Sign in to use this feature.

Years

Between: -

Subjects

remove_circle_outline
remove_circle_outline
remove_circle_outline
remove_circle_outline

Journals

Article Types

Countries / Regions

remove_circle_outline
remove_circle_outline
remove_circle_outline

Search Results (53)

Search Parameters:
Keywords = herd-level seroprevalence

Order results
Result details
Results per page
Select all
Export citation of selected articles as:
17 pages, 1443 KB  
Article
Bayesian Estimation of the True Prevalence of Caprine Arthritis Encephalitis in Hungarian Goat Herds
by Krisztina Bárdos, Marietta Máté, Katalin Veres, Zsolt Lang, Giuseppe Bertoni, Carlos Eduardo Abril, Snorre Stuen, Saulius Petkevičius, Marcin Mickiewicz, Michał Czopowicz, Jarosław Kaba and László Ózsvári
Viruses 2025, 17(11), 1455; https://doi.org/10.3390/v17111455 - 31 Oct 2025
Viewed by 97
Abstract
Background: Caprine arthritis encephalitis (CAE) is a major viral disease of goats, caused by small ruminant lentivirus (SRLV), associated with chronic arthritis, mastitis, pneumonia, and encephalitis, leading to economic losses and reduced animal welfare. This study aimed to estimate the true prevalence of [...] Read more.
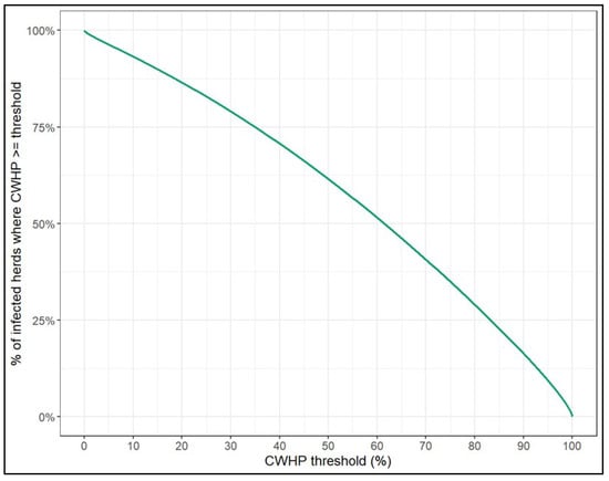
Background: Caprine arthritis encephalitis (CAE) is a major viral disease of goats, caused by small ruminant lentivirus (SRLV), associated with chronic arthritis, mastitis, pneumonia, and encephalitis, leading to economic losses and reduced animal welfare. This study aimed to estimate the true prevalence of CAE in Hungarian goat herds, based on nationwide sampling and statistical modeling. Methods: Blood samples from 1218 goats in 53 herds were tested using ELISA, and true prevalence was estimated by Bayesian analysis. Results: The mean herd true prevalence (HTP) was 29.1% (95% CrI: 20.8–38.5%), while within the infected herds, the conditional within herd prevalence (CWHP) reached 58% ± 27.1%. Medium- and large-sized herds (>50 animals) showed the highest mean HTP (77.8% and 74.9%, respectively). No significant regional differences were observed, indicating that CAE is uniformly distributed across the country. Conclusions: Our findings place Hungary among moderately to highly affected European countries and highlight the need for a nationwide control strategy integrating routine serological surveillance, biosecurity improvements, farmer education, and long-term tools such as selective breeding. Full article
(This article belongs to the Special Issue Viral Diseases of Sheep and Goats)
Show Figures

