Sign in to use this feature.

Years

Between: -

Subjects

remove_circle_outline
remove_circle_outline
remove_circle_outline
remove_circle_outline
remove_circle_outline
remove_circle_outline
remove_circle_outline
remove_circle_outline
remove_circle_outline

Journals

remove_circle_outline
remove_circle_outline
remove_circle_outline
remove_circle_outline
remove_circle_outline
remove_circle_outline
remove_circle_outline
remove_circle_outline
remove_circle_outline
remove_circle_outline
remove_circle_outline
remove_circle_outline
remove_circle_outline
remove_circle_outline
remove_circle_outline
remove_circle_outline
remove_circle_outline
remove_circle_outline
remove_circle_outline
remove_circle_outline
remove_circle_outline
remove_circle_outline
remove_circle_outline
remove_circle_outline
remove_circle_outline
remove_circle_outline
remove_circle_outline
remove_circle_outline

Article Types

Countries / Regions

remove_circle_outline
remove_circle_outline
remove_circle_outline
remove_circle_outline
remove_circle_outline
remove_circle_outline
remove_circle_outline
remove_circle_outline

Search Results (4,866)

Search Parameters:
Keywords = high absorbency

Order results
Result details
Results per page
Select all
Export citation of selected articles as:
18 pages, 4799 KB  
Article
Performance Evaluation of Stress-Absorbing Layer Mixtures Incorporating High-Content Oil-Rich RAP Fine Aggregate
by Yaoting Zhu, Xiangyang Fan, Bin Liu, Yuchao Gao, Xin Yu and Wei Tang
Sustainability 2025, 17(20), 9230; https://doi.org/10.3390/su17209230 - 17 Oct 2025
Abstract
The utilization of oil-rich reclaimed asphalt pavement fine aggregate (O-RAP), characterized by its high asphalt content, which has inherent compatibility with the high asphalt demand of stress-absorbing layer (SAL) mixtures, enables significant recycling rates, thereby promoting resource efficiency and a promising pathway for [...] Read more.
The utilization of oil-rich reclaimed asphalt pavement fine aggregate (O-RAP), characterized by its high asphalt content, which has inherent compatibility with the high asphalt demand of stress-absorbing layer (SAL) mixtures, enables significant recycling rates, thereby promoting resource efficiency and a promising pathway for sustainable infrastructure development. This study provides a comprehensive evaluation of the rheological properties of recycled asphalt binder through dynamic shear rheometer and bending beam rheometer tests. Furthermore, the pavement performance of SAL mixtures was systematically assessed via fatigue testing, moisture susceptibility evaluation, rutting resistance analysis, and overlay testing. The results indicate that increasing the O-RAP content enhances the complex shear modulus while reducing the phase angle, suggesting improved stiffness but reduced flexibility of the binder. In SAL mixtures, higher O-RAP content was associated with decreased fatigue life, moisture stability, and low-temperature cracking resistance, yet it contributed to improved resistance to reflective cracking and high-temperature rutting. Pearson correlation analysis further revealed that the fatigue life of the binder exhibits a strong positive correlation with creep rate and significant negative correlations with creep stiffness modulus, high-temperature stability, and reflective cracking resistance. These findings underscore the viability of high-content O-RAP incorporation in SAL mixtures as a technically sound and environmentally sustainable strategy for low-carbon pavement construction, offering significant reductions in virgin material consumption and associated carbon emissions. Full article
Show Figures

