Modeling and Compensation of Inertial Sensor Errors in Measurement Systems
Abstract
1. Introduction
2. Materials and Methods
2.1. Sensor Error Model
2.2. Systematic Error Equation
3. The Influence of Device Error on the System
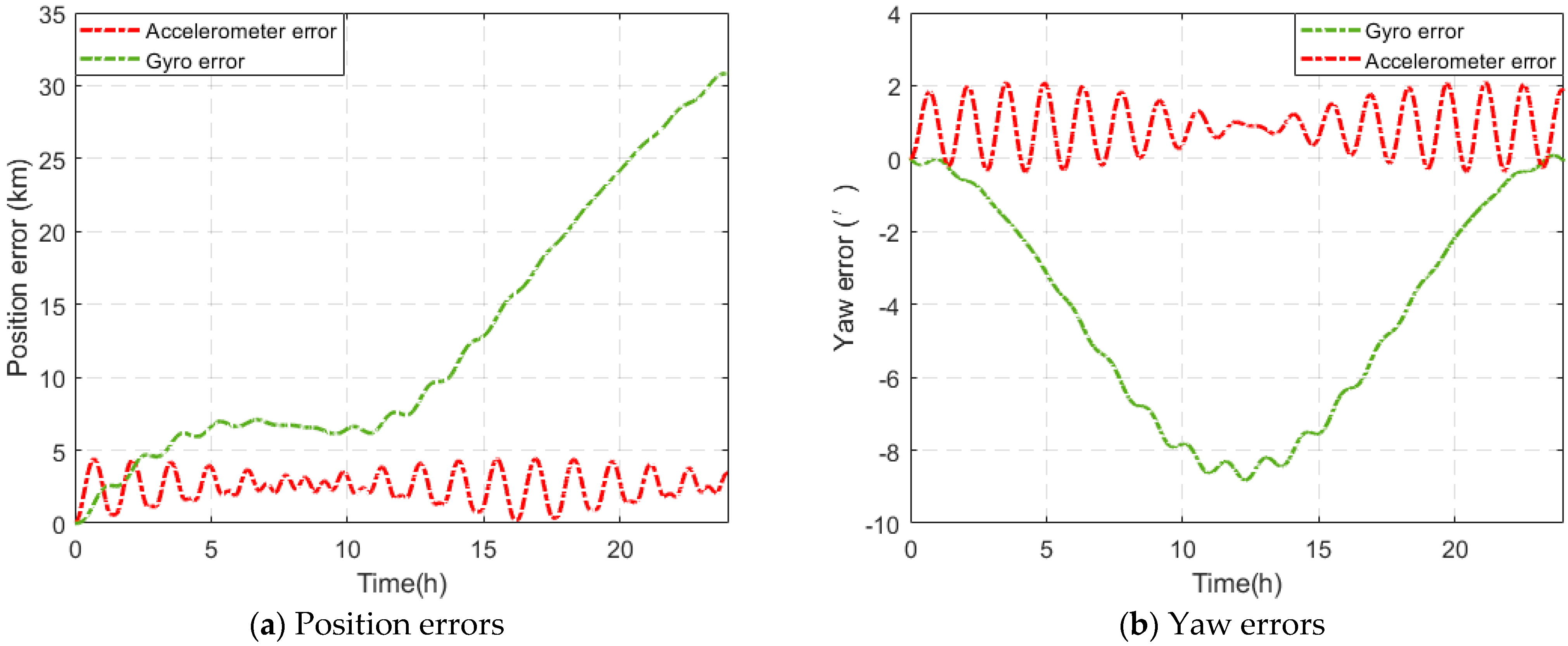
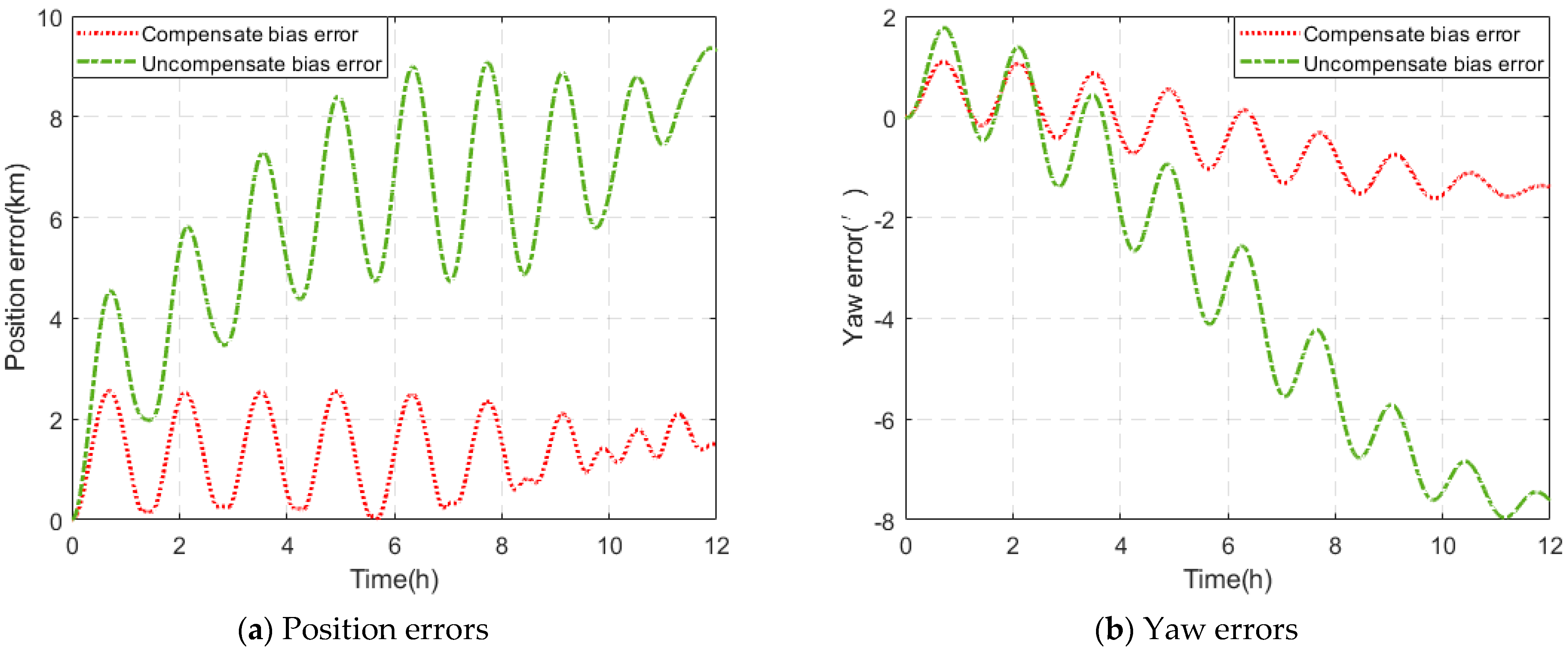
4. Navigation Experiment and Error Compensation
4.1. Navigation Simulation Experiment
4.2. Bias Calibration and Compensation
5. Conclusions
Author Contributions
Funding
Data Availability Statement
Conflicts of Interest
References
- Ei-Sheimy, N.; Youssef, A. Inertial sensors technologies for navigation applications: State of the art and future trends. Satell. Navig. 2020, 1, 2. [Google Scholar] [CrossRef]
- Cai, Q.; Yang, G.; Song, N.; Liu, Y. Systematic calibration for ultra-high accuracy inertial measurement units. Sensors 2016, 16, 940. [Google Scholar] [CrossRef] [PubMed]
- Peng, C.; Huang, J.; Lee, H. Design of an embedded icosahedron mechatronics for robust iterative IMU calibration. IEEE-ASME Trans. Mechatron. 2022, 27, 1467–1477. [Google Scholar] [CrossRef]
- Wen, Z.; Yang, G.; Cai, Q.; Sun, Y. Modeling and calibration of the gyro-accelerometer asynchronous time in dual-axis RINS. IEEE Trans. Instrum. Meas. 2021, 70, 3503117. [Google Scholar] [CrossRef]
- Xu, B.; Wang, L.; Duan, T. A novel hybrid calibration method for FOG-based IMU. Measurement 2019, 147, 106900. [Google Scholar] [CrossRef]
- Sairam, N.; Nagarajan, S.; Ornitz, S. Development of mobile mapping system for 3D road asset inventory. Sensors 2016, 16, 367. [Google Scholar] [CrossRef]
- Niu, X.; Wang, Y.; Kuang, J. A pedestrian POS for indoor mobile mapping system based on foot-mounted visual-inertial sensors. Measurement 2022, 199, 111559. [Google Scholar]
- Ei-Sheimy, N.; Li, Y. Indoor navigation: State of the art and future trends. Satell. Navig. 2021, 2, 7. [Google Scholar] [CrossRef]
- Chen, Q.; Zhang, Q.; Niu, X.; Wang, Y. Positioning accuracy of a pipeline surveying system based on MEMS IMU and odometer: Case study. IEEE Access 2019, 7, 104453–104461. [Google Scholar] [CrossRef]
