Niche Differentiation and Predicted Functions of Microbiomes in a Tri-Trophic Willow–Gall (Euura viminalis)–Parasitoid Wasp System
Simple Summary
Abstract
1. Introduction
2. Materials and Methods
2.1. Sample Collection
2.2. Histological Preparation of Gall Sections
2.3. DNA Extraction and Sequencing
2.4. Read Processing and Taxonomy
2.5. Diversity and Ordination
2.6. Functional Prediction
2.7. Statistical Analysis
3. Results
3.1. Sample Groups and Sequencing Depth
3.2. Results—α-Diversity
3.3. Results—β Diversity
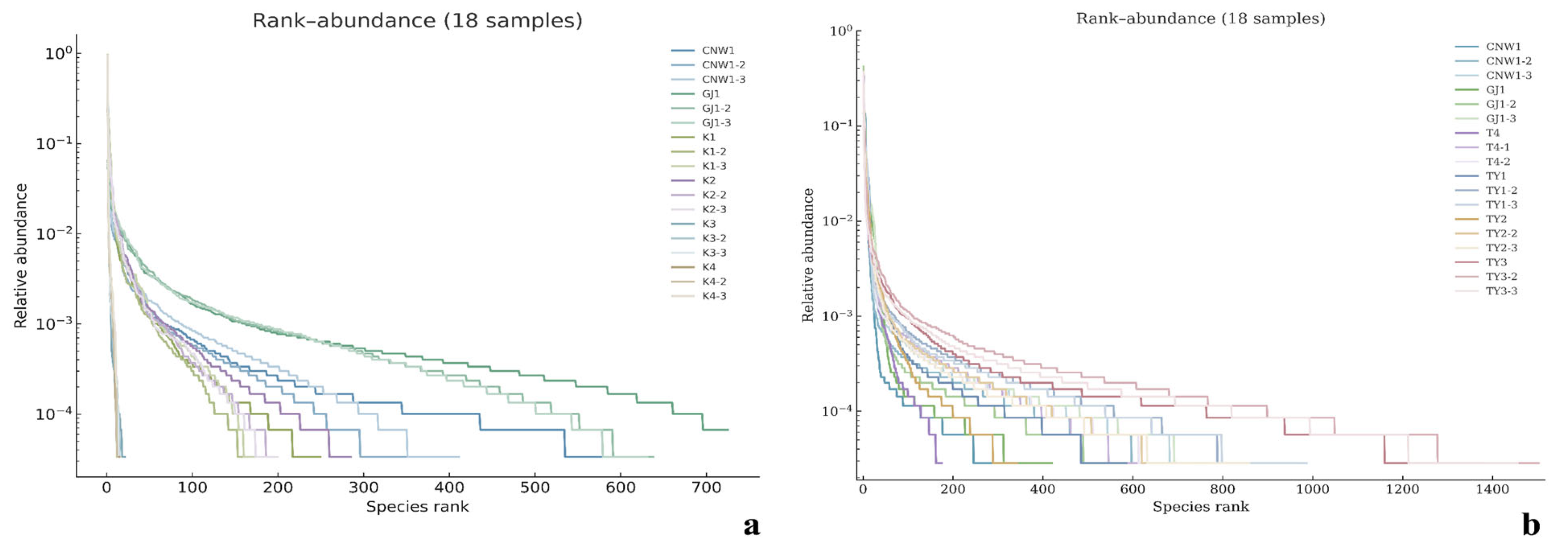
3.4. Results—Community Composition
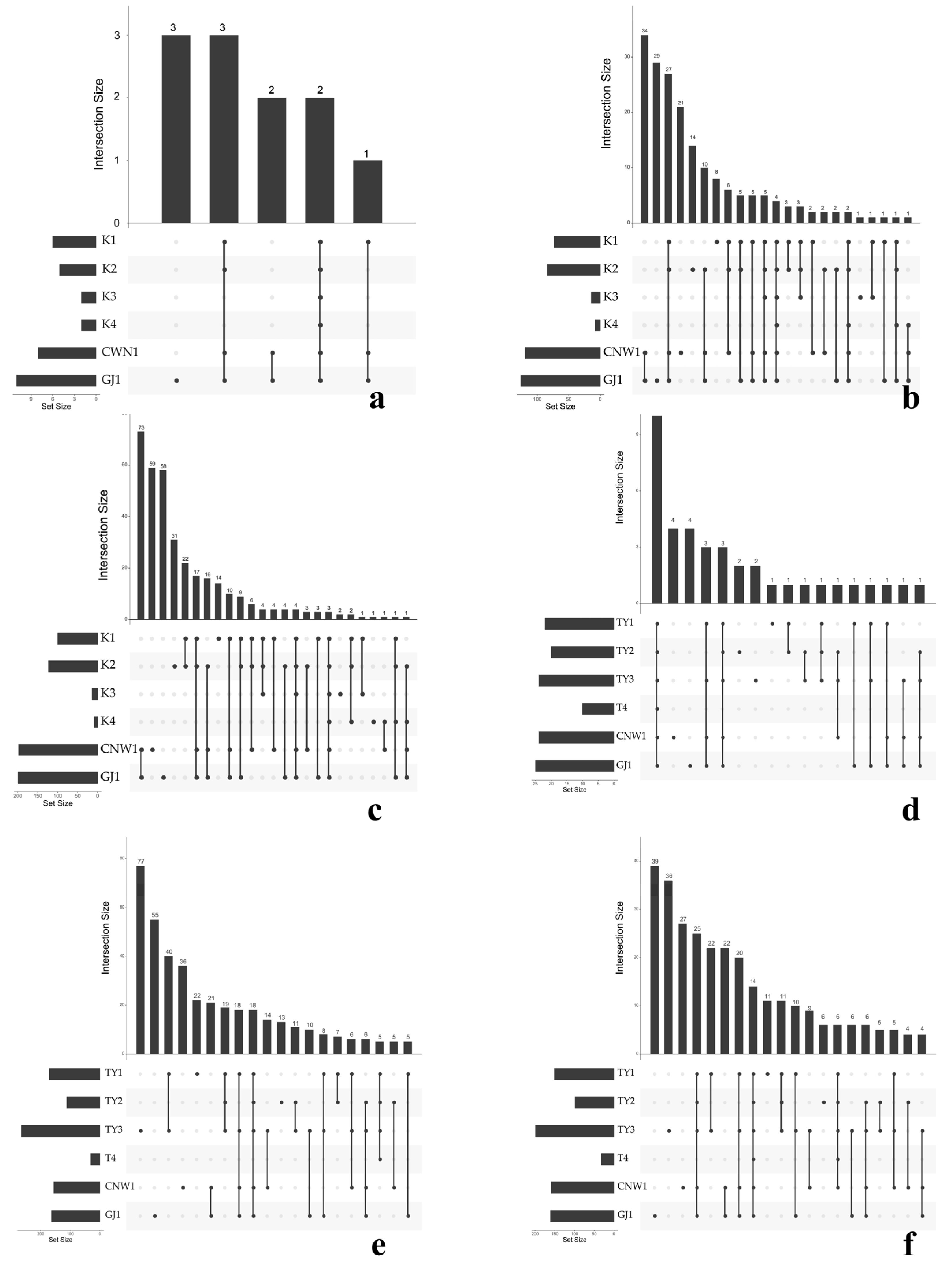
3.5. Results—Differentially Abundant Taxa
3.6. Results—Co-Occurrence Networks
3.7. Results—Predicted Functions
4. Discussion
Supplementary Materials
Author Contributions
Funding
Data Availability Statement
Acknowledgments
Conflicts of Interest
References
- Cruaud, A.; Rasplus, J.Y.; Zhang, J.; Burks, R.; Delvare, G.; Fusu, L.; Gumovsky, A.; Huber, J.T.; Janšta, P.; Mitroiu, M.D.; et al. The Chalcidoidea bush of life: Evolutionary history of a massive radiation of minute wasps. Cladistics 2024, 40, 34–63. [Google Scholar] [CrossRef] [PubMed]
- Haas, M.; Baur, H.; Schweizer, T.; Monje, J.C.; Moser, M.; Bigalk, S.; Krogmann, L. Tiny wasps, huge diversity—A review of German Pteromalidae with new generic and species records. Biodivers. Data J. 2021, 9, e77092. [Google Scholar] [CrossRef] [PubMed]
- Koutsoukos, E.; Demetriou, J.; Georgiadis, C.; Mitroiu, M.; Compton, S.G.; Martinou, A. Highlighting overlooked biodiversity through online platforms: The “Chalcid Wasps of Cyprus” website. Biodivers. Data J. 2024, 12, e129367. [Google Scholar] [CrossRef] [PubMed]
- Khudhair, A.H.; Kareem, A.A.; Watson, G.W.; Kresslein, R.L.; Beasley, J.; Topakcı, N.; Polaszek, A. Parasitoids of the invasive cotton mealybug, Phenacoccus solenopsis Tinsley (Hemiptera, Pseudococcidae), in Iraq. BioControl 2025, 70, 157–165. [Google Scholar] [CrossRef]
- Jara-Chiquito, J.L.; Oliva, F.; Lobato-Vila, I.; Pujade-Villar, J. Temporal changes in the composition of parasitoid assemblages associated with the invasive chestnut gall wasp. Ecol. Entomol. 2024, 49, 779–797. [Google Scholar] [CrossRef]
- Jennings, M.T.; Askew, R.R. Recruitment of native parasitoids by an introduced gall wasp Dryocosmus kuriphilus Yasumatsu, 1951 (Hymenoptera: Cynipidae) in Britain and France. Entomol. Mon. Mag. 2020, 156, 111–116. [Google Scholar] [CrossRef]
- Hou, E. Parasitic Hymenopteran food and habitat preferences in urban agriculture. Agric. Food Sci. 2021, 30, 259–270. [Google Scholar]
- Kos, K.; Lacković, N.; Melika, G.; Matošević, D. Diversity and surge in abundance of native parasitoid communities prior to the onset of Torymus sinensis on the Asian chestnut gall wasp (Dryocosmus kuriphilus) in Slovenia, Croatia and Hungary. J. For. Res. 2021, 32, 1327–1336. [Google Scholar] [CrossRef]
