Sign in to use this feature.

Years

Between: -

Subjects

remove_circle_outline
remove_circle_outline
remove_circle_outline
remove_circle_outline
remove_circle_outline
remove_circle_outline
remove_circle_outline
remove_circle_outline
remove_circle_outline

Journals

Article Types

Countries / Regions

remove_circle_outline
remove_circle_outline
remove_circle_outline
remove_circle_outline
remove_circle_outline

Search Results (167)

Search Parameters:
Keywords = heterogeneous robotic system

Order results
Result details
Results per page
Select all
Export citation of selected articles as:
29 pages, 4853 KB  
Article
ROS 2-Based Architecture for Autonomous Driving Systems: Design and Implementation
by Andrea Bonci, Federico Brunella, Matteo Colletta, Alessandro Di Biase, Aldo Franco Dragoni and Angjelo Libofsha
Sensors 2026, 26(2), 463; https://doi.org/10.3390/s26020463 (registering DOI) - 10 Jan 2026
Abstract
Interest in the adoption of autonomous vehicles (AVs) continues to grow. It is essential to design new software architectures that meet stringent real-time, safety, and scalability requirements while integrating heterogeneous hardware and software solutions from different vendors and developers. This paper presents a [...] Read more.
Interest in the adoption of autonomous vehicles (AVs) continues to grow. It is essential to design new software architectures that meet stringent real-time, safety, and scalability requirements while integrating heterogeneous hardware and software solutions from different vendors and developers. This paper presents a lightweight, modular, and scalable architecture grounded in Service-Oriented Architecture (SOA) principles and implemented in ROS 2 (Robot Operating System 2). The proposed design leverages ROS 2’s Data Distribution System-based Quality-of-Service model to provide reliable communication, structured lifecycle management, and fault containment across distributed compute nodes. The architecture is organized into Perception, Planning, and Control layers with decoupled sensor access paths to satisfy heterogeneous frequency and hardware constraints. The decision-making core follows an event-driven policy that prioritizes fresh updates without enforcing global synchronization, applying zero-order hold where inputs are not refreshed. The architecture was validated on a 1:10-scale autonomous vehicle operating on a city-like track. The test environment covered canonical urban scenarios (lane-keeping, obstacle avoidance, traffic-sign recognition, intersections, overtaking, parking, and pedestrian interaction), with absolute positioning provided by an indoor GPS (Global Positioning System) localization setup. This work shows that the end-to-end Perception–Planning pipeline consistently met worst-case deadlines, yielding deterministic behaviour even under stress. The proposed architecture can be deemed compliant with real-time application standards for our use case on the 1:10 test vehicle, providing a robust foundation for deployment and further refinement. Full article
(This article belongs to the Special Issue Sensors and Sensor Fusion for Decision Making for Autonomous Driving)
Show Figures

Figure 1

37 pages, 2398 KB  
Review
The Impact of Vitreoretinal Surgery in Patients with Uveitis: Current Strategies and Emerging Perspectives
by Dimitrios Kalogeropoulos, Sofia Androudi, Marta Latasiewicz, Youssef Helmy, Ambreen Kalhoro Tunio, Markus Groppe, Mandeep Bindra, Mohamed Elnaggar, Georgios Vartholomatos, Farid Afshar and Chris Kalogeropoulos
Diagnostics 2026, 16(2), 198; https://doi.org/10.3390/diagnostics16020198 - 8 Jan 2026
Viewed by 188
Abstract
Uveitis constitutes a heterogeneous group of intraocular inflammatory pathologies, including both infectious and non-infectious aetiologies, often leading to substantial morbidity and permanent loss of vision in up to 20% of the affected cases. Visual impairment is most prominent in intermediate, posterior, or panuveitis [...] Read more.
Uveitis constitutes a heterogeneous group of intraocular inflammatory pathologies, including both infectious and non-infectious aetiologies, often leading to substantial morbidity and permanent loss of vision in up to 20% of the affected cases. Visual impairment is most prominent in intermediate, posterior, or panuveitis and is commonly associated with cystoid macular oedema, epiretinal membranes, macular holes, and retinal detachment. In the context of uveitis, these complications arise as a result of recurrent flare-ups or chronic inflammation, contributing to cumulative ocular damage. Pars plana vitrectomy (PPV) has an evolving role in the diagnostic and therapeutic approach to uveitis. Diagnostic PPV allows for the analysis of vitreous fluid and tissue using techniques such as PCR, flow cytometry, cytology, and cultures, providing further insights into intraocular immune responses. Therapeutic PPV can be employed for the management of structural complications associated with uveitis, in a wide spectrum of inflammatory clinical entities such as Adamantiades–Behçet disease, juvenile idiopathic arthritis, acute retinal necrosis, or ocular toxoplasmosis. Modern small-gauge and minimally invasive techniques improve visual outcomes, reduce intraocular inflammation, and may decrease reliance on systemic immunosuppression. Emerging technologies, including robot-assisted systems, are expected to enhance surgical precision and safety in the future. Despite these advances, PPV outcomes remain variable due to heterogeneity in indications, surgical techniques, and postoperative management. Prospective studies with standardized protocols, detailed subgroup analyses, and the integration of immunological profiling are needed to define which patients benefit most, optimize therapeutic strategies, and establish predictive biomarkers in uveitis management. Full article
Show Figures

