Sign in to use this feature.

Years

Between: -

Subjects

remove_circle_outline
remove_circle_outline
remove_circle_outline
remove_circle_outline
remove_circle_outline
remove_circle_outline
remove_circle_outline
remove_circle_outline
remove_circle_outline

Journals

remove_circle_outline
remove_circle_outline
remove_circle_outline
remove_circle_outline
remove_circle_outline
remove_circle_outline
remove_circle_outline
remove_circle_outline
remove_circle_outline
remove_circle_outline
remove_circle_outline
remove_circle_outline
remove_circle_outline
remove_circle_outline
remove_circle_outline

Article Types

Countries / Regions

remove_circle_outline
remove_circle_outline
remove_circle_outline
remove_circle_outline
remove_circle_outline
remove_circle_outline
remove_circle_outline
remove_circle_outline

Search Results (4,844)

Search Parameters:
Keywords = growth season

Order results
Result details
Results per page
Select all
Export citation of selected articles as:
15 pages, 3040 KB  
Article
Feeding Characteristics of Crocodile Toothfish, Champsodon snyderi in the South Sea of Korea
by Hyun Sol Park, Hyeon Ji Kim, Gun Wook Baeck and Jae Mook Jeong
Water 2026, 18(2), 258; https://doi.org/10.3390/w18020258 - 19 Jan 2026
Abstract
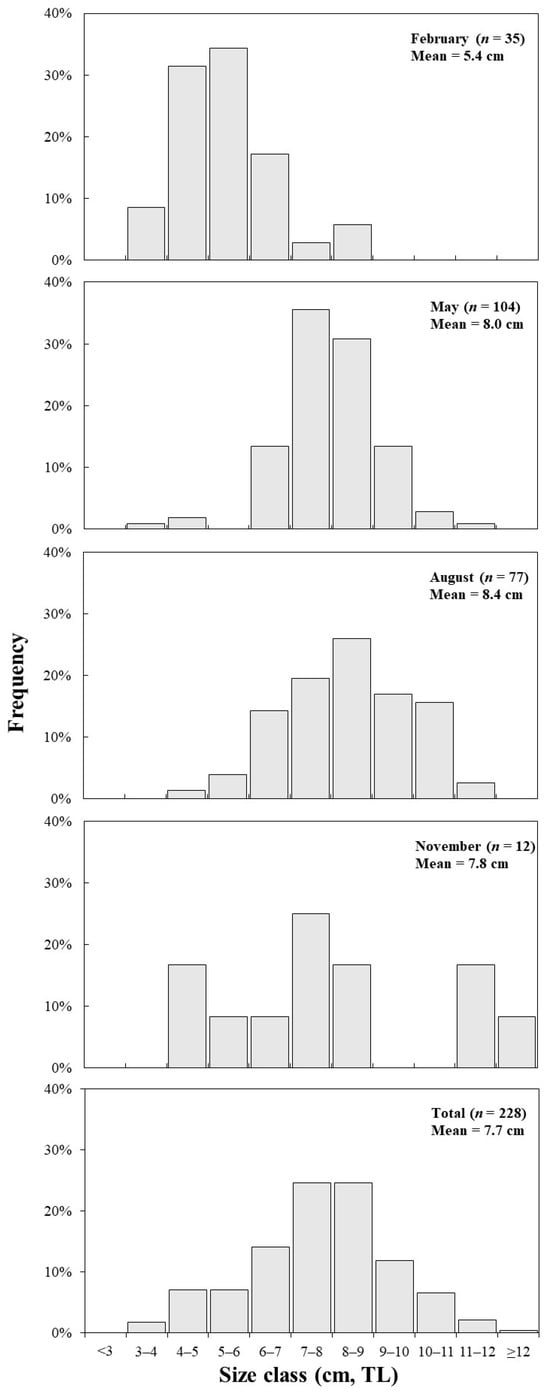
In this study, the stomach contents of the crocodile toothfish Champsodon snyderi from the offshore waters of the South Sea of Korea were analyzed to understand their feeding characteristics. Bottom-trawlers in the South Sea of Korea were used to collect a total of [...] Read more.
In this study, the stomach contents of the crocodile toothfish Champsodon snyderi from the offshore waters of the South Sea of Korea were analyzed to understand their feeding characteristics. Bottom-trawlers in the South Sea of Korea were used to collect a total of 228 C. snyderi individuals with lengths ranging from 3.6 cm to 12.3 cm. Based on the index of relative importance and variations in the stomach contents according to fish size, C. snyderi was identified as a spatiotemporal opportunistic feeder that consumes abundant prey resources in the South Sea of Korea. Although no distinct dietary shift was observed with growth, there was a decreasing and increasing trend in the proportion of amphipods and shrimp consumed, respectively, in association with increasing C. snyderi body size in the nearshore waters of the South Sea of Korea. In addition, differences in the stomach content composition were observed in relation to interactions between season and size. Our findings indicate that the feeding characteristics of C. snyderi are affected by the abundance and composition of prey within its habitat. Full article
(This article belongs to the Section Biodiversity and Functionality of Aquatic Ecosystems)
Show Figures