Figure 1

14 pages, 859 KB  
Article
Post-Vaccination Assessment of Peste Des Petits Ruminants in Sheep and Goats in the United Arab Emirates
by Yassir M. Eltahir, Mervat Mari. Al Nuaimat, Oum Keltoum Bensalah, Ebrahim Osman, Diya S. Al-Ramamneh, Rashid A. Khan, Naema A. Alsuwaidi, Meera Saeed. Mohamed, Kaltham Kayaf, Sameera Ismaeil, Fatmah Yaaqeib, Mahmoud Abdelfatah, Ahmed Tharwat, Mohamed Antar, Mohammed Abd Elmottalib. Kheir, Assem S. Abdelazim, Rafeek Koliyan and Mohamed Moustafa. Abdelhalim
Vet. Sci. 2025, 12(10), 991; https://doi.org/10.3390/vetsci12100991 - 14 Oct 2025
Viewed by 487
Abstract
Background: Peste des petits ruminants (PPR) is an acute or subacute contagious trans-boundary viral disease causing high morbidity and mortality in domestic and wild small ruminants. The national UAE-PPR control and eradication plan follows the PPR Global Control and Eradication Strategy (PPR GCES) [...] Read more.
Background: Peste des petits ruminants (PPR) is an acute or subacute contagious trans-boundary viral disease causing high morbidity and mortality in domestic and wild small ruminants. The national UAE-PPR control and eradication plan follows the PPR Global Control and Eradication Strategy (PPR GCES) and relies on the annual mass vaccination of small ruminants to eradicate the disease from the country by 2030. Despite the immunization effort against PPR, the vaccination coverage reached 65% at maximum, which necessitates conducting a post-vaccination evaluation (PVE) study at the national level. Methods: Using multistage random sampling to assess the PPR vaccine and vaccination effectiveness, protocol (2) of the PPR GCES, using two serosurveys; serosurvey (1) (pre-vaccination) at day 0 before vaccination, to assess the primary PPR serological investigation, and serosurvey (2) at (30–90) days post-PPR vaccination, to evaluate the immune response, were carried out from September to December 2024 across the seven Emirates of the UAE. The nucleoprotein-based competitive enzyme-linked immunosorbent assay (c-ELISA) was used to detect PPR antibodies in a total of 1592 and 1589 sera samples collected, respectively, before and after vaccination from different (n = 163) sheep and goats holdings (epi-unit) distributed in the different Emirates of the UAE. Results: In serosurvey (1). prior to vaccination, out of the total 1592 samples tested (839 goats and 753 sheep), 833 animals (52.32%) were found to be seropositive for PPR antibodies. In contrast, in serosurvey (2), after vaccination, 1490 (93.77%) animals were found to be seropositive out of the total 1589 small ruminants (825 goats and 764 sheep) tested by c-ELISA. A statistically significant increase (41.45%) in the overall seroprevalence from (52.32%) pre-vaccination to (93.77%) post-vaccination was observed. Post-vaccination, 93.87% (n = 153) of the vaccinated epi-units achieved more than 70% seroprevalence compared to 43.56% (n = 71) before vaccination. Prediction analysis showed that all the seven UAE Emirates require 1.2 years maximum to reach 100% immune-protection levels. Conclusions: An efficient PPR vaccine was used to immunize small ruminants in the UAE. Higher (89.47–100%) post-vaccination herd immunity than the threshold recommended by the PPR GCES (>80% immunity) was attained, which can efficiently break the spread of PPRV within the UAE. To enhance the eradication of PPR I the UAE, conducting mass vaccination campaigns targeting over the (95%) immunization coverage of eligible animals for the next three years is recommended to attain the requested sustained (>80%) immunity at the animals holding level. Full article
(This article belongs to the Section Veterinary Microbiology, Parasitology and Immunology)
Show Figures

Figure 1

22 pages, 1471 KB  
Article
Rift Valley Fever Virus Transmission During an Unreported Outbreak Among People and Livestock in South-Central Tanzania
by Robert D. Sumaye, Ana Pérola D. Brandão, Frank Chilanga, Goodluk Paul, Grace W. Mwangoka, Woutrina A. Smith, Abel B. Ekiri, Christopher Kilonzo, Solomon Mwakasungula, George Makingi, Amina A. Kinyogori, Walter S. Magesa, Aziza J. Samson, Catherine Mkindi, Peter Pazia, Feisal Hassan, Thabit A. Mbaga, Robinson H. Mdegela, Honorati Masanja, Deborah Cannon, Aridith Gibbons, John D. Klena, Joel M. Montgomery, Stuart T. Nichol, Lucija Jurisic, Alexandre Tremeau-Bravard, Hezron Nonga, Jamie Sebastian, Saba Zewdie, Leah Streb, Anna C. Fagre, Nicholas A. Bergren, Daniel A. Hartman, David J. Wolking, Rebekah C. Kading, Jonna A. K. Mazet and Brian H. Birdadd Show full author list remove Hide full author list
Viruses 2025, 17(10), 1329; https://doi.org/10.3390/v17101329 - 30 Sep 2025
Viewed by 1830
Abstract
Rift Valley fever (RVF) is a re-emerging vector-borne zoonotic disease that causes outbreaks in humans and animals across Africa. To better understand RVF at human–animal interfaces, a prospective longitudinal survey of people, livestock, and mosquitoes was conducted from 2016 to 2018, in two [...] Read more.
Rift Valley fever (RVF) is a re-emerging vector-borne zoonotic disease that causes outbreaks in humans and animals across Africa. To better understand RVF at human–animal interfaces, a prospective longitudinal survey of people, livestock, and mosquitoes was conducted from 2016 to 2018, in two regions of Tanzania, with distinct climatic zones (Iringa and Morogoro). Molecular and serological tools for testing (RT-qPCR and IgM/IgG ELISA) for RVF virus (RVFV) were used to assess infection and exposure in people and animals. Mosquitoes were collected quarterly from 10 sentinel locations. In total, 1385 acutely febrile humans, 4449 livestock, and 3463 mosquito pools were tested. In humans, IgM seroprevalence was 3.75% (n = 52/1385), and overall seroprevalence (IgM and/or IgG positive) was 8.30% (n = 115/1385). People from Iringa had a higher exposure risk than those from Morogoro (aOR 2.63), and livestock owners had an increased risk compared to non-owners (aOR 2.51). In livestock, IgM seroprevalence was 1.09%, while overall seroprevalence was 10.11%. A total of 68.4% of herds had at least one seropositive animal. Sentinel animal follow-up revealed that the probability of seroconversion was significantly higher in Morogoro. Low-level RVFV RNA was detected in 8 human and 22 mosquito pools. These findings indicate active transmission among vectors, livestock, and people during the study period, highlighting the need for One Health surveillance approaches for RVFV and other arboviruses. Full article
(This article belongs to the Special Issue Rift Valley Fever Virus: New Insights into a One Health Archetype)
Show Figures