Figure 1

21 pages, 19413 KB  
Article
Efficient Real-Time Row Detection and Navigation Using LaneATT for Greenhouse Environments
by Ricardo Navarro Gómez, Joel Milla, Paolo Alfonso Reyes Ramírez, Jesús Arturo Escobedo Cabello and Alfonso Gómez-Espinosa
Agriculture 2026, 16(1), 111; https://doi.org/10.3390/agriculture16010111 - 31 Dec 2025
Viewed by 288
Abstract
This study introduces an efficient real-time lane detection and navigation system for greenhouse environments, leveraging the LaneATT architecture. Designed for deployment on the Jetson Xavier NX edge computing platform, the system utilizes an RGB camera to enable autonomous navigation in greenhouse rows. From [...] Read more.
This study introduces an efficient real-time lane detection and navigation system for greenhouse environments, leveraging the LaneATT architecture. Designed for deployment on the Jetson Xavier NX edge computing platform, the system utilizes an RGB camera to enable autonomous navigation in greenhouse rows. From real-world agricultural environments, data were collected and annotated to train the model, achieving 90% accuracy, 91% F1 Score, and an inference speed of 48 ms per frame. The LaneATT-based vision system was trained and validated in greenhouse environments under heterogeneous illumination conditions and across multiple phenological stages of crop development. The navigation system was validated using a commercial skid-steering mobile robot operating within an experimental greenhouse environment under actual operating conditions. The proposed solution minimizes computational overhead, making it highly suitable for deployment on edge devices within resource-constrained environments. Furthermore, experimental results demonstrate robust performance, with precise lane detection and rapid response times on embedded systems. Full article
(This article belongs to the Section Artificial Intelligence and Digital Agriculture)
Show Figures

Figure 1

13 pages, 638 KB  
Systematic Review
Application of Artificial Intelligence Tools for Social and Psychological Enhancement of Students with Autism Spectrum Disorder: A Systematic Review
by Angeliki Tsapanou, Anastasia Bouka, Angeliki Papadopoulou, Christina Vamvatsikou, Dionisia Mikrouli, Eirini Theofila, Kassandra Dionysopoulou, Konstantina Kortseli, Panagiota Lytaki, Theoni Myrto Spyridonidi and Panagiotis Plotas
Brain Sci. 2026, 16(1), 56; https://doi.org/10.3390/brainsci16010056 - 30 Dec 2025
Viewed by 242
Abstract
Background: Children with autism spectrum disorder (ASD) commonly experience persistent difficulties in social communication, emotional regulation, and social engagement. In recent years, artificial intelligence (AI)-based technologies, particularly socially assistive robots and intelligent sensing systems, have been explored as complementary tools to support psychosocial [...] Read more.
Background: Children with autism spectrum disorder (ASD) commonly experience persistent difficulties in social communication, emotional regulation, and social engagement. In recent years, artificial intelligence (AI)-based technologies, particularly socially assistive robots and intelligent sensing systems, have been explored as complementary tools to support psychosocial interventions in this population. Objective: This systematic review aimed to critically evaluate recent evidence on the effectiveness of AI-based interventions in improving social, emotional, and cognitive functioning in children with ASD. Methods: A systematic literature search was conducted in PubMed following PRISMA guidelines, targeting English-language studies published between 2020 and 2025. Eligible studies involved children with ASD and implemented AI-driven tools within therapeutic or educational settings. Eight studies met inclusion criteria and were analyzed using the PICO framework. Results: The reviewed interventions included humanoid and non-humanoid robots, gaze-tracking systems, and theory of mind-oriented applications. Across studies, AI-based interventions were associated with improvements in joint attention, social communication and reciprocity, emotion recognition and regulation, theory of mind, and task engagement. Outcomes were assessed using standardized behavioral measures, observational coding, parent or therapist reports, and physiological or sensor-based indices. However, the studies were characterized by small and heterogeneous samples, short intervention durations, and variability in outcome measures. Conclusions: Current evidence suggests that AI-based systems may serve as valuable adjuncts to conventional interventions for children with ASD, particularly for supporting structured social and emotional skill development. Nonetheless, methodological limitations and limited long-term data underscore the need for larger, multi-site trials with standardized protocols to better establish efficacy, generalizability, and ethical integration into clinical practice. Full article
Show Figures