- Khamis, F.M.; Ajene, I.J. Anthropogenic influences on parasitoid wasps’ biocontrol of invasive insect pest species in Africa. Curr. Opin. Insect Sci. 2025, 68, 101300. [Google Scholar] [CrossRef]
- Zhang, X.; Jiang, Z.; Jiao, X.; Yu, Y.; Wang, Z.; Hou, Y.; Duan, G.; Du, W.; Ruan, C.; Zhang, J.; et al. Genome assembly and comparative analysis of the egg parasitoid wasp Trichogramma dendrolimi shed light on the composition and evolution of olfactory receptors and venoms. Insects 2023, 14, 144. [Google Scholar] [CrossRef]
- Del Pino, M.; Cabello, T.; Hernández-Suárez, E. Biological control options for the golden twin-spot moth, Chrysodeixis chalcites (Esper) (Lepidoptera: Noctuidae) in Banana crops of the canary Islands. Insects 2022, 13, 516. [Google Scholar] [CrossRef] [PubMed]
- Kareem, A.A.; Lotfalizadeh, H.; Alsendi, A.; Aljaafari, R.K.; Al-Zurfi, S.M. First record of two parasitoid wasps of the family Chalcididae (Hymenoptera) in Iraq. Bull. Iraq Nat. Hist. Mus. 2022, 17, 187–195. [Google Scholar] [CrossRef]
- Saleh, H.M.M.; Dey, D. New records of family Chalcididae (Hymenoptera: Chalcidoidea) on vegetables ecosystem from New Delhi, India. Orient. Insects 2024, 58, 596–623. [Google Scholar] [CrossRef]
- Smith, E.L. Biosystematics and morphology of symphyta. Ii. Biology of gall-making nematine sawflies1 in the California region. Ann. Entomol. Soc. Am. 1970, 63, 36–51. [Google Scholar] [CrossRef]
- Michell, C.; Wutke, S.; Aranda, M.; Nyman, T. Genomes of the willow-galling sawflies Euura lappo and Eupontania aestiva (Hymenoptera: Tenthredinidae): A resource for research on ecological speciation, adaptation, and gall induction. G3 Genes|Genomes|Genet 2021, 11, jkab094. [Google Scholar] [CrossRef]
- Price, P.W.; Hunter, M.D. Population dynamics of an insect herbivore over 32 years are driven by precipitation and host-plant effects: Testing model predictions. Environ. Entomol. 2015, 44, 463–473. [Google Scholar] [CrossRef]
- Sacchi, C.F.; Price, P.W.; Craig, T.P.; Itami, J.K. Impact of shoot galler attack on sexual reproduction in the arroyo willow. Ecology 1988, 69, 2021–2030. [Google Scholar] [CrossRef]
- Urban, J. Mortalität der blattwespen-arten Euura laeta und E. mucronata infolge physiologischer ursachen und durch abwehr-überwallungswachstum der wirtspflanzen-gewebe (Symphyta: Tenthredinidae). Entomol. Gen. 1995, 20, 103–121. [Google Scholar] [CrossRef]
- Roininen, H.; Danell, K. Mortality factors and resource use of the bud-galling sawfly, Euura mucronata (Hartig), on willows (Salix spp.) in arctic Eurasia. Polar Biol. 1997, 18, 325–330. [Google Scholar] [CrossRef]