Figure 1

36 pages, 936 KB  
Article
Contribution of Biological Nitrogen Fixation and Ratoon Rice Growth to Paddy Soil Fertility: Analyses via Field Monitoring and Modeling
by Tamon Fumoto, Satoshi Kumagai, Yu Okashita, Norimasa Tanikawa, Masaya Kuribayashi, Ryotaro Hirose, Hiroyuki Hasukawa, Rie Kusuda, Keisuke Ono, Nobuko Katayanagi and Yusuke Takata
Agriculture 2026, 16(2), 239; https://doi.org/10.3390/agriculture16020239 - 17 Jan 2026
Viewed by 61
Abstract
Biological N2 fixation (BNF) and ratoon rice growth are biological processes that mediate N and C cycling in rice paddy ecosystems, but their contributions to paddy soil fertility have rarely been evaluated in a quantitative and unified manner. In this study, we [...] Read more.
Biological N2 fixation (BNF) and ratoon rice growth are biological processes that mediate N and C cycling in rice paddy ecosystems, but their contributions to paddy soil fertility have rarely been evaluated in a quantitative and unified manner. In this study, we analyzed the contribution of BNF and ratoon rice growth to soil N fertility at six rice paddy sites in four prefectures of Japan, combining 2-year field monitoring and simulation using the DNDC-Rice biogeochemistry model. Across the sites and years, ratoon rice was found to accumulate up to 30 kg N ha−1 without fertilization and irrigation after main rice harvest. BNF was not measured but estimated to be 33–63 kg N ha−1 yr−1 at the six sites, by applying a newly built BNF model after calibration against a literature dataset. Based on the simulations using DNDC-Rice under typical local management strategies, we estimated the following contributions of BNF and ratoon rice to soil N fertility, with variations based on the climate, soil properties, and management, as follows: (a) BNF and ratoon rice contributed 4–33% and 3–23% of the N supply from soil during the main rice season, respectively. (b) While BNF contributed 3–29% of the main rice N uptake, that from ratoon rice was much lower (6% or less), presumably because the decomposition of ratoon rice residue induced N immobilization during the main rice season. (c) Although the major part of N gain by BNF was being lost via denitrification and N leaching, BNF was contributing up to 6.6% of the organic N pool at the 0–30 cm soil layer. Ratoon rice was working to save N loss by reducing N leaching, consequently contributing up to 3.3% of the soil N pool. These findings provide quantitative insights into what roles BNF and ratoon rice play in paddy soil fertility. Full article
(This article belongs to the Section Artificial Intelligence and Digital Agriculture)
20 pages, 9095 KB  
Article
Radial Growth Patterns Across the Growing Season in Response to Microclimate in Silvopastoral Systems of Nothofagus antarctica Forests
by Julián Rodríguez-Souilla, Juan Manuel Cellini, María Vanessa Lencinas, Lucía Bottan, Jimena Elizabeth Chaves, Fidel Alejandro Roig and Guillermo Martínez Pastur
Forests 2026, 17(1), 129; https://doi.org/10.3390/f17010129 - 17 Jan 2026
Viewed by 135
Abstract
Silvopastoral systems in Patagonia (Argentina) aim to synergize forest and grassland productivity through thinning interventions in native forests of Antarctic beech (Nothofagus antarctica (G.Forst.) Oerst.), locally known as ñire, modifying ecosystem dynamics. This study aimed to determine how thinning strategies modify microclimatic [...] Read more.
Silvopastoral systems in Patagonia (Argentina) aim to synergize forest and grassland productivity through thinning interventions in native forests of Antarctic beech (Nothofagus antarctica (G.Forst.) Oerst.), locally known as ñire, modifying ecosystem dynamics. This study aimed to determine how thinning strategies modify microclimatic conditions (air and soil temperatures, precipitation, soil water content) and modulate the intra-annual radial growth patterns in N. antarctica trees within subpolar deciduous forests of Tierra del Fuego, Argentina. We established three treatments: unmanaged mature forest (UF), thinning under crown cover influence (UC), and thinning outside crown cover influence (OC). Microclimate and radial growth were continuously monitored using high-precision dendrometers and associated data loggers during the 2021–2022 and 2023–2024 growing seasons. Data were analyzed using Generalized Linear Mixed Models and Principal Component Analysis. OC treatment consistently exhibited the highest total annual radial growth, averaging 1.44 mm yr−1, which was substantially greater than the observed in both the UC (0.56 mm yr−1) and UF (0.83 mm yr−1) across the two seasons. An advanced growth dynamic, with cambial activity starting approximately five days earlier than in UF and UC, was detected. Air temperature was a primary positive driver of daily growth (GLMM Estimates > 0.029, p < 0.001 for all treatments), while soil water content (SWC) was significantly higher in OC (mean 25.4%) compared to UF (22.3%) and UC (15.9%). These findings showed that OC, characterized by higher soil moisture, likely facilitated the trees’ ability to capitalize on warm temperature days. This accelerates and extends the period of radial growth, offering a direct strategy to enhance productivity in these silvopastoral systems, essential for long-term forest sustainability. Full article
(This article belongs to the Section Forest Ecology and Management)
Show Figures

