting biodiesel implementation at a higher percentage and wider environmental temperature range. This study provides a detailed review of several improvement methods, both physical, chemical, and biological, from various scientific sources, to elevate the cold fluidity characteristics of biodiesel. The investigated methods convincingly offer proper enhancement in the cold flow properties of biodiesel. Mostly, this improvement is accompanied by an alleviation in oxidation stability, cetane number, and/or viscosity. However, the skeletal isomerization method presents promising cold fluidity refinement with minimal reduction in other physical properties. Therefore, the continuous development of these methods promises global sustainable application of high-quality biodiesel. Full article
(This article belongs to the Special Issue Advanced Technologies for Fuel Production and Application)
Show Figures

Figure 1

11 pages, 1027 KB  
Article
Catalytic Valorization of Organic Solid Waste: A Pilot-Scale Run of Sugarcane Bagasse
by Zhaofei Li, Ali Omidkar and Hua Song
Catalysts 2024, 14(9), 568; https://doi.org/10.3390/catal14090568 - 28 Aug 2024
Viewed by 1776
Abstract
Organic solid waste treatment is crucial for enhancing environmental sustainability, promoting economic growth, and improving public health. Following our previous organic solid waste upgrading technique, a further two-step pilot-scale run, using sugarcane bagasse as the feedstock, has been successfully conducted with long-term stability. [...] Read more.
Organic solid waste treatment is crucial for enhancing environmental sustainability, promoting economic growth, and improving public health. Following our previous organic solid waste upgrading technique, a further two-step pilot-scale run, using sugarcane bagasse as the feedstock, has been successfully conducted with long-term stability. Firstly, the sugarcane bagasse was treated under mild conditions (400 °C and 1 bar of CH4), and this catalytic Methanolysis treatment resulted in a bio-oil with a yield of 60.5 wt.%. Following that, it was subjected to a catalytic Methano-Refining process (400 °C and 50 bar of CH4) to achieve high-quality renewable fuel with a liquid yield of 95.0 wt.%. Additionally, this renewable fuel can be regarded as an ideal diesel component with a high cetane number, high heating values, a low freezing point, low density and viscosity, and low oxygen, nitrogen, and sulfur contents. The successful pilot-scale catalytic upgrading of sugarcane bagasse further verified the effectiveness of this methane-assisted organic solid waste upgrading technique and confirmed the high flexibility of this innovative technology for processing a wide spectrum of agricultural and forestry residues. This study will shed light on the further valorization of organic solid waste and other carbonaceous materials. Full article
(This article belongs to the Special Issue Catalyzing the Sustainable Process Paradigm)
Show Figures

Figure 1

14 pages, 6031 KB  
Article
Reaction Mechanism of Pyrolysis and Combustion of Methyl Oleate: A ReaxFF-MD Analysis
by Yu Wei, Xiaohui Zhang, Shan Qing and Hua Wang
Energies 2024, 17(14), 3536; https://doi.org/10.3390/en17143536 - 18 Jul 2024
Cited by 4 | Viewed by 1877
Abstract
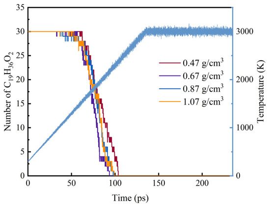
As an emerging environmentally friendly fuel, biodiesel has excellent fuel properties comparable to those of petrochemical diesel. Oleic acid methyl ester, as the main component of biodiesel, has the characteristics of high cetane number and low emission rate of harmful gases. However, the [...] Read more.
As an emerging environmentally friendly fuel, biodiesel has excellent fuel properties comparable to those of petrochemical diesel. Oleic acid methyl ester, as the main component of biodiesel, has the characteristics of high cetane number and low emission rate of harmful gases. However, the comprehensive chemical conversion pathway of oleic acid methyl ester is not clear. In this paper, the reactive force field molecular dynamics simulation (ReaxFF-MD) method is used to construct a model of oleic acid methyl ester pyrolysis and combustion system. Further, the chemical conversion kinetics process at high temperatures (2500 K–3500 K) was studied, and a chemical reaction network was drawn. The research results show that the density of the system has almost no effect on the decomposition activation energy of oleic acid methyl ester, and the activation energies of its pyrolysis and combustion processes are 190.02 kJ/mol and 144.89 kJ/mol, respectively. Ethylene, water and carbon dioxide are the dominant and most accumulated products. From the specific reaction mechanism, the main pyrolysis path of oleic acid methyl ester is the breakage of the C-C bond to produce small molecule intermediates, and subsequent transformation of the ester group radical into carbon oxides. The combustion path is the evolution of long-chain alkanes into short-carbon-chain gaseous products, and these species are further burned to form stable CO2 and H2O. This study further discusses the microscopic combustion kinetics of biodiesel, providing a reference for the construction of biodiesel combustion models. Based on this theoretical study, the understanding of free radicals, intermediates, and products in the pyrolysis and combustion of biomass can be deepened. Full article
(This article belongs to the Section I2: Energy and Combustion Science)
Show Figures

Figure 1

33 pages, 1578 KB  
Review
Renewable Methanol as a Fuel for Heavy-Duty Engines: A Review of Technologies Enabling Single-Fuel Solutions
by Yi-Hao Pu, Quinten Dejaegere, Magnus Svensson and Sebastian Verhelst
Energies 2024, 17(7), 1719; https://doi.org/10.3390/en17071719 - 3 Apr 2024
Cited by 19 | Viewed by 6083
Abstract
To meet climate targets, a global shift away from fossil fuels is essential. For sectors where electrification is impractical, it is crucial to find sustainable energy carriers. Renewable methanol is widely considered a promising fuel for powering heavy-duty applications like shipping, freight transport, [...] Read more.
To meet climate targets, a global shift away from fossil fuels is essential. For sectors where electrification is impractical, it is crucial to find sustainable energy carriers. Renewable methanol is widely considered a promising fuel for powering heavy-duty applications like shipping, freight transport, agriculture, and industrial machines due to its various sustainable production methods. While current technological efforts focus mainly on dual-fuel engines in shipping, future progress hinges on single-fuel solutions using renewable methanol to achieve net-zero goals in the heavy-duty sector. This review examines the research status of technologies enabling methanol as the sole fuel for heavy-duty applications. Three main categories emerged from the literature: spark-ignition, compression-ignition, and pre-chamber systems. Each concept’s operational principles and characteristics regarding efficiency, stability, and emissions were analyzed. Spark-ignition concepts are a proven and cost-effective solution with high maturity. However, they face limitations due to knock issues, restricting power output with larger bore sizes. Compression-ignition concepts inherently do not suffer from end-gas autoignition, but encounter challenges related to ignitability due to the low cetane number of methanol. Nonetheless, various methods for achieving autoignition of methanol exist. To obtain stable combustion at all load points, a combination of techniques will be required. Pre-chamber technology, despite its lower maturity, holds promise for extending the knock limit and enhancing efficiency by acting as a distributed ignition source. Furthermore, mixing-controlled pre-chamber concepts show potential for eliminating knock and the associated size and power limitations. The review concludes by comparing each technology and identifying research gaps for future work. Full article
(This article belongs to the Special Issue Internal Combustion Engine: Research and Application—2nd Edition)
Show Figures

Figure 1

Back to TopTop