Figure 1

18 pages, 1693 KB  
Article
Phylogenetic Characterization and Seroprevalence of Senecavirus A from Swine Farms in Taiwan
by Cheng-Ju Pan, Kuo-Jung Tsai, Jen-Chieh Chang, Ming-Chung Deng, Nien-Nung Lin, Kelly M. Lager, Ian D. Robertson and Yu-Liang Huang
Animals 2025, 15(19), 2786; https://doi.org/10.3390/ani15192786 - 24 Sep 2025
Viewed by 308
Abstract
Senecavirus A (SVA) is an emerging threat to swine populations due to its potential to cause vesicular lesions, which are difficult to differentiate from other vesicular diseases of swine such as foot and mouth disease (FMD), requiring significant resources for differential diagnosis. The [...] Read more.
Senecavirus A (SVA) is an emerging threat to swine populations due to its potential to cause vesicular lesions, which are difficult to differentiate from other vesicular diseases of swine such as foot and mouth disease (FMD), requiring significant resources for differential diagnosis. The first Taiwanese isolate of SVA was identified in 2006, although the first clinical case was not reported until 2012. The genetic characteristics and seroprevalence of SVA in Taiwan remain unclear. This study aimed to assess the seroprevalence and genetic diversity of SVA in nursery/weaned swine and finisher swine on Taiwanese pig farms. Phylogenetic analysis of seven Taiwanese SVA isolates revealed clustering into groups I and II. The 2006 and 2012 isolates shared 95.5% and 95.7% identity, respectively, with an early USA strain (MT360258), while more recent strains collected between 2018 and 2022 exhibited 95.7–98.8% identity with a 2020 USA strain (MZ733977). Serological analysis of swine from 300 farms showed significantly higher herd-level seroprevalence in nursery/weaned swine (53%) than finisher swine (6.7%). Furthermore, comparative analysis of nine known B cell epitopes showed high sequence conservation across Taiwanese and global strains. These findings provide important baseline data on the genetic diversity and seroprevalence of SVA in Taiwan and support the development of improved surveillance strategies for this emerging swine pathogen. Full article
(This article belongs to the Section Animal System and Management)
Show Figures

Figure 1

18 pages, 3363 KB  
Article
The Results After One Year of an Experimental Protocol Aimed at Reducing Paratuberculosis in an Intensive Dairy Herd
by Anita Filippi, Giordano Ventura, Antonella Lamontanara, Luigi Orrù, Fabio Ostanello, Riccardo Frontoni, Laura Mazzera, Edoardo Tuccia, Matteo Ricchi and Chiara Garbarino
Animals 2025, 15(18), 2695; https://doi.org/10.3390/ani15182695 - 15 Sep 2025
Viewed by 450
Abstract
Paratuberculosis or Johne’s disease is caused by Mycobacterium avium subsp. paratuberculosis (MAP). The disease is characterized by a chronic and incurable enteritis in ruminants and it is responsible for significant economic losses, also raising concerns about food safety and animal welfare. Effective control [...] Read more.
Paratuberculosis or Johne’s disease is caused by Mycobacterium avium subsp. paratuberculosis (MAP). The disease is characterized by a chronic and incurable enteritis in ruminants and it is responsible for significant economic losses, also raising concerns about food safety and animal welfare. Effective control is hindered by diagnostic limitations, long incubation periods, and the environmental resistance of the pathogen. This study aimed to reduce the apparent prevalence of paratuberculosis in a single intensive dairy herd through an integrated approach that combines diagnostics and management strategies. All cows over 24 months of age were tested using both fecal PCR and ELISA serology. Digital PCR (dPCR) was used to quantify MAP shedding in fecal-positive animals, enabling prioritization for removal based on environmental contamination risk. Integrating diagnostic tools allowed the precise identification and quantification of high-risk animals. Meanwhile, structural improvements and biosecurity measures were implemented on the farm. Preliminary outcomes suggest a marked reduction in herd-level MAP prevalence, lowering the seroprevalence from 7.6% to 4.5% and the fecal PCR prevalence from 6.5% to 2.8%. This case highlights the effectiveness of combining laboratory testing (serology and molecular diagnostics) and targeted changes in farm management to control paratuberculosis in high-density dairy systems. Full article
(This article belongs to the Section Cattle)
Show Figures