Figure 1

19 pages, 1524 KB  
Article
Potential Rapid Quantification of Antioxidant Capacity of Olea europaea L. Leaves by Near-Infrared Spectroscopy Using Different Assays
by Manuel Piqueras-García, Jorge F. Escobar-Talavera, María Esther Martínez-Navarro, Gonzalo L. Alonso and Rosario Sánchez-Gómez
Antioxidants 2025, 14(10), 1246; https://doi.org/10.3390/antiox14101246 - 17 Oct 2025
Abstract
The olive tree has exceptional agricultural and economic importance in Mediterranean regions due to its fruit, which is used to produce olive oil. However, the olive oil industry generates a significant amount of waste, including leaves from Olea europaea L. These leaves contain [...] Read more.
The olive tree has exceptional agricultural and economic importance in Mediterranean regions due to its fruit, which is used to produce olive oil. However, the olive oil industry generates a significant amount of waste, including leaves from Olea europaea L. These leaves contain a high concentration of bioactive compounds, predominantly phenolic ones, which are well known for their antioxidant properties and health benefits. Determining antioxidant capacity involves the use of different assays based on absorbance (DPPH, 2,2-diphenyl-1-picrylhydrazyl; and ABTS, 2,2′-azino-bis(3-ethylbenzothiazoline-6-sulfonic acid)) and fluorescence (ORAC, Oxygen Radical Absorbance Capacity), which require reagents and long waiting times. Therefore, having a non-destructive technique capable of providing this information would be useful. To explore this, 120 olive leaf samples were analyzed using the three antioxidant assays to quantify their total antioxidant capacity. Predictive models were successfully developed for each of the three methods, achieving coefficients of determination (R2) between 0.9 and 1 across calibration, validation, and prediction. Additionally, high residual predictive deviation (RPD) values were obtained, indicating that the models exhibit strong reliability and predictive performance. Full article
Show Figures

Figure 1

16 pages, 10199 KB  
Article
Application of Double-Chamber Airbags as Ship Fenders in Ship Collision Scenarios
by Zhengyao Wang, Kun Liu, Zhenguo Gao, Weijian Qiu and Qingao Meng
J. Mar. Sci. Eng. 2025, 13(10), 1993; https://doi.org/10.3390/jmse13101993 - 17 Oct 2025
Abstract
Ship-to-ship impacts can lead to serious outcomes such as environmental contamination, cargo and economic losses, and risks to crew safety. The steady growth of maritime traffic has amplified the likelihood of such incidents, emphasizing the necessity of more reliable mitigation technologies. Conventional protective [...] Read more.
Ship-to-ship impacts can lead to serious outcomes such as environmental contamination, cargo and economic losses, and risks to crew safety. The steady growth of maritime traffic has amplified the likelihood of such incidents, emphasizing the necessity of more reliable mitigation technologies. Conventional protective systems are often inadequate for present-day demands, underscoring the need for improved energy-absorbing solutions. In this study, a double-chamber airbag is developed to strengthen the lateral crash resistance of vessels, particularly under deliberate collision conditions. The model is analyzed using finite element simulations, which are further verified through experimental comparison to ensure computational accuracy. The proposed configuration is benchmarked against a single-chamber airbag, and the findings reveal its superior capability in attenuating impact forces. Parametric analyses under varying velocities and impact angles confirm that the new design offers stable crashworthiness and effectively redistributes collision energy. At low speeds, it reduces local deformation, while under high-energy or oblique impacts, it cushions the structure and prevents severe hull damage. The observed trends demonstrate the potential of the double-chamber concept for future ship protection applications in complex operational environments. Full article
Show Figures

Figure 1

18 pages, 5303 KB  
Article
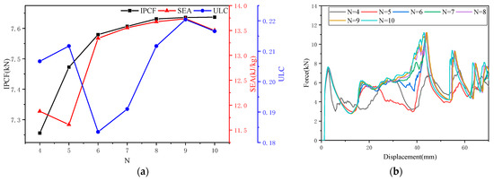
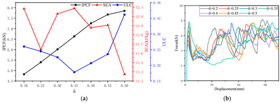
Mechanical Analysis and Multi-Objective Optimization of Origami-Inspired Tree-Shaped Thin-Walled Structures Under Axial Impacts
by Honghao Zhang, Zilong Meng, Jixiang Zhang, Xinyu Hao, Shangbin Zhang and Niancheng Guo
Biomimetics 2025, 10(10), 705; https://doi.org/10.3390/biomimetics10100705 - 17 Oct 2025
Abstract
Rail vehicles, frequently utilized as a heavy-duty, high-speed means of transportation, have been observed to result in substantial casualties and economic losses in the event of accidents. Energy-absorbing structures are critical to achieving passive safety, effectively absorbing and dissipating energy. The present study [...] Read more.
Rail vehicles, frequently utilized as a heavy-duty, high-speed means of transportation, have been observed to result in substantial casualties and economic losses in the event of accidents. Energy-absorbing structures are critical to achieving passive safety, effectively absorbing and dissipating energy. The present study utilizes numerical simulation to assess the performance of origami-inspired tree-shaped structures (OTSs) under diverse surface configurations. OTSs offer significant advantages in reducing IPCF without substantially compromising other performance metrics. This experimental approach is employed to validate the efficacy of a finite element model. A multi-criteria decision-making method integrates MOEA/D-DAE and TOPSIS. This integrated approach is employed to identify optimal structures. The validity of the method was established through a comparison of the predicted results with the outcomes of finite element analysis. The findings demonstrated a 31.2% reduction in IPCF, a 3.6% increase in SEA, and a 10.4% rise in ULC. The optimized IPCF is 4.9919 kN, SEA is 12.316 kJ/kg. The collective results indicate the efficacy of the method as a tool for analyzing and optimizing energy-absorbing structures. Full article
(This article belongs to the Special Issue Computer-Aided Biomimetics: 3rd Edition)
Show Figures