- Kopelke, J.-P. Natural enemies of gall-forming sawflies on willows (Salix spp.) (Hymenoptera: Tenthredinidae: Euura, Phyllocolpa, Pontania). Entomol. Gen. 2003, 26, 277–312. [Google Scholar] [CrossRef]
- Craig, T.P.; Itami, J.K.; Price, P.W. The window of vulnerability of a shoot-galling sawfly to attack by a parasitoid. Ecology 1990, 71, 1471–1482. [Google Scholar] [CrossRef]
- Roininen, H.; Price, P.W.; Tahvanainen, J. Bottom-up and top-down influences in the trophic system of a willow, a galling sawfly, parasitoids and inquilines. Oikos 1996, 77, 44–50. [Google Scholar] [CrossRef]
- Dicke, M.; Cusumano, A.; Poelman, E.H. Microbial symbionts of parasitoids. Annu. Rev. Entomol. 2020, 65, 171–190. [Google Scholar] [CrossRef] [PubMed]
- Cusumano, A.; Zhu, F.; Volkoff, A.N.; Verbaarschot, P.; Bloem, J.; Vogel, H.; Dicke, M.; Poelman, E.H. Parasitic wasp-associated symbiont affects plant-mediated species interactions between herbivores. Ecol. Lett. 2018, 21, 957–967. [Google Scholar] [CrossRef]
- Wang, J.; Mason, C.J.; Ju, X.; Xue, R.; Tong, L.; Peiffer, M.; Song, Y.; Zeng, R.; Felton, G.W. Parasitoid causes cascading effects on plant-induced defenses mediated through the gut bacteria of host caterpillars. Front. Microbiol. 2021, 12, 708990. [Google Scholar] [CrossRef]
- Pekas, A.; Tena, A.; Peri, E.; Colazza, S.; Cusumano, A. Competitive interactions in insect parasitoids: Effects of microbial symbionts across tritrophic levels. Curr. Opin. Insect Sci. 2023, 55, 101001. [Google Scholar] [CrossRef]
- Triyogo, A.; Yasuda, H. The effects of a parasitoid wasp of a gall-making insect on host plant characteristics and the abundance of sharing host-plant herbivore. Biodiversitas J. Biol. Divers. 2019, 20, 3499–3507. [Google Scholar] [CrossRef]
- Fang, Z.; Tang, C.T.; Sinclair, F.; Csóka, G.; Hearn, J.; McCormack, K.; Melika, G.; Mikolajczak, K.M.; Nicholls, J.A.; Nieves-Aldrey, J.L.; et al. Network structure and taxonomic composition of tritrophic communities of Fagaceae, cynipid gallwasps and parasitoids in Sichuan, China. Insect Conserv. Divers. 2024, 17, 1046–1071. [Google Scholar] [CrossRef]
- De Araújo, W.S.; Maia, V.C. Topological structure of a tritrophic network composed of host plants, gall-inducing insects and parasitoids in a restinga area in Brazil. Entomol. Sci. 2021, 24, 201–216. [Google Scholar] [CrossRef]
- Michell, C.T.; Nyman, T. Microbiomes of willow-galling sawflies: Effects of host plant, gall type, and phylogeny on community structure and function. Genome 2021, 64, 615–626. [Google Scholar] [CrossRef]
- Hansen, A.K.; Argondona, J.A.; Miao, S.; Percy, D.M.; Degnan, P.H. Rapid loss of nutritional symbionts in an endemic Hawaiian herbivore radiation is associated with plant galling habit. Mol. Biol. Evol. 2024, 41, msae190. [Google Scholar] [CrossRef] [PubMed]
