Sign in to use this feature.

Years

Between: -

Subjects

remove_circle_outline
remove_circle_outline
remove_circle_outline
remove_circle_outline
remove_circle_outline
remove_circle_outline

Journals

Article Types

Countries / Regions

Search Results (59)

Search Parameters:
Keywords = gyro bias

Order results
Result details
Results per page
Select all
Export citation of selected articles as:
20 pages, 5313 KB  
Article
Feasibility of Initial Bias Estimation in Real Maritime IMU Data Including X- and Y-Axis Accelerometers
by Gen Fukuda and Nobuaki Kubo
Sensors 2025, 25(21), 6804; https://doi.org/10.3390/s25216804 - 6 Nov 2025
Viewed by 666
Abstract
This study aimed to validate a bias estimation framework for low-cost maritime IMUs by applying it to real-world shipborne data. Six estimation methods—including statistical (mean, median), model-based (least squares, cross-correlation), and signal-processing approaches (FFT, Butterworth filter)—were compared. The results demonstrated that the low-frequency [...] Read more.
This study aimed to validate a bias estimation framework for low-cost maritime IMUs by applying it to real-world shipborne data. Six estimation methods—including statistical (mean, median), model-based (least squares, cross-correlation), and signal-processing approaches (FFT, Butterworth filter)—were compared. The results demonstrated that the low-frequency Butterworth filter achieved the smallest residuals, with RMS residuals below 0.038 m/s2 for accelerometers and 0.0035 deg/s for gyroscopes. In particular, AccX and AccZ residuals converged to 3.04 × 10−2 m/s2 and 2.30 × 10−2 m/s2, respectively, while GyroZ achieved 5.58 × 10−4 deg/s. Estimated accelerometer biases were 0.0405 m/s2 (X-axis) and 0.1615 m/s2 (Y-axis), and the optimization successfully converged with an objective function value of 9.314. The findings confirm that the previously proposed bias estimation method, originally validated in simulation, is effective under real-world maritime conditions. However, as ground truth bias values cannot be obtained in shipborne experiments, verification relied on residual statistics and cross-correlation analysis. This limitation has been explicitly stated in the conclusion, and future studies should incorporate sensitivity analyses and controlled experiments to further quantify error sources. Full article
(This article belongs to the Collection Position Sensor)
Show Figures

Figure 1

16 pages, 4758 KB  
Article
An Angle-Dependent Bias Compensation Method for Hemispherical Resonator Gyro Inertial Navigation Systems
by Chao Liu, Qixin Lou, Ding Li, Huiping Li, Tian Lan, Yutao Wu, Hongjie Meng, Jingyu Li, Tao Xia and Xudong Yu
Sensors 2025, 25(21), 6639; https://doi.org/10.3390/s25216639 - 29 Oct 2025
Cited by 1 | Viewed by 956
Abstract
In the whole-angle mode of a hemispherical resonator gyro (HRG), the external input rotation angle is obtained by detecting the standing-wave rotation angle through electrodes. Due to this operational principle and manufacturing constraints of HRGs, the gyro output in an HRG inertial navigation [...] Read more.
In the whole-angle mode of a hemispherical resonator gyro (HRG), the external input rotation angle is obtained by detecting the standing-wave rotation angle through electrodes. Due to this operational principle and manufacturing constraints of HRGs, the gyro output in an HRG inertial navigation system exhibits angle-dependent errors that are highly sensitive to temperature variations. To address this issue, this paper proposes a system-level calibration scheme to characterize and compensate for these correlated errors. Angle-dependent bias models were established through multi-temperature point experiments. A Kalman filter was subsequently designed, and a calibration path satisfying observability requirements was developed. System-level calibration experiments were conducted to determine and compensate for the identified errors. Finally, navigation experiments demonstrated the effectiveness of the proposed method, showing that the navigation accuracy of the HRG inertial navigation system was improved by up to 94.35%. Full article
(This article belongs to the Section Navigation and Positioning)
Show Figures

