Molecularly Engineered Aza-Crown Ether Functionalized Sodium Alginate Aerogels for Highly Selective and Sustainable Cu2+ Removal
Abstract
1. Introduction
2. Results and Discussion
2.1. Preparation and Characterization of ACSA
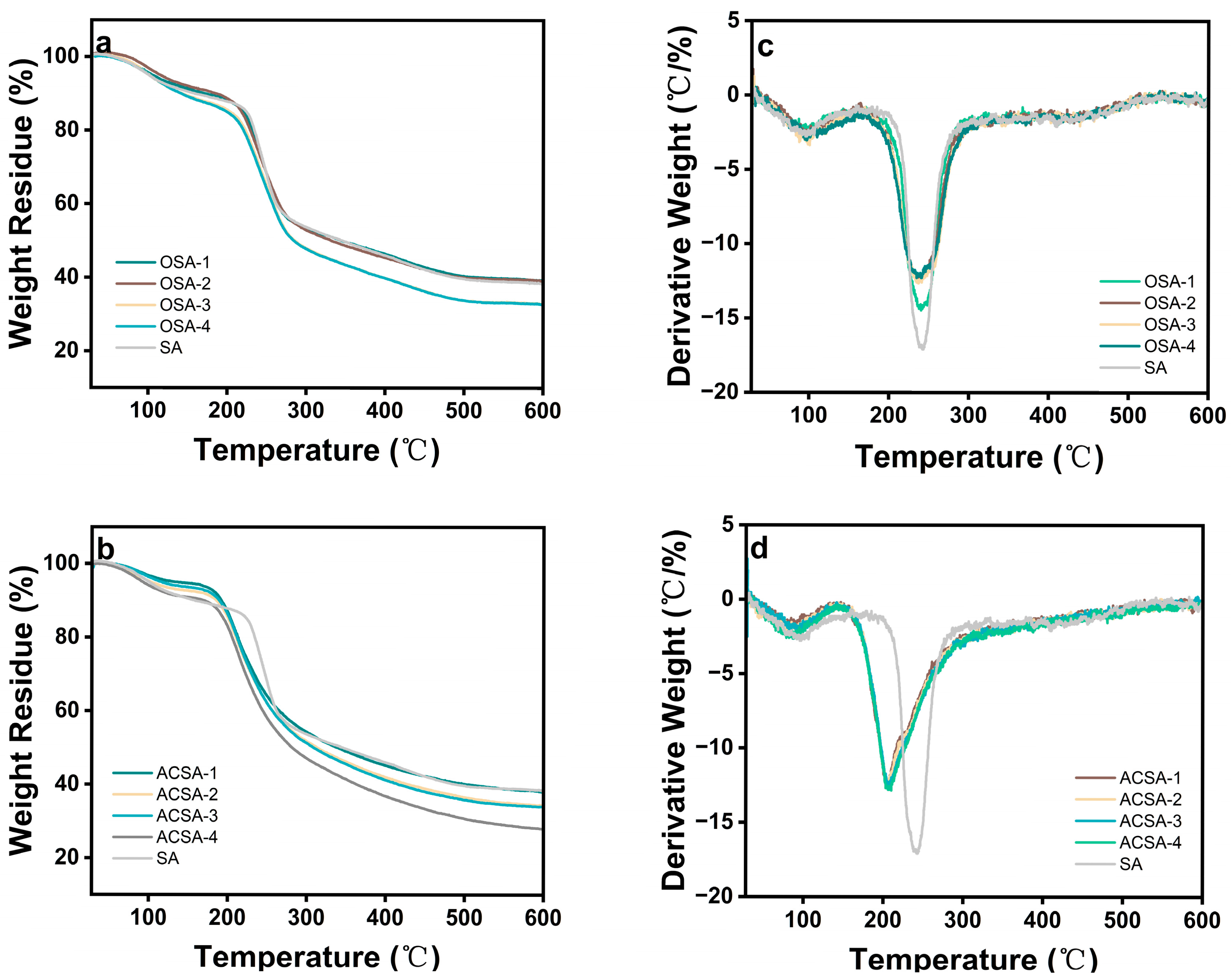
2.2. Physical and Microstructural Properties of ACSA
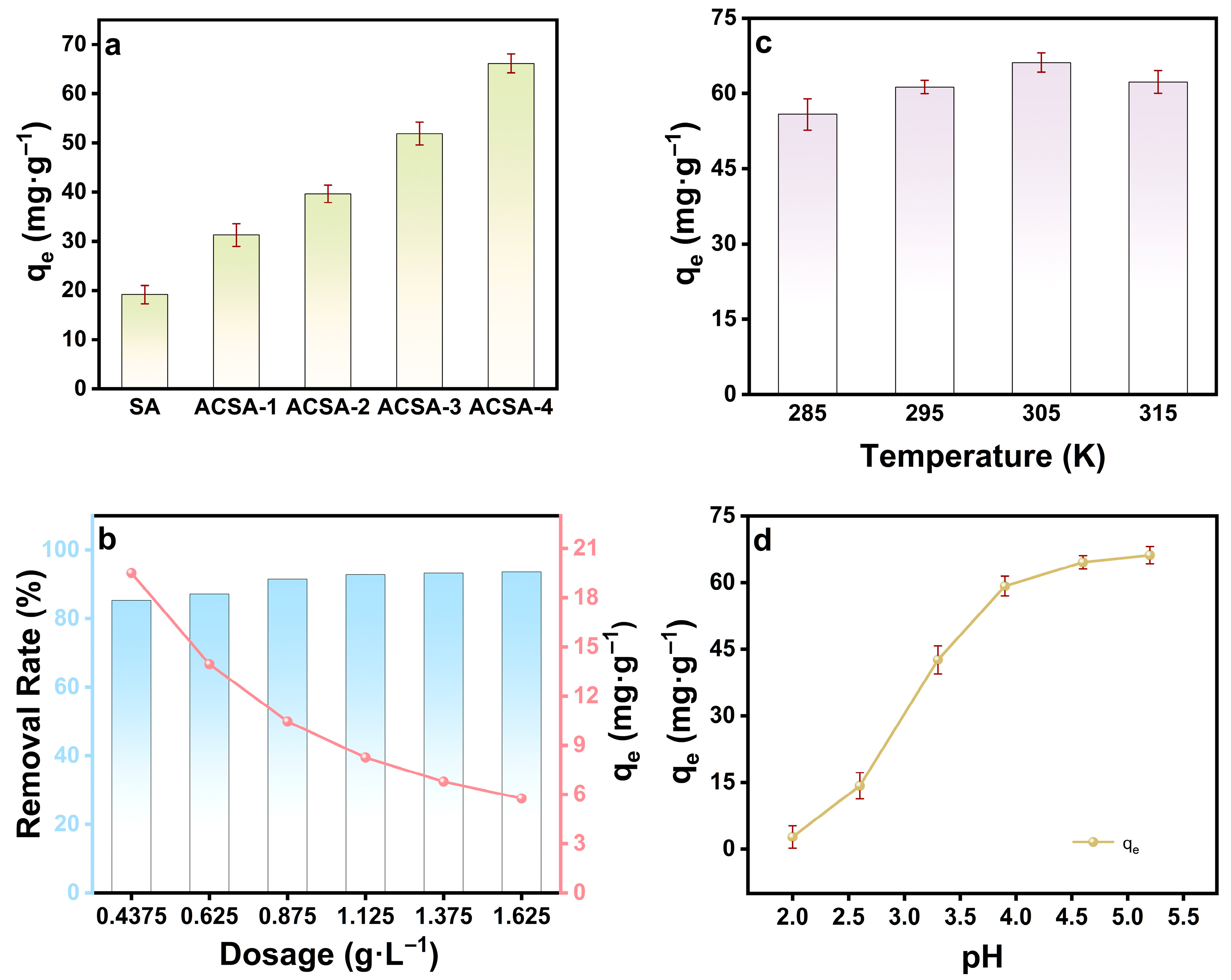
2.3. Evaluation of Adsorption Properties of ACSA
2.4. Analysis of Adsorption Mechanisms
| Adsorbent | Conditions | qm (mg·g−1) | References |
|---|---|---|---|
| PI aerogel | / | 83.3 | [58] |
| GO/CMC | pH = 5.0, T = 30 °C | 146.4 | [59] |
| CSFP | pH = 5.0, T = 60 °C | 58.26 | [60] |
| GCDiA-4 | pH = 3.0, T = 25 °C | 149.62 | [61] |
| PGA-AP | pH = 6.0, T = 60 °C | 78.99 | [62] |
| CSVT | pH = 8.0, T = 50 °C | 116.22 | [63] |
| PNIPAM NG | pH = 6.5–7.0, T = 30 °C | 91.12 | [64] |
| RM-CIIP-3 | pH = 5.5, T = 25 °C | 94.64 | [65] |
| ACSA-4 | pH = 5.2, T = 32 °C | 150.82 | This Work |
2.5. Selective Adsorption Performance
2.6. Regeneration Performance and Reusability
3. Conclusions
4. Materials and Methods
4.1. Materials
4.2. Preparation of Oxidized Sodium Alginate Aerogel
4.3. Preparation of Aza-Crown Ether Functionalized Alginate Aerogel
4.4. Characterization
4.5. Swelling and Porosity of ACSA
4.6. Adsorption Experiment of ACSA
4.7. Selectivity of ACSA
4.8. Reusability
4.9. Methodologies for Adsorption Mechanism
4.9.1. Adsorption Kinetics of ACSA for Cu2+
4.9.2. Adsorption Isotherm of ACSA for Cu2+
Supplementary Materials
Author Contributions
Funding
Institutional Review Board Statement
Informed Consent Statement
Data Availability Statement
Conflicts of Interest
References
- Lunardi, V.B.; Santoso, S.P.; Angkawijaya, A.E.; Cheng, K.-C.; Tran-Nguyen, P.L.; Go, A.W.; Nakamura, Y.; Lin, S.-P.; Hsu, H.-Y.; Yuliana, M.; et al. Synthesis of Cellulose Hydrogel by Utilizing Agricultural Waste and Zeolite for Adsorption of Copper Metal Ions. Ind. Crops Prod. 2024, 210, 118179. [Google Scholar] [CrossRef]