- Men, Y.; Yang, Z.; Luo, J.; Chen, P.; Moreira, F.F.F.; Liu, Z.; Yin, J.; Xie, B.; Wang, Y.; Xie, Q. Symbiotic microorganisms and their different association types in aquatic and semiaquatic bugs. Microbiol. Spectr. 2022, 10, e02794-22. [Google Scholar] [CrossRef] [PubMed]
- Jones, J.A.; Newton, I.G.; Moczek, A.P. Microbiome composition and turnover in the face of complex lifecycles and bottlenecks: Insights through the study of dung beetles. Appl. Environ. Microbiol. 2025, 91, e01278. [Google Scholar] [CrossRef] [PubMed]
- Baine, Q.; Hughes, D.W.W.; Casares, E.E.; Martinson, E.O.; Martinson, V.G. External insect gall morphology influences the functional guilds of natural enemy communities. Proc. R. Soc. B Biol. Sci. 2024, 291, 20242424. [Google Scholar] [CrossRef]
- Michell, C.T.; Wagner, N.; Mutanen, M.; Lee, K.M.; Nyman, T. Genomic evidence for contrasting patterns of host-associated genetic differentiation across shared host-plant species in leaf- and bud-galling sawflies. Mol. Ecol. 2023, 32, 1791–1809. [Google Scholar] [CrossRef]
- De Carvalho-Sposito, S.H.; Urso-Guimarães, M.V.; da Silva, F.R. Temporal resource partitioning and stochastic colonization explain the co-occurrence of gall-inducing insects in the super-host plant Copaifera langsdorffii Desf. (Fabaceae). Austral Ecol. 2022, 47, 1340–1349. [Google Scholar] [CrossRef]
- Dong, Y.; Li, Y.; Ge, M.; Takatsu, T.; Wang, Z.; Zhang, X.; Ding, D.; Xu, Q. Distinct gut microbial communities and functional predictions in divergent ophiuroid species: Host differentiation, ecological niches, and adaptation to cold-water habitats. Microbiol. Spectr. 2023, 11, e0207323. [Google Scholar] [CrossRef]
- Liu, Y.; Shen, Z.; Yu, J.; Li, Z.; Liu, X.; Xu, H. Comparison of gut bacterial communities and their associations with host diets in four fruit borers. Pest Manag. Sci. 2020, 76, 1353–1362. [Google Scholar] [CrossRef]
- Ingala, M.R.; Simmons, N.B.; Dunbar, M.; Wultsch, C.; Krampis, K.; Perkins, S.L. You are more than what you eat: Potentially adaptive enrichment of microbiome functions across bat dietary niches. Anim. Microbiome 2021, 3, 82. [Google Scholar] [CrossRef]
- Xiong, C.; Singh, B.K.; He, J.-Z.; Han, Y.-L.; Li, P.-P.; Wan, L.-H.; Meng, G.-Z.; Liu, S.-Y.; Wang, J.-T.; Wu, C.-F.; et al. Plant developmental stage drives the differentiation in ecological role of the maize microbiome. Microbiome 2021, 9, 171. [Google Scholar] [CrossRef]
- Agarwal, A.; Agashe, D. The red flour beetle Tribolium castaneum: A model for host-microbiome interactions. PLoS ONE 2020, 15, e0239051. [Google Scholar] [CrossRef] [PubMed]
- Berasategui, A.; Salem, H. Microbial determinants of folivory in insects. In Cellular Dialogues in the Holobiont; CRC Press: Abingdon, UK, 2020; pp. 217–232. [Google Scholar]
