Sign in to use this feature.

Years

Between: -

Subjects

remove_circle_outline
remove_circle_outline
remove_circle_outline
remove_circle_outline
remove_circle_outline
remove_circle_outline
remove_circle_outline
remove_circle_outline
remove_circle_outline

Journals

Article Types

Countries / Regions

remove_circle_outline
remove_circle_outline
remove_circle_outline

Search Results (127)

Search Parameters:
Keywords = habitat interfaces

Order results
Result details
Results per page
Select all
Export citation of selected articles as:
17 pages, 6423 KB  
Article
Gut Microbiota Composition and Predicted Functional Profiles of Fishes Along an Urbanization Gradient in Shanghai’s Suzhou River, China
by Shuo Feng, Hua Xue, Xirong Lin, Ana Wu and Wenqiao Tang
Fishes 2026, 11(4), 224; https://doi.org/10.3390/fishes11040224 - 10 Apr 2026
Viewed by 25
Abstract
Ongoing urbanization continuously reshapes water quality, habitat structure, and biological communities in river ecosystems; however, its impacts on host-associated microbial communities remain poorly documented. The fish gut microbiota, a critical interface between the aquatic environment and host physiology, is widely recognized as an [...] Read more.
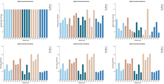
Ongoing urbanization continuously reshapes water quality, habitat structure, and biological communities in river ecosystems; however, its impacts on host-associated microbial communities remain poorly documented. The fish gut microbiota, a critical interface between the aquatic environment and host physiology, is widely recognized as an integrative indicator of both environmental change and host ecological traits. This study established a continuous urbanization gradient along Shanghai’s Suzhou River, spanning from suburban areas through the outer and inner ring roads to the city center. Five common wild fish species (Coilia nasus, Hemiculter bleekeri, Culter alburnus, Acheilognathus macropterus, and Pseudorasbora parva) were collected, and their gut microbiota were characterized via high-throughput 16S rRNA gene sequencing. Significant variation in OTU richness, alpha diversity, and community structure was observed across urbanization gradients and among fish species. Principal coordinate analysis revealed that samples from suburban areas were structurally distinct from those collected in other zones, whereas inner-ring and urban-core areas exhibited substantial compositional overlap. Taxonomic analysis revealed that Firmicutes and Pseudomonadota dominated all samples; however, their relative abundances and genus-level composition varied considerably among fish species and across the urbanization gradient. PICRUSt-based functional prediction indicated that metabolic pathways predominated, particularly those involved in global and overview maps, carbohydrate metabolism, amino acid metabolism, energy metabolism, and metabolism of cofactors and vitamins. Collectively, these findings demonstrate that fish gut microbial communities exhibit spatial structuring along the urbanization gradient, with species-specific responses linked to ecological traits. This study provides valuable data on host-associated microbial communities in urban rivers and offers a reference for incorporating microbial indicators into urban water ecological assessments. Full article
(This article belongs to the Section Biology and Ecology)
Show Figures

Figure 1

31 pages, 12257 KB  
Article
Amphibians and Reptiles of the Veracruzan Biogeographic Province of Mexico: Patterns of Diversity, Similarity, and Conservation
by Julio A. Lemos-Espinal, Geoffrey R. Smith, Erik Joaquín Torres-Romero and Guillermo A. Woolrich-Piña
Diversity 2026, 18(4), 209; https://doi.org/10.3390/d18040209 - 2 Apr 2026
Viewed by 386
Abstract
The Veracruzan biogeographic province is a central part of the Gulf of Mexico slope and serves as an interface between the Neotropical Region, the Mexican Transition Zone, and the Nearctic Region. We provide an overview of amphibian and reptile diversity in the province, [...] Read more.
The Veracruzan biogeographic province is a central part of the Gulf of Mexico slope and serves as an interface between the Neotropical Region, the Mexican Transition Zone, and the Nearctic Region. We provide an overview of amphibian and reptile diversity in the province, focusing on species richness, endemism, conservation status, and faunal similarity to neighboring biogeographic provinces. In the Veracruzan biogeographic province there are 343 native species of amphibians and reptiles, encompassing nearly one quarter of the Mexican herpetofauna, with over 85% of the families and over 90% of the genera found in Mexico represented. The province therefore possesses exceptional taxonomic richness. It has the fifth highest richness among Mexican biogeographic provinces. The herpetofauna comprises several Neotropical taxa and locally endemic species found among amphibians of montane and cloud forest fauna. Richness of amphibians and reptiles generally increases with province area. Regions of the Mexican Transition Zone exhibit a relatively higher species richness than their Neotropical neighbors. Analyses of faunal similarities between the Veracruzan province and its neighboring provinces and highlight the importance of geographic proximity, environmental continuity, and historical processes for assemblage composition. Amphibians are more threatened than reptiles, with high levels of endemism and vulnerability to habitat loss and emerging diseases, whereas reptiles are more threatened by habitat degradation, exploitation, and invasive species. Our findings show that the Veracruzan biogeographic province is an important reservoir of herpetofaunal diversity and a priority region for conservation in Mexico. Full article
(This article belongs to the Section Biodiversity Conservation)
Show Figures