- Su, T.A.; Shihadih, D.S.; Cao, W.; Detomasi, T.C.; Heffern, M.C.; Jia, S.; Stahl, A.; Chang, C.J. A Modular Ionophore Platform for Liver-Directed Copper Supplementation in Cells and Animals. J. Am. Chem. Soc. 2018, 140, 13764–13774. [Google Scholar] [CrossRef] [PubMed]
- Wang, M.; Zhang, R.; Dehaen, W.; Fang, Y.; Qian, S.; Ren, Y.; Cheng, F.; Guo, Y.; Guo, C.; Li, Y.; et al. Specific Recognition, Intracellular Assay and Detoxification of Fluorescent Curcumin Derivative for Copper Ions. J. Hazard. Mater. 2021, 420, 126490. [Google Scholar] [CrossRef] [PubMed]
- Wang, S.; Zhuang, H.; Shen, X.; Zhao, L.; Pan, Z.; Liu, L.; Lv, S.; Wang, G. Copper Removal and Recovery from Electroplating Effluent with Wide pH Ranges through Hybrid Capacitive Deionization Using CuSe Electrode. J. Hazard. Mater. 2023, 457, 131785. [Google Scholar] [CrossRef] [PubMed]
- Qasem, N.A.A.; Mohammed, R.H.; Lawal, D.U. Removal of Heavy Metal Ions from Wastewater: A Comprehensive and Critical Review. npj Clean Water 2021, 4, 36. [Google Scholar] [CrossRef]
- Cai, Y.; Fang, M.; Tan, X.; Hu, B.; Wang, X. Highly Efficient Selective Elimination of Heavy Metals from Solutions by Different Strategies. Sep. Purif. Technol. 2024, 350, 127975. [Google Scholar] [CrossRef]
- Liu, H.; Xiao, B.; Zhao, Y.; Wang, W.; Jia, Q. Adsorption of Heavy Metals with Hyper Crosslinked Polymers: Progress, Challenges and Perspectives. Chin. Chem. Lett. 2025, 36, 110619. [Google Scholar] [CrossRef]
- Abegunde, S.M.; Idowu, K.S.; Adejuwon, O.M.; Adeyemi-Adejolu, T. A Review on the Influence of Chemical Modification on the Performance of Adsorbents. Resour. Environ. Sustain. 2020, 1, 100001. [Google Scholar] [CrossRef]
- Liu, W.; Zhang, Y.; Wang, S.; Bai, L.; Deng, Y.; Tao, J. Effect of Pore Size Distribution and Amination on Adsorption Capacities of Polymeric Adsorbents. Molecules 2021, 26, 5267. [Google Scholar] [CrossRef]
- Dad, F.P.; Khan, W.-D.; Sharif, F.; Nizami, A.S. Adsorption of Trace Heavy Metals through Organic Compounds Enriched Biochar Using Isotherm Adsorption and Kinetic Models. Environ. Res. 2024, 241, 117702. [Google Scholar] [CrossRef]