Figure 1

22 pages, 18812 KB  
Article
Integration of X-Ray CT, Sensor Fusion, and Machine Learning for Advanced Modeling of Preharvest Apple Growth Dynamics
by Weiqun Wang, Dario Mengoli, Shangpeng Sun and Luigi Manfrini
Sensors 2026, 26(2), 623; https://doi.org/10.3390/s26020623 - 16 Jan 2026
Viewed by 116
Abstract
Understanding the complex interplay between environmental factors and fruit quality development requires sophisticated analytical approaches linking cellular architecture to environmental conditions. This study introduces a novel application of dual-resolution X-ray computed tomography (CT) for the non-destructive characterization of apple internal tissue architecture in [...] Read more.
Understanding the complex interplay between environmental factors and fruit quality development requires sophisticated analytical approaches linking cellular architecture to environmental conditions. This study introduces a novel application of dual-resolution X-ray computed tomography (CT) for the non-destructive characterization of apple internal tissue architecture in relation to fruit growth, thereby advancing beyond traditional methods that are primarily focused on postharvest analysis. By extracting detailed three-dimensional structural parameters, we reveal tissue porosity and heterogeneity influenced by crop load, maturity timing and canopy position, offering insights into internal quality attributes. Employing correlation analysis, Principal Component Analysis, Canonical Correlation Analysis, and Structural Equation Modeling, we identify temperature as the primary environmental driver, particularly during early developmental stages (45 Days After Full Bloom, DAFB), and uncover nonlinear, hierarchical effects of preharvest environmental factors such as vapor pressure deficit, relative humidity, and light on quality traits. Machine learning models (Multiple Linear Regression, Random Forest, XGBoost) achieve high predictive accuracy (R² > 0.99 for Multiple Linear Regression), with temperature as the key predictor. These baseline results represent findings from a single growing season and require validation across multiple seasons and cultivars before operational application. Temporal analysis highlights the importance of early-stage environmental conditions. Integrating structural and environmental data through innovative visualization tools, such as anatomy-based radar charts, facilitates comprehensive interpretation of complex interactions. This multidisciplinary framework enhances predictive precision and provides a baseline methodology to support precision orchard management under typical agricultural variability. Full article
(This article belongs to the Special Issue Feature Papers in Sensing and Imaging 2025&2026)
24 pages, 43005 KB  
Article
Accurate Estimation of Spring Maize Aboveground Biomass in Arid Regions Based on Integrated UAV Remote Sensing Feature Selection
by Fengxiu Li, Yanzhao Guo, Yingjie Ma, Ning Lv, Zhijian Gao, Guodong Wang, Zhitao Zhang, Lei Shi and Chongqi Zhao
Agronomy 2026, 16(2), 219; https://doi.org/10.3390/agronomy16020219 - 16 Jan 2026
Viewed by 103
Abstract
Maize is one of the top three crops globally, ranking only behind rice and wheat, making it an important crop of interest. Aboveground biomass is a key indicator for assessing maize growth and its yield potential. This study developed an efficient and stable [...] Read more.
Maize is one of the top three crops globally, ranking only behind rice and wheat, making it an important crop of interest. Aboveground biomass is a key indicator for assessing maize growth and its yield potential. This study developed an efficient and stable biomass prediction model to estimate the aboveground biomass (AGB) of spring maize (Zea mays L.) under subsurface drip irrigation in arid regions, based on UAV multispectral remote sensing and machine learning techniques. Focusing on typical subsurface drip-irrigated spring maize in arid Xinjiang, multispectral images and field-measured AGB data were collected from 96 sample points (selected via stratified random sampling across 24 plots) over four key phenological stages in 2024 and 2025. Sixteen vegetation indices were calculated and 40 texture features were extracted using the gray-level co-occurrence matrix method, while an integrated feature-selection strategy combining Elastic Net and Random Forest was employed to effectively screen key predictor variables. Based on the selected features, six machine learning models were constructed, including Elastic Net Regression (ENR), Gradient Boosting Decision Trees (GBDT), Gaussian Process Regression (GPR), Partial Least Squares Regression (PLSR), Random Forest (RF), and Extreme Gradient Boosting (XGB). Results showed that the fused feature set comprised four vegetation indices (GRDVI, RERVI, GRVI, NDVI) and five texture features (R_Corr, NIR_Mean, NIR_Vari, B_Mean, B_Corr), thereby retaining red-edge and visible-light texture information highly sensitive to AGB. The GPR model based on the fused features exhibited the best performance (test set R2 = 0.852, RMSE = 2890.74 kg ha−1, MAE = 1676.70 kg ha−1), demonstrating high fitting accuracy and stable predictive ability across both the training and test sets. Spatial inversions over the two growing seasons of 2024 and 2025, derived from the fused-feature GPR optimal model at four key phenological stages, revealed pronounced spatiotemporal heterogeneity and stage-dependent dynamics of spring maize AGB: the biomass accumulates rapidly from jointing to grain filling, slows thereafter, and peaks at maturity. At a constant planting density, AGB increased markedly with nitrogen inputs from N0 to N3 (420 kg N ha−1), with the high-nitrogen N3 treatment producing the greatest biomass; this successfully captured the regulatory effect of the nitrogen gradient on maize growth, provided reliable data for variable-rate fertilization, and is highly relevant for optimizing water–fertilizer coordination in subsurface drip irrigation systems. Future research may extend this integrated feature selection and modeling framework to monitor the growth and estimate the yield of other crops, such as rice and cotton, thereby validating its generalizability and robustness in diverse agricultural scenarios. Full article
Show Figures