Figure 1

30 pages, 10126 KB  
Article
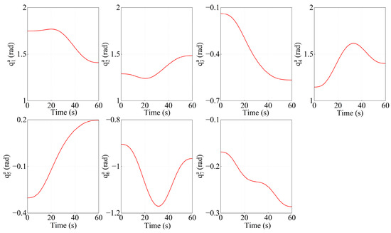
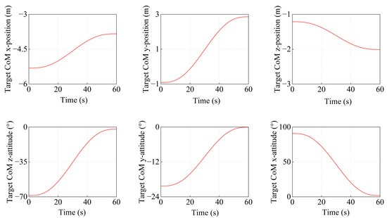
Pose Stabilization Control for Base of Combined System Using Feedforward Compensation PD Control During Target Satellite Transposition
by Zhonghua Hu, Jinlong Yang, Wenfu Xu, Hengtai Chen, Longkun Xu and Deshan Meng
Sensors 2026, 26(1), 206; https://doi.org/10.3390/s26010206 - 28 Dec 2025
Viewed by 285
Abstract
During the transposition of a target satellite, dynamic coupling between the target satellite, the manipulators, and the base frequently leads to disturbances in the base’s attitude. To deal with the issue, this paper proposed a pose stabilization method for the base of the [...] Read more.
During the transposition of a target satellite, dynamic coupling between the target satellite, the manipulators, and the base frequently leads to disturbances in the base’s attitude. To deal with the issue, this paper proposed a pose stabilization method for the base of the post-capture combined system using the feedforward compensation PD control. Firstly, the mission sequence for repositioning a target satellite using a discrete-serpentine heterogeneous dual-arm space robot (DSHDASR) was analyzed. The dynamics model of the combined system, composed of the DSHDASR and a target satellite, was established based on the Newton–Euler recursive formulation. Then, the pose stabilization method integrating dynamic feedforward compensation and PD control was developed to stabilize the base of the combined system. Finally, the mission of target satellite transposition was simulated through the co-simulation model. Compared with the traditional control algorithms, the position accuracy and attitude accuracy for the proposed method showed an overall improvement. The results demonstrated that the proposed method significantly reduced base pose errors under high-load and disturbed conditions. Full article
Show Figures