- Wang, S.; Wang, S. Improving the shearer positioning accuracy using the shearer motion constraints in longwall panels. IEEE Access 2020, 8, 52466–52474. [Google Scholar] [CrossRef]
- Chen, Q.; Zhang, Q.; Niu, X.; Liu, J. Semi-analytical assessment of the relative accuracy of the GNSS/INS in railway track irregularity measurements. Satell. Navig. 2021, 2, 25. [Google Scholar] [CrossRef]
- Liu, Y.; Fan, X.; Lv, C.; Wu, J.; Li, L.; Ding, D. An innovative information fusion method with adaptive Kalman filter for integrated INS/GPS navigation of autonomous vehicles. Mech. Syst. Signal Process. 2018, 100, 605–616. [Google Scholar] [CrossRef]
- Chen, C.; Chang, G. Low-cost GNSS/INS integration for enhanced land vehicle performance. Meas. Sci. Technol. 2019, 31, 035009. [Google Scholar] [CrossRef]
- Jin, J.; Zhu, F.; Tao, X.; Liu, W.; Zhang, X. Dynamic systematic error analysis and modeling for consumer inertial sensor. Sci. Surv. Mapp. 2022, 47, 55–61. [Google Scholar]
- Li, S.; Niu, Y.; Feng, C.; Liu, H.; Zhang, D.; Qin, H. An onsite calibration method for MEMS-IMU in building mapping fields. Sensors 2019, 19, 4150. [Google Scholar] [CrossRef]
- Yang, H.; Li, W.; Luo, T.; Luo, C.; Liang, H.; Zhang, H.; Gu, Y. Research on the strategy of motion constraint-aided ZUPT for the SINS positioning system of a shearer. Micromachines 2017, 8, 340. [Google Scholar] [CrossRef]
- Weng, Y.; Wang, S.; Zhang, H.; Gu, H.; Wei, X. A high resolution tilt measurement system based on multi-accelerometers. Measurement 2017, 109, 215–222. [Google Scholar] [CrossRef]
- Dai, M.; Pan, X.; Yang, Y.; Li, Z.; Zhu, Y. A method for improving the performance of centering rod surveying based on two-position correction. Meas. Sci. Technol. 2022, 33, 085001. [Google Scholar] [CrossRef]
- Lu, J.; Lei, C. Applied system-level method in calibration validation for personal navigation system in field. IET Sci. Meas. Technol. 2017, 11, 103–110. [Google Scholar] [CrossRef]
- Strohmeier, M.; Montenegro, S. Coupled GPS/MEMS IMU attitude determination of small UAVs with COTS. Electronics 2017, 6, 15. [Google Scholar] [CrossRef]