Figure 1

16 pages, 1217 KB  
Systematic Review
Epidemiology and Diversity of Paratuberculosis in the Arabian Peninsula: A Systematic Review and Meta-Analysis with Implications for One Health
by Md Mazharul Islam, Ahmed K. Elfadl, Aisha Naeem, Randa Abdeen, Haya M. Al-Hajri, Md Abu Sayeed, Haileyesus Dejene, John I. Alawneh and Mohammad Mahmudul Hassan
Pathogens 2025, 14(9), 841; https://doi.org/10.3390/pathogens14090841 - 23 Aug 2025
Viewed by 980
Abstract
Paratuberculosis is a chronic zoonotic bacterial infection, primarily affecting ruminants. This review examines the disease in the Arabian Peninsula, focusing on distribution, molecular diversity, prevalence, and associated risk factors. Following PRISMA guidelines, a systematic search was conducted in PubMed, Scopus, and Web of [...] Read more.
Paratuberculosis is a chronic zoonotic bacterial infection, primarily affecting ruminants. This review examines the disease in the Arabian Peninsula, focusing on distribution, molecular diversity, prevalence, and associated risk factors. Following PRISMA guidelines, a systematic search was conducted in PubMed, Scopus, and Web of Science. After duplicate removal and eligibility screening, data extraction, analysis, and quality assessment were performed. Pathogen sequences were retrieved from NCBI GenBank for phylogenetic analysis. The review included a total of 31 published articles from 1997 to 2025, of which 26 were used in the meta-analysis. Most studies (n = 12) were published between 2011 and 2015, predominantly from Saudi Arabia (n = 22), with no reports from Qatar, Bahrain, or Yemen. The majority of the studies involved camels and sheep (n = 16 on each species), followed by cattle (n = 9), goats (n = 7), humans (n = 2), and buffalo (n = 1). Phylogenetic analysis delineates two major clades—Type S and Type C—suggesting greater genetic diversity in Type S. The estimated pooled seroprevalence and pathogen prevalence in livestock ruminants were 8.1% and 22.4%, respectively. Herd-level estimated pooled seroprevalence was 26.9%. Small ruminants (19.3%) were more sero-prevalent than large ruminants (7.4%), with goats (28.7%) significantly (p < 0.01) more affected than sheep (21.5%), camel (9.8%), and cattle (6.6%). Clinical signs in ruminants included chronic diarrhea, emaciation, anorexia, alopecia, wry neck, and dehydration. The reviewed study patterns and findings suggest high pathogen diversity and a significant risk of transboundary transmission at the human–animal interface in this region. A One Health surveillance approach is crucial, particularly on farms with diarrheic and emaciated animals. Establishing a national surveillance plan and phased (short-, intermediate-, and long-term) control programs is essential to mitigate economic losses, limit transmission, overcome the cultural barrier, and protect public health. Full article
Show Figures

Figure 1

12 pages, 861 KB  
Article
Prevalence and Risk Factors of Bovine Viral Diarrhea Virus Antibodies in Dairy Herds of Bangladesh
by Md. Saifullah Mahmud Sajeeb, Md. Shaffiul Alam, Md. Nazmul Islam, Md. Monirul Islam, Bishwo Jyoti Adhikari, Shanta Islam, Md. Siddiqur Rahman and A. K. M. Anisur Rahman
Vet. Sci. 2025, 12(8), 739; https://doi.org/10.3390/vetsci12080739 - 7 Aug 2025
Viewed by 1326
Abstract
A cross-sectional study was conducted in Bangladesh from January 2023 to December 2024 to assess the prevalence of BVDV antibodies and associated risk factors in dairy herds. Initially, 138 bulk milk samples were collected from herds across 14 districts and screened using a [...] Read more.
A cross-sectional study was conducted in Bangladesh from January 2023 to December 2024 to assess the prevalence of BVDV antibodies and associated risk factors in dairy herds. Initially, 138 bulk milk samples were collected from herds across 14 districts and screened using a commercial ELISA for BVDV antibodies. Subsequently, 767 individual milk samples were tested from cows in herds that screened positive. The overall herd-level seroprevalence was 72.5% (95% CI: 64.1–79.6), while the cow-level seroprevalence was 93.3% (95% CI: 91.3–94.9%). Within-herd seroprevalence varied from 81.8% to 100%. Herds with more than 70 cows had 31.95 times higher odds of BVDV seropositivity than those with 13–23 cows. BVD seroprevalence was significantly higher in the third, fifth, and eighth semen sources compared to the reference source. Cows older than 8 years had 4.53 times higher odds of seropositivity than those aged up to 4 years. Cows in thin physical condition had 13.02 times higher odds of seropositivity than those in normal condition. Conversely, cows producing over 8.8 kg of milk daily had a significantly lower seroprevalence of BVDV compared to those producing less than 8.8 kg, with an odds ratio of 0.41 (95% CI: 0.17–0.98). These findings suggest that BVDV exposure is widespread in dairy herds in Bangladesh. Regular serological screening, the use of semen from BVD-free bulls, and prioritizing surveillance for thin cows and low milk producers are essential. Improving nutrition, herd management, and targeted monitoring may help reduce BVDV transmission and improve herd productivity. Full article
(This article belongs to the Section Veterinary Microbiology, Parasitology and Immunology)
Show Figures