Figure 1

29 pages, 3290 KB  
Article
A Digital Twin-Enhanced KJ-Kano Framework for User-Centric Conceptual Design of Underwater Rescue Robots
by Xiaojing Niu, Jingying Ye and Liling Chen
Appl. Sci. 2026, 16(1), 135; https://doi.org/10.3390/app16010135 - 22 Dec 2025
Viewed by 301
Abstract
To address the increasing complexity and diversity of user requirements in underwater rescue equipment, this study proposes a Digital Twin (DT)-enhanced KJ-Kano conceptual design framework. It systematically closes the feedback loop between requirement prioritization and experiential validation. Unlike traditional approaches, this framework orchestrates [...] Read more.
To address the increasing complexity and diversity of user requirements in underwater rescue equipment, this study proposes a Digital Twin (DT)-enhanced KJ-Kano conceptual design framework. It systematically closes the feedback loop between requirement prioritization and experiential validation. Unlike traditional approaches, this framework orchestrates KJ clustering, Kano analysis, and mission-aware DT simulation in a domain-adapted, iterative workflow, enabling dynamic validation of user needs under high-risk, simulated rescue scenarios. Functional expectations and preferences were clustered and prioritized, then instantiated in a modular DT prototype for navigation, manipulation, and perception tasks. To evaluate design effectiveness, 55 participants operated the robot DT model and its control interfaces in virtual rescue missions. User satisfaction across functionality, interactivity, intelligence, and appearance was assessed with a five-point Likert scale, and the results showed high reliability (Cronbach’s α = 0.86) and positive evaluations (overall mean = 3.83). Intelligent experience scored highest (3.95), while ease of operation was lowest (3.60), suggesting potential for interface optimization. The framework effectively transforms heterogeneous, context-specific user requirements into validated design solutions, offering a replicable, data-driven methodology for early-stage conceptual design of underwater rescue robots and other safety-critical human–machine systems, bridging the gap between generic design methods and high-risk domain application. Full article
(This article belongs to the Special Issue Modeling, Guidance and Control of Marine Robotics, 2nd Edition)
Show Figures

Figure 1

19 pages, 6764 KB  
Article
A Dual-Validation Framework for Temporal Robustness Assessment in Brain–Computer Interfaces for Motor Imagery
by Mohamed A. Hanafy, Saykhun Yusufjonov, Payman SharafianArdakani, Djaykhun Yusufjonov, Madan M. Rayguru and Dan O. Popa
Technologies 2025, 13(12), 595; https://doi.org/10.3390/technologies13120595 - 18 Dec 2025
Viewed by 388
Abstract
Brain–computer interfaces using motor imagery (MI-BCIs) offer a promising noninvasive communication pathway between humans and engineered equipment such as robots. However, for MI-BCIs based on electroencephalography (EEG), the reliability of the interface across recording sessions is limited by temporal non-stationary effects. Overcoming this [...] Read more.
Brain–computer interfaces using motor imagery (MI-BCIs) offer a promising noninvasive communication pathway between humans and engineered equipment such as robots. However, for MI-BCIs based on electroencephalography (EEG), the reliability of the interface across recording sessions is limited by temporal non-stationary effects. Overcoming this barrier is critical to translating MI-BCIs from controlled laboratory environments to practical uses. In this paper, we present a comprehensive dual-validation framework to rigorously evaluate the temporal robustness of EEG signals of an MI-BCI. We collected data from six participants performing four motor imagery tasks (left/right hand and foot). Features were extracted using Common Spatial Patterns, and ten machine learning classifiers were assessed within a unified pipeline. Our method integrates within-session evaluation (stratified K-fold cross-validation) with cross-session testing (bidirectional train/test), complemented by stability metrics and performance heterogeneity assessment. Findings reveal minimal performance loss between conditions, with an average accuracy drop of just 2.5%. The AdaBoost classifier achieved the highest within-session performance (84.0% system accuracy, F1-score: 83.8%/80.9% for hand/foot), while the K-nearest neighbors (KNN) classifier demonstrated the best cross-session robustness (81.2% system accuracy, F1-score: 80.5%/80.2% for hand/foot, 0.663 robustness score). This study shows that robust performance across sessions is attainable for MI-BCI evaluation, supporting the pathway toward reliable, real-world clinical deployment. Full article
(This article belongs to the Collection Selected Papers from the PETRA Conference Series)
Show Figures