- An, Y.; Lv, X.; Jiang, W.; Wang, L.; Shi, Y.; Hang, X.; Pang, H. The Stability of MOFs in Aqueous Solutions—Research Progress and Prospects. Green Chem. Eng. 2024, 5, 187–204. [Google Scholar] [CrossRef]
- Cui, C.; Li, D.; Wang, L. Functionalized Nanocomposite Biopolymer-Based Environmental-Friendly Adsorbents: Design, Adsorption Mechanism, Regeneration, and Degradation. Sep. Purif. Technol. 2025, 363, 132034. [Google Scholar] [CrossRef]
- Liu, J.; Zhang, X.; Lu, X.; Li, Q.; Xue, Z.; Zhang, Q.; Wu, G.; Xia, W. Review on Extraction and Separation of Valuable Metal Ions from Aqueous Solution by Crown Ether. Chin. J. Chem. Eng. 2025, 85, 217–227. [Google Scholar] [CrossRef]
- Oral, I.; Tamm, S.; Herrmann, C.; Abetz, V. Lithium Selectivity of Crown Ethers: The Effect of Heteroatoms and Cavity Size. Sep. Purif. Technol. 2022, 294, 121142. [Google Scholar] [CrossRef]
- Zhu, Z.; Liang, X.; Li, C.; Yang, Z.; Pan, J.; Chen, H.; Zhu, Y.; Chen, Q.; Zhou, X.; Wu, K. Geometric and Symmetric Adaptations of Crown Ether upon Its Coordination to Alkali Metal Cations on the Surface. J. Phys. Chem. C 2024, 128, 20905–20912. [Google Scholar] [CrossRef]
- Zhou, H.; Dai, Y.; Zhang, D.; Daniel, J.; Zhong, X.; Li, Z.; Tao, Q.; Xu, L. Crown-Position Recognition-Driven Selective Adsorption: Efficient Capture of Strontium and Cesium Ions by Dual Crown Ether-Modified Chitosan. Int. J. Biol. Macromol. 2025, 318, 144967. [Google Scholar] [CrossRef]
- Jing, W.; Tang, M.; Lin, X.; Yang, C.; Lian, D.; Yu, Y.; Liu, D. Microwave Irradiation-Assisted Synthesis of Anisotropic Crown Ether-Grafted Bamboo Pulp Aerogel as a Chelating Agent for Selective Adsorption of Heavy Metals (Mn+). Gels 2024, 10, 778. [Google Scholar] [CrossRef]
- Du, J.; Xiao, J.; Ma, X.; Li, J. Crown Ether-Functionalized Polyimide Nanofiber Membranes Fabricated by in-Situ Grafting and Electrospinning for Efficient Selective Adsorption of Cesium. Desalination 2026, 618, 119445. [Google Scholar] [CrossRef]