Figure 1

29 pages, 2553 KB  
Article
Opportunities and Barriers to Integrating Urban Grasslands into Green Infrastructure: A Socio-Institutional Assessment of Latvian Cities
by Daiga Skujane, Natalija Nitavska, Madara Markova, Anete Lagzdina and Alise Cavare
Land 2026, 15(3), 505; https://doi.org/10.3390/land15030505 - 21 Mar 2026
Viewed by 250
Abstract
Natural grasslands are among the most endangered habitats in Northern, Central and Eastern Europe due to the agricultural intensification, land abandonment and afforestation, urban expansion, and the loss of traditional low-intensity management, on which their biodiversity depends. One way to increase the number [...] Read more.
Natural grasslands are among the most endangered habitats in Northern, Central and Eastern Europe due to the agricultural intensification, land abandonment and afforestation, urban expansion, and the loss of traditional low-intensity management, on which their biodiversity depends. One way to increase the number of natural grasslands is by integrating them into urban green infrastructure as a nature-based solution to enhance ecological resilience and urban livability: diverse grassland systems support pollinators, improve soil structure and stormwater infiltration, mitigate urban heat and provide restorative, experience-rich public spaces. The aim of the study is to explore opportunities and barriers to integrating different types of grasslands into the green infrastructure of Latvian cities, with a primary focus on public perceptions and institutional aspects of urban grassland implementation and management. A mixed-methods approach was applied, combining resident surveys, interviews with municipal experts—territorial development specialists, planners and maintenance managers—and comparative policy analysis. Results show that although residents acknowledge the ecological benefits of urban grasslands, they prefer them in peripheral or underused areas rather than in city centres and residential zones, as these areas are often aesthetically perceived as “untidy” or neglected, conflicting with cultural norms that favour short, intensively mown lawns and raising concerns about insects. Acceptance increases through communication and participatory practices. Municipal approaches range from structured maintenance guidelines, including delayed mowing, biomass removal, and invasive species control, to flexible experimentation. The study contributes scientifically grounded insights into governance, perception, and management interfaces critical for mainstreaming socially accepted urban grasslands. Full article
Show Figures

Figure 1

16 pages, 1219 KB  
Article
Epidemiological Features and Environmental Factors of Severe Fever with Thrombocytopenia Syndrome Patients in a Highly Endemic Region: A 12-Year Surveillance Study
by Xin Yang, Cheng-Juan Liu, Hong-Han Ge, Chun-Hui Li, Li-Fen Hu, Xiao-Ai Zhang, Ming Yue, Pei-Jun Guo and Wei Liu
Pathogens 2026, 15(3), 328; https://doi.org/10.3390/pathogens15030328 - 18 Mar 2026
Viewed by 432
Abstract
Background: Severe fever with thrombocytopenia syndrome (SFTS) has become an increasing public health threat in China, with Yantai City representing a major endemic focus. A fine-scale, long-term epidemiological analysis integrating human case data with vector surveillance is essential for understanding local transmission dynamics. [...] Read more.
Background: Severe fever with thrombocytopenia syndrome (SFTS) has become an increasing public health threat in China, with Yantai City representing a major endemic focus. A fine-scale, long-term epidemiological analysis integrating human case data with vector surveillance is essential for understanding local transmission dynamics. Methods: We conducted a retrospective analysis using 12-year (2013–2024) county-level SFTS surveillance data from Yantai City. Temporal trends were analyzed by Joinpoint regression. Concurrent field surveillance of Haemaphysalis longicornis (2019–2024) was used to quantify local SFTSV infection rates in ticks. Associations between SFTS incidence and environmental/livestock factors were evaluated using Spearman’s correlation and multivariable negative binomial regression. Results: A total of 1964 SFTS cases were reported. The annual incidence rate increased from 0.65 to 5.12 per 100,000 population, with an average annual percentage change (AAPC) of 13.56% 2013–2024, showing the most substantial rise among the elderly. Marked spatial heterogeneity was observed, with county-level mean incidence ranging from 0.30 to 5.23 per 100,000. The SFTSV infection rate in ticks surged from 0.54% in 2019 to 3.24% in 2024, and showed a strong positive correlation with human incidence both seasonally (ρ = 0.998) and across counties (ρ = 0.79), a pattern likely driven by shared environmental factors. Multivariable analysis identified grassland coverage (adjusted IRR [aIRR] = 1.21), woodland coverage (aIRR = 2.31), goat density (aIRR = 1.49), and tick infection rate (aIRR = 1.65) as independent risk factors, while urban land was protective (aIRR = 0.83). The overall case fatality rate was 8.86%, showing a declining trend, but was significantly higher in males (10.90%) than in females (7.04%), particularly among the elderly. Conclusions: SFTS incidence in Yantai increased significantly over the past decade, characterized by a heightened burden on the elderly and strong spatiotemporal clustering. Risk is independently mediated by ecological interfaces, notably woodland/grassland habitats and goat rearing. These findings delineate high-risk areas and populations, offering crucial insights for developing targeted public health strategies. Full article
(This article belongs to the Section Viral Pathogens)
Show Figures