Figure 1

24 pages, 11163 KB  
Article
Design and Implementation of a Quick-Change End-Effector Control System for Lightweight Robotic Arms in Workpiece Assembly Applications
by Guangxin Luan, Lingyan Hu and Raofen Wang
Actuators 2025, 14(12), 619; https://doi.org/10.3390/act14120619 - 18 Dec 2025
Viewed by 349
Abstract
This paper presents a lightweight end-effector quick-change control system for robotic arms, designed for scenarios such as workpiece assembly that require rapid switching between multiple end-effectors. The system utilizes a proprietary quick-change mechanism as its hardware foundation. Its main disk employs a modular [...] Read more.
This paper presents a lightweight end-effector quick-change control system for robotic arms, designed for scenarios such as workpiece assembly that require rapid switching between multiple end-effectors. The system utilizes a proprietary quick-change mechanism as its hardware foundation. Its main disk employs a modular and lightweight design compatible with small collaborative robots like the UR3. Motor-driven claws enable automatic tool locking and unlocking. To unify control interfaces for heterogeneous motor-driven tools, this paper proposes a universal peripheral adapter circuit based on the RS485 bus and a tool ID recognition mechanism, establishing a standardized four-wire interface for multi-tool sharing. At the control level, embedded control programs were developed for both the quick-change device and the tool end. An upper-level control platform based on ROS and MoveIt was established to achieve automatic quick-change and task sequence control during typical robotic operations such as “drilling-assembly workpiece.” Statistics from 20 locking time and communication success rate tests, along with 30 complete assembly experiments, demonstrate that the average quick-change locking time is 1.81 s, communication success rate is 100%, and a 93.3% assembly process success rate. These results validate the feasibility and stability of the proposed lightweight robotic arm end-effector quick-change control system in workpiece assembly scenarios, providing an expandable and reproducible quick-change control solution for multi-task operations of lightweight robotic arms. Full article
(This article belongs to the Section Actuators for Robotics)
Show Figures

Figure 1

51 pages, 3324 KB  
Review
Application of Artificial Intelligence in Control Systems: Trends, Challenges, and Opportunities
by Enrique Ramón Fernández Mareco and Diego Pinto-Roa
AI 2025, 6(12), 326; https://doi.org/10.3390/ai6120326 - 14 Dec 2025
Viewed by 1412
Abstract
The integration of artificial intelligence (AI) into intelligent control systems has advanced significantly, enabling improved adaptability, robustness, and performance in nonlinear and uncertain environments. This study conducts a PRISMA-2020-compliant systematic mapping of 188 peer-reviewed articles published between 2000 and 15 January 2025, identified [...] Read more.
The integration of artificial intelligence (AI) into intelligent control systems has advanced significantly, enabling improved adaptability, robustness, and performance in nonlinear and uncertain environments. This study conducts a PRISMA-2020-compliant systematic mapping of 188 peer-reviewed articles published between 2000 and 15 January 2025, identified through fully documented Boolean queries across IEEE Xplore, ScienceDirect, SpringerLink, Wiley, and Google Scholar. The screening process applied predefined inclusion–exclusion criteria, deduplication rules, and dual independent review, yielding an inter-rater agreement of κ = 0.87. The resulting synthesis reveals three dominant research directions: (i) control model strategies (36.2%), (ii) parameter optimization methods (45.2%), and (iii) adaptability mechanisms (18.6%). The most frequently adopted approaches include fuzzy logic structures, hybrid neuro-fuzzy controllers, artificial neural networks, evolutionary and swarm-based metaheuristics, model predictive control, and emerging deep reinforcement learning frameworks. Although many studies report enhanced accuracy, disturbance rejection, and energy efficiency, the analysis identifies persistent limitations, including overreliance on simulations, inconsistent reporting of hyperparameters, limited real-world validation, and heterogeneous evaluation criteria. This review consolidates current AI-enabled control technologies, compares methodological trade-offs, and highlights application-specific outcomes across renewable energy, robotics, agriculture, and industrial processes. It also delineates key research gaps related to reproducibility, scalability, computational constraints, and the need for standardized experimental benchmarks. The results aim to provide a rigorous and reproducible foundation for guiding future research and the development of next-generation intelligent control systems. Full article
Show Figures