Figure 1

11 pages, 687 KB  
Article
Nationwide Seroprevalence of Coxiella burnetii Infection in Saudi Farm Animals: Implications for Public Health
by Samy Kasem, Roua A. Alsubki, Ahmed Saad, Kamal H. Zidan, Ibrahim Qasim, Osman Hashim, Ali Alkarar, Ali Abu-Obeida, Eman Damra, Zaaima Al-Jabri, Ahmed S. Abdel-Moneim and Waleed Al-Salem
Vet. Sci. 2025, 12(7), 629; https://doi.org/10.3390/vetsci12070629 - 1 Jul 2025
Cited by 1 | Viewed by 773
Abstract
Q fever, caused by the intracellular bacterium Coxiella burnetii, is a significant zoonotic disease for which ruminants are the main reservoir. This cross-sectional study aimed to assess the seroprevalence of C. burnetii in farm animals (sheep, goats, cattle, and camels) across Saudi [...] Read more.
Q fever, caused by the intracellular bacterium Coxiella burnetii, is a significant zoonotic disease for which ruminants are the main reservoir. This cross-sectional study aimed to assess the seroprevalence of C. burnetii in farm animals (sheep, goats, cattle, and camels) across Saudi Arabia. A total of 7760 serum samples were collected from 2253 sheep, 2224 goats, 1111 cattle, and 2172 camels, representing various regions of the country. The samples were screened for C. burnetii antibodies using an enzyme-linked immunosorbent assay (ELISA). The findings revealed significant regional and species-specific differences. The findings revealed notable regional and species-specific variations in seroprevalence. In goats, seropositivity was detected in 92% of the tested herds; however, only 48% of the individually tested animals were found to be positive. Similarly, camels exhibited herd-level seropositivity of 92.9% of the examined herds, with only 46.7% of the individually examined animals testing positive. For sheep, 80% of the examined sheep flocks were positive, while 30.2% of the individually tested animals were positive. Cattle showed a significantly lower seroprevalence, since only 27.6% of the screened herds were found to be positive, and only 8.2% of the individually tested animals were positive. In conclusion, the results indicate that C. burnetii infection is widespread among livestock in Saudi Arabia, with goats, camels, and sheep posing a particularly elevated risk of zoonotic transmission. The observed regional disparities and species-specific infection rates highlight the need for comprehensive surveillance and targeted control strategies to mitigate the spread of Q fever in Saudi Arabia. Full article
Show Figures

Figure 1

16 pages, 2758 KB  
Article
Herd Immunity to SARS-CoV-2 Among the Armenian Population in the Second Half of 2022
by Anna Yuryevna Popova, Vyacheslav Sergeevich Smirnov, Svetlana Alexandrovna Egorova, Gayane Gurgenovna Melik-Andreasyan, Stepan Armenovich Atoyan, Angelika Marsovna Milichkina, Irina Viktorovna Drozd, Gennady Hovsepovich Palozyan, Valery Andreevich Ivanov, Edward Smith Ramsay, Oyuna Bayarovna Zhimbayeva, Ara Shaenovich Keshishyan, Olga Alexandrovna Petrova, Alexandra Valerievna Gubanova, Alexandra Petrovna Razumovskaya, Anaida Vasilevna Tsakanyan, Armine Varshamovna Margaryan, Tatevik Surenovna Khachatryan and Areg Artemovich Totolian
Epidemiologia 2025, 6(3), 29; https://doi.org/10.3390/epidemiologia6030029 - 20 Jun 2025
Viewed by 780
Abstract
Aim. This study aimed to assess the SARS-CoV-2 herd immunity in the Republic of Armenia (RA) by late 2022. Materials and Methods. A randomized study was conducted from 28 November to 2 December (2022) by the Saint Petersburg Pasteur Institute (Russia) in collaboration [...] Read more.
Aim. This study aimed to assess the SARS-CoV-2 herd immunity in the Republic of Armenia (RA) by late 2022. Materials and Methods. A randomized study was conducted from 28 November to 2 December (2022) by the Saint Petersburg Pasteur Institute (Russia) in collaboration with the National Center for Disease Control and Prevention (Armenia). This study was approved by the ethics committees at both organizations. A volunteer cohort (N = 2974) was formed and grouped by participant age, region, or activity. Antibodies (Abs) to viral nucleocapsid antigen (Nc) and receptor-binding domain (RBD) in plasma were determined by ELISA. The statistical significance of differences was calculated using a p < 0.05 threshold, unless noted. Results. At the end of 2022, estimated SARS-CoV-2 seroprevalence (Nc and/or RBD Abs) among the Armenian population was 99% (95%CI: 98.5–99.3). It was evenly distributed throughout the cohort without any significant differences by age, region, or activity. Volunteers with low (32–124 BAU/mL) or medium (125–332 BAU/mL) anti-Nc Ab levels prevailed: 32.4% (95%CI: 30.7–34.1) and 25.5% (95% CI: 24.0–27.1), respectively. Regarding anti-RBD Abs, maximum levels (>450 BAU/mL) were detected in 40% of children. The share of individuals with high anti-RBD Abs levels increased with age, reaching 65% among those aged 70+ years. The important contribution to the formation of herd immunity to coronavirus infection was made by vaccination in the preceding period (1 April 2021 to 1 May 2022). The contribution from individuals with post-vaccination immunity was estimated to be above 80%. Hybrid immunity, formed after vaccination of those who had earlier experienced COVID-19, was characterized by greater effectiveness than post-vaccination immunity alone. Conclusions. Within the context of mass prophylactic vaccination, effective herd immunity to SARS-CoV-2 was formed, which helped to stop epidemic spread in the Republic. Full article
Show Figures