- Xu, C.; He, J.; Zhang, X.; Zhou, X.; Duan, S. Towards human motion tracking: Multi-sensory IMU/TOA fusion method and fundamental limits. Electronics 2019, 8, 142. [Google Scholar] [CrossRef]
- Cui, C.; Zhao, J.; Hu, J. Improving robustness of the MAV yaw angle estimation for low-cost INS/GPS integration aided with tri-axial magnetometer calibrated by rotating the ellipsoid model. IET Radar Sonar Navig. 2020, 14, 61–70. [Google Scholar]
- Li, N.; Guan, L.; Gao, Y.; Du, S.; Wu, M.; Guang, X.; Cong, X. Indoor and outdoor low-cost seamless integrated navigation system based on the integration of INS/GNSS/LIDAR system. Remote Sens. 2020, 12, 3271. [Google Scholar] [CrossRef]
- Wei, X.; Fan, S.; Zhang, Y.; Chang, L.; Wang, G.; Shen, F. Positioning algorithm of MEMS pipeline inertial locator based on dead reckoning and information multiplexing. Electronics 2022, 11, 2931. [Google Scholar] [CrossRef]
- Yang, Y.; Li, B.; Wu, X.; Yang, L. Application of adaptive cubature kalman filter to in-pipe survey system for 3D small-diameter pipeline mapping. IEEE Sens. J. 2020, 20, 6331–6337. [Google Scholar] [CrossRef]
- Xiao, Y.; Ruan, X.; Chai, J.; Zhang, X.; Zhu, X. Online IMU Self-Calibration for Visual-Inertial Systems. Sensors 2019, 19, 1624. [Google Scholar] [CrossRef]
- Chang, J.; Fan, S.; Zhang, Y.; Li, J.; Shao, J.; Xu, D. A time asynchronous parameters calibration method of high-precision FOG-IMU based on a single-axis continuous rotation scheme. Meas. Sci. Technol. 2023, 34, 055108. [Google Scholar] [CrossRef]
- Zha, F.; Chang, L.; He, H. Comprehensive Error Compensation for Dual-Axis Rotational Inertial Navigation System. IEEE Sens. J. 2020, 20, 3788–3802. [Google Scholar] [CrossRef]
- Ei-Sheimy, N.; Hou, H.; Niu, X. Analysis and modeling of inertial sensors using Allan variance. IEEE Trans. Instrum. Meas. 2008, 57, 140–149. [Google Scholar] [CrossRef]
- Zhao, G.; Tan, M.; Guo, Q.; Wu, C. An improved system-level calibration method of strapdown inertial navigation system based on matrix factorization. IEEE Sens. J. 2022, 22, 14986–14996. [Google Scholar] [CrossRef]