Figure 1

23 pages, 372 KB  
Systematic Review
Therapeutic Benefits of Robotics and Exoskeletons for Gait and Postural Balance Among Children and Adolescents with Cerebral Palsy: An Overview of Systematic Reviews
by Amal Alharbi, Shouq S. Alhosaini, Shahad S. Alrakebeh and Saleh M. Aloraini
Healthcare 2025, 13(23), 3120; https://doi.org/10.3390/healthcare13233120 - 1 Dec 2025
Viewed by 675
Abstract
Background/Objectives: Robotic therapies are emerging as a potential management strategy for individuals with cerebral palsy (CP). These devices apply mechanical and electrical forces to regulate neural excitability and promote motor learning. This review aimed to systematically assess and synthesize evidence from published systematic [...] Read more.
Background/Objectives: Robotic therapies are emerging as a potential management strategy for individuals with cerebral palsy (CP). These devices apply mechanical and electrical forces to regulate neural excitability and promote motor learning. This review aimed to systematically assess and synthesize evidence from published systematic reviews and meta-analyses on the therapeutic benefits of robotics and exoskeletons for gait and postural balance in pediatric CP. Methods: A comprehensive search of PubMed, CINAHL, Scopus, and The Cochrane Library was conducted. Two independent reviewers screened records to identify studies that were: (1) written in English and published in peer-reviewed journals; (2) included participants <18 years with a diagnosis of CP; and (3) examined robotic therapies or exoskeletons targeting gait or postural balance. Methodological quality of included reviews was appraised with the Assessment of Multiple Systematic Reviews (AMSTAR) tool, and certainty of evidence was evaluated using the Grades of Recommendation, Assessment, Development, and Evaluation (GRADE) framework. Results: 18 systematic reviews met the inclusion criteria, encompassing 256 primary studies and 5092 participants. Overall methodological quality of the included reviews was rated as moderate to good. A variety of robotic and exoskeleton systems were noted across studies, with heterogeneous protocols and outcomes. Several reviews reported modest improvements in gait and postural balance; however, the findings were inconsistent, and pooled effects, where available, did not yield definitive conclusions regarding efficacy. Conclusions: Robotic and exoskeleton interventions may offer benefits for gait and postural balance in children and adolescents with CP, but the current evidence base remains inconclusive. Additional high-quality research is required to determine effectiveness more definitively. Full article
Show Figures

Figure 1

22 pages, 5508 KB  
Article
A Generative AI-Enhanced Robotic Desktop Automation Framework for Multi-System Nephrology Data Entry in Government Healthcare Platforms
by Sumalee Sangamuang, Perasuk Worragin, Kitti Puritat, Phichete Julrode and Kannikar Intawong
Technologies 2025, 13(12), 558; https://doi.org/10.3390/technologies13120558 - 29 Nov 2025
Viewed by 497
Abstract
This study introduces a Generative AI-Enhanced Robotic Data Automation (AI-ERDA) framework designed to improve accuracy, efficiency, and adaptability in healthcare data workflows. Conducted over a two-month, real-world experiment across three government health platforms—one web-based (NHSO) and two PC-based systems (CHi and TRT)—the study [...] Read more.
This study introduces a Generative AI-Enhanced Robotic Data Automation (AI-ERDA) framework designed to improve accuracy, efficiency, and adaptability in healthcare data workflows. Conducted over a two-month, real-world experiment across three government health platforms—one web-based (NHSO) and two PC-based systems (CHi and TRT)—the study compared the performance of AI-ERDA against a conventional RDA system in terms of usability, automation accuracy, and resilience to user interface (UI) changes. Results demonstrated notable improvements in both usability and reliability. The AI-ERDA achieved a mean System Usability Scale (SUS) score of 80, compared with 68 for the traditional RDA, while Field Exact Match Accuracy increased by 1.8 percent in the web system and by 0.2 to 0.3 percent in the PC systems. During actual UI modifications, the AI-ERDA maintained near-perfect accuracy, with rapid self-correction within one day, whereas the baseline RDA required several days of manual reconfiguration and assistance from the development team to resolve issues. These findings indicate that generative and adaptive automation can effectively reduce manual workload, minimize downtime, and maintain high data integrity across heterogeneous systems. By integrating adaptive learning, semantic validation, and human-in-the-loop oversight, the AI-ERDA framework advances sustainable digital transformation and reinforces transparency, trust, and accountability in healthcare data management. Full article
(This article belongs to the Special Issue AI-Enabled Smart Healthcare Systems)
Show Figures