Figure 1

20 pages, 5495 KB  
Article
An Online Correction Method for System Errors in the Pipe Jacking Inertial Guidance System
by Yutong Zu, Lu Wang, Zheng Zhou, Da Gong, Yuanbiao Hu and Gansheng Yang
Mathematics 2025, 13(17), 2764; https://doi.org/10.3390/math13172764 - 28 Aug 2025
Viewed by 689
Abstract
The pipe-jacking inertial guidance method is a key technology to solve the guidance problems of complex pipe-jacking projects, such as long distances and curves. However, since its guidance information is obtained by gyroscope integration. System errors will accumulate over time and affect the [...] Read more.
The pipe-jacking inertial guidance method is a key technology to solve the guidance problems of complex pipe-jacking projects, such as long distances and curves. However, since its guidance information is obtained by gyroscope integration. System errors will accumulate over time and affect the guidance accuracy. To address the above issues, this study proposes an intelligent online system error correction scheme based on single-axis rotation and data backtracking. The method enhances system observability by actively exciting the sensor states and introducing data reuse technology. Then, a Bayesian optimization algorithm is incorporated to construct a multi-objective function. The algorithm autonomously searches for the optimal values of three key control parameters, thereby constructing an optimal correction strategy. The results show that the inclination accuracy improving by 99.36%. The tool face accuracy improving by 94.05%. The azimuth accuracy improving by 94.42% improvement. By comparing different correction schemes, the proposed method shows better performance in estimating gyro bias. In summary, the proposed method uses single-axis rotation and data backtracking, and can correct system errors in inertial navigation effectively. It has better value for engineering and provides a technical foundation for high-accuracy navigation in tunnel, pipe-jacking, and other complex tasks with low-cost inertial systems. Full article
(This article belongs to the Section E: Applied Mathematics)
Show Figures

Figure 1

16 pages, 2772 KB  
Article
Double Demodulation Incorporates Reciprocal Modulation and Residual Amplitude Modulation Feedback to Enhance the Bias Performance of RFOG
by Zhijie Yang, Xiaolong Yan, Guoguang Chen and Xiaoli Tian
Photonics 2025, 12(8), 792; https://doi.org/10.3390/photonics12080792 - 5 Aug 2025
Viewed by 1403
Abstract
The suppression of Rayleigh backscattering noise in a resonant fiber optic gyro (RFOG) is accompanied by the emergence of residual amplitude modulation (RAM) effects, which impact the bias performance of the RFOG output. In this paper, we propose a double demodulation technique that [...] Read more.
The suppression of Rayleigh backscattering noise in a resonant fiber optic gyro (RFOG) is accompanied by the emergence of residual amplitude modulation (RAM) effects, which impact the bias performance of the RFOG output. In this paper, we propose a double demodulation technique that integrates reciprocal modulation and RAM feedback. By utilizing reciprocal modulation–demodulation along with a RAM feedback control method, we effectively suppress both RAM and laser frequency noise. Furthermore, the inherent suppression characteristics of the double modulation–demodulation scheme facilitate effective backscatter noise reduction. As a result, the gyro angular random walk of the RFOG has improved to 3°/h, and the long-term bias instability has been enhanced to 0.1°/h over a test duration of 10 h. Full article
(This article belongs to the Special Issue Emerging Trends in Optical Fiber Sensors and Sensing Techniques)
Show Figures