- Aloni, R. How vascular differentiation in hosts is regulated by parasitic plants and gall-inducing insects. In Vascular Differentiation and Plant Hormones; Aloni, R., Ed.; Springer International Publishing: Cham, Switzerland, 2021; pp. 293–307. [Google Scholar]
- Gloder, G.; Bourne, M.E.; Verreth, C.; Wilberts, L.; Bossaert, S.; Crauwels, S.; Dicke, M.; Poelman, E.H.; Jacquemyn, H.; Lievens, B. Parasitism by endoparasitoid wasps alters the internal but not the external microbiome in host caterpillars. Anim. Microbiome 2021, 3, 73. [Google Scholar] [CrossRef] [PubMed]
- Yang, X.; Hui, Y.; Zhu, D.; Zeng, Y.; Zhao, L.; Yang, X.; Wang, Y. The diversity of bacteria associated with the invasive gall wasp Dryocosmus kuriphilus, its galls and a specialist parasitoid on chestnuts. Insects 2022, 13, 86. [Google Scholar] [CrossRef] [PubMed]
- Wemheuer, F.; Taylor, J.A.; Daniel, R.; Johnston, E.; Meinicke, P.; Thomas, T.; Wemheuer, B. Tax4Fun2: Prediction of habitat-specific functional profiles and functional redundancy based on 16S rRNA gene sequences. Environ. Microbiome 2020, 15, 11. [Google Scholar] [CrossRef]
- Sansupa, C.; Wahdan, S.F.M.; Hossen, S.; Disayathanoowat, T.; Wubet, T.; Purahong, W. Can we use functional annotation of prokaryotic taxa (FAPROTAX) to assign the ecological functions of soil bacteria? Appl. Sci. 2021, 11, 688. [Google Scholar] [CrossRef]
- Dong, Y.; Zhang, Z.-R.; Mishra, S.; Wong, A.C.-N.; Huang, J.-F.; Wang, B.; Peng, Y.-Q.; Gao, J. Diversity and metabolic potentials of microbial communities associated with pollinator and cheater fig wasps in fig-fig wasp mutualism system. Front. Microbiol. 2022, 13, 1009919. [Google Scholar] [CrossRef]
- Bálint, M.; Márton, O.; Schatz, M.; Düring, R.A.; Grossart, H.P. Proper experimental design requires randomization/balancing of molecular ecology experiments. Ecol. Evol. 2018, 8, 1786–1793. [Google Scholar] [CrossRef]
- De Cock, M.; Virgilio, M.; Vandamme, P.; Augustinos, A.; Bourtzis, K.; Willems, A.; De Meyer, M. Impact of sample preservation and manipulation on insect gut microbiome profiling. A test case with fruit flies (Diptera, Tephritidae). Front. Microbiol. 2019, 10, 2833. [Google Scholar] [CrossRef]
- Hu, Z.; Zhang, Z.; Zhou, Y.; Zhao, H.; Li, Y.; Luo, Y. Characterization of larval gut microbiota of two endoparasitoid wasps associated with their common host, Plutella xylostella (Linnaeus) (Lepidoptera: Plutellidae). Microbiol. Spectr. 2024, 12, e01208-24. [Google Scholar] [CrossRef]
- Gómez-Govea, M.A.; Peña-Carillo, K.I.; Ruiz-Ayma, G.; Guzmán-Velasco, A.; Flores, A.E.; Ramírez-Ahuja, M.; Rodríguez-Sánchez, I. Unveiling the microbiome diversity in Telenomus (Hymenoptera: Scelionidae) parasitoid wasps. Insects 2024, 15, 468. [Google Scholar] [CrossRef]
- Brucker, R.M.; Bordenstein, S.R. The hologenomic basis of speciation: Gut bacteria cause hybrid lethality in the genus Nasonia. Science 2013, 341, 667–669. [Google Scholar] [CrossRef] [PubMed]