Figure 1

19 pages, 4689 KB  
Article
Functional Microbes Mediate the Impact of Soil Depth and Anthropogenic Activities on Greenhouse Gas Fluxes in the Yellow River Delta, China
by Zhengxi Cai, Qingxuan Meng, Jingyu Sun, Xinkun Zhao and Qingfeng Chen
Sustainability 2026, 18(6), 2798; https://doi.org/10.3390/su18062798 - 12 Mar 2026
Viewed by 247
Abstract
Coastal wetlands represent significant sources of greenhouse gases (GHGs) and serve as crucial ecological interfaces between terrestrial and marine environments, substantially contributing to global biogeochemical cycles. However, GHG emission fluxes are strongly influenced by complex anthropogenic activities, yet their underlying microbial mechanisms remain [...] Read more.
Coastal wetlands represent significant sources of greenhouse gases (GHGs) and serve as crucial ecological interfaces between terrestrial and marine environments, substantially contributing to global biogeochemical cycles. However, GHG emission fluxes are strongly influenced by complex anthropogenic activities, yet their underlying microbial mechanisms remain poorly understood. This study investigated seven representative human-impacted sites within the Yellow River Delta. Employing a combined approach of in vitro microcosm cultivation, molecular biology, and multivariate statistical analysis, we investigated the integrated mechanisms controlling nitrous oxide (N2O) and methane (CH4) fluxes, with consideration of soil depth, environmental factors, microbial communities, and functional microbes. The results indicated that significant differences in GHG fluxes among different anthropogenic activities and soil depths (p < 0.05). Surface soil N2O fluxes were positive within sewage irrigation areas (20.98–35.08 mg N2O-N m−2 h−1) and tourism development areas (12.52–23.87 mg N2O-N m−2 h−1), while mariculture areas displayed negative fluxes. CH4 fluxes were positive exclusively in natural areas (surface soil: 25.02–55.54 mg CH4-C m−2 h−1; deep soil: 8.38–356.68 mg CH4-C m−2 h−1), while other areas predominantly showed negative values (surface soil: −130.98–44.32 mg CH4-C m−2 h−1; deep soil: −106.16–65.24 mg CH4-C m−2 h−1). Furthermore, a structural equations model highlighted the pivotal role of key functional microbes in soil carbon–nitrogen cycling (e.g., nirK, nosZII, and SRB) involved in soil carbon–nitrogen cycling in negatively regulating N2O and CH4 fluxes. The study also revealed distinct microbial responses across diverse habitats, underscoring the significant role of Proteobacteria in wetland soil. This research enhances our understanding of GHG dynamics in coastal wetlands and provides scientific evidence and potential regulatory pathways for enhancing soil biological mitigation functions and achieving carbon neutrality and sustainability within wetland ecosystems. Full article
Show Figures

