Sign in to use this feature.

Years

Between: -

Subjects

remove_circle_outline
remove_circle_outline
remove_circle_outline
remove_circle_outline
remove_circle_outline
remove_circle_outline
remove_circle_outline
remove_circle_outline
remove_circle_outline

Journals

remove_circle_outline
remove_circle_outline
remove_circle_outline
remove_circle_outline
remove_circle_outline
remove_circle_outline
remove_circle_outline
remove_circle_outline
remove_circle_outline
remove_circle_outline

Article Types

Countries / Regions

remove_circle_outline
remove_circle_outline
remove_circle_outline
remove_circle_outline
remove_circle_outline
remove_circle_outline

Search Results (959)

Search Parameters:
Keywords = green cycle development

Order results
Result details
Results per page
Select all
Export citation of selected articles as:
15 pages, 3376 KB  
Article
Sustainable and Energy-Efficient Capacitive Deionization Enabled Through Upcycled Wheat Straw Biochar via Ammonium Ferric Citrate Modification
by Jie Lu, Ping Wen, Jiong Wang, Pin Zhang, Shengyong Liu, Chunyao Qing, Hongge Tao, Yifeng Wu, Sihan Ma and Binglin Chen
Separations 2026, 13(1), 38; https://doi.org/10.3390/separations13010038 - 20 Jan 2026
Abstract
Capacitive deionization (CDI) technology represents an emerging and energy-efficient solution for seawater desalination and wastewater treatment. To further enhance its sustainability and economic viability, it is very important to develop high-performance electrodes made from low-cost and renewable raw materials. Herein, a new electrode [...] Read more.
Capacitive deionization (CDI) technology represents an emerging and energy-efficient solution for seawater desalination and wastewater treatment. To further enhance its sustainability and economic viability, it is very important to develop high-performance electrodes made from low-cost and renewable raw materials. Herein, a new electrode material is introduced; the material was derived from wheat straw and modified via a simple and green process using ammonium ferric citrate (AFC) as a synergistic activator and modifier. The modification of AFC significantly enhanced the physicochemical properties of biochar. At the optimal AFC concentration of 1 mol·L−1, the specific surface area reached 321.27 m2·g−1, with a specific capacitance of 208.19 F·g−1. In the NaCl desalination experiment, the MWC-1.0 electrode exhibited a desalination capacity of 13.62 mg g−1 under the conditions of 1.2 V voltage and 2 mm electrode spacing in an initial solution concentration of 500 mg L−1. After 20 cycles of adsorption/desorption, the deionization capacity of the material was still retained at 90.5% of its initial capacity, demonstrating excellent regeneration performance. This work provides a sustainable method for preparing efficient and stable biochar electrodes, further highlighting its potential application in energy-saving seawater desalination technology. Full article
Show Figures

Graphical abstract

10 pages, 632 KB  
Proceeding Paper
Simulation of Green Diesel by Hydrotreatment of Waste Vegetable Oil
by Pascal Mwenge, Thubelihle Mahlangu and Andani Munonde
Eng. Proc. 2025, 117(1), 27; https://doi.org/10.3390/engproc2025117027 - 20 Jan 2026
Abstract
Due to the world’s rising energy demand and reliance on fossil fuels, exploring cleaner energy sources is urgent. Green diesel from renewable resources, such as waste vegetable oil, is promising because it is compatible with petroleum diesel from fossil fuels. This study examined [...] Read more.
Due to the world’s rising energy demand and reliance on fossil fuels, exploring cleaner energy sources is urgent. Green diesel from renewable resources, such as waste vegetable oil, is promising because it is compatible with petroleum diesel from fossil fuels. This study examined the simulation of the hydrotreatment process of waste cooking oil (WCO) to produce green diesel. ChemCAD version 8.1 was used to develop the simulation, along with a kinetic model based on the Langmuir–Hinshelwood mechanism (an LH-C-ND model), where fatty acids, such as oleic, stearic, and palmitic acid, in WCO are converted into long-chain hydrocarbons (C15, C16, C17, and C18). The influence of process parameters on green diesel yield was assessed at various temperatures, pressures, and H2/oil ratios. The best process conditions for green diesel production were identified as a temperature of 275 °C, a pressure of 30 bars, and an H2/oil ratio of 0.3. Minimising the formation of CO2, CO, and water. Under these conditions, a high green diesel yield was achieved, with WCO conversion exceeding 90%, and over 80% of the products were suitable for green diesel. This research supports SDG 7, which aims for universal access to affordable, reliable, sustainable, and modern energy, by exploring cleaner energy options, such as green diesel from waste vegetable oil. It is recommended to perform a life cycle assessment to evaluate the overall environmental impact. Full article
Show Figures