Figure 1

12 pages, 262 KB  
Article
Evaluation of the Performance of StypCelTM Absorbable Hemostat for Intraoperative Hemorrhage Control in Neurosurgery: A Multicenter, Single-Arm Study in Riga, Latvia
by Kaspars Auslands, Evelina Kocane, Evija Bergfelde, Egils Valeinis, Julija Dolgopolova, Jekabs Aksiks and Igors Aksiks
Medicina 2025, 61(10), 1862; https://doi.org/10.3390/medicina61101862 - 16 Oct 2025
Abstract
Background and Objectives: Intraoperative bleeding during neurosurgical procedures poses a significant risk by increasing morbidity and mortality, obscuring the surgical field and prolonging operative time and hospitalization. Effective hemostasis is therefore essential, frequently necessitating the use of topical hemostatic agents. This study aimed [...] Read more.
Background and Objectives: Intraoperative bleeding during neurosurgical procedures poses a significant risk by increasing morbidity and mortality, obscuring the surgical field and prolonging operative time and hospitalization. Effective hemostasis is therefore essential, frequently necessitating the use of topical hemostatic agents. This study aimed to evaluate the performance of a plant-derived oxidized regenerated cellulose (ORC) hemostatic agent StypCel™ Absorbable Hemostat (Medprin Regenerative Medical Technologies Co., Ltd.) in various neurosurgical interventions, including intracranial tumor resections, spinal surgeries, trigeminal neuralgia operations, cerebrospinal fluid fistula repair and ventriculoperitoneal shunt implantation. The study aimed to assess its performance in these procedures due to the high risk of intraoperative bleeding and the challenges of achieving hemostasis in delicate neural structures. Materials and Methods: This prospective, single-arm clinical study included 46 patients who underwent neurosurgical procedures at three neurosurgerical clinics in Riga, Latvia. The primary endpoint was the rate of effective bleeding control achieved within 5 min of StypCel™ application. Safety assessments included monitoring for central nervous system infections (CNSI), intracranial granuloma formation, new-onset neurological deficits, seizures, anaphylactic reactions or device malfunction. All adverse events (AEs) and serious adverse events (SAEs) were documented during the postoperative follow-up. Results: The cohort consisted of 46 patients (29 females and 17 males), including 20 with neoplastic intracranial lesions and 26 with other neurosurgical pathologies. Effective bleeding control within 5 min was achieved in 93.5% of cases (95% CI: 82.1–98.6%). In three patients, bleeding control exceeded 5 min due to unexpected arterial hemorrhage encountered during intracranial tumor resection. No device-related AEs, SAEs, CNSIs or granuloma formations were reported throughout the follow-up period. Conclusions: The findings demonstrate that StypCel™ Absorbable Hemostat is a safe and effective adjunct for achieving intraoperative hemostasis in neurosurgical procedures. Its favorable safety profile and high hemostatic success rate support its clinical utility, particularly for controlling low-pressure venous or capillary bleeding. Further comparative and long-term studies are warranted to validate these results in broader surgical settings. Full article
(This article belongs to the Section Neurology)
16 pages, 2947 KB  
Article
Broadband Three-Mode Tunable Metamaterials Based on Graphene and Vanadium Oxide
by Hao Wen, Shouwei Wang, Yiyang Cai, Zhuochen Zou, Zheng Qin and Tianyu Gao
Nanomaterials 2025, 15(20), 1572; https://doi.org/10.3390/nano15201572 - 16 Oct 2025
Viewed by 100
Abstract
Terahertz waves have great potential for applications in security imaging, wireless communication, and other fields, but efficient and tunable terahertz-absorbing devices are the key to their technological development. In this paper, a tunable terahertz metamaterial based on graphene and vanadium dioxide materials is [...] Read more.
Terahertz waves have great potential for applications in security imaging, wireless communication, and other fields, but efficient and tunable terahertz-absorbing devices are the key to their technological development. In this paper, a tunable terahertz metamaterial based on graphene and vanadium dioxide materials is proposed. When the vanadium dioxide conductivity is 1.6 × 105 S/m and the Fermi energy level of graphene is 0.75 eV, the metamaterial exhibits high absorptivity exceeding 90% in ultra-broadband of 2.05–14.03 THz; when the Fermi energy level of graphene is adjusted to 0 eV, the high absorption wavelength range narrowed to 4.07–13.80 THz; when the vanadium dioxide conductivity is adjusted to 200 S/m, the metamaterial exhibits high transmissivity exceeding 80% in the wavelength range up to 15 THz. Additionally, the metamaterial is insensitive to polarization angles and incident angles, allowing it to adapt to changes in the angle of incidence and polarization in practical applications. The metamaterial has potential applications in optical switches, electromagnetic wave stealth devices, and filtering devices. Full article
Show Figures