Figure 1

24 pages, 1132 KB  
Article
Interplay of Industrial Robots, Education, and Environmental Sustainability in United States: A Quantile-Based Investigation
by Rmzi Khalifa and Hasan Yousef Aljuhmani
Sustainability 2025, 17(22), 10255; https://doi.org/10.3390/su172210255 - 16 Nov 2025
Viewed by 672
Abstract
This study explores the dynamic relationship between industrial robots, education, and environmental sustainability in the United States, emphasizing their role in reducing CO2 emissions. The research aims to quantify how automation, human capital, and the energy transition contribute to carbon mitigation within [...] Read more.
This study explores the dynamic relationship between industrial robots, education, and environmental sustainability in the United States, emphasizing their role in reducing CO2 emissions. The research aims to quantify how automation, human capital, and the energy transition contribute to carbon mitigation within a data-driven, AI-oriented policy framework. Quarterly data spanning 2011Q1–2024Q4 were analyzed using the advanced Quantile-on-Quantile Autoregressive Distributed Lag (QQARDL) model, which captures heterogeneous long- and short-run effects across emission distributions. Results reveal that industrial robot adoption, education, and renewable energy transition significantly reduce emissions, with the strongest effects occurring at both high- and low-emission quantiles. Economic growth and financial development also support decarbonization when complemented by green finance and innovation, while urbanization increases emissions unless aligned with compact urban design and clean energy systems. The findings imply that AI-driven industrial robotics and education jointly foster sustainability through efficiency, innovation, and awareness. Policymakers are encouraged to integrate automation strategies, renewable energy incentives, and sustainability education into climate policy. This study provides empirical evidence supporting the Resource-Based View, highlighting human capital and intelligent automation as strategic assets for achieving long-term carbon neutrality. Full article
Show Figures

Figure 1

25 pages, 1653 KB  
Article
Dynamic Heterogeneous Multi-Agent Inverse Reinforcement Learning Based on Graph Attention Mean Field
by Li Song, Irfan Ali Channa, Zeyu Wang and Guangyu Sun
Symmetry 2025, 17(11), 1951; https://doi.org/10.3390/sym17111951 - 13 Nov 2025
Viewed by 912
Abstract
Multi-agent inverse reinforcement learning (MA-IRL) infers the underlying reward functions or objectives of multiple agents by observing their behavioral data, thereby providing insights into collaboration, competition, or mixed interaction strategies among agents, and addressing the symmetrical ambiguity problem where multiple rewards may correspond [...] Read more.
Multi-agent inverse reinforcement learning (MA-IRL) infers the underlying reward functions or objectives of multiple agents by observing their behavioral data, thereby providing insights into collaboration, competition, or mixed interaction strategies among agents, and addressing the symmetrical ambiguity problem where multiple rewards may correspond to the same strategy. However, most existing algorithms mainly focus on solving cooperative and non-cooperative tasks among homogeneous multi-agent systems, making it difficult to adapt to the dynamic topologies and heterogeneous behavioral strategies of multi-agent systems in real-world applications. This makes it difficult for the algorithm to adapt to scenarios with locally sparse interactions and dynamic heterogeneity, such as autonomous driving, drone swarms, and robot clusters. To address this problem, this study proposes a dynamic heterogeneous multi-agent inverse reinforcement learning framework (GAMF-DHIRL) based on a graph attention mean field (GAMF) to infer the potential reward functions of agents. In GAMF-DHIRL, we introduce a graph attention mean field theory based on adversarial maximum entropy inverse reinforcement learning to dynamically model dependencies between agents and adaptively adjust the influence weights of neighboring nodes through attention mechanisms. Specifically, the GAMF module uses a dynamic adjacency matrix to capture the time-varying characteristics of the interactions among agents. Meanwhile, the typed mean-field approximation reduces computational complexity. Experiments demonstrate that the proposed method can efficiently recover reward functions of heterogeneous agents in collaborative tasks and adversarial environments, and it outperforms traditional MA-IRL methods. Full article
Show Figures