Figure 1

17 pages, 2930 KB  
Article
Diurnal Variation in Water–Air Greenhouse Gas Fluxes Across Different Aquatic Vegetation Habitats in a Shallow Subtropical Lake
by Rui Guo, Chao Guo, Jie Ke, Yuyu Xiang, Kaiying Guo, Chengcheng Deng, Xuefeng Shi, Tanglin Zhang, Jiashou Liu and Wei Li
Water 2026, 18(5), 557; https://doi.org/10.3390/w18050557 - 26 Feb 2026
Viewed by 473
Abstract
Lakes are important sources of greenhouse gases (GHGs), but diurnal flux dynamics across different aquatic vegetation habitats are not well quantified, leading to uncertainties in ecosystem-scale budgets. Here, we used high-frequency monitoring (static chamber coupled with Picarro G2301) to examine diurnal CO2 [...] Read more.
Lakes are important sources of greenhouse gases (GHGs), but diurnal flux dynamics across different aquatic vegetation habitats are not well quantified, leading to uncertainties in ecosystem-scale budgets. Here, we used high-frequency monitoring (static chamber coupled with Picarro G2301) to examine diurnal CO2 and CH4 fluxes at the water–air interface in three habitats—submerged macrophytes (SM), emergent macrophytes (EM), and non-vegetated control (BC)—in the shallow lake (Changshu Emergency Water Source Lake). During the study period, the lake was a consistent net CO2 sink (mean flux: −17.53 ± 1.64 μmol·m−2·d−1) but a net CH4 source (mean flux: 5.86 ± 1.70 μmol·m−2·d−1). Pronounced diel variability was observed: CO2 uptake was strongly enhanced during the day, whereas CH4 emissions peaked at night. Vegetation type exerted a strong control on flux magnitudes, with the SM habitat showing the highest CO2 uptake and the EM habitat the lowest CH4 emissions. Generalized linear models (GLMs) revealed that the regulatory effects of key environmental drivers (e.g., temperature, dissolved oxygen, turbidity) on gas fluxes varied significantly by habitat type and diurnal cycle, exhibiting distinct patterns of differentiation. Our findings highlight that accurate assessment of GHG fluxes from shallow lakes—and thus reliable carbon budgeting—must explicitly account for both diurnal cycles and the distinct regulatory roles of aquatic vegetation types. Full article
(This article belongs to the Special Issue Research on the Carbon and Water Cycle in Aquatic Ecosystems)
Show Figures

Figure 1

15 pages, 1485 KB  
Article
Prevalence of Gastrointestinal Parasites in Wild Asian Elephants (Elephas maximus) at a National Park in Eastern Thailand
by Supakarn Kaewchot, Suporn Thongyuan, Supaphen Sripiboon, Rattanawat Chaiyarat, Pithak Yingyong, Watanyu Bunsermyos, Thitichai Jarudecha and Pornchai Sanyathitiseree
Biology 2026, 15(4), 313; https://doi.org/10.3390/biology15040313 - 11 Feb 2026
Viewed by 926
Abstract
Protected national parks continue to face increased pressure from the expansion of human–wildlife interface zones, where habitat encroachment promotes human–wildlife contact and zoonotic disease transmission. Gastrointestinal parasites (GIPs) are a significant health issue in wild Asian elephants (Elephas maximus), affecting their [...] Read more.
Protected national parks continue to face increased pressure from the expansion of human–wildlife interface zones, where habitat encroachment promotes human–wildlife contact and zoonotic disease transmission. Gastrointestinal parasites (GIPs) are a significant health issue in wild Asian elephants (Elephas maximus), affecting their fitness, survival, and potential for cross-species transmission. This study aimed to investigate the prevalence of GIPs among wild elephants at Khao Sip Ha Chan National Park in eastern Thailand. Direct smear, formalin-ethyl acetate sedimentation, flotation, and McMaster egg per gram (EPG) counting were used to examine 135 fecal samples from three populations. The findings showed that nematodes (Strongyle-type and Strongyloides spp.) and trematodes (Paramphistomum spp. and Fascioloides jacksoni) were identified. All samples were positive for at least one parasite species, and 84.4% were affected by mixed infections. The prevalence of Strongyle-type and Strongyloides spp. varied significantly among the studied populations, but Paramphistomum spp. had a moderate prevalence, and Fascioloides jacksoni had a low prevalence. The high parasite burden could be explained by environmental factors, host density, and movement patterns influencing parasite transmission, and these factors should be further investigated. These findings provide crucial baseline data and underscore the need for integrated parasite surveillance, alongside long-term conservation and future research. Full article
(This article belongs to the Special Issue Detection of Parasites and Parasitic Diseases in Animals)
Show Figures