Figure 1

18 pages, 6915 KB  
Article
Calibration and Compensation of Gyro Drift Errors Based on External Rotational Angle Comparison in a Rotational Inertial Navigation System
by Wenqiang Li, Zeyang Wen, Gongliu Yang, Yanbei Zhang, Haozhou Mo, Jincheng Peng and Yuyu Xiong
Appl. Sci. 2025, 15(3), 1667; https://doi.org/10.3390/app15031667 - 6 Feb 2025
Cited by 2 | Viewed by 4019
Abstract
The inertial navigation system (INS) is a robust and reliable navigation strategy to provide position, attitude and velocity information of a carrier with signal acquired from inertial sensors without external assistant. However, the lack of external correction information leads to the accumulation of [...] Read more.
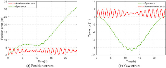
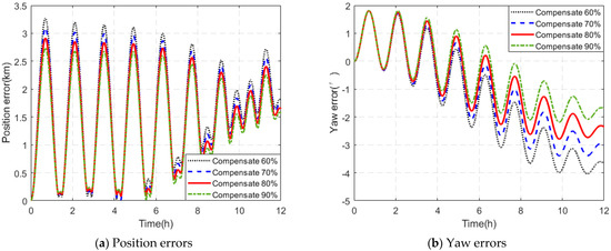
The inertial navigation system (INS) is a robust and reliable navigation strategy to provide position, attitude and velocity information of a carrier with signal acquired from inertial sensors without external assistant. However, the lack of external correction information leads to the accumulation of navigation errors, thereby limiting the reliability and applicable range of INS. In a typical INS, the accuracy and robustness of INS are mainly hindered by sensor’s measuring accuracy, installation misalignments and navigation algorithm effectiveness. To address the limitations of navigation accuracy degradation caused by sensor measurement errors, a calibration and compensation method of the gyro bias was proposed to improve the navigation accuracy. Through analyzing the influence of individual navigation errors, we found that the bias noise of gyroscope is the dominant factor in degrading the navigation accuracy. Aiming to improve the performance of navigation, a rotational modulation method is employed to eliminate the influence of gyro bias drift. Specifically, the rotational modulation could average the gyro bias to zero through the periodic rotational mechanism. Furthermore, the rotational turntable output angle can be used to correct navigation-resolved attitude results, which has a highly precise angle and can be used to calibrate the gyro drift. By compensating for gyro bias in a navigation algorithm, the performance of the navigation results is improved by a matter of one order from 7 km to less than 1 km over a period of 6 h. Several individual navigation experiments were also conducted, and the results prove the effectiveness of our method. The theoretical and experimental results show that the proposed error analysis and the compensation method are feasible and can been applied to the practical navigation system. Full article
(This article belongs to the Special Issue Advances in Techniques for Aircraft Guidance and Control)
Show Figures

Figure 1

24 pages, 5276 KB  
Article
An Improved LKF Integrated Navigation Algorithm Without GNSS Signal for Vehicles with Fixed-Motion Trajectory
by Haosu Zhang, Zihao Wang, Shiyin Zhou, Zhiying Wei, Jianming Miao, Lingji Xu and Tao Liu
Electronics 2024, 13(22), 4498; https://doi.org/10.3390/electronics13224498 - 15 Nov 2024
Viewed by 2629
Abstract
Without a GNSS (global navigation satellite system) signal, the integrated navigation system in vehicles with a fixed trajectory (e.g., railcars) is limited to the use of micro-electromechanical system-inertial navigation system (MEMS-INS) and odometer (ODO). Due to the significant measurement error of the MEMS [...] Read more.
Without a GNSS (global navigation satellite system) signal, the integrated navigation system in vehicles with a fixed trajectory (e.g., railcars) is limited to the use of micro-electromechanical system-inertial navigation system (MEMS-INS) and odometer (ODO). Due to the significant measurement error of the MEMS inertial device and the inability of ODO to output attitude, the positioning error is generally large. To address this problem, this paper presents a new integrated navigation algorithm based on a dynamically constrained Kalman model. By analyzing the dynamics of a railcar, several new observations have been investigated, including errors of up and lateral velocity, centripetal acceleration, centripetal D-value (difference value), and an up-gyro bias. The state transition matrix and observation matrix for the error state model are represented. To improve navigation accuracy, virtual noise technology is applied to correct errors of up and lateral velocity. The vehicle-running experiment conducted within 240 s demonstrates that the positioning error rate of the dead-reckoning method based on MEMS-INS is 83.5%, whereas the proposed method exhibits a rate of 4.9%. Therefore, the accuracy of positioning can be significantly enhanced. Full article
Show Figures