Figure 1

21 pages, 1985 KB  
Article
Bio-Solid Fuel from Wheat Straw via Microwave Torrefaction: Process Optimization and Environmental Assessment
by Yunji Pei, Zimo Liang, Xuexue Chen, Xinran Wang, Wenlin Zhou, Weiyu Lu and Li Jiang
Processes 2025, 13(10), 3302; https://doi.org/10.3390/pr13103302 - 15 Oct 2025
Viewed by 251
Abstract
There is a need to address the limitations of wheat straw (WS) as a raw biomass fuel, promote its valorisation into a high-quality renewable solid fuel, and enable this fuel to replace fossil fuels in applications such as power plants and industrial boilers. [...] Read more.
There is a need to address the limitations of wheat straw (WS) as a raw biomass fuel, promote its valorisation into a high-quality renewable solid fuel, and enable this fuel to replace fossil fuels in applications such as power plants and industrial boilers. This study focused on optimizing microwave torrefaction parameters to enhance key fuel properties. Optimal conditions were determined via the Box–Behnken design (BBD) within Response Surface Methodology (RSM) as 422.32 W of microwave power, 14.95 min of irradiation time, and a 15 g microwave absorber, resulting in a 69.12% mass yield, an 18.44 MJ/kg higher heating value (HHV) surpassing lignite at 16.76 MJ/kg, and a 25.50% Energy-Mass Co-efficiency Index (EMCI). Fourier transform infrared spectroscopy (FTIR) and thermogravimetric analysis/derivative thermogravimetric analysis (TG/DTG) were conducted to gain insights about chemical composition and thermal stability variations due to torrefaction. LCA showed that electricity produced from 1 ton of torrefied WS reduces CO2 emissions by 259.26 kg CO2eq compared to electricity generated from bituminous coal. From an economic perspective, the usage of torrefied WS for power generation lead to a net profit of CNY 435.19/ton. This scalable technology, by valorising agricultural waste for fuel production, delivers dual environmental and economic benefits, laying the groundwork for industrial deployment. Full article
(This article belongs to the Special Issue Biofuels Production Processes)
Show Figures