Figure 1

35 pages, 5325 KB  
Article
Phenotypic Antimicrobial Resistance of Some Bacterial Strains Isolated from Red Foxes (Vulpes vulpes) in Western Romania
by Alex-Cristian Moza, Iulia-Maria Bucur, Kalman Imre, Sebastian Alexandru Popa, Alexandra Adriana Grigoreanu, Ana-Maria Plotuna, Andrei Alexandru Ivan, Narcisa Geanina Mederle, Andreea-Talida Tîrziu and Emil Tîrziu
Antibiotics 2026, 15(2), 167; https://doi.org/10.3390/antibiotics15020167 - 4 Feb 2026
Viewed by 589
Abstract
Background/Objectives: Recent investigations point to red foxes (Vulpes vulpes) as a very potent sentinel species for monitoring the dissemination of antimicrobial bacteria in wildlife habitats. Methods: This study investigated antimicrobial resistance in red foxes from 16 hunting grounds (peri-urban and peri-rural) [...] Read more.
Background/Objectives: Recent investigations point to red foxes (Vulpes vulpes) as a very potent sentinel species for monitoring the dissemination of antimicrobial bacteria in wildlife habitats. Methods: This study investigated antimicrobial resistance in red foxes from 16 hunting grounds (peri-urban and peri-rural) in western Romania, between 2022 and 2024, in order to evaluate the species as “One Health” sentinels at the wildlife–human–animal interface. During this period, 137 bacterial strains previously identified from 216 samples were phenotypically tested using both the Kirby–Bauer disk diffusion method and the Vitek 2 Compact system. Results: Among the Gram-negative isolates, particularly Escherichia coli and Salmonella enterica, notable antimicrobial resistance and multidrug-resistant (MDR) phenotypes were observed, including resistance to third-generation cephalosporins (ceftazidime) and reduced susceptibility to carbapenems. Resistance patterns observed in Proteus spp. largely reflected intrinsic resistance traits. Methicillin-resistant and MDR staphylococci (Staphylococcus aureus, S. pseudintermedius and S. sciuri) were detected in both peri-urban and peri-rural hunting grounds, with higher frequencies observed in peri-rural areas. Although MDR prevalence was slightly higher in peri-urban compared to peri-rural sites, no statistically significant association was identified between area of isolation and antimicrobial resistance or MDR status. Antimicrobial susceptibility results obtained by disk diffusion and the Vitek 2 Compact system showed a high level of concordance for antibiotics tested in common. Conclusions: Overall, these findings support the use of red foxes as effective One Health sentinels for monitoring environmental antimicrobial resistance occurrence across wildlife, domestic animals, and human-impacted habitats. Full article
(This article belongs to the Special Issue A One Health Approach to Antimicrobial Resistance, 2nd Edition)
Show Figures

Figure 1

22 pages, 11123 KB  
Article
Compilation of a Nationwide River Image Dataset for Identifying River Channels and River Rapids via Deep Learning
by Nicholas Brimhall, Kelvyn K. Bladen, Thomas Kerby, Carl J. Legleiter, Cameron Swapp, Hannah Fluckiger, Julie Bahr, Makenna Roberts, Kaden Hart, Christina L. Stegman, Brennan L. Bean and Kevin R. Moon
Remote Sens. 2026, 18(2), 375; https://doi.org/10.3390/rs18020375 - 22 Jan 2026
Viewed by 690
Abstract
Remote sensing enables large-scale, image-based assessments of river dynamics, offering new opportunities for hydrological monitoring. We present a publicly available dataset consisting of 281,024 satellite and aerial images of U.S. rivers, constructed using an Application Programming Interface (API) and the U.S. Geological Survey’s [...] Read more.
Remote sensing enables large-scale, image-based assessments of river dynamics, offering new opportunities for hydrological monitoring. We present a publicly available dataset consisting of 281,024 satellite and aerial images of U.S. rivers, constructed using an Application Programming Interface (API) and the U.S. Geological Survey’s National Hydrography Dataset. The dataset includes images, primary keys, and ancillary geospatial information. We use a manually labeled subset of the images to train models for detecting rapids, defined as areas where high velocity and turbulence lead to a wavy, rough, or even broken water surface visible in the imagery. To demonstrate the utility of this dataset, we develop an image segmentation model to identify rivers within images. This model achieved a mean test intersection-over-union (IoU) of 0.57, with performance rising to an actual IoU of 0.89 on the subset of predictions with high confidence (predicted IoU > 0.9). Following this initial segmentation of river channels within the images, we trained several convolutional neural network (CNN) architectures to classify the presence or absence of rapids. Our selected model reached an accuracy and F1 score of 0.93, indicating strong performance for the classification of rapids that could support consistent, efficient inventory and monitoring of rapids. These data provide new resources for recreation planning, habitat assessment, and discharge estimation. Overall, the dataset and tools offer a foundation for scalable, automated identification of geomorphic features to support riverine science and resource management. Full article
(This article belongs to the Section Environmental Remote Sensing)
Show Figures