Figure 1

16 pages, 1678 KB  
Article
Herd Immunity to the Measles, Mumps and Rubella Viruses Among the Belgradian Population in May, 2024
by Anna Y. Popova, Vyacheslav S. Smirnov, Svetlana A. Egorova, Luka Dragačević, Angelica M. Milichkina, Jelena Protić, Ekaterina M. Danilova, Irina V. Drozd, Marija Petrušić, Ojuna B. Zhimbaeva, Elizaveta S. Glazkova, Nataša Gutić, Valeri A. Ivanov, Edward S. Ramsay, Oleg V. Kotsar, Vyacheslav Y. Smolensky and Areg A. Totolian
Vaccines 2025, 13(6), 652; https://doi.org/10.3390/vaccines13060652 - 18 Jun 2025
Cited by 1 | Viewed by 973
Abstract
Background/Objectives: In the Republic of Serbia, measles vaccination was first introduced in 1971, while combined vaccination (measles, mumps, rubella) was made mandatory in 1996 as part of the national vaccination program. Reported prevalence values for 2023 were <0.75 cases per 100K population for [...] Read more.
Background/Objectives: In the Republic of Serbia, measles vaccination was first introduced in 1971, while combined vaccination (measles, mumps, rubella) was made mandatory in 1996 as part of the national vaccination program. Reported prevalence values for 2023 were <0.75 cases per 100K population for measles, 0.09 cases per 100K for mumps, and no cases of rubella. Methods: This cross-sectional study was performed in May, 2024 as part of the project “Herd Immunity to Vaccine-Preventable and Other Relevant Infections in the Belgradian Population.” It focused on assessing herd immunity to measles, mumps and rubella (MMR) among residents insofar as these remain a public concern despite the availability of vaccines. A total of 2533 subjects were distributed across nine age groups, covering those aged 1–70+ years and various professional groups residing in Belgrade. Participants were stratified by age and activity. Upon obtaining individual information by online questionnaire and receiving a signed statement of informed consent, blood samples were obtained for IgG antibody testing (ELISA) to determine MMR serological status. The results were compared to national and international immunization standards to evaluate herd immunity levels. Results: Our results indicate varying levels of immunity for each virus, with specific demographic groups showing different immunity levels. Total measles seroprevalence during this study was 74.7%, with significant variation across all age groups. While high seropositivity was observed in both children (90.7%) and elder age groups (98.4%), middle-aged individuals in the age group 30–49 years showed significantly lower IgG levels. Between 2021 and 2023, there were no registered cases of rubella detected in Serbia, which indicates a high level of immunity. This was confirmed here with consistently high IgG levels across all age groups, with an average seropositivity of 94.8%. Average mumps seropositivity across all age groups was 85.1%. The lowest value was in the young child (1–5 years) age group (76.1%); the highest was in the elderly group (92.6%). Conclusions: The current findings suggest that the Belgradian population has strong overall immunity to MMR, yet with some concerns regarding measles immunity in middle-aged adults, suggesting a potential need for catch-up vaccinations. While rubella status indicates strong herd immunity and minimal risk of outbreaks, mumps immunity in some groups (children, middle-aged adults) is below the protective threshold. While it is still sufficient to prevent widespread transmission, it should be closely observed. To our knowledge, this study is the first of its kind to provide data about MMR seroprevalence in Belgrade. Findings indicate the need for constant surveillance and revaccination of vulnerable/seronegative groups. Full article
(This article belongs to the Section Vaccines and Public Health)
Show Figures

Figure 1

11 pages, 1375 KB  
Article
Seroprevalence of Antibodies to Brucella spp. and Neospora caninum in Cattle from Delta Region of Egypt: Correlation of Seropositivity with Abortion History
by Ragab M. Fereig, Amira M. Mazeed, Azzah S. Alharbi, Mona Z. Abdelraheem, Mosaab A. Omar, Abdulaziz M. Almuzaini, Mohamed El-Diasty, Hend I. Elsharkawy, Kamel Sobhy, Caroline F. Frey and Gamal Wareth
Immuno 2024, 4(4), 374-384; https://doi.org/10.3390/immuno4040024 - 13 Oct 2024
Cited by 3 | Viewed by 2064
Abstract
Bovine brucellosis and neosporosis are reported as potential abortifacient infections in cattle worldwide. Brucellosis is additionally a zoonotic bacterial infection caused by numerous Brucella species. Meanwhile, neosporosis is a protozoan parasitic disease that is implicated in causing high economic losses in the cattle [...] Read more.
Bovine brucellosis and neosporosis are reported as potential abortifacient infections in cattle worldwide. Brucellosis is additionally a zoonotic bacterial infection caused by numerous Brucella species. Meanwhile, neosporosis is a protozoan parasitic disease that is implicated in causing high economic losses in the cattle industry. Herein, we attempted to investigate the seroprevalence of specific antibodies to Brucella spp. and Neospora caninum using commercially available ELISAs. In addition, we conducted risk factor analysis and estimated the correlation of seropositivity of both pathogens with the recorded abortions in the tested herds. Serum samples from cattle (n = 460) collected from various governorates in the Delta region, northern Egypt, were targeted in this study. Overall, a seroprevalence of 5.4%, 33.3%, and 1.3% was revealed for Brucella spp., N. caninum, and mixed seropositivity, respectively. The location (Kafr El Sheikh vs. Dakahlia vs. Al-Qalyubiya vs. Damietta governorates) and a history of abortion (yes vs. no vs. unknown) were analyzed as risk factors of infection. Kafr El Sheikh governorate (57.7%, p = < 0.0001) and a history of abortion (54.1%, p = < 0.0001) were considered risk factors for Brucella spp. seropositivity compared to the reference factors Al-Qalyubiya (1.1%) and unknown abortion history (0.6%). In the case of N. caninum, the location was also considered a risk factor because the seropositive rates were significantly higher in Damietta (51%, p = 0.001) and Dakahlia (33.4%, p = 0.026) compared to Kafr El Sheikh (11.3%, set as a reference). Conversely to Brucella, animals without a history of abortion exhibited a higher seropositive rate for N. caninum (47.6%, p = 0.009) compared to those with a history of abortion (21.6%, set as reference). For further investigations into the association between abortion and the obtained seropositive rates, we also analyzed the reactivity by comparing samples of animals with, without, and unknown history of abortion. We detected high seroreactivity for Brucella spp. in samples collected from animals with a history of abortion, as demonstrated in the recorded antibody levels and correlation coefficient (Pearson r = 0.919). Based on our data, despite the higher seroprevalence of N. caninum compared to that of Brucella species, Brucella spp. might be the primary cause of abortion in our tested cattle population. Full article
Show Figures