Figure 1

24 pages, 8302 KB  
Article
Characteristics of Four Co-Occurring Tree Species Sap Flow in the Karst Returning Farmland to Forest Area of Southwest China and Their Responses to Environmental Factors
by Yongyan Yang, Zhirong Feng, Liang Qin, Hua Zhou and Zhaohui Ren
Sustainability 2026, 18(2), 900; https://doi.org/10.3390/su18020900 - 15 Jan 2026
Viewed by 107
Abstract
Monitoring stem sap flow is essential for understanding plant water-use strategies and eco-physiological processes in the ecologically fragile karst region. In the study, we continuously monitored four co-occurring species—Cryptomeria japonica var. sinensis (LS), Liquidambar formosana (FX), Camptotheca acuminata (XS), and Melia azedarach [...] Read more.
Monitoring stem sap flow is essential for understanding plant water-use strategies and eco-physiological processes in the ecologically fragile karst region. In the study, we continuously monitored four co-occurring species—Cryptomeria japonica var. sinensis (LS), Liquidambar formosana (FX), Camptotheca acuminata (XS), and Melia azedarach (KL)—using the thermal dissipation probe method in a karst farmland-to-forest restoration area. We analyzed diurnal and nocturnal sap flow variations across different growth periods and their responses to environmental factors at an hourly scale. The results showed (1) A “high daytime, low nighttime” sap flow pattern during the growing season for all species. (2) The proportion of nocturnal sap flow was significantly lower in the growing than in the non-growing season. (3) Daytime sap flow was primarily driven by photosynthetically active radiation (PAR) and vapor pressure deficit (VPD) during the growing season. In the non-growing season, daytime drivers were species-specific: relative humidity (RH, 39.39%) for LS; air temperature (Ta, 23.14%) for FX; PAR (33.03%) for XS; and soil moisture at a 10 cm depth (SM1, 25.2%) for KL. Nocturnal flow was governed by VPD and RH during the growing season versus soil moisture (SM1 and SM2) and RH in the non-growing season. These findings reveal interspecific differences in water-use strategies and provide a scientific basis for species selection and afforestation management in the karst ecological restoration of this research area. Full article
Show Figures