Figure 1

22 pages, 6094 KB  
Article
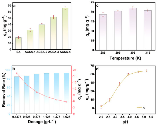
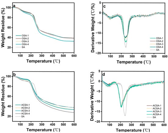
Molecularly Engineered Aza-Crown Ether Functionalized Sodium Alginate Aerogels for Highly Selective and Sustainable Cu2+ Removal
by Teng Long, Ayoub El Idrissi, Lin Fu, Yufan Liu, Banlian Ruan, Minghong Ma, Zhongxun Li and Lingbin Lu
Gels 2026, 12(1), 78; https://doi.org/10.3390/gels12010078 - 16 Jan 2026
Viewed by 89
Abstract
Developing sustainable and molecularly selective adsorbents for heavy-metal removal remains a critical challenge in water purification. Herein, we report a green molecular-engineering approach for fabricating aza-crown ether functionalized sodium alginate aerogels (ACSA) capable of highly selective Cu2+ capture. The aerogels were synthesized [...] Read more.
Developing sustainable and molecularly selective adsorbents for heavy-metal removal remains a critical challenge in water purification. Herein, we report a green molecular-engineering approach for fabricating aza-crown ether functionalized sodium alginate aerogels (ACSA) capable of highly selective Cu2+ capture. The aerogels were synthesized via saccharide-ring oxidation, Cu2+-templated self-assembly, and reductive amination, enabling the covalent integration of aza-crown ether motifs within a hierarchically porous biopolymer matrix. Structural analyses (FTIR, 13C NMR, XPS, SEM, TGA) confirmed the in situ formation of macrocyclic N/O coordination sites. Owing to their interconnected porosity and chemically stable framework, ACSA exhibited rapid sorption kinetics following a pseudo-second-order model (R2 = 0.999) and a Langmuir maximum adsorption capacity of 150.82 mg·g−1. The material displayed remarkable Cu2+ selectivity over Zn2+, Cd2+, and Ni2+, arising from the precise alignment between Cu2+ ionic radius (0.73 Å) and crown-cavity dimensions, synergistic N/O chelation, and Jahn-Teller stabilization. Over four regeneration cycles, ACSA retained more than 80% of its original adsorption capacity, confirming excellent durability and reusability. This saccharide-ring modification strategy eliminates crown-ether leaching and weak anchoring, offering a scalable and environmentally benign route to bio-based adsorbents that combine molecular recognition with structural stability for efficient Cu2+ remediation and beyond. Full article
(This article belongs to the Section Gel Processing and Engineering)
Show Figures

Graphical abstract

21 pages, 3904 KB  
Article
A Sustainable Circular Route for PET LDH Nanocomposites: Catalyst-Driven Polymerization and Depolymerization for a BHET-to-BHET Cycle
by Tsung-Yen Tsai, Basharat Hussain and Naveen Bunekar
Sustain. Chem. 2026, 7(1), 6; https://doi.org/10.3390/suschem7010006 - 16 Jan 2026
Viewed by 176
Abstract
A sustainable circular pathway was developed for poly(ethylene terephthalate) (PET) nanocomposites through a catalyst-driven polymerization and depolymerization process. In this study, calcium dodecylbenzene sulfonate with n-butyl alcohol modified ZnAl layered double hydroxides (LDHs) were utilized as bifunctional catalysts to synthesize highly exfoliated PET/LDH [...] Read more.
A sustainable circular pathway was developed for poly(ethylene terephthalate) (PET) nanocomposites through a catalyst-driven polymerization and depolymerization process. In this study, calcium dodecylbenzene sulfonate with n-butyl alcohol modified ZnAl layered double hydroxides (LDHs) were utilized as bifunctional catalysts to synthesize highly exfoliated PET/LDH nanocomposites via in situ polycondensation of bis(2-hydroxyethyl) terephthalate (BHET). The organic modification of LDHs expanded interlayer spacing, improved interfacial compatibility, and promoted uniform dispersion, leading to enhanced mechanical, thermal, and barrier properties. In the second stage, the pristine LDH catalyst efficiently depolymerized the prepared PET/LDH nanocomposites back into BHET through glycolysis, completing a closed-loop BHET-to-BHET cycle. This integrated strategy demonstrates the reversible catalytic functionality of LDHs in both polymerization and depolymerization, reducing metal contamination and energy demand. The proposed approach represents a sustainable route for designing recyclable high-performance PET nanocomposites aligned with the principles of green chemistry and circular material systems. Full article
Show Figures