- Wang, Z.; Xie, Y.; Yu, X.; Fan, H.; Wei, G.; Wang, L.; Fan, Z.; Wang, G.; Luo, H. A system-level calibration method including temperature-related error coefficients for a strapdown inertial navigation system. Meas. Sci. Technol. 2021, 32, 115117. [Google Scholar] [CrossRef]
- Zheng, Z.; Han, S.; Zheng, K. An eight-position self-calibration method for a dual-axis rotational Inertial Navigation System. Sens. Actuators A Phys. 2015, 232, 39–48. [Google Scholar] [CrossRef]
- Wang, B.; Ren, Q.; Deng, Z.; Fu, M. A self-calibration method for nonorthogonal angles between gimbals of rotational inertial navigation system. IEEE Trans. Ind. Electron. 2015, 62, 2353–2362. [Google Scholar] [CrossRef]
- Li, J.; Fang, J.; Du, M. Error analysis and gyro-bias calibration of analytic coarse alignment for airborne POS. IEEE Trans. Instrum. Meas. 2012, 61, 3058–3064. [Google Scholar]
- Lu, J.; Lei, C.; Li, B.; Wen, T. Improved calibration of IMU biases in analytic coarse alignment for AHRS. Meas. Sci. Technol. 2016, 27, 075105. [Google Scholar] [CrossRef]
- Wang, S.; Yang, G.; Wang, L.; Liu, P. A fast calibration method for the all biases of IMU. J. Chin. Inert. Technol. 2020, 28, 316–322. [Google Scholar]













| Device | Group | X-Axis/Y-Axis/Z-Axis |
|---|---|---|
| Accelerometer | 1 | 100/100/100 μg |
| 2 | 200/200/200 μg | |
| 3 | 300/300/300 μg | |
| Gyro | 1 | 0.01/0.01/0.01°/h |
| 2 | 0.02/0.02/0.02°/h | |
| 3 | 0.03/0.03/0.03°/h |
| Device | Bias | Scale Factor (ppm) | Installation Error (″) |
|---|---|---|---|
| Accelerometer | 100/100/100 μg | 20/20/20 | 30/30/30/30/30/30 |
| Gyro | 0.01/0.01/0.01°/h | 20/20/20 | 30/30/30/30/30/30 |
| Device | Parameter | Attitude Error (′) | Speed Error (m/s) | Position Error (km) | |||
|---|---|---|---|---|---|---|---|
| Pitch | Roll | Yaw | Eastbound Speed | Northbound Speed | Location | ||
| Accelerometer | Bias | 0.83 | 0.83 | 0.85 | 1.12 | 1.12 | 1.80 |
| Scale factor | 0.03 | 0.02 | 0.03 | 0.03 | 0.01 | 1.11 | |
| Installation error | 1.21 | 1.21 | 1.25 | 1.63 | 1.62 | 2.77 | |
| Gyro | Bias | 0.20 | 0.20 | 6.75 | 0.85 | 0.70 | 26.27 |
| Scale factor | 0.04 | 0.02 | 0.03 | 0.04 | 0.02 | 1.67 | |