Figure 1

19 pages, 693 KB  
Review
Intraoperative Ultrasound in Brain and Spine Surgery: Current Applications, Translational Value and Future Perspectives
by Carmelo Pirri, Nina Pirri, Veronica Macchi, Andrea Porzionato, Carla Stecco and Raffaele De Caro
NeuroSci 2025, 6(4), 113; https://doi.org/10.3390/neurosci6040113 - 12 Nov 2025
Viewed by 1497
Abstract
Intraoperative ultrasound (IOUS) has developed from a rudimentary adjunct into a versatile modality that now plays a crucial role in neurosurgery. Offering real-time, radiation-free and repeatable imaging at the surgical site, it provides distinct advantages over intraoperative magnetic resonance (MRI) and computed tomography [...] Read more.
Intraoperative ultrasound (IOUS) has developed from a rudimentary adjunct into a versatile modality that now plays a crucial role in neurosurgery. Offering real-time, radiation-free and repeatable imaging at the surgical site, it provides distinct advantages over intraoperative magnetic resonance (MRI) and computed tomography (CT) in terms of accessibility, workflow integration and cost. The clinical spectrum of IOUS is broad: in cranial surgery it enhances the extent of resection of gliomas and metastases, supports dissection in meningiomas and enables localization of MRI-negative pituitary adenomas; in spinal surgery, it guides resection of intradural and intramedullary tumors, assists in myelotomy planning and confirms decompression in degenerative conditions such as cervical myelopathy and ossification of the posterior longitudinal ligament. IOUS also offers unique insights into cerebrospinal fluid disorders, including arachnoid webs, cysts, syringomyelia and Chiari malformation, where it visualizes cord compression and CSF flow restoration. In trauma and oncological emergencies, it provides immediate confirmation of decompression, directly influencing surgical decisions. Recent innovations, including contrast-enhanced ultrasound, elastography, three-dimensional navigated systems and experimental integration with artificial intelligence and robotics, are extending its functional scope. Despite heterogeneity of evidence and operator dependence, IOUS is steadily transitioning from an adjunctive tool to a cornerstone of multimodal intraoperative imaging, bridging precision, accessibility and innovation in contemporary neurosurgical practice. Full article
Show Figures

Figure 1

27 pages, 4070 KB  
Article
Research on a Cooperative Grasping Method for Heterogeneous Objects in Unstructured Scenarios of Mine Conveyor Belts Based on an Improved MATD3
by Rui Gao, Mengcong Liu, Jingyi Du, Yifan Bao, Xudong Wu and Jiahui Liu
Sensors 2025, 25(22), 6824; https://doi.org/10.3390/s25226824 - 7 Nov 2025
Viewed by 480
Abstract
Underground coal mine conveying systems operate in unstructured environments. Influenced by geological and operational factors, coal conveyors are frequently contaminated by foreign objects such as coal gangue and anchor bolts. These contaminants disrupt conveying stability and pose challenges to safe mining operations, making [...] Read more.
Underground coal mine conveying systems operate in unstructured environments. Influenced by geological and operational factors, coal conveyors are frequently contaminated by foreign objects such as coal gangue and anchor bolts. These contaminants disrupt conveying stability and pose challenges to safe mining operations, making their effective removal critical. Given the significant heterogeneity and unpredictability of these objects in shape, size, and orientation, precise manipulation requires dual-arm cooperative control. Traditional control algorithms rely on precise dynamic models and fixed parameters, lacking robustness in such unstructured environments. To address these challenges, this paper proposes a cooperative grasping method tailored for heterogeneous objects in unstructured environments. The MATD3 algorithm is employed to cooperatively perform dual-arm trajectory planning and grasping tasks. A multi-factor reward function is designed to accelerate convergence in continuous action spaces, optimize real-time grasping trajectories for foreign objects, and ensure stable robotic arm positioning. Furthermore, priority experience replay (PER) is integrated into the MATD3 framework to enhance experience utilization and accelerate convergence toward optimal policies. For slender objects, a sequential cooperative optimization strategy is developed to improve the stability and reliability of grasping and placement. Experimental results demonstrate that the P-MATD3 algorithm significantly improves grasping success rates and efficiency in unstructured environments. In single-arm tasks, compared to MATD3 and MADDPG, P-MATD3 increases grasping success rates by 7.1% and 9.94%, respectively, while reducing the number of steps required to reach the pre-grasping point by 11.44% and 12.77%. In dual-arm tasks, success rates increased by 5.58% and 9.84%, respectively, while step counts decreased by 11.6% and 18.92%. Robustness testing under Gaussian noise demonstrated that P-MATD3 maintains high stability even with varying noise intensities. Finally, ablation and comparative experiments comprehensively validated the proposed method’s effectiveness in simulated environments. Full article
Show Figures

Figure 1

Back to TopTop