Graphical abstract

32 pages, 3521 KB  
Review
A Systemic Approach for Assessing the Design of Circular Urban Water Systems: Merging Hydrosocial Concepts with the Water–Energy–Food–Ecosystem Nexus
by Nicole Arnaud, Manuel Poch, Lucia Alexandra Popartan, Marta Verdaguer, Félix Carrasco and Bernhard Pucher
Water 2026, 18(2), 233; https://doi.org/10.3390/w18020233 - 15 Jan 2026
Viewed by 187
Abstract
Urban Water Systems (UWS) are complex infrastructures that interact with energy, food, ecosystems and socio-political systems, and are under growing pressure from climate change and resource depletion. Planning circular interventions in this context requires system-level analysis to avoid fragmented, siloed decisions. This paper [...] Read more.
Urban Water Systems (UWS) are complex infrastructures that interact with energy, food, ecosystems and socio-political systems, and are under growing pressure from climate change and resource depletion. Planning circular interventions in this context requires system-level analysis to avoid fragmented, siloed decisions. This paper develops the Hydrosocial Resource Urban Nexus (HRUN) framework that integrates hydrosocial thinking with the Water–Energy–Food–Ecosystems (WEFE) nexus to guide UWS design. We conduct a structured literature review and analyse different configurations of circular interventions, mapping their synergies and trade-offs across socioeconomic and environmental functions of hydrosocial systems. The framework is operationalised through a typology of circular interventions based on their circularity purpose (water reuse, resource recovery and reuse, or water-cycle restoration) and management scale (from on-site to centralised), while greening degree (from grey to green infrastructure) and digitalisation (integration of sensors and control systems) are treated as transversal strategies that shape their operational profile. Building on this typology, we construct cause–effect matrices for each intervention type, linking recurring operational patterns to hydrosocial functionalities and revealing associated synergies and trade-offs. Overall, the study advances understanding of how circular interventions with different configurations can strengthen or weaken system resilience and sustainability outcomes. The framework provides a basis for integrated planning and for quantitative and participatory tools that can assess trade-offs and governance effects of different circular design choices, thereby supporting the transition to more resilient and just water systems. Full article
(This article belongs to the Special Issue Advances in Water Resource Management and Planning)
Show Figures