Figure 1

27 pages, 5372 KB  
Article
A Low-Cost Redundant Attitude System for Small Satellites, Based on Strap-Down Inertial Techniques and Gyro Sensors Linear Clustering
by Mircea Ștefan Mustață and Teodor Lucian Grigorie
Appl. Sci. 2024, 14(15), 6585; https://doi.org/10.3390/app14156585 - 27 Jul 2024
Cited by 4 | Viewed by 2744
Abstract
The significant technological changes related to the manufacturing of the miniaturized sensors produced a higher impact at the level of the detection units equipping the strap-down inertial navigation systems (INSs). Together with miniaturization, many more advantages are brought by these technologies, related to [...] Read more.
The significant technological changes related to the manufacturing of the miniaturized sensors produced a higher impact at the level of the detection units equipping the strap-down inertial navigation systems (INSs). Together with miniaturization, many more advantages are brought by these technologies, related to low costs, low necessary energy, high robustness and high potential for adapting the design solutions. However, reducing the dimensions and weight of the sensors is reflected by a decrease in their performance in terms of sensitivity, noise and the possibility of controlling sensitive elements. On the other hand, there is a permanent increase in the need to have in-space applications of miniaturized systems with a high degree of redundancy and to equip miniaturized satellites, miniaturized space robots or space rovers. The paper proposes a new methodology to increase the quality of the signals received from the miniaturized inertial measurement units (IMUs), but also to increase the degree of redundancy, by using low-cost sensors arranged in redundant linear configurations. The presentation is focused on the development of an attitude system based on strap-down inertial techniques which uses a redundant IMU equipped with three linear clusters of miniaturized gyros. For each of the three clusters, a data fusion mechanism based on the maximal ratio combining method is applied. This fusion mechanism reduces the noise power and bias of the signal delivered to the navigation processor. Shown are the theory, software modeling and experimentation results for the attitude algorithm, for the data fusion method, and for the integrated system. Full article
Show Figures

Figure 1

26 pages, 8079 KB  
Article
Identification and Compensation Method of Unbalanced Error in Driving Chain for Rate-Integrating Hemispherical Resonator Gyro
by Yiwei Sun, Zhennan Wei, Guoxing Yi and Ning Wang
Sensors 2024, 24(13), 4328; https://doi.org/10.3390/s24134328 - 3 Jul 2024
Cited by 6 | Viewed by 2452
Abstract
The accuracy of the signal within a driving chain for the rate-integrating hemispherical resonator gyro (RI-HRG) plays a crucial role in the overall performance of the gyro. In this paper, a notable and effective method is proposed to realize the identification and compensation [...] Read more.
The accuracy of the signal within a driving chain for the rate-integrating hemispherical resonator gyro (RI-HRG) plays a crucial role in the overall performance of the gyro. In this paper, a notable and effective method is proposed to realize the identification and compensation of the unbalanced error in the driving chain for the RI-HRG that improved the performance of the multi-loop control applied in the RI-HRG. Firstly, the assembly inclination and eccentricity error of the hemispherical resonator, the inconsistent metal conductive film layer resistance error of the resonator, the coupling error of the driving chain, and the parameter inconsistency error of the circuit components were considered, and the impact of these errors on the multi-loop control applied in the RI-HRG were analyzed. On this basis, the impact was further summarized as the unbalanced error in the driving chain, which included the unbalanced gain error, equivalent misalignment angle, and unbalanced equivalent misalignment angle error. Then, a model between the unbalanced error in the driving chain and a non-ideal precession angular rate was established, which was applicable to both single channel asynchronous control and dual channel synchronous control of the RI-HRG. Further, an unbalanced error identification and compensation method is proposed by utilizing the RI-HRG output with the virtual precession control. Finally, the effectiveness of the proposed method was verified through simulation and experiments in kind. After error compensation, the zero-bias instability of the RI-HRG was improved from 3.0950°/h to 0.0511°/h. The results of experiments in kind demonstrated that the proposed method can effectively suppress the non-ideal angular rate output caused by the unbalanced error in the driving chain for the RI-HRG, thereby further improving the overall performance of the RI-HRG. Full article
(This article belongs to the Special Issue Advanced Inertial Sensors: Advances, Challenges and Applications)
Show Figures