- Supraja, N.; Karpagam, S. Crown Ether Embedded PVDF Adsorbent for Selective Trapping of Copper and Silver Ion from Water Samples. J. Ind. Eng. Chem. 2026, 153, 409–422. [Google Scholar] [CrossRef]
- Ijeri, V.S.; Srivastava, A.K. Complexation of Macrocyclic Compounds with Mono-, Di- and Tri-Valent Transition and Heavy Metal Ions in 90% (v/v) DMSO+water Medium. Polyhedron 2003, 22, 569–574. [Google Scholar] [CrossRef]
- Flores, E.; Pizarro, J.; Godoy, F.; Segura, R.; Gómez, A.; Agurto, N.; Sepúlveda, P. An Electrochemical Sensor for the Determination of Cu(II) Using a Modified Electrode with Ferrocenyl Crown Ether Compound by Square Wave Anodic Stripping Voltammetry. Sens. Actuators B Chem. 2017, 251, 433–439. [Google Scholar] [CrossRef]
- Livshits, V.A.; Pronin, A.M.; Samoshin, V.V.; Gromov, S.P.; Alfimov, M.V. ESR Spectroscopy of Copper(II) Complexes with Aza- and Thia-Containing Crown Ethers. Russ. Chem. Bull. 1994, 43, 1827–1833. [Google Scholar] [CrossRef]
- Zou, Y.; Hui, H.; Ma, Y.; Li, J.; Sun, P.; Liu, H.; Li, Z.; Liu, Q.; Zhang, L.; Pei, H. Overcoming Ionic Interference: Biohybrid Adsorbents with Crown Ether Selectivity and Alginate Hydrophilicity for Strontium Removal. Sep. Purif. Technol. 2025, 372, 133448. [Google Scholar] [CrossRef]
- Su, H.; Qiu, W.; Deng, T.; Zheng, X.; Wang, H.; Wen, P. Fabrication of Physically Multi-Crosslinked Sodium Alginate/Carboxylated-Chitosan/Montmorillonite-Base Aerogel Modified by Polyethyleneimine for the Efficient Adsorption of Organic Dye and Cu(II) Contaminants. Sep. Purif. Technol. 2024, 330, 125321. [Google Scholar] [CrossRef]
- Chen, B.; Chen, Y.; Chen, Y.; Gao, X.; Ren, Y.; Lan, C. A Versatile Alginate Aerogel with Spatially Separated Sorption Sites for Simultaneously and Collaboratively Scavenging Pb(II) and Tetracycline in Wastewater: Insight into Behavior and Mechanisms in the Mixture System. Int. J. Biol. Macromol. 2025, 307, 141839. [Google Scholar] [CrossRef]