Figure 1

23 pages, 3941 KB  
Article
How Environmental Perception and Place Governance Shape Equity in Urban Street Greening: An Empirical Study of Chicago
by Fan Li, Longhao Zhang, Fengliang Tang, Jiankun Liu, Yike Hu and Yuhang Kong
Forests 2026, 17(1), 119; https://doi.org/10.3390/f17010119 - 15 Jan 2026
Viewed by 172
Abstract
Urban street greening structure plays a crucial role in promoting environmental justice and enhancing residents’ daily well-being, yet existing studies have primarily focused on vegetation quantity while neglecting how perception and governance interact to shape fairness. This study develops an integrated analytical framework [...] Read more.
Urban street greening structure plays a crucial role in promoting environmental justice and enhancing residents’ daily well-being, yet existing studies have primarily focused on vegetation quantity while neglecting how perception and governance interact to shape fairness. This study develops an integrated analytical framework that combines deep learning, machine learning, and spatial analysis to examine the impact of perceptual experience and socio-economic indicators on the equity of greening structure distribution in urban streets, and to reveal the underlying mechanisms driving this equity. Using DeepLabV3+ semantic segmentation, perception indices derived from street-view imagery, and population-weighted Gini coefficients, the study quantifies both the structural and perceptual dimensions of greening equity. XGBoost regression, SHAP interpretation, and Partial Dependence Plot analysis were applied to reveal the influence mechanism of the “Matthew effect” of perception and the Site governance responsiveness on the fairness of the green structure. The results identify two key findings: (1) perception has a positive driving effect and a negative vicious cycle effect on the formation of fairness, where positive perceptions such as beauty and safety gradually enhance fairness, while negative perceptions such as depression and boredom rapidly intensify inequality; (2) Site management with environmental sensitivity and dynamic mutual feedback to a certain extent determines whether the fairness of urban green structure can persist under pressure, as diverse Tree–Bush–Grass configurations reflect coordinated management and lead to more balanced outcomes. Policy strategies should therefore emphasize perceptual monitoring, flexible maintenance systems, and transparent public participation to achieve resilient and equitable urban street greening structures. Full article
(This article belongs to the Section Urban Forestry)
Show Figures

Figure 1

18 pages, 2137 KB  
Article
Fatigue Analysis of Sustainable Bituminous Pavements with Artificial and Recycled Aggregates
by Evelio Teijón-López-Zuazo, Ángel Vega-Zamanillo, Cristina Calmeiro dos Santos and David Gómez-Carrascal
Sustainability 2026, 18(2), 845; https://doi.org/10.3390/su18020845 - 14 Jan 2026
Viewed by 111
Abstract
The circular economy represents a significant opportunity to enhance the mechanical properties of bituminous mixtures, thereby contributing to sustainable development. This research compares the behaviour of traditional bituminous mixtures with sustainable ones that reuse recycled materials, industrial waste products, or additives that improve [...] Read more.
The circular economy represents a significant opportunity to enhance the mechanical properties of bituminous mixtures, thereby contributing to sustainable development. This research compares the behaviour of traditional bituminous mixtures with sustainable ones that reuse recycled materials, industrial waste products, or additives that improve mechanical or rheological properties. The methodology employed comprised the acquisition of fatigue resistance laws from 4-point bending tests on prismatic specimens. This facilitated the analytical determination of the number of axles of 13 tons that the section of pavement with sustainable material can support for comparison with the axles supported in the conventional mix. The findings corroborate the utilization of sustainable bituminous mixtures in pavement sections, employing the maximum circularity criterion. The fatigue laws calculated must permit the use of different calculation methods or other applications in green infrastructures, such as cycling lanes or pedestrian areas. On sections with an AADT of between 800 and 25 HV/day, all of the analyzed bituminous mixtures with sustainable materials prolong the service life of the road. There were increases in service life of between 25.5% and 6.6%, respectively, which satisfactorily achieved an increase in pavement service life based on the criterion of maximum circularity. Full article
(This article belongs to the Special Issue Innovative and Sustainable Pavement Materials and Technologies)
Show Figures