Figure 1

17 pages, 4231 KB  
Article
The Impact of Soil Tillage Systems and Fertilization Strategies on Winter Wheat Yield Under the Variable Weather Conditions of the Transylvanian Plain
by Felicia Chețan, Cornel Chețan, Alina Șimon, Ovidiu Adrian Ceclan, Diana Hirișcău, Raluca Rezi, Alin Popa, Marius Bărdaș, Camelia Urdă, Roxana Elena Călugăr, Paula Ioana Moraru and Teodor Rusu
Nitrogen 2026, 7(1), 12; https://doi.org/10.3390/nitrogen7010012 - 15 Jan 2026
Viewed by 62
Abstract
Agronomic systems that can guarantee consistent and sufficient crop yields must be developed and implemented in order to address the problems presented by climate change, especially the increase in average annual temperatures and the unequal distribution of precipitation. Over the course of five [...] Read more.
Agronomic systems that can guarantee consistent and sufficient crop yields must be developed and implemented in order to address the problems presented by climate change, especially the increase in average annual temperatures and the unequal distribution of precipitation. Over the course of five successive growing seasons (2019–2024), a Poly-Factorial field experiment was carried out at the Agricultural Research and Development Station (ARDS) Turda, Romania, which is situated in the hilly region of the Transylvanian Plain. The study investigated the combined effects of soil tillage system (conventional tillage—CS; no-tillage—NT) and fertilization strategies (N48P48K48 at sowing vs. N48P48K48 at sowing + N40.5CaO10.5MgO7 applied in early spring at the growth resumption) on the quantitative and qualitative performance of winter wheat (Triticum aestivum L.). Results showed a modest yield difference of 206 kg ha−1 between the two tillage systems, favoring conventional tillage. However, the application of additional early-spring fertilization resulted in a significant average yield increase of 338 kg ha−1. Yield variability across the five years ranged from 262 to 1797 kg ha−1, highlighting the strong influence of climatic conditions on crop performance and emphasizing the need for adaptive management practices under changing environmental conditions. Full article
Show Figures

Figure 1

18 pages, 1816 KB  
Article
A Biomass-Driven 3D Structural Model for Banana (Musa spp.) Fruit Fingers Across Genotypes
by Yongxia Liu, Ting Sun, Zhanwu Sheng, Bizun Wang, Lili Zheng, Yang Yang, Dao Xiao, Xiaoyan Zheng, Pingping Fang, Jing Cao and Wenyu Zhang
Agronomy 2026, 16(2), 204; https://doi.org/10.3390/agronomy16020204 - 14 Jan 2026
Viewed by 171
Abstract
Banana (Musa spp.) fruit morphology is a key determinant of yield and quality, yet modeling its 3D structural dynamics across genotypes remains difficult. To address this challenge, we developed a generic, biomass-driven 3D structural model for banana fruit fingers that quantitatively links [...] Read more.
Banana (Musa spp.) fruit morphology is a key determinant of yield and quality, yet modeling its 3D structural dynamics across genotypes remains difficult. To address this challenge, we developed a generic, biomass-driven 3D structural model for banana fruit fingers that quantitatively links growth and morphology. Field experiments were conducted over two growing seasons in Hainan, China, using three representative genotypes. Morphological traits, including outer and inner arc length, circumference, and pedicel length, along with dry (Wd) and fresh weight (Wf), were measured every 10 days after flowering until 110 days. Quantitative relationships between morphological traits and Wf, as well as between Wd and Wf, were fitted using linear or Gompertz functions with genotype-specific parameters. Based on these functions, a parameterized 3D reconstruction method was implemented in Python, combining biomass-driven growth equations, curvature geometry, and cross-sectional interpolation to simulate the fruit’s bending, tapering, and volumetric development. The resulting dynamic 3D models accurately reproduced genotype-specific differences in curvature, length, and shape with average fitting R2 > 0.95. The proposed biomass-driven 3D structural model provides a methodological framework for integrating banana fruit morphology into functional–structural plant models. Full article
(This article belongs to the Section Precision and Digital Agriculture)
Show Figures

Figure 1

18 pages, 4114 KB  
Article
Hydrological Changes Drive the Seasonal Vegetation Carbon Storage of the Poyang Lake Floodplain Wetland
by Zili Yang, Shaoxia Xia, Houlang Duan and Xiubo Yu
Remote Sens. 2026, 18(2), 276; https://doi.org/10.3390/rs18020276 - 14 Jan 2026
Viewed by 102
Abstract
Wetlands are a critical component of the global biogeochemical cycle and have great potential for carbon sequestration under the changing climate. However, previous studies have mainly focused on the dynamics of soil organic carbon while paying little attention to the vegetation carbon storage [...] Read more.
Wetlands are a critical component of the global biogeochemical cycle and have great potential for carbon sequestration under the changing climate. However, previous studies have mainly focused on the dynamics of soil organic carbon while paying little attention to the vegetation carbon storage in wetlands. Poyang Lake is the largest freshwater lake in China, where intra-annual and inter-annual variations in water levels significantly affect the vegetation carbon storage in the floodplain wetland. Therefore, we assessed the seasonal distribution and carbon storage of six typical plant communities (Arundinella hirta, Carex cinerascens, Miscanthus lutarioriparius, Persicaria hydropiper, Phalaris arundinacea, and Phragmites australis) in Poyang Lake wetlands from 2019 to 2024 based on field surveys, the literature, and remote sensing data. Then, we used 16 preseason meteorological and hydrological variables for two growing seasons to investigate the impacts of environmental factors on vegetation carbon storage based on four correlation and regression methods (including Pearson and partial correlation, ridge, and elastic net regression). The results show that the C. cinerascens community was the most dominant contributor to vegetation carbon storage, occupying 12.68% to 44.22% of the Poyang Lake wetland area. The vegetation carbon storage in the Poyang Lake wetland was significantly (p < 0.01) higher in spring (87.75 × 104 t to 239.10 × 104 t) than in autumn (77.32 × 104 t to 154.78 × 104 t). Water body area emerged as a key explanatory factor, as it directly constrains the spatial extent available for vegetation colonization and growth by alternating inundation and exposure. In addition, an earlier start or end to floods could both enhance vegetation carbon storage in spring or autumn. However, preseason precipitation and temperature are negative to carbon storage in spring but exhibited opposite effects in autumn. These results assessed the seasonal dynamics of dominant vegetation communities and helped understand the response of the wetland carbon cycle under the changing climate. Full article
Show Figures