- Funami, T.; Fang, Y.; Noda, S.; Ishihara, S.; Nakauma, M.; Draget, K.I.; Nishinari, K.; Phillips, G.O. Rheological Properties of Sodium Alginate in an Aqueous System during Gelation in Relation to Supermolecular Structures and Ca2+ Binding. Food Hydrocoll. 2009, 23, 1746–1755. [Google Scholar] [CrossRef]
- Han, Y.; Zeng, Q.; Li, H.; Chang, J. The Calcium Silicate/Alginate Composite: Preparation and Evaluation of Its Behavior as Bioactive Injectable Hydrogels. Acta Biomater. 2013, 9, 9107–9117. [Google Scholar] [CrossRef]
- Ge, L.; Li, Z.; Han, M.; Wang, Y.; Li, X.; Mu, C.; Li, D. Antibacterial Dialdehyde Sodium Alginate/ε-Polylysine Microspheres for Fruit Preservation. Food Chem. 2022, 387, 132885. [Google Scholar] [CrossRef]
- Ding, W.; Wang, Y.; Sun, J.; Bao, L.; Pang, X. Dialdehyde Sodium Alginate Bonded Dicyandiamide for Formaldehyde-Free Leather Production with Enhanced Properties. Carbohydr. Polym. 2022, 295, 119838. [Google Scholar] [CrossRef]
- Emami, Z.; Ehsani, M.; Zandi, M.; Foudazi, R. Controlling Alginate Oxidation Conditions for Making Alginate-Gelatin Hydrogels. Carbohydr. Polym. 2018, 198, 509–517. [Google Scholar] [CrossRef]
- Bühl, M.; Ludwig, R.; Schurhammer, R.; Wipff, G. Hydronium Ion Complex of 18-Crown-6: Theory Confirms Three “Normal” Linear Hydrogen Bonds. J. Phys. Chem. A 2004, 108, 11463–11468. [Google Scholar] [CrossRef]
- Silva, R.S.G.; Bandeira, S.F.; Pinto, L.A.A. Characteristics and Chemical Composition of Skins Gelatin from Cobia (Rachycentron canadum). LWT-Food Sci. Technol. 2014, 57, 580–585. [Google Scholar] [CrossRef]
- Salomonsen, T.; Jensen, H.M.; Larsen, F.H.; Steuernagel, S.; Engelsen, S.B. Alginate Monomer Composition Studied by Solution- and Solid-State NMR—A Comparative Chemometric Study. Food Hydrocoll. 2009, 23, 1579–1586. [Google Scholar] [CrossRef]
- Brus, J.; Urbanova, M.; Czernek, J.; Pavelkova, M.; Kubova, K.; Vyslouzil, J.; Abbrent, S.; Konefal, R.; Horský, J.; Vetchy, D.; et al. Structure and Dynamics of Alginate Gels Cross-Linked by Polyvalent Ions Probed via Solid State NMR Spectroscopy. Biomacromolecules 2017, 18, 2478–2488. [Google Scholar] [CrossRef]