Figure 1

19 pages, 2890 KB  
Article
Direct Valorization of Biogas Residue: A Comparative Study on Facile Chemical Modifications for Superior Adsorption of Anionic Dyes
by Xin Luo, Wenxia Zhao, Lin Fu, Yun Deng, Weijie Xue, Changbo Zhang, Ian Beadham, Zhongyan Lu, Yuyao Liu, Fanshu Bi and Qingshuai Wang
Toxics 2026, 14(1), 64; https://doi.org/10.3390/toxics14010064 - 9 Jan 2026
Viewed by 246
Abstract
This study aims to develop a cost-effective and scalable modification strategy for valorizing lignin-rich biogas residue (BR) into high-performance adsorbents for anionic dye removal. To screen the optimal modification pathway, three distinct reagents, L-cysteine-based amino acid ionic liquids (AAILs, as green alternatives), conventional [...] Read more.
This study aims to develop a cost-effective and scalable modification strategy for valorizing lignin-rich biogas residue (BR) into high-performance adsorbents for anionic dye removal. To screen the optimal modification pathway, three distinct reagents, L-cysteine-based amino acid ionic liquids (AAILs, as green alternatives), conventional hydrochloric acid (HCl) and sodium hydroxide (NaOH, as traditional modification reagents), were compared in modifying non-carbonized BR for Congo Red (CR) adsorption. Comprehensive characterizations and adsorption tests revealed that each modifier exerted unique effects: NaOH only caused mild surface etching with limited performance improvement; AAILs achieved moderate adsorption capacity via a green, mild route; while HCl modification (BR-HCl) stood out with the most superior performance through a “selective dissolution-pore reconstruction” mechanism. Notably, despite a modest specific surface area increase to 12.05 m2/g, BR-HCl’s high CR adsorption capacity (120.21 mg/g at 45 °C) originated from the synergy of chemical bonding and enhanced electrostatic attraction—its isoelectric point (pHPZC ≈ 9.02) was significantly higher than that of AAIL- and NaOH-modified samples, enabling strong affinity for anionic CR across a wide pH range. BR-HCl attained over 99% CR removal at a dosage of 0.4 g/L, fitted well with Langmuir isotherm and pseudo-second-order kinetic models (confirming monolayer chemisorption), and retained 82% of its initial capacity after five regeneration cycles. These results demonstrate that while AAILs show promise as green modifiers and NaOH serves as a baseline, the facile, low-cost HCl modification offers the most pragmatic pathway to unlock BR’s potential for sustainable wastewater treatment. Full article
(This article belongs to the Section Agrochemicals and Food Toxicology)
Show Figures

Graphical abstract

18 pages, 3560 KB  
Article
Eco-Friendly Fabrication of Magnetically Separable Cerium–Manganese Ferrite Nanocatalysts for Sustainable Dye Degradation Under Visible Light
by Reda M. El-Shishtawy, Assem Basurrah and Yaaser Q. Almulaiky
Catalysts 2026, 16(1), 78; https://doi.org/10.3390/catal16010078 - 9 Jan 2026
Viewed by 327
Abstract
The increasing discharge of recalcitrant organic dyes from the textile industry necessitates the development of efficient and sustainable wastewater treatment technologies. This study reports the successful eco-friendly fabrication of magnetically separable cerium–manganese ferrite (Ce-MnFe2O4) nanocatalysts via a one-pot green [...] Read more.
The increasing discharge of recalcitrant organic dyes from the textile industry necessitates the development of efficient and sustainable wastewater treatment technologies. This study reports the successful eco-friendly fabrication of magnetically separable cerium–manganese ferrite (Ce-MnFe2O4) nanocatalysts via a one-pot green synthesis route, utilizing an aqueous extract of Brachychiton populneus leaves. The structural, morphological, magnetic, and optical properties of the synthesized nanocatalysts were systematically investigated. X-ray diffraction (XRD) analysis confirmed the formation of a phase-pure cubic spinel structure, with evidence of Ce3+ ion incorporation leading to lattice expansion and the formation of beneficial oxygen vacancies. The composite material exhibited superparamagnetic behavior with a high saturation magnetization of 38.7 emu/g, which facilitates efficient magnetic separation and recovery. Optical studies revealed a direct bandgap of 2.33 eV, enabling significant photocatalytic activity under visible light irradiation. The Ce-MnFe2O4 nanocatalyst demonstrated superior performance, achieving degradation efficiencies of 96% for methylene blue and 98% for Congo Red within 90 min. Furthermore, the catalyst demonstrated good operational stability, maintaining 62% of its initial degradation efficiency for CR and 51% for MB after five consecutive reuse cycles. These results underscore the potential of this green-synthesized, magnetically recoverable nanocatalyst as a highly effective and sustainable solution for the remediation of dye-contaminated industrial effluents. Full article
(This article belongs to the Special Issue Catalysis Accelerating Energy and Environmental Sustainability)
Show Figures