Figure 1

12 pages, 533 KB  
Article
A Serological Survey of Measles and Rubella Antibodies among Different Age Groups in Eastern China
by Rui Yan, Hanqing He, Xuan Deng, Yang Zhou, Xuewen Tang, Yao Zhu, Hui Liang, Yaping Chen, Mengya Yang, Yuxia Du, Can Chen, Jiaxin Chen, Shigui Yang and RIDPHE Group
Vaccines 2024, 12(8), 842; https://doi.org/10.3390/vaccines12080842 - 25 Jul 2024
Cited by 5 | Viewed by 2087
Abstract
Background: Measles and rubella are vaccine-preventable diseases targeted for elimination in most World Health Organization regions, and China is considered to have momentum towards measles elimination. Therefore, this study aimed to assess the population immunity levels against measles and rubella in Zhejiang Province [...] Read more.
Background: Measles and rubella are vaccine-preventable diseases targeted for elimination in most World Health Organization regions, and China is considered to have momentum towards measles elimination. Therefore, this study aimed to assess the population immunity levels against measles and rubella in Zhejiang Province in China in order to provide valuable insights for informing future public health measures and contributing to the ongoing global campaign against these diseases. Materials and methods: A cross-sectional serological survey was conducted in 2022. A total of 2740 blood samples were collected from healthy individuals spanning the age range of 0–59 years, representing diverse demographic strata across 11 prefectures in Zhejiang Province in China. The sera were tested for measles and rubella IgG antibodies to determine positivity rates and geometric mean concentrations (GMCs). Results: The overall positivity rate for the measles IgG antibody was 85.3%, with a GMC of 588.30 mIU/mL. The positivity rate for the rubella IgG antibody was 70.9%, and the GMC was 35.30 IU/mL. Measles IgG antibody positivity rates across the 0–11 months, 12–23 months, 24–35 months, 3–5 years, 6–9 years, 10–14 years, 15–19 years, 20–29 years, and 30–59 years age groups were 63.1%, 92.5%, 97.0%, 94.0%, 85.8%, 77.3%, 86.9%, 84.9%, and 88.7%, respectively (trend χ2 = 118.34, p < 0.001). Correspondingly, rubella antibody positivity rates for these same age brackets were 55.9%, 87.9%, 94.7%, 88.2%, 69.9%, 54.2%, 72.6%, 67.5%, and 74.3% (trend χ2 = 199.18, p < 0.001). Both univariate and multivariate analyses consistently demonstrated that age, immunization history, and differing economic levels were significant factors contributing to variations in antibody levels. Conclusions: The seroprevalence of measles and rubella was lower than that required for herd immunity. Periodic vaccination campaigns should be launched to increase immunity. Full article
Show Figures

Figure 1

11 pages, 910 KB  
Article
Serological and Community Awareness Study of Lumpy Skin Disease in Different Agro-Ecological Zones of Sidama Regional State, Southern Ethiopia
by Nebyou Moje, Adane Seifu, Gizachew Hailegebreal, Dereje Shegu, Serena Montagnaro and Gianmarco Ferrara
Animals 2024, 14(12), 1782; https://doi.org/10.3390/ani14121782 - 13 Jun 2024
Cited by 4 | Viewed by 1796
Abstract
The lumpy skin disease (LSD) vaccination status and epidemiological distribution remain unknown in some parts of Ethiopia, including the Sidama regional state. In this study, a serological survey of LSD was performed using a specific virus neutralization assay in selected districts of the [...] Read more.
The lumpy skin disease (LSD) vaccination status and epidemiological distribution remain unknown in some parts of Ethiopia, including the Sidama regional state. In this study, a serological survey of LSD was performed using a specific virus neutralization assay in selected districts of the Sidama regional state representing three agroecological zones from September 2021 to June 2022. Moreover, an assessment of community awareness and LSD vaccine-related problems was conducted using a questionnaire. Our results showed an overall animal and herd level seroprevalence of 40.8% (95%CI = 35.8, 45.8) and 81% (95%CI = 77, 85), respectively. High and low seroprevalence were observed in lowland (48%) and highland (28%) areas, although they were not statistically significant. However, risk factors such as management systems and breeds showed substantial differences in their LSD prevalence. The results obtained through the questionnaire showed that a small portion of respondents (29.2%) know about LSD and vaccinate their cattle (23.3%) against this disease. Only 20.8% of the respondents stated that there was LSD occurrence in their vaccinated cattle. In conclusion, both qualitative and quantitative study results showed the need for intervention in terms of community-based awareness creation about LSD clinical signs and vaccination advantages together with the frequently updated information on LSD prevalence. Full article
(This article belongs to the Collection Cattle Diseases)
Show Figures