Figure 1

18 pages, 2041 KB  
Article
Seasonal and Size-Related Variation in Diet Composition and Feeding Strategies of the Robustus Tonguefish, Cynoglossus robustus in the Yeosu Coast, Korea
by Seung Jo Han and Seong Yong Moon
Fishes 2026, 11(1), 50; https://doi.org/10.3390/fishes11010050 - 14 Jan 2026
Viewed by 111
Abstract
This study examined the seasonal and size-related variations in the diet composition and feeding strategies of the robust tonguefish Cynoglossus robustus collected in the Yeosu Coast, Korea, from January to December 2024. Stomach content analysis identified amphipods, polychaetes, and brachyurans as the dominant [...] Read more.
This study examined the seasonal and size-related variations in the diet composition and feeding strategies of the robust tonguefish Cynoglossus robustus collected in the Yeosu Coast, Korea, from January to December 2024. Stomach content analysis identified amphipods, polychaetes, and brachyurans as the dominant prey items. Ontogenetic dietary shifts were evident, with individuals < 25 cm TL feeding mainly on amphipods, whereas larger individuals consumed more polychaetes and brachyurans, indicating a shift toward larger and more energy-efficient prey with growth. Amphipods, with Ampelisca sp. being predominant, were predominant in spring and summer, whereas crabs and polychaetes increased in autumn and winter, respectively. Seasonal variation was attributed to environmental factors and post-spawning feeding recovery. The estimated trophic level (3.22) suggests that C. robustus functions as a mesopredator consuming benthic invertebrates and plays an essential role in energy transfer within the coastal benthic ecosystem. These findings provide fundamental ecological insights into the trophic structure of the coastal ecosystem in the southern sea of Korea and serve as a scientific basis for sustainable fisheries resource management. Full article
(This article belongs to the Special Issue Ecology of Fish: Age, Growth, Reproduction and Feeding Habits)
Show Figures

Figure 1

17 pages, 29966 KB  
Article
Green Manure Intercropping with Reduced Chemical N Input Mitigates Yield-Scaled N2O Emissions in Arid Maize Systems
by Hanting Li, Guiping Chen, Zhilong Fan, Yunyou Nan, Falong Hu, Wen Yin, Weidong Cao, Min Zhang, Qiang Chai and Tuo Yao
Agronomy 2026, 16(2), 196; https://doi.org/10.3390/agronomy16020196 - 13 Jan 2026
Viewed by 127
Abstract
Agricultural soils are the largest anthropogenic source of nitrous oxide (N2O), primarily due to excessive nitrogen (N) fertilization and inefficient N management. Mitigating N2O emissions from croplands without compromising productivity is therefore a major global challenge for climate and [...] Read more.
Agricultural soils are the largest anthropogenic source of nitrous oxide (N2O), primarily due to excessive nitrogen (N) fertilization and inefficient N management. Mitigating N2O emissions from croplands without compromising productivity is therefore a major global challenge for climate and environmental sustainability. A three-year split-plot field experiment was conducted in an arid maize production region of northwestern China to examine how green manure intercropping combined with reduced chemical N input regulates N2O emissions and soil N residues. The main plots comprised maize monoculture (M), maize intercropped with common vetch (M/V), and maize intercropped with rape (M/R), while subplots consisted of local conventional N application (N1: 360 kg N ha−1) and a 25% reduced rate (N2: 270 kg N ha−1). Results indicated that intercropping with green manure can offset the reduction in maize grain yield caused by a 25% decrease in N supply. Green manure intercropping significantly decreased cumulative N2O emissions compared with monoculture maize, and the mitigation effect was further strengthened under reduced N input. The M/V system under reduced N input exhibited the strongest mitigation effect, reducing N2O emissions per unit of grain yield by 9.2–11.5% compared with the M/R system. This reduction was driven by the ability of M/V to stabilize soil mineral N availability. Notably, the independent maize growth stage contributed 52.6–66.9% of total seasonal N2O emissions, emphasizing it as a critical period for emission mitigation. Overall, integrating green manure intercropping with reduced chemical N input effectively mitigates N2O emissions while maintaining maize productivity in arid regions, providing a practical strategy for sustainable and environmentally responsible agricultural intensification. Full article
(This article belongs to the Section Innovative Cropping Systems)
Show Figures