Figure 1

30 pages, 1428 KB  
Review
Greening the Bond: A Narrative and Systematic Literature Review on Advancing Sustainable and Non-Toxic Adhesives for the Fiberboard Industry
by Prosper Mensah, Rafael Rodolfo de Melo, Alexandre Santos Pimenta, James Amponsah, Gladys Tuo, Fernando Rusch, Edgley Alves de Oliveira Paula, Humphrey Danso, Juliana de Moura, Márcia Ellen Chagas dos Santos Couto, Giorgio Mendes Ribeiro and Francisco Leonardo Gomes de Menezes
Adhesives 2026, 2(1), 2; https://doi.org/10.3390/adhesives2010002 - 8 Jan 2026
Viewed by 327
Abstract
The fiberboard industry remains heavily reliant on synthetic, formaldehyde-based adhesives, which, despite their cost-effectiveness and strong bonding performance, present significant environmental and human health concerns due to volatile organic compound (VOC) emissions. In response to growing sustainability imperatives and regulatory pressures, the development [...] Read more.
The fiberboard industry remains heavily reliant on synthetic, formaldehyde-based adhesives, which, despite their cost-effectiveness and strong bonding performance, present significant environmental and human health concerns due to volatile organic compound (VOC) emissions. In response to growing sustainability imperatives and regulatory pressures, the development of non-toxic, renewable, and high-performance bio-based adhesives has emerged as a critical research frontier. This review, conducted through both narrative and systematic approaches, synthesizes current advances in green adhesive technologies with emphasis on lignin, tannin, starch, protein, and hybrid formulations, alongside innovative synthetic alternatives designed to eliminate formaldehyde. The Evidence for Policy and Practice Information and Coordinating Centre (EPPI) framework was applied to ensure a rigorous, transparent, and reproducible methodology, encompassing the identification of research questions, systematic searching, keywording, mapping, data extraction, and in-depth analysis. Results reveal that while bio-based adhesives are increasingly capable of approaching or matching the mechanical strength and durability of urea–formaldehyde adhesives, challenges persist in terms of water resistance, scalability, cost, and process compatibility. Hybrid systems and novel crosslinking strategies demonstrate particular promise in overcoming these limitations, paving the way toward industrial viability. The review also identifies critical research gaps, including the need for standardized testing protocols, techno-economic analysis, and life cycle assessment to ensure the sustainable implementation of these solutions. By integrating environmental, economic, and technological perspectives, this work highlights the transformative potential of green adhesives in transitioning the fiberboard sector toward a low-toxicity, carbon-conscious future. It provides a roadmap for research, policy, and industrial innovation. Full article
(This article belongs to the Special Issue Advances in Bio-Based Wood Adhesives)
Show Figures

Figure 1

19 pages, 4631 KB  
Article
Improving Water-Cycle Soundness Through LID in a Future Urbanizing Watershed: A Case Study of the Dawoon Watershed, Ulsan
by Joowon Choi, Jaerock Park, Jaemoon Kim and Soonchul Kwon
Water 2026, 18(2), 166; https://doi.org/10.3390/w18020166 - 8 Jan 2026
Viewed by 158
Abstract
Climate change and rapid urbanization are increasingly disrupting urban water cycles by intensifying runoff and reducing infiltration, particularly in watersheds designated for future development. However, most existing studies have focused on fully urbanized areas, with limited attention given to semi-rural or urban–rural transition [...] Read more.
Climate change and rapid urbanization are increasingly disrupting urban water cycles by intensifying runoff and reducing infiltration, particularly in watersheds designated for future development. However, most existing studies have focused on fully urbanized areas, with limited attention given to semi-rural or urban–rural transition watersheds at the planning stage. In this context, the Dawoon watershed in Ulsan, Republic of Korea, represents a critical case, as it is currently undeveloped but designated for large-scale urban expansion. This study evaluates the effectiveness of Low Impact Development (LID) strategies in restoring water-cycle soundness under anticipated urbanization conditions. A hydrological model of the Dawoon watershed was developed using the Storm Water Management Model (SWMM), and multiple land-use-specific LID scenarios were designed to reflect realistic planning-stage applications. Long-term simulations were conducted to assess changes in runoff, infiltration, evapotranspiration, and overall water-cycle performance. The results indicate that urban development substantially increases surface runoff while reducing infiltration and evapotranspiration. The integrated application of LID measures significantly mitigated these impacts, reducing total runoff by approximately 3% and improving the water cycle recovery rate to nearly 99%, restoring hydrological conditions close to the pre-development state. Among the evaluated scenarios, the combined implementation of vegetated swales, infiltration–storage basins, green roofs, and permeable pavements showed the highest effectiveness. These findings highlight the importance of incorporating LID strategies at the early stages of urban planning to enhance climate resilience and prevent long-term water cycle degradation. The proposed framework provides practical guidance for setting water-cycle management targets and selecting effective LID measures in developing or peri-urban watersheds. Full article
(This article belongs to the Section Urban Water Management)
Show Figures