Figure 1

21 pages, 5100 KB  
Article
A Novel Temperature Drift Error Estimation Model for Capacitive MEMS Gyros Using Thermal Stress Deformation Analysis
by Bing Qi, Jianhua Cheng, Zili Wang, Chao Jiang and Chun Jia
Micromachines 2024, 15(3), 324; https://doi.org/10.3390/mi15030324 - 26 Feb 2024
Cited by 3 | Viewed by 1830
Abstract
Because the conventional Temperature Drift Error (TDE) estimation model for Capacitive MEMS Gyros (CMGs) has inadequate Temperature Correlated Quantities (TCQs) and inaccurate parameter identification to improve their bias stability, its novel model based on thermal stress deformation analysis is presented. Firstly, the TDE [...] Read more.
Because the conventional Temperature Drift Error (TDE) estimation model for Capacitive MEMS Gyros (CMGs) has inadequate Temperature Correlated Quantities (TCQs) and inaccurate parameter identification to improve their bias stability, its novel model based on thermal stress deformation analysis is presented. Firstly, the TDE of the CMG is traced precisely by analyzing its structural deformation under thermal stress, and more key decisive TCQs are explored, including ambient temperature variation ∆T and its square ∆T2, as well its square root ∆T1/2; then, a novel TDE estimation model is established. Secondly, a Radial Basis Function Neural Network (RBFNN) is applied to identify its parameter accurately, which eliminates local optimums of the conventional model based on a Back-Propagation Neural Network (BPNN) to improve bias stability. By analyzing heat conduction between CMGs and the thermal chamber with heat flux analysis, proper temperature control intervals and reasonable temperature control periods are obtained to form a TDE precise test method to avoid time-consuming and expensive experiments. The novel model is implemented with an adequate TCQ and RBFNN, and the Mean Square Deviation (MSD) is introduced to evaluate its performance. Finally, the conventional model and novel model are compared with bias stability. Compared with the conventional model, the novel one improves CMG’s bias stability by 15% evenly. It estimates TDE more precisely to decouple Si-based materials’ temperature dependence effectively, and CMG’s environmental adaptability is enhanced to widen its application under complex conditions. Full article
Show Figures

Figure 1

10 pages, 1762 KB  
Article
Non-Reciprocal Frequency Contributions from the Active Medium in a Ring Laser
by Alexander A. Velikoseltsev, Karl Ulrich Schreiber, Jan Kodet and Jon-Paul R. Wells
Photonics 2023, 10(11), 1241; https://doi.org/10.3390/photonics10111241 - 8 Nov 2023
Cited by 1 | Viewed by 1845
Abstract
Under ideal conditions, the optical path for the two counter-propagating beams in a square ring laser cavity is expected to be entirely reciprocal. This property, together with the absence of any moving parts in the gyro, makes ring lasers a very useful rotation-sensing [...] Read more.
Under ideal conditions, the optical path for the two counter-propagating beams in a square ring laser cavity is expected to be entirely reciprocal. This property, together with the absence of any moving parts in the gyro, makes ring lasers a very useful rotation-sensing device. For a typical aircraft application, a sensor stability of the order of 0.01 °/h and a resolution of 1 ppm is required. The demands for inertial rotation sensing in space geodesy are three orders of magnitude higher. Therefore, the perturbations from the presence of the active laser gain medium inside the cavity cannot be ignored. While these perturbations can be sufficiently contained in aviation gyros due to the much lower requirements, they cause a notable bias in large ring laser gyroscopes for the observation of the instantaneous rotation rate of the Earth. In this paper, we report on an improved model for bias stability from the presence of the laser gain medium in the gyro cavity of the large ring laser “G” at the Geodetic Observatory Wettzell. Typical values between 5 and 10 ppB are obtained over several months. Full article
(This article belongs to the Special Issue Optical Sensors, Measurements, and Metrology)
Show Figures

Figure 1

18 pages, 7506 KB  
Article
Temperature Drift Compensation of Fiber Optic Gyroscopes Based on an Improved Method
by Xinwang Wang, Ying Cui and Huiliang Cao
Micromachines 2023, 14(9), 1712; https://doi.org/10.3390/mi14091712 - 31 Aug 2023
Cited by 11 | Viewed by 3165
Abstract
This study proposes an improved multi-scale permutation entropy complete ensemble empirical mode decomposition with adaptive noise (MPE-CEEMDAN) method based on adaptive Kalman filter (AKF) and grey wolf optimizer-least squares support vector machine (GWO-LSSVM). By establishing a temperature compensation model, the gyro temperature output [...] Read more.
This study proposes an improved multi-scale permutation entropy complete ensemble empirical mode decomposition with adaptive noise (MPE-CEEMDAN) method based on adaptive Kalman filter (AKF) and grey wolf optimizer-least squares support vector machine (GWO-LSSVM). By establishing a temperature compensation model, the gyro temperature output signal is optimized and reconstructed, and a gyro output signal is obtained with better accuracy. Firstly, MPE-CEEMDAN is used to decompose the FOG output signal into several intrinsic mode functions (IMFs); then, the IMFs signal is divided into mixed noise, temperature drift, and other noise according to different frequencies. Secondly, the AKF method is used to denoise the mixed noise. Thirdly, in order to denoise the temperature drift, the fiber gyroscope temperature compensation model is established based on GWO-LSSVM, and the signal without temperature drift is obtained. Finally, the processed mixed noise, the processed temperature drift, the processed other noise, and the signal-dominated IMFs are reconstructed to acquire the improved output signal. The experimental results show that, by using the improved method, the output of a fiber optic gyroscope (FOG) ranging from −30 °C to 60 °C decreases, and the temperature drift dramatically declines. The factor of quantization noise (Q) reduces from 6.1269 × 10−3 to 1.0132 × 10−4, the factor of bias instability (B) reduces from 1.53 × 10−2 to 1 × 10−3, and the factor of random walk of angular velocity (N) reduces from 7.8034 × 10−4 to 7.2110 × 10−6. The improved algorithm can be adopted to denoise the output signal of the FOG with higher accuracy. Full article
(This article belongs to the Section E:Engineering and Technology)
Show Figures