Graphical abstract

33 pages, 2271 KB  
Review
Cross-Ecosystem Transmission of Pathogens from Crops to Natural Vegetation
by Marina Khusnitdinova, Valeriya Kostyukova, Gulnaz Nizamdinova, Alexandr Pozharskiy, Yerlan Kydyrbayev and Dilyara Gritsenko
Forests 2026, 17(1), 76; https://doi.org/10.3390/f17010076 - 7 Jan 2026
Viewed by 710
Abstract
Cross-ecosystem transmission of plant pathogens from crops to natural forests is increasingly recognized as a key factor in disease emergence and biodiversity loss. Agricultural systems serve as major sources of inoculum, with landscape interfaces—such as crop–forest edges, riparian zones, abandoned orchards, and nursery–wildland [...] Read more.
Cross-ecosystem transmission of plant pathogens from crops to natural forests is increasingly recognized as a key factor in disease emergence and biodiversity loss. Agricultural systems serve as major sources of inoculum, with landscape interfaces—such as crop–forest edges, riparian zones, abandoned orchards, and nursery–wildland transitions—acting as active epidemiological gateways. Biological vectors, abiotic dispersal, and human activities collectively enable pathogen movement across these boundaries. Host-range expansion, recombination, and hybridization allow pathogens to infect both cultivated and wild hosts, leading to generalist and recombinant lineages that survive across diverse habitats. In natural ecosystems, such introductions can alter community composition, decrease resilience, and intensify the impacts of climate-driven stress. Advances in molecular diagnostics, genomic surveillance, environmental DNA, and remote sensing–GIS (Geographic Information System) approaches now enable high-resolution detection of pathogen flow across landscapes. Incorporating these tools into interface-focused monitoring frameworks offers a pathway to earlier detection, better risk assessment, and more effective mitigation. A One Health, landscape-based approach that treats agro–wild interfaces as key control points is essential for reducing spillover risk and safeguarding both agricultural productivity and the health of natural forest ecosystems. Full article
(This article belongs to the Special Issue Reviews on Innovative Monitoring and Diagnostics for Forest Health)
Show Figures

Figure 1

34 pages, 11413 KB  
Article
Hydrodynamic-Ecological Synergistic Effects of Interleaved Jetties: A CFD Study Based on a 180° Bend
by Dandan Liu, Suiju Lv and Chunguang Li
Hydrology 2026, 13(1), 17; https://doi.org/10.3390/hydrology13010017 - 2 Jan 2026
Viewed by 1372
Abstract
Under the dual pressures of global climate change and anthropogenic activities, enhancing the ecological functions of hydraulic structures has become a critical direction for sustainable watershed management. While traditional spur dike designs primarily focus on bank protection and flood control, current demands require [...] Read more.
Under the dual pressures of global climate change and anthropogenic activities, enhancing the ecological functions of hydraulic structures has become a critical direction for sustainable watershed management. While traditional spur dike designs primarily focus on bank protection and flood control, current demands require additional consideration of river ecosystem restoration. Numerical simulations were performed using the RNG k-ε turbulence model to solve the three-dimensional Reynolds-averaged Navier–Stokes equations, a formulation that enhances prediction accuracy for complex flows in curved channels, including separation and reattachment. Following a grid independence study and the application of standard wall functions for near-wall treatment, a comparative analysis was conducted to examine the flow characteristics and ecological effects within a 180° channel bend under three configurations: no spur dikes, a single-side arrangement, and a staggered arrangement of non-submerged, flow-aligned, rectangular thin-walled spur dikes. The results demonstrate that staggered spur dikes significantly reduce the lateral water surface gradient by concentrating the main flow, thereby balancing water levels along the concave and convex banks and suppressing lateral channel migration. Their synergistic flow-contracting effect enhances the kinetic energy of the main flow and generates multi-scale turbulent vortices, which not only increase sediment transport capacity in the main channel but also create diverse habitat conditions. Specifically, the bed shear stress in the central channel region reached 2.3 times the natural level. Flow separation near the dike heads generated a high-velocity zone, elevating velocity and turbulent kinetic energy by factors of 2.3 and 6.8, respectively. This shift promoted bed sediment coarsening and consequently increased scour resistance. In contrast, the low-shear wake zones behind the dikes, with weakened hydrodynamic forces, facilitated fine-sediment deposition and the growth of point bars. Furthermore, this study identifies a critical interface (observed at approximately 60% of the water depth) that serves as a key interface for vertical energy conversion. Below this height, turbulence intensity intermittently increases, whereas above it, energy dissipates markedly. This critical elevation, controlled by both the spur dike configuration and flow conditions, embodies the transition mechanism of kinetic energy from the mean flow to turbulent motions. These findings provide a theoretical basis and engineering reference for optimizing eco-friendly spur dike designs in meandering rivers. Full article
Show Figures