Figure 1

11 pages, 3558 KB  
Communication
Design and Fabrication of Thermopile Infrared Detector Based on Carbon Black Nanoparticle Absorption Layer
by Cheng Lei, Zhenyu Zhang, Boyou Shao, Xiangyang Ren, Tengteng Li, Fengchao Li and Ting Liang
Photonics 2025, 12(10), 1016; https://doi.org/10.3390/photonics12101016 - 14 Oct 2025
Viewed by 157
Abstract
This study demonstrates a high-performance thermopile infrared detector that incorporates a carbon black nanoparticle (CBNP) absorption layer. To overcome the limitations associated with conventional infrared-absorbing materials—including high cost, complex fabrication, and constrained spectral response—a highly porous CBNP thin-film absorption layer was deposited onto [...] Read more.
This study demonstrates a high-performance thermopile infrared detector that incorporates a carbon black nanoparticle (CBNP) absorption layer. To overcome the limitations associated with conventional infrared-absorbing materials—including high cost, complex fabrication, and constrained spectral response—a highly porous CBNP thin-film absorption layer was deposited onto the thermopile sensing area using inkjet printing. Combined with an optimized microcavity design, this approach significantly enhances the photothermal conversion efficiency of the device. Experimental results indicate that the detector equipped with the CBNP absorption layer achieves a responsivity of 47.9 V/W and a detectivity of 1.14 × 108 cm·Hz1/2·W−1. These values represent improvements of 34.55% in responsivity and 34.28% in detectivity, respectively, compared to a reference device without the CBNP layer. This work provides a promising strategy for the development of low-cost yet high-performance infrared detectors. Full article
Show Figures

Figure 1

24 pages, 3392 KB  
Article
Photothermal Evaluation of Aqueous Magnetite Nanodispersions: Accuracy, Precision, and Limitations
by Vladislav R. Khabibullin, Daria-Maria V. Ratova, Ksenia O. Andreeva, Yulia S. Vershinina, Ivan V. Mikheev, Sergei N. Shtykov and Mikhail A. Proskurnin
Molecules 2025, 30(20), 4084; https://doi.org/10.3390/molecules30204084 - 14 Oct 2025
Viewed by 119
Abstract
The thermal and optical properties of aqueous dispersions of magnetite nanoparticles were studied by dual-beam thermal-lens spectrometry. Surface-modified magnetite nanoparticles with an average crystal size of 7.5 nm were synthesized by a simple, one-stage method of coprecipitation followed by surface functionalization. For this [...] Read more.
The thermal and optical properties of aqueous dispersions of magnetite nanoparticles were studied by dual-beam thermal-lens spectrometry. Surface-modified magnetite nanoparticles with an average crystal size of 7.5 nm were synthesized by a simple, one-stage method of coprecipitation followed by surface functionalization. For this purpose, the most popular and promising modifiers based on surfactants, polyelectrolytes, biopolymers and organic acids were used. The effect of the concentration of nanoparticles (in the range from 0.01 to 5 mg/L) and the nature of the surface modifier on the thermal diffusivity of the dispersion was studied. It was found that at concentrations of 0.4–0.6 mg/L, the dispersions exhibit heat-accumulating properties, which may be promising in the development of a magnetically controlled heat-conducting liquid. Thermal lens spectrometry in the steady-state measurement mode was used to reveal the processes of deposition and adsorption of magnetite nanoparticles on the surface of a quartz cell, leading to an apparent increase in thermal diffusivity by more than 30%. The paper touches upon the issues of accuracy and precision of temperature diffusion measurements, processing, and presentation of measurement results of time-resolved transient and steady-state signals for dispersed systems. The ratio of the change in the steady-state thermal-lens signals to the change in concentration regarding the concentration (dϑ/dc vs. c) provides a way to identify a systematic error at a low level (less than 5%) of thermal-lens measurements caused by a high concentration (or optical absorption) of the object. Various options for signal normalization (in terms of power, absorbance, and pure-solvent signal) are considered, and their advantages and disadvantages are discussed. An approach to using thermal diffusivity as a function of the steady-state signal of the sample is proposed. This approach allows for a comparative thermal-lens analysis of objects with different optical and thermal properties. Full article
Show Figures