Figure 1

14 pages, 3186 KB  
Article
Synergistic Induction by Deep Eutectic Solvent and Carbon Dots for Rapid Construction of FeOOH Electrocatalysts Toward Efficient Oxygen Evolution Reaction
by Weijuan Xu, Hui Wang, Xuan Han, Shuzheng Qu, Yue Yan, Bingxian Zhu, Haipeng Zhang and Qingshan Zhao
Catalysts 2026, 16(1), 73; https://doi.org/10.3390/catal16010073 - 8 Jan 2026
Viewed by 293
Abstract
The development of efficient and stable oxygen evolution reaction (OER) electrocatalysts based on non-precious metals is pivotal for advancing sustainable energy conversion technologies. We present a facile and green strategy for synthesizing a high-performance HO-CDs-FeOOH/NF(D) composite catalyst by leveraging a synergistic system of [...] Read more.
The development of efficient and stable oxygen evolution reaction (OER) electrocatalysts based on non-precious metals is pivotal for advancing sustainable energy conversion technologies. We present a facile and green strategy for synthesizing a high-performance HO-CDs-FeOOH/NF(D) composite catalyst by leveraging a synergistic system of FeCl3/urea deep eutectic solvent (DES) and hydroxyl-functionalized carbon dots (HO-CDs). This system orchestrates the rapid, in situ growth of FeOOH on nickel foam (NF) via simple immersion, wherein the DES acts as both an etchant and an iron source, while the HO-CDs induce a morphological transformation from sheet-like to granular stacking, thereby constructing highly active interfaces and increasing the density of accessible catalytic sites. The optimized catalyst exhibits exceptional OER performance, requiring an overpotential of only 251 mV to achieve 50 mA cm−2, with a Tafel slope of 55.4 mV dec−1. Moreover, it demonstrates outstanding stability, maintaining 98% of its initial current density after 24 h of continuous operation and showing negligible performance decay after 3000 cycles. This work presents a straightforward approach for designing high-performance Fe-based electrocatalysts through carbon dot-mediated morphology control via a facile DES-based impregnation strategy. Full article
Show Figures

Figure 1

41 pages, 8084 KB  
Article
Beyond Green: Toward Architectural and Urban Design Scenarios for Therapeutic Landscapes
by Jelena Ristić Trajković, Verica Krstić, Ana Nikezić, Relja Petrović and Jelena Ilić Gajić
Land 2026, 15(1), 114; https://doi.org/10.3390/land15010114 - 7 Jan 2026
Viewed by 288
Abstract
This paper presents the results of an integrated research and design process developed within the Master’s study programme in Architecture at the University of Belgrade—Faculty of Architecture, aimed at exploring architectural agency in conditions of ecological degradation, declining biodiversity, and the urgent need [...] Read more.
This paper presents the results of an integrated research and design process developed within the Master’s study programme in Architecture at the University of Belgrade—Faculty of Architecture, aimed at exploring architectural agency in conditions of ecological degradation, declining biodiversity, and the urgent need for regenerative transformation of the built environment. Moving beyond technologically driven notions of “green design,” the study investigates architectural approaches that support ecosystem restoration, biodiversity enhancement, and multispecies coexistence while strengthening health and well-being. Grounded in a three-phase methodological framework, the research (1) formulates conceptual models of therapeutic landscapes through typo-morphological, place-based, and adventure-based analytical approaches; (2) evaluates these models using the New European Bauhaus (NEB) Checklist to assess their alignment with the core values of sustainability, beauty, and togetherness; and (3) synthesizes the findings into regenerative design scenarios that integrate ecological processes, multisensory experience, and community participation. The results position therapeutic landscapes as a spatial practice in which architecture functions as ecological infrastructure, a metabolic system where natural cycles, cultural meanings, bodily experiences, and more-than-human agencies interact. In this sense, architectural design becomes the basis for re-naturalization, regeneration, ecological care, multisensory experience, and resilience in urban, peri-urban, and rural communities. Full article
Show Figures