Graphical abstract

31 pages, 6960 KB  
Article
Physiological Mechanisms Underlying Chemical Fertilizer Reduction: Multiyear Field Evaluation of Microbial Biofertilizers in ‘Gala’ Apple Trees
by Susana Ferreira, Marta Gonçalves, Margarida Rodrigues, Francisco Martinho and Miguel Leão de Sousa
Plants 2026, 15(2), 244; https://doi.org/10.3390/plants15020244 - 13 Jan 2026
Viewed by 417
Abstract
This study is Part II of a five-year (2018–2022) field trial in western Portugal evaluating the effects of three microbial biofertilizers—Mycoshell® (Glomus spp. + humic/fulvic acids), Kiplant iNmass® (Azospirillum brasilense, Bacillus megaterium, Saccharomyces cerevisiae), and Kiplant All-Grip [...] Read more.
This study is Part II of a five-year (2018–2022) field trial in western Portugal evaluating the effects of three microbial biofertilizers—Mycoshell® (Glomus spp. + humic/fulvic acids), Kiplant iNmass® (Azospirillum brasilense, Bacillus megaterium, Saccharomyces cerevisiae), and Kiplant All-Grip® (Bacillus megaterium, Pseudomonas spp.)—applied at different dosages alongside two mineral fertilizer regimes, T100 (full dose) and T70 (70% of T100, alone or combined with biofertilizers), on the physiological performance of ‘Gala Redlum’ apple trees. Part I had shown that Myc4 (Mycoshell®, 4 tablets/tree), iNM6, and iNM12 (Kiplant iNmass®, 6 and L ha−1, respectively) consistently enhanced fruit growth, yield, and selected quality traits. While Part I showed clear agronomic gains, Part II demonstrates that these improvements occurred without significant alterations in seasonal photosynthetic performance, canopy reflectance, or chlorophyll fluorescence parameters over five years, highlighting the contrast between observed yield improvements and physiological stability. Seasonal monitoring of physiological traits—including specific leaf area (SLA), chlorophyll content index (CCI), gas exchange (An, gs, E, Ci), spectral indices (NDVI, OSAVI, SIPI, GM2), and chlorophyll fluorescence (OJIP). It is clear that physiological values remained largely stable across biofertilizer treatments and years. Importantly, this stability was maintained even under a 30% reduction in mineral fertilizer (T70), indicating that specific microbial biofertilizers can sustain physiological resilience under reduced nutrient inputs, thereby providing a physiological basis for the yield-enhancing effects observed and supporting their integration into fertilizer reduction strategies in Mediterranean orchards. Full article
(This article belongs to the Section Plant Physiology and Metabolism)
Show Figures

Figure 1

19 pages, 608 KB  
Article
Forage Production and Sward Structure Dynamics of Tall Fescue (Lolium arundinaceum) Pasture Grazed to Different Sward Heights
by Pamela Yanina Giles, Gabriel Menegazzi, Diego Antonio Mattiauda, Santiago Alfredo Utsumi and Pablo Chilibroste
Agronomy 2026, 16(2), 183; https://doi.org/10.3390/agronomy16020183 - 11 Jan 2026
Viewed by 227
Abstract
Sward structure and post-grazing heights (SH) significantly influence plant growth and animal intake, crucial for dairy grazing systems. However, these interactions are dynamic and vary with season, resource heterogeneity, and defoliation patterns. Seasonal effects of control (TC), medium (TM), and lax (TL) post-grazing [...] Read more.
Sward structure and post-grazing heights (SH) significantly influence plant growth and animal intake, crucial for dairy grazing systems. However, these interactions are dynamic and vary with season, resource heterogeneity, and defoliation patterns. Seasonal effects of control (TC), medium (TM), and lax (TL) post-grazing SH of grazed Lolium arundinaceum-based pasture on forage production and utilization, herbage mass, green cover, and chemical composition were tested during autumn-winter and spring seasons and among tall (TP), medium (MP), and short (SP) patches in spring. Thirty-six lactating Holstein cows were randomized evenly to TC, TM, and TL grazing treatments to achieve 6, 9, and 12 cm of post-grazing SH during autumn-winter, and 9, 12, and 15 cm in spring. Forage production was higher on TL than TM and TC, yet utilization was similar across all treatments. The TP relative to MP on SP increased for TL compared to TC and TM. The TP-TC presented higher leaf-density and leaf-proportion, than TP-TL, without modifying leaf canopy distribution of superior-medium horizons among treatments. Grazing management modulated forage production and structural heterogeneity across SH treatments. Critically, monitoring patch-level dynamics—rather than mean height—is essential for optimizing production and harvest efficiency in temperate systems by improving grazing horizon accessibility. Full article
(This article belongs to the Section Grassland and Pasture Science)
Show Figures