Figure 1

11 pages, 3116 KB  
Article
AI-Assisted Identification of the Functional Residues of Ginsenoside Biosynthesis-Associated UGTs
by Kisook Jung, Narae Kim, Chaelin Park and Jaewook Kim
BioChem 2025, 5(4), 36; https://doi.org/10.3390/biochem5040036 - 14 Oct 2025
Viewed by 89
Abstract
Background/Objectives: Ginsenosides, one of the most pharmaceutically valuable chemical compounds in Panax ginseng, are synthesized with several enzymes, including UGTs. UGTs determine absorbability and physiological function upon consumption. Thus, understanding the functional residues of ginsenoside biosynthesis-associated UGTs is crucial for enhancing [...] Read more.
Background/Objectives: Ginsenosides, one of the most pharmaceutically valuable chemical compounds in Panax ginseng, are synthesized with several enzymes, including UGTs. UGTs determine absorbability and physiological function upon consumption. Thus, understanding the functional residues of ginsenoside biosynthesis-associated UGTs is crucial for enhancing the production of valuable ginsenoside varieties. Methods: We collected the UGT homologs of high sequence similarity from two rate-limiting steps of the biosynthetic pathway. The 3D structures of these proteins were predicted using the AlphaFold3 model. The ligand-binding interactions of these UGTs were examined using SwissDock and CB-Dock2. Enzyme kinetics were analyzed with MPEK. Using these tools, we performed in silico mutagenic analyses to identify the functional residues of UGTs in detail. Results: We elucidated the molecular mechanisms of experimentally verified functional residues in UGTs, many of which were associated with optimal ligand interaction angles that expose target carbons. We also identified putatively important amino acid residues that mediate ligand interactions and modulate reaction kinetics by more than 25%. In this study, residues at positions 62, 224, 397, and 398 were shown to significantly influence enzyme kinetics. Conclusions: Our study provides the first structural analysis of the functional residues of ginsenoside biosynthetic UGTs based on their 3D structures. We identified several key amino acid residues essential for proper ginsenoside biosynthesis: (1) residues determining ligand interactions, (2) residues modulating ligand binding angles, and (3) residues affecting reaction kinetics. Our findings demonstrate an effective approach to identifying functional residues in plant enzymes and present valuable UGT candidates for future experimental validation. Full article
(This article belongs to the Special Issue Feature Papers in BioChem, 2nd Edition)
Show Figures

Figure 1

22 pages, 6581 KB  
Article
Near-Field Aerodynamic Noise of Subway Trains: Comparative Mechanisms in Open Tracks vs. Confined Tunnels
by Xiao-Ming Tan, Zi-Xi Long, Cun-Rui Xiang, Xiao-Hong Zhang, Bao-Jun Fu, Xu-Long He and Yuan-Sheng Chen
Symmetry 2025, 17(10), 1724; https://doi.org/10.3390/sym17101724 - 13 Oct 2025
Viewed by 110
Abstract
As the operational speeds of subway trains in China incrementally increase to 160 km/h, the enclosed nature of tunnel environments poses significant challenges by restricting free airflow. This limitation leads to intense airflow disturbances and turbulence phenomena within tunnels, consequently exacerbating aerodynamic noise [...] Read more.
As the operational speeds of subway trains in China incrementally increase to 160 km/h, the enclosed nature of tunnel environments poses significant challenges by restricting free airflow. This limitation leads to intense airflow disturbances and turbulence phenomena within tunnels, consequently exacerbating aerodynamic noise issues. This study utilizes compressible Large Eddy Simulation (LES) and acoustic finite element methods to construct a computational model of aerodynamic noise for subway trains within tunnels. It employs this model to compare and analyze the near-field noise characteristics of subway trains traveling at 120 km/h on open tracks versus in infinitely long tunnels. The findings indicate that the distribution of sound pressure levels on the surfaces of trains within tunnels is comparatively uniform, overall being 15 dB higher than those on open tracks. The presence of a high blockage ratio in tunnels intensifies the cavity flow between two air conditioning units, making it the region with the highest sound pressure level. The surface sound pressure spectrum within the tunnel shows greater similarity across different segments, with low-frequency sound pressure levels notably enhanced and high-frequency levels attenuating more rapidly compared to open tracks. It is recommended that in tunnels with high blockage ratios, the positioning of subway train air conditioning should not be too high, overly concentrated, submerged, or without the use of sound-absorbing materials. Such adjustments can effectively reduce the sound pressure levels in these areas, thereby enhancing the acoustic performance of the train within the tunnel. Full article
(This article belongs to the Section Engineering and Materials)
Show Figures