Figure 1

13 pages, 3805 KB  
Article
Prevalence and Genetic Characterization of Porcine Respiratory Coronavirus in Korean Pig Farms
by Ju-Han Kim, Jonghyun Park, Dong-Kyu Lee, Won-Il Kim, Young S. Lyoo, Choi-Kyu Park and Hye-Ryung Kim
Animals 2024, 14(11), 1698; https://doi.org/10.3390/ani14111698 - 5 Jun 2024
Cited by 5 | Viewed by 2286
Abstract
Porcine respiratory coronavirus (PRCV) is a member of the species Alphacoronavirus 1 within the genus Alphacoronavirus of the family Coronaviridae. A few studies have been conducted on the prevalence of PRCV since its first identification in 1997, but there have been no [...] Read more.
Porcine respiratory coronavirus (PRCV) is a member of the species Alphacoronavirus 1 within the genus Alphacoronavirus of the family Coronaviridae. A few studies have been conducted on the prevalence of PRCV since its first identification in 1997, but there have been no recent studies on the prevalence and genetic characterization of the virus in Korea. In this study, the seroprevalence of PRCV was determined in Korean pig farms using a commercially available TGEV/PRCV differential enzyme-linked immunosorbent assay kit. The farm-level seroprevalence of PRCV was determined to be 68.6% (48/70), similar to previous reports in Korea, suggesting that PRCV is still circulating in Korean pig herds nationwide. Among the 20 PRCV-seropositive farms tested in this study, PRCV RNAs were detected in 17 oral fluid samples (28.3%) from nine farms (45.0%), while TGEV RNAs were not detected in any sample. To investigate the genetic characteristics of Korean PRCV strains, genetic and phylogenetic analyses were conducted on PRCV spike gene sequences obtained in this study. The three Korean PRCV strains (KPRCV2401, KPRCV2402, and KPRCV2403) shared 98.5–100% homology with each other and 96.2–96.6% and 91.6–94.5% homology with European and American strains, respectively. A 224-amino acid deletion was found in the S gene of both Korean and European PRCVs but not in that of American PRCVs, suggesting a European origin for Korean PRCVs. Phylogenetic analysis showed that Korean PRCVs are more closely related to European PRCVs than American PRCVs but clustered apart from both, suggesting that Korean PRCV has evolved independently since its emergence in Korean PRCVs. The results of this study will help expand knowledge on the epidemiology and molecular biology of PRCV currently circulating in Korea. Full article
(This article belongs to the Special Issue Studies of Swine Coronavirus)
Show Figures

Figure 1

15 pages, 707 KB  
Article
A Combined Approach for the Characterization of Small Ruminant Lentivirus Strains Circulating in the Islands and Mainland of Greece
by Ilias Bouzalas, Evangelia D. Apostolidi, Daniela Scalas, Evangelia Davidopoulou, Taxiarchis Chassalevris, Sergio Rosati and Barbara Colitti
Animals 2024, 14(7), 1119; https://doi.org/10.3390/ani14071119 - 6 Apr 2024
Cited by 3 | Viewed by 1779
Abstract
Small ruminant lentiviruses are a group of viruses infecting goat and sheep worldwide. These viruses exhibit an extraordinary degree of genetic and antigenic variability that severely influence in vivo and in vitro features, as well as diagnostic test results. Small ruminant farming is [...] Read more.
Small ruminant lentiviruses are a group of viruses infecting goat and sheep worldwide. These viruses exhibit an extraordinary degree of genetic and antigenic variability that severely influence in vivo and in vitro features, as well as diagnostic test results. Small ruminant farming is the most important animal farming business in Greece, with a high impact on the Greek primary economy. Although SRLV infection and its impact on animal production are well established in the country, little is known about the circulating SRLV strains and their prevalence. The aim of this study was to characterize SRLVs circulating in Greece with a combined serological and molecular approach, using the bulk milk matrix collected from 60 farms in different municipalities. This study allowed us to estimate a seroprevalence of around 52% at the herd level. The B1, B2 and A3 subtypes and a novel A viral cluster were identified. Moreover, the amplicon sequencing method allowed us to identify more than one viral subtype in a sample. These results again confirm the high variability of these viruses and highlight the importance of the constant monitoring of viral evolution, in particular in antigens of diagnostic interest. Full article
(This article belongs to the Special Issue Small Ruminants and Lentivirus Research: Future Directions)
Show Figures

Figure 1

Back to TopTop