Figure 1

25 pages, 4210 KB  
Article
Adaptive Capacity of Scots Pine Trees to Meteorological Extremes in Highly Oligotrophic Soil in Hemi-Boreal Forest
by Algirdas Augustaitis and Diana Sidabriene
Forests 2026, 17(1), 98; https://doi.org/10.3390/f17010098 - 11 Jan 2026
Viewed by 96
Abstract
Understanding how climatic variability affects growth and water relations of Scots pine (Pinus sylvestris L.) is essential for assessing stand sustainability in hemi-boreal regions. Linear mixed-effects models were used to quantify the effects of climatic variability and tree characteristics on stem volume [...] Read more.
Understanding how climatic variability affects growth and water relations of Scots pine (Pinus sylvestris L.) is essential for assessing stand sustainability in hemi-boreal regions. Linear mixed-effects models were used to quantify the effects of climatic variability and tree characteristics on stem volume increment (ZV), sap flow (SF), and water-use efficiency (WUE) of Scots pine growing on highly oligotrophic soils in Curonian Spit National Park. Annual ZV was strongly controlled by tree size and seasonal temperature conditions. Higher temperatures in late winter and mid-summer enhanced growth, whereas elevated temperatures in April–May reduced increment. June moisture availability, expressed by the hydrothermal coefficient, had a positive effect, highlighting the sensitivity of growth to early-summer drought and heat waves. Sap-flow density during May–October was primarily driven by climatic factors, with temperature stimulating and relative humidity reducing SF, while tree size played a minor role. Random-effects analysis showed that unexplained variability in ZV was mainly associated with persistent differences among trees and sites, whereas SF variability occurred largely at the within-tree level. In contrast, WUE was dominated by climatic drivers, with no detectable site- or tree-level random effects. Higher June precipitation increased WUE, while warmer growing-season conditions reduced it. Overall, Scots pine growth and WUE are mainly regulated by intra-annual climatic conditions, particularly summer water availability. Despite rapid climatic change, no critical physiological thresholds or growth collapse were detected during the study period, indicating substantial adaptive capacity of Scots pine even under the observed exceptional conditions. Full article
(This article belongs to the Section Forest Meteorology and Climate Change)
Show Figures

Figure 1

15 pages, 4383 KB  
Article
The Effect of Temperature on the Phenotypic Plasticity of the Invasive Perennial Weed Ambrosia confertiflora
by Yifat Yair, Moshe Sibony, Yaakov Goldwasser, Hanan Eizenberg and Baruch Rubin
Plants 2026, 15(2), 214; https://doi.org/10.3390/plants15020214 - 9 Jan 2026
Viewed by 231
Abstract
The invasive perennial weed Ambrosia confertiflora (Burr ragweed) is widespread across various climatic regions in Israel and neighboring countries. This study examines how temperature affects the development of the plants’ aboveground and underground organs, as well as biomass allocation. We hypothesize that temperature [...] Read more.
The invasive perennial weed Ambrosia confertiflora (Burr ragweed) is widespread across various climatic regions in Israel and neighboring countries. This study examines how temperature affects the development of the plants’ aboveground and underground organs, as well as biomass allocation. We hypothesize that temperature influences how the plant distributes resources, thereby modifying its phenotypic morphology and contributing to its spread. Plants were grown in a phytotron under four seasonal temperature regimes (10–16 °C, 16–22 °C, 22–28 °C, 28–34 °C, N-D, 14 h light). We measured above- and belowground biomass, growth form, leaf size, and the interaction between temperature and apical dominance. Our results show that biomass allocation varies with temperature and developmental stage. During early growth, resources are primarily directed toward shoot development and leaf production. As plants matured, they shifted more resources to underground structures, eventually balancing allocation. At lower temperatures, plants invested more in underground growth while the shoot remained in the rosette form. In contrast, higher temperatures favored aboveground growth. Ambrosia confertiflora demonstrates significant phenotypic plasticity in response to temperature variation, affecting plant height, leaf morphology, and resource allocation in both shoot and underground tissues. Understanding how temperature drives these changes is critical to understanding the spread and ecological impact of this highly adaptable weed. Full article
(This article belongs to the Special Issue Plant Organ Development and Stress Response)
Show Figures

Figure 1

Back to TopTop