Figure 1

8 pages, 1353 KB  
Communication
Plant Cuticles Exhibit Significant Mid-Infrared Emissivity in the Atmospheric Windows
by Antonio Heredia, Ana González-Moreno, José J. Benítez and Eva Domínguez
Int. J. Mol. Sci. 2025, 26(20), 9917; https://doi.org/10.3390/ijms26209917 - 12 Oct 2025
Viewed by 198
Abstract
As sessile organisms, plants have developed strategies to cope with exposure to high radiation. The plant cuticle is located at the interface between the plant and the surrounding environment, thus acting as a first barrier that protects plants against environmental conditions, including solar [...] Read more.
As sessile organisms, plants have developed strategies to cope with exposure to high radiation. The plant cuticle is located at the interface between the plant and the surrounding environment, thus acting as a first barrier that protects plants against environmental conditions, including solar radiation. The isolated cuticles displayed notable absorptance in the infrared spectral range which, according to Kirchhoff’s law of thermal radiation, equals the emission dissipation ability. Comparison among the different cuticles showed that a significant range of their reflectance, transmittance, and absorbance spectra match the spectral regions known as atmospheric windows, between 3–4 and 8–13 microns, located within the mid-infrared region (MIR). They allow energy to pass through into the outer space. These optical parameters varied between cuticles from different plant species and they were not a simple function of the cuticle’s thickness but the product of its specific composition in combination with its molecular arrangement. Full article
(This article belongs to the Special Issue Advanced Spectroscopy Research: New Findings and Perspectives)
Show Figures

Figure 1

18 pages, 4629 KB  
Article
Research on Aging Characteristics and Interfacial Adhesion Performance of Polyurethane-Modified Asphalt
by Meng Wang, Jixian Li, Lu Chen, Changyun Shi and Jinguo Ge
Coatings 2025, 15(10), 1194; https://doi.org/10.3390/coatings15101194 - 11 Oct 2025
Viewed by 238
Abstract
Polyurethane (PU), owing to its superior physicochemical properties, is considered an ideal modifier for asphalt. To improve the mechanical performance and service durability of asphalt pavements, PU-modified asphalts with varying dosages were prepared and evaluated through laboratory experiments and molecular dynamics simulations. Rheological, [...] Read more.
Polyurethane (PU), owing to its superior physicochemical properties, is considered an ideal modifier for asphalt. To improve the mechanical performance and service durability of asphalt pavements, PU-modified asphalts with varying dosages were prepared and evaluated through laboratory experiments and molecular dynamics simulations. Rheological, thermodynamic, and mechanical tests, as well as asphalt–aggregate adhesion energy calculations, were conducted to elucidate the modification mechanism, aging resistance, and interfacial behavior. The results showed that PU incorporation significantly enhanced rutting resistance at high temperatures, flexibility at low temperatures, and overall load-bearing capacity. Under ultraviolet and long-term aging, PU-modified asphalts exhibited notably lower performance degradation than base asphalt. At the molecular level, PU absorbed light fractions and formed a cross-linked network, reducing the free volume fraction and strengthening resistance to deformation. Moreover, PU substantially improved asphalt–aggregate adhesion energy, thereby reinforcing interfacial bonding. These findings provide theoretical insights and practical guidance for the optimal design and engineering application of PU-modified asphalt. Full article
Show Figures