- Hammer, T.J.; Dickerson, J.C.; Fierer, N. Evidence-based recommendations on storing and handling specimens for analyses of insect microbiota. PeerJ 2015, 3, e1190. [Google Scholar] [CrossRef] [PubMed]
- Caporaso, J.G.; Lauber, C.L.; Walters, W.A.; Berg-Lyons, D.; Huntley, J.; Fierer, N.; Owens, S.M.; Betley, J.; Fraser, L.; Bauer, M.; et al. Ultra-high-throughput microbial community analysis on the Illumina HiSeq and MiSeq platforms. ISME J. 2012, 6, 1621–1624. [Google Scholar] [CrossRef] [PubMed]
- Walters, W.; Hyde, E.R.; Berg-Lyons, D.; Ackermann, G.; Humphrey, G.; Parada, A.; Gilbert, J.A.; Jansson, J.K.; Caporaso, J.G.; Fuhrman, J.A.; et al. Improved bacterial 16S rRNA gene (V4 and V4-5) and fungal internal transcribed spacer marker gene primers for microbial community surveys. mSystems 2016, 1, e00009-15. [Google Scholar] [CrossRef]
- Toju, H.; Tanabe, A.S.; Yamamoto, S.; Sato, H. High-coverage ITS primers for the DNA-based identification of ascomycetes and basidiomycetes in environmental samples. PLoS ONE 2012, 7, e40863. [Google Scholar] [CrossRef]
- Klindworth, A.; Pruesse, E.; Schweer, T.; Peplies, J.; Quast, C.; Horn, M.; Glöckner, F.O. Evaluation of general 16S ribosomal RNA gene PCR primers for classical and next-generation sequencing-based diversity studies. Nucleic Acids Res. 2013, 41, e1. [Google Scholar] [CrossRef]
- Callahan, B.J.; McMurdie, P.J.; Rosen, M.J.; Han, A.W.; Johnson, A.J.A.; Holmes, S.P. DADA2: High-resolution sample inference from Illumina amplicon data. Nat. Methods 2016, 13, 581–583. [Google Scholar] [CrossRef]
- Bolyen, E.; Rideout, J.R.; Dillon, M.R.; Bokulich, N.A.; Abnet, C.C.; Al-Ghalith, G.A.; Alexander, H.; Alm, E.J.; Arumugam, M.; Asnicar, F.; et al. Reproducible, interactive, scalable and extensible microbiome data science using QIIME 2. Nat. Biotechnol. 2019, 37, 852–857. [Google Scholar] [CrossRef]
- Quast, C.; Pruesse, E.; Yilmaz, P.; Gerken, J.; Schweer, T.; Yarza, P.; Peplies, J.; Glöckner, F.O. The SILVA ribosomal RNA gene database project: Improved data processing and web-based tools. Nucleic Acids Res. 2013, 41, D590–D596. [Google Scholar] [CrossRef]
- Katoh, K.; Standley, D.M. MAFFT multiple sequence alignment software version 7: Improvements in performance and usability. Mol. Biol. Evol. 2013, 30, 772–780. [Google Scholar] [CrossRef]
- Lozupone, C.; Knight, R. UniFrac: A new phylogenetic method for comparing microbial communities. Appl. Environ. Microbiol. 2005, 71, 8228–8235. [Google Scholar] [CrossRef]
- Caporaso, J.G.; Kuczynski, J.; Stombaugh, J.; Bittinger, K.; Bushman, F.D.; Costello, E.K.; Fierer, N.; Peña, A.G.; Goodrich, J.K.; Gordon, J.I.; et al. QIIME allows analysis of high-throughput community sequencing data. Nat. Methods 2010, 7, 335–336. [Google Scholar] [CrossRef]