Figure 1

26 pages, 7180 KB  
Article
Niche Differentiation and Predicted Functions of Microbiomes in a Tri-Trophic Willow–Gall (Euura viminalis)–Parasitoid Wasp System
by Yuhao Nie, Gaopeng Yu and Hongying Hu
Insects 2026, 17(1), 43; https://doi.org/10.3390/insects17010043 - 29 Dec 2025
Viewed by 673
Abstract
Chalcidoids (Hymenoptera: Chalcidoidea), the most important natural enemies of parasitoids, serve as a pivotal factor in the regulation and management of pest populations. Microbiotas mediate interactions among plants, herbivores, and natural enemies and shape host immunity, parasitoid development, and gall formation; however, the [...] Read more.
Chalcidoids (Hymenoptera: Chalcidoidea), the most important natural enemies of parasitoids, serve as a pivotal factor in the regulation and management of pest populations. Microbiotas mediate interactions among plants, herbivores, and natural enemies and shape host immunity, parasitoid development, and gall formation; however, the niche-specific diversity and functions of tritrophic parasitoid–host–gall systems remain unclear. Focusing on leaf galls induced on twisted willow (Salix matsudana f. tortuosa) by the willow-galling sawfly Euura viminalis and on two chalcidoids, Eurytoma aethiops and Aprostocetus sp., we profiled bacterial and fungal microbiomes across plant surfaces, gall lumen, host larval tissues, and parasitoids using HTAS. Fungal diversity peaked on parasitoids but was depleted in the gall lumen and host tissues; bacterial richness showed the opposite trend, peaking in the gall lumen and decreasing on parasitoids. In networks contrasted by kingdom, fungi showed positive interface-hub connectivity (Cladosporium, Alternaria), whereas bacteria showed negative hub-mediated associations (Pseudomonas, Acinetobacter), indicating habitat-specific replacements: exposed niches favored transport, two-component, secretion–motility and energy functions, whereas the gall lumen reduced transport/motility but selectively retained N/S metabolism; and in host tissues, information processing and nitrogen respiration were highlighted. These results inform microbiome-guided parasitoid biocontrol. Full article
(This article belongs to the Topic Diversity of Insect-Associated Microorganisms)
Show Figures