Figure 1

39 pages, 6731 KB  
Article
Implementation Pathways for the Sustainable Development of China’s 3D Printing Industry Under the “Dual Carbon” Goals: Policy Optimization and Technological Innovation
by Liuyu Xuan and Yu Zhao
Sustainability 2026, 18(2), 591; https://doi.org/10.3390/su18020591 - 7 Jan 2026
Viewed by 220
Abstract
This study systematically examines the policy and technological pathways for the sustainable development of China’s 3D printing industry under the “Dual Carbon” goals. A three-dimensional sustainability framework is developed, integrating resource efficiency, environmental performance, and socio-economic value. Based on this framework, the study [...] Read more.
This study systematically examines the policy and technological pathways for the sustainable development of China’s 3D printing industry under the “Dual Carbon” goals. A three-dimensional sustainability framework is developed, integrating resource efficiency, environmental performance, and socio-economic value. Based on this framework, the study conducts a full-process analysis covering design, material preparation, manufacturing, post-processing, use, and recycling stages. The analysis identifies key carbon-reduction mechanisms of 3D printing, including material savings, reduced energy consumption, lightweight-enabled emission reduction, and distributed manufacturing. A comparative analysis of China, the European Union, and the United States reveals major constraints in China’s 3D printing sector, particularly in top-level policy design, standardization systems, legal frameworks, industrial coordination, and low-carbon core technologies. Based on these findings, the study proposes a dual-driven development pathway integrating policy optimization and technological innovation. From an institutional perspective, this pathway emphasizes green policy incentives, including strategic planning, standard setting, green finance, and collaborative governance. From a technological perspective, it highlights the importance of low-carbon material development, refined energy-efficiency management, life-cycle carbon accounting platforms, and value creation across the product life cycle. Overall, the study demonstrates that effective policy–technology synergy is essential for transforming theoretical carbon-reduction potential into scalable and practical outcomes, providing a systematic analytical framework for academic research and actionable guidance for policymakers and industry stakeholders. Full article
Show Figures

Figure 1

17 pages, 7235 KB  
Article
Nanofiber Mats as Amine-Functionalized Heterogeneous Catalysts in Continuous Microfluidic Reactor Systems
by Katja Rumpke, Naresh Killi, Barbara Dittrich, Andreas Herrmann and Dirk Kuckling
Gels 2026, 12(1), 55; https://doi.org/10.3390/gels12010055 - 6 Jan 2026
Viewed by 291
Abstract
The development of sustainable catalysts is the main objective in green chemistry approaches. In this study, a catalytically active polymer based on a tertiary amine was synthesized, functionalized with a photo-crosslinker, and structured into nanofibers via electrospinning technique with polycaprolactone (PCL) as a [...] Read more.
The development of sustainable catalysts is the main objective in green chemistry approaches. In this study, a catalytically active polymer based on a tertiary amine was synthesized, functionalized with a photo-crosslinker, and structured into nanofibers via electrospinning technique with polycaprolactone (PCL) as a stabilizing additive. Subsequent photo-crosslinking yielded hierarchically porous polymers with high swelling properties and increased surface areas, thereby improving the accessibility of the immobilized catalytically active sites. The nanofiber mats were incorporated into a microfluidic reactor (MFR) setup and utilized as heterogeneous catalysts for the Knoevenagel reaction of malononitrile with different aldehydes. It was observed that the system demonstrated a substantial improvement in NMR yields (40–60%) and turnover frequencies (50–80 h−1) in comparison to catalytical systems that had been previously published. Reusability studies showed reproducibility of NMR yields over up to three cycles. The obtained results demonstrate the potential of electrospun, photo-crosslinked nanofibers as efficient heterogeneous catalysts in microfluidic synthesis, thus contributing to more sustainable production of valuable malononitrile derivatives. Full article
(This article belongs to the Special Issue Designing Gels as Adsorbents and Catalysts)
Show Figures

Figure 1

Back to TopTop