- Lozupone, C.; Knight, R. Species divergence and the measurement of microbial diversity. FEMS Microbiol. Rev. 2008, 32, 557–578. [Google Scholar] [CrossRef] [PubMed]
- Oksanen, J.; Blanchet, F.G.; Friendly, M.; Kindt, R.; Legendre, P.; McGlinn, D.; Minchin, P.R.; O’Hara, R.B.; Simpson, G.L.; Solymos, P.; et al. Vegan: Community Ecology Package; R Package; Version 2.6-6; R Foundation for Statistical Computing: Vienna, Austria, 2024. [Google Scholar]
- Douglas, G.M.; Maffei, V.J.; Zaneveld, J.R.; Yurgel, S.N.; Brown, J.R.; Taylor, C.M.; Huttenhower, C.; Langille, M.G.I. PICRUSt2 for prediction of metagenome functions. Nat. Biotechnol. 2020, 38, 685–688. [Google Scholar] [CrossRef] [PubMed]
- Louca, S.; Parfrey, L.W.; Doebeli, M. Decoupling function and taxonomy in the global ocean microbiome. Science 2016, 353, 1272–1277. [Google Scholar] [CrossRef] [PubMed]
- Nguyen, N.H.; Song, Z.; Bates, S.T.; Branco, S.; Tedersoo, L.; Menke, J.; Schilling, J.S.; Kennedy, P.G. FUNGuild: An open annotation tool for parsing fungal community datasets by ecological guild. Fungal Ecol. 2016, 20, 241–248. [Google Scholar] [CrossRef]
- R Core Team. R: A Language and Environment for Statistical Computing; R Foundation for Statistical Computing: Vienna, Austria, 2023. [Google Scholar]
- McMurdie, P.J.; Holmes, S. phyloseq: An R package for reproducible interactive analysis and graphics of microbiome census data. PLoS ONE 2013, 8, e61217. [Google Scholar] [CrossRef]
- Csárdi, G.; Nepusz, T. The igraph software package for complex network research. InterJournal Complex Syst. 2006, 1695, 1–9. [Google Scholar]
- Douglas, A.E. Simple animal models for microbiome research. Nat. Rev. Microbiol. 2019, 17, 764–775. [Google Scholar] [CrossRef]
- Brucker, R.M.; Bordenstein, S.R. Speciation by symbiosis. Trends Ecol. Evol. 2012, 27, 443–451. [Google Scholar] [CrossRef]
- Douglas, A.E. The molecular basis of bacterial–insect symbiosis. J. Mol. Biol. 2014, 426, 3830–3837. [Google Scholar] [CrossRef] [PubMed]
- Sugio, A.; Dubreuil, G.; Giron, D.; Simon, J.C. Plant-insect interactions under bacterial influence: Ecological implications and underlying mechanisms. J. Exp. Bot. 2015, 66, 467–478. [Google Scholar] [CrossRef] [PubMed]
- Ley, R.E.; Hamady, M.; Lozupone, C.; Turnbaugh, P.J.; Ramey, R.R.; Bircher, J.S.; Schlegel, M.L.; Tucker, T.A.; Schrenzel, M.D.; Knight, R.; et al. Evolution of mammals and their gut microbes. Science 2008, 320, 1647–1651. [Google Scholar] [CrossRef] [PubMed]
- Dittmer, J.; Brucker, R.M. When your host shuts down: Larval diapause impacts host-microbiome interactions in Nasonia vitripennis. Microbiome 2021, 9, 85. [Google Scholar] [CrossRef]