Figure 1

20 pages, 7459 KB  
Article
Virtual Coriolis-Force-Based Mode-Matching Micromachine-Optimized Tuning Fork Gyroscope without a Quadrature-Nulling Loop
by Yixuan Wu, Weizheng Yuan, Yanjun Xue, Honglong Chang and Qiang Shen
Micromachines 2023, 14(9), 1704; https://doi.org/10.3390/mi14091704 - 31 Aug 2023
Cited by 4 | Viewed by 2072
Abstract
A VCF-based mode-matching micromachine-optimized tuning fork gyroscope is proposed to not only maximize the scale factor of the device, but also avoid use of an additional quadrature-nulling loop to prevent structure complexity, pick-up electrode occupation, and coupling with a mode-matching loop. In detail, [...] Read more.
A VCF-based mode-matching micromachine-optimized tuning fork gyroscope is proposed to not only maximize the scale factor of the device, but also avoid use of an additional quadrature-nulling loop to prevent structure complexity, pick-up electrode occupation, and coupling with a mode-matching loop. In detail, a mode-matching, closed-loop system without a quadrature-nulling loop is established, and the corresponding convergence and matching error are quantitatively analyzed. The optimal straight beam of the gyro structure is then modeled to significantly reduce the quadrature coupling. The test results show that the frequency split is narrowed from 20 Hz to 0.014 Hz. The scale factor is improved 20.6 times and the bias instability (BI) is suppressed 3.28 times. The observed matching accuracy demonstrates that a mode matching system without a quadrature suppression loop is feasible and that the proposed device represents a competitive design for a mode-matching gyroscope. Full article
(This article belongs to the Special Issue MEMS Inertial Device)
Show Figures

Figure 1

14 pages, 3551 KB  
Article
Modeling and Compensation of Inertial Sensor Errors in Measurement Systems
by Tao Zheng, Aigong Xu, Xinchao Xu and Mingyue Liu
Electronics 2023, 12(11), 2458; https://doi.org/10.3390/electronics12112458 - 30 May 2023
Cited by 26 | Viewed by 8540
Abstract
In the field of surveying and mapping, inertial sensor deterministic errors are poorly understood, and error calibration and compensation are not carried out. Thus, in this study, the effects of three types of deterministic errors (i.e., bias, scale factor error, and installation error) [...] Read more.
In the field of surveying and mapping, inertial sensor deterministic errors are poorly understood, and error calibration and compensation are not carried out. Thus, in this study, the effects of three types of deterministic errors (i.e., bias, scale factor error, and installation error) in a conventional inertial measurement unit (IMU) error model on a navigation system are theoretically deduced and verified by simulation. Subsequently, navigation experiments are carried out to investigate the effects of the three deterministic errors on the navigation system. The experimental results show that the gyro bias has the strongest influence on the navigation and positioning accuracy of the system. Consequently, we designed a two-position continuous calibration scheme to calibrate the IMU. The calibration scheme can simultaneously calibrate the bias error of the gyroscope and the accelerometer. When calibrating the bias error of the 0.005°/h order of magnitude, the maximum relative error is 13.16%, and the rest of the calibration relative errors are less than 10%, which verifies the effectiveness of the calibration path designed in this paper. The system is compensated by using the IMU bias calibration results, and the navigation experiment results show that the position accuracy and heading accuracy are improved by 72.68% and 79.65%, respectively, through the calibration and compensation of IMU bias error. Therefore, the position and heading accuracy of the system will be greatly improved by calibrating and compensating the bias error through the two-position calibration path before the IMU is used. Full article
(This article belongs to the Section Microelectronics)
Show Figures