Figure 1

30 pages, 1709 KB  
Review
Mechanisms and Perspectives of Microplastic Biodegradation by Insects and Their Associated Microorganisms
by Feroz Ahmad, Huarui Zhang, Chao Sun, Abrar Muhammad and Yongqi Shao
Microplastics 2026, 5(1), 1; https://doi.org/10.3390/microplastics5010001 - 23 Dec 2025
Cited by 1 | Viewed by 1536
Abstract
Plastic pollution, particularly the widespread presence of microplastics, has emerged as a global environmental threat. Conventional plastics are highly resistant to degradation and can persist in ecosystems for decades, posing a serious long-term risk to wildlife, habitats, and human health. Increasing evidence suggests [...] Read more.
Plastic pollution, particularly the widespread presence of microplastics, has emerged as a global environmental threat. Conventional plastics are highly resistant to degradation and can persist in ecosystems for decades, posing a serious long-term risk to wildlife, habitats, and human health. Increasing evidence suggests that insects and their gut microbiota may play a significant role in the degradation of these plastics. This review examines the mechanisms by which insects and their associated microorganisms contribute to microplastic biodegradation. Plastivorous insect larvae such as Spodoptera frugiperda, Galleria mellonella, Tenebrio molitor and Zophobas atratus have demonstrated the ability to ingest and partially degrade diverse polymers. The initial mechanical breakdown caused by insect mandibles increases the surface area, which allows gut microbes to colonize the material. Once these microbes are established, they form biofilms that help with adhesion, create localized redox environments, and concentrate degradative enzymes at the polymer interface. The enzymatic machinery of insect-associated microbes plays a crucial role in breaking down polymers. Oxidative enzymes, including DyP-type peroxidases, multicopper oxidases, alkane monooxygenases, and laccases, initiate the oxidation of polymers, while hydrolases and esterases further break down the resulting fragments. Co-metabolic processes and microbial consortia improve degradation efficiency by primary degraders by producing oxidized intermediates, which are then consumed and mineralized by secondary fermenters. Despite significant progress, the complete biochemical pathways of microplastic mineralization remain unclear. Degradation rates are slow, and scalability challenges hinder practical applications, with incomplete mineralization in insect biodegradation potentially causing secondary microplastics. Understanding these mechanisms will lay the groundwork for developing insect-microbe systems as potential biotechnological solutions to mitigate plastic pollution in terrestrial environments. Full article
Show Figures

Figure 1

20 pages, 1348 KB  
Review
Seed Coatings as Biofilm Micro-Habitats: Principles, Applications, and Sustainability Impacts
by Yujie Wang, Shunjin Li, Yuan Wang, Zhi Yao, Zhi Yu, Wei Zhang and Jingzhi Yang
Agronomy 2025, 15(12), 2854; https://doi.org/10.3390/agronomy15122854 - 12 Dec 2025
Cited by 1 | Viewed by 1928
Abstract
Seed coating, which involves the application of materials such as nutrients, growth regulators, and protective agents, can significantly enhance seed germination. This review introduces and assesses a paradigm shift in seed technology: the conceptualization of seed coatings as engineered biofilm micro-habitats. This approach [...] Read more.
Seed coating, which involves the application of materials such as nutrients, growth regulators, and protective agents, can significantly enhance seed germination. This review introduces and assesses a paradigm shift in seed technology: the conceptualization of seed coatings as engineered biofilm micro-habitats. This approach moves beyond mere physical protection and chemical delivery by utilizing the coating matrix to host beneficial microbial consortia that form functional biofilms, thereby creating the potential for a dynamic, living interface at the seed–root junction. Furthermore, guided by perspectives from chemistry biology, we synthesize design principles for these micro-habitats at a systems level. Within this framework, we demonstrate their potential to enhance crop growth, stress resilience, and pathogen suppression. By framing seed coating as a dynamic microbial environment, this review aims to guide future research and development toward ecology-driven seed enhancement strategies. Full article
(This article belongs to the Section Farming Sustainability)
Show Figures

Figure 1

23 pages, 3019 KB  
Review
Rebalancing the Skin: The Microbiome, Acne Pathogenesis, and the Future of Natural and Synthetic Therapies
by Maria Beatriz Oliveira, Ana Colette Maurício, Ana Novo Barros and Cláudia Botelho
Molecules 2025, 30(24), 4684; https://doi.org/10.3390/molecules30244684 - 7 Dec 2025
Viewed by 2803
Abstract
The skin serves as a primary interface between the human body and the external environment, functioning both as a protective barrier and as a habitat for a complex and diverse microbiome. These microbial communities contribute to immune regulation, barrier integrity, and defence against [...] Read more.
The skin serves as a primary interface between the human body and the external environment, functioning both as a protective barrier and as a habitat for a complex and diverse microbiome. These microbial communities contribute to immune regulation, barrier integrity, and defence against pathogens. Disruptions in this equilibrium can precipitate dermatological disorders such as acne vulgaris, which affects millions of adolescents and adults worldwide. This chronic inflammatory disorder of the pilosebaceous unit is driven by microbial dysbiosis, hyperkeratinisation, sebum overproduction, and inflammation. This review synthesizes data from over 100 sources to examine the interplay between the skin microbiome and acne pathogenesis, and to compare synthetic treatments, including retinoids, antibiotics, and hormonal therapies, with natural approaches such as polyphenols, minerals, and resveratrol. The analysis highlights the therapeutic convergence of traditional pharmacology and bioactive natural compounds, proposing microbiome-conscious and sustainable strategies for future acne management. Full article
Show Figures

Figure 1

Back to TopTop