Figure 1

17 pages, 4580 KB  
Article
Physicochemical and Flavor Characteristics of Maillard Reaction Products from Nile Tilapia Fish Skin Collagen Peptides Induced by Four Reducing Sugars
by Wei Wu, Xilong Wang, Jiayuan Chen, Jingjie Tan and Yu Fu
Foods 2025, 14(19), 3453; https://doi.org/10.3390/foods14193453 - 9 Oct 2025
Viewed by 403
Abstract
Collagen peptides derived from fish skin may be limited in food applications due to undesirable flavors. To investigate the effects of Maillard reaction modification on their physicochemical and flavor properties, collagen peptides from tilapia skin were prepared via enzymatic hydrolysis, followed by the [...] Read more.
Collagen peptides derived from fish skin may be limited in food applications due to undesirable flavors. To investigate the effects of Maillard reaction modification on their physicochemical and flavor properties, collagen peptides from tilapia skin were prepared via enzymatic hydrolysis, followed by the Maillard reaction with four reducing sugars (xylose, ribose, glucose and glucosamine) through a combined procedure involving simultaneous enzyme inactivation and Maillard reaction at 100 °C. The resultant Maillard reaction products (MRPs) were characterized by analyzing free amino groups, peptide size distribution and color difference, while the reaction progression was monitored using UV absorption and fluorescence spectroscopy. The flavor profile of MRPs was analyzed through quantitative descriptive sensory evaluation and GC-MS coupled with principal component analysis. Among the four reducing sugars tested, glucosamine-induced Maillard reaction products exhibited the most pronounced physicochemical and sensory improvements. Specifically, glucosamine-MRPs showed the greatest reduction in free amino groups (0.69 μmol/L) and a notable decrease in high-molecular-weight peptides (3.31%), accompanied by an increase in low-molecular-weight fractions. Colorimetric analysis revealed a marked color change (ΔE = 31.78), and spectral analysis further confirmed intensified UV absorbance and fluorescence intensity in the glucosamine group, indicating advanced reaction progression. Sensory evaluation demonstrated a significant reduction in bitterness and enhancement of umami and saltiness. Moreover, GC-MS analysis revealed that the glucosamine-treated group exhibited the most favorable volatile profile, characterized by an increase in aromatic compounds and a substantial decrease in undesirable odorants. This study provides a theoretical basis for controlling the undesirable flavor of collagen peptides through low-extent Maillard reactions by different reducing sugars. Full article
(This article belongs to the Section Food Physics and (Bio)Chemistry)
Show Figures

Figure 1

13 pages, 1838 KB  
Article
C-Reactive Protein Levels Predict Improvement in the Liver Functional Reserve by Long-Term Rifaximin Treatment
by Kensuke Kitsugi, Kazuhito Kawata, Go Murohisa, Yashiro Yoshizawa, Masaharu Kimata, Yosuke Kobayashi, Shuhei Unno, Hidenao Noritake, Takeshi Chida and Yoshisuke Hosoda
Diseases 2025, 13(10), 331; https://doi.org/10.3390/diseases13100331 - 8 Oct 2025
Viewed by 236
Abstract
Objectives: Rifaximin is a non-absorbable antibiotic that has an efficacy for hepatic encephalopathy (HE). We previously demonstrated that rifaximin improved liver functional reserve, but this was a single-center study with a limited number of cases, and there were few cases of long-term use. [...] Read more.
Objectives: Rifaximin is a non-absorbable antibiotic that has an efficacy for hepatic encephalopathy (HE). We previously demonstrated that rifaximin improved liver functional reserve, but this was a single-center study with a limited number of cases, and there were few cases of long-term use. Here, we conducted a multicenter study to evaluate the efficacy of long-term rifaximin administration on the liver functional reserve. Methods: A multicenter retrospective study was conducted on cirrhotic patients who received rifaximin for more than 12 months. We evaluated the efficacy of long-term rifaximin administration on the liver functional reserve. Results: A total of 65 cirrhotic patients were enrolled. Administration of rifaximin for 12 months significantly improved the Child–Pugh score (CPS) and albumin–bilirubin (ALBI) score. Regarding the parameters of the CPS, albumin scores significantly improved in addition to HE scores at 12 months. Univariate and multivariate analysis revealed that high C-reactive protein (CRP) levels (>0.69 mg/dL) at baseline were the predictive factor for improvement in the liver functional reserve. Conclusions: This study suggests that long-term rifaximin administration may improve the liver functional reserve in cirrhotic patients through improvement in albumin levels. CRP levels predict improvement in the liver functional reserve. Full article
(This article belongs to the Section Gastroenterology)
Show Figures

Figure 1

Back to TopTop