- Pierre, T.S.T.; Geckle, M. 13-NMR Analysis of Branched Polyethyleneimine. J. Macromol. Sci. Part A-Chem. 1985, 22, 877–887. [Google Scholar] [CrossRef]
- Halpern, Y.; Riffer, R.; Broido, A. Levoglucosenone (1,6-Anhydro-3,4-Dideoxy-.DELTA.3-.Beta.-D-Pyranosen-2-One). Major Product of the Acid-Catalyzed Pyrolysis of Cellulose and Related Carbohydrates. J. Org. Chem. 1973, 38, 204–209. [Google Scholar] [CrossRef]
- Trikkaliotis, D.G.; Christoforidis, A.K.; Mitropoulos, A.C.; Kyzas, G.Z. Adsorption of Copper Ions onto Chitosan/Poly(Vinyl Alcohol) Beads Functionalized with Poly(Ethylene Glycol). Carbohydr. Polym. 2020, 234, 115890. [Google Scholar] [CrossRef]
- Luz Godino-Salido, M.; Santiago-Medina, A.; Arranz-Mascarós, P.; López-Garzón, R.; Gutiérrez-Valero, M.D.; Melguizo, M.; Javier López-Garzón, F. Novel Active Carbon/Crown Ether Derivative Hybrid Material for the Selective Removal of Cu(II) Ions: The Crucial Role of the Surface Chemical Functions. Chem. Eng. Sci. 2014, 114, 94–104. [Google Scholar] [CrossRef]
- Ibrahim, B.M.; Fakhre, N.A. Crown Ether Modification of Starch for Adsorption of Heavy Metals from Synthetic Wastewater. Int. J. Biol. Macromol. 2019, 123, 70–80. [Google Scholar] [CrossRef]
- Xu, Y.; Li, Y.; Wang, G.; Zhang, M.; Peng, X.; Yang, F.; Cheng, K. Dual-Use of Sodium Alginate to Prepare Sodium Algenate -Derived Carbon Dots Sodium Algenate Hydrogel Composite for Pb2+ Removal. Appl. Surf. Sci. 2024, 654, 159416. [Google Scholar] [CrossRef]
- Gong, X.; Zhao, X.; Yang, Z.; Guo, Z.; Xu, J.; Liu, H.; Liu, J. Eco-Friendly and Easy-to-Prepare Three-Dimensional Network Constructed by Tannic Acid/Polypyrrole/Sodium Alginate via Triple Action Mechanism of Fe3+ for Highly-Efficient Solar Evaporation. Desalination 2024, 592, 118186. [Google Scholar] [CrossRef]
- Li, H.; Dong, H.; Wu, X.; Li, L.; Zhou, W.; Li, Z.; Wang, Q.; Chen, K.; Chen, T.; Zhu, W. Super Hygroscopic Sodium Alginate/Cellulose-Based Hydrogel Beads for Atmospheric