| Installation error | 0.07 | 0.06 | 2.08 | 0.17 | 0.20 | 4.34 | |
| Position | Three-Axis Orientation | Rotational Axis | Standing Time/(s) |
|---|---|---|---|
| 1 | North-East-Down | X + 180° | 600 |
| 2 | North-West-Up | - | 600 |
| No. | Preset | Estimation |
|---|---|---|
| 1 | 50/50/50 (μg) | 53.06/46.51/46.34 (μg) |
| 0.005/0.005/0.005 (°/h) | 0.00499/0.00503/0.00432 (°/h) | |
| 2 | 100/100/100 (μg) | 103.21/96.48/96.33 (μg) |
| 0.01/0.01/0.01 (°/h) | 0.0099/0.0100/0.0096 (°/h) | |
| 3 | 500/500/500 (μg) | 504.24/496.05/496.27 (μg) |
| 0.05/0.05/0.05 (°/h) | 0.0499/0.0499/0.0498 (°/h) | |
| 4 | 1000/1000/1000 (μg) | 1005.49/995.41/996.29 (μg) |
| 0.1/0.1/0.1 (°/h) | 0.100/0.099/0.099 (°/h) |
Disclaimer/Publisher’s Note: The statements, opinions and data contained in all publications are solely those of the individual author(s) and contributor(s) and not of MDPI and/or the editor(s). MDPI and/or the editor(s) disclaim responsibility for any injury to people or property resulting from any ideas, methods, instructions or products referred to in the content. |
© 2023 by the authors. Licensee MDPI, Basel, Switzerland. This article is an open access article distributed under the terms and conditions of the Creative Commons Attribution (CC BY) license (https://creativecommons.org/licenses/by/4.0/).
Share and Cite
Zheng, T.; Xu, A.; Xu, X.; Liu, M. Modeling and Compensation of Inertial Sensor Errors in Measurement Systems. Electronics 2023, 12, 2458. https://doi.org/10.3390/electronics12112458
Zheng T, Xu A, Xu X, Liu M. Modeling and Compensation of Inertial Sensor Errors in Measurement Systems. Electronics. 2023; 12(11):2458. https://doi.org/10.3390/electronics12112458
Chicago/Turabian StyleZheng, Tao, Aigong Xu, Xinchao Xu, and Mingyue Liu. 2023. "Modeling and Compensation of Inertial Sensor Errors in Measurement Systems" Electronics 12, no. 11: 2458. https://doi.org/10.3390/electronics12112458
APA StyleZheng, T., Xu, A., Xu, X., & Liu, M. (2023). Modeling and Compensation of Inertial Sensor Errors in Measurement Systems. Electronics, 12(11), 2458. https://doi.org/10.3390/electronics12112458