- Kwong, W.K.; Moran, N.A. Gut microbial communities of social bees. Nat. Rev. Microbiol. 2016, 14, 374–384. [Google Scholar] [CrossRef]
- Wang, G.H.; Zheng, R.; Wang, Q.; Wu, R.; Paradkar, P.N.; Hoffmann, A.A. Holobiont perspectives on tripartite interactions among microbiota, mosquitoes, and pathogens. ISME J. 2023, 17, 1143–1152. [Google Scholar] [CrossRef]
- Bordenstein, S.R.; Theis, K.R. Host biology in light of the microbiome: Ten principles of holobionts and hologenomes. PLoS Biol. 2015, 13, e1002226. [Google Scholar] [CrossRef]
- Gätjens-Boniche, O.; Jiménez-Madrigal, J.P.; Whetten, R.W.; Valenzuela-Diaz, S.; Alemán-Gutiérrez, A.; Hanson, P.E.; Pinto-Tomás, A.A. Microbiome and plant cell transformation trigger insect gall induction in cassava. Front. Plant Sci. 2023, 14, 1237966. [Google Scholar] [CrossRef]
- Roy, S.; Mukherjee, A.; Gautam, A.; Bera, D.; Das, A. Chemical arms race: Occurrence of chemical defense and growth regulatory phytochemical gradients in insect-induced foliar galls. Proc. Natl. Acad. Sci. India B Biol. Sci. 2022, 92, 415–429. [Google Scholar] [CrossRef]
- Hammer, T.J.; De Clerck-Floate, R.; Tooker, J.F.; Price, P.W.; Miller, D.G.; Connor, E.F. Are bacterial symbionts associated with gall induction in insects? Arthropod Plant Interact. 2021, 15, 1–12. [Google Scholar] [CrossRef]


















Disclaimer/Publisher’s Note: The statements, opinions and data contained in all publications are solely those of the individual author(s) and contributor(s) and not of MDPI and/or the editor(s). MDPI and/or the editor(s) disclaim responsibility for any injury to people or property resulting from any ideas, methods, instructions or products referred to in the content. |
© 2025 by the authors. Licensee MDPI, Basel, Switzerland. This article is an open access article distributed under the terms and conditions of the Creative Commons Attribution (CC BY) license.
Share and Cite
Nie, Y.; Yu, G.; Hu, H. Niche Differentiation and Predicted Functions of Microbiomes in a Tri-Trophic Willow–Gall (Euura viminalis)–Parasitoid Wasp System. Insects 2026, 17, 43. https://doi.org/10.3390/insects17010043
Nie Y, Yu G, Hu H. Niche Differentiation and Predicted Functions of Microbiomes in a Tri-Trophic Willow–Gall (Euura viminalis)–Parasitoid Wasp System. Insects. 2026; 17(1):43. https://doi.org/10.3390/insects17010043
Chicago/Turabian StyleNie, Yuhao, Gaopeng Yu, and Hongying Hu. 2026. "Niche Differentiation and Predicted Functions of Microbiomes in a Tri-Trophic Willow–Gall (Euura viminalis)–Parasitoid Wasp System" Insects 17, no. 1: 43. https://doi.org/10.3390/insects17010043
APA StyleNie, Y., Yu, G., & Hu, H. (2026). Niche Differentiation and Predicted Functions of Microbiomes in a Tri-Trophic Willow–Gall (Euura viminalis)–Parasitoid Wasp System. Insects, 17(1), 43. https://doi.org/10.3390/insects17010043