Figure 1

20 pages, 8179 KB  
Article
An Interface ASIC Design of MEMS Gyroscope with Analog Closed Loop Driving
by Huan Zhang, Weiping Chen, Liang Yin and Qiang Fu
Sensors 2023, 23(5), 2615; https://doi.org/10.3390/s23052615 - 27 Feb 2023
Cited by 9 | Viewed by 8674
Abstract
This paper introduces a digital interface application-specific integrated circuit (ASIC) for a micro-electromechanical systems (MEMS) vibratory gyroscope. The driving circuit of the interface ASIC uses an automatic gain circuit (AGC) module instead of a phase-locked loop to realize a self-excited vibration, which gives [...] Read more.
This paper introduces a digital interface application-specific integrated circuit (ASIC) for a micro-electromechanical systems (MEMS) vibratory gyroscope. The driving circuit of the interface ASIC uses an automatic gain circuit (AGC) module instead of a phase-locked loop to realize a self-excited vibration, which gives the gyroscope system good robustness. In order to realize the co-simulation of the mechanically sensitive structure and interface circuit of the gyroscope, the equivalent electrical model analysis and modeling of the mechanically sensitive structure of the gyro are carried out by Verilog-A. According to the design scheme of the MEMS gyroscope interface circuit, a system-level simulation model including mechanically sensitive structure and measurement and control circuit is established by SIMULINK. A digital-to-analog converter (ADC) is designed for the digital processing and temperature compensation of the angular velocity in the MEMS gyroscope digital circuit system. Using the positive and negative diode temperature characteristics, the function of the on-chip temperature sensor is realized, and the temperature compensation and zero bias correction are carried out simultaneously. The MEMS interface ASIC is designed using a standard 0.18 μM CMOS BCD process. The experimental results show that the signal-to-noise ratio (SNR) of sigma-delta (ΣΔ) ADC is 111.56 dB. The nonlinearity of the MEMS gyroscope system is 0.03% over the full-scale range. Full article
(This article belongs to the Special Issue Advanced Sensors in MEMS)
Show Figures

Figure 1

15 pages, 5901 KB  
Article
Real-Time Compensation for SLD Light-Power Fluctuation in an Interferometric Fiber-Optic Gyroscope
by Shijie Zheng, Mengyu Ren, Xin Luo, Hangyu Zhang and Guoying Feng
Sensors 2023, 23(4), 1925; https://doi.org/10.3390/s23041925 - 8 Feb 2023
Cited by 3 | Viewed by 3907
Abstract
An interferometric fiber-optic gyroscope (IFOG) demodulates a rotation signal via interferometric light intensity. However, the working environments of IFOGs typically involve great uncertainty. Fluctuations in temperature, air pressure, electromagnetic field, and the power system all cause the power of the superluminescent diode (SLD) [...] Read more.
An interferometric fiber-optic gyroscope (IFOG) demodulates a rotation signal via interferometric light intensity. However, the working environments of IFOGs typically involve great uncertainty. Fluctuations in temperature, air pressure, electromagnetic field, and the power system all cause the power of the superluminescent diode (SLD) light source to fluctuate as well. In this invited paper, we studied the effects of SLD power fluctuation on the dynamic and static performance characteristics of a gyro system through the use of a light-power feedback loop. Fluctuations of 0.5 mA, 1 mA, and 5 mA in the SLD source entering the IFOG caused zero-bias stability to be 69, 135, and 679 times worse. We established an effective method to monitor power fluctuations of SLD light sources and to compensate for their effects without increasing hardware complexity or system cost. In brief, we established a real-time power-sensing and -compensating system. Experimental results showed that for every 0.1 mA increase in the fluctuation amplitude of the driving current, the zero-bias stability became 4 to 7 times worse, which could be reduced about 95% through the use of SLD power compensation. Full article
(This article belongs to the Special Issue Important Achievements in Optical Measurements in China 2022–2023)
Show Figures

Figure 1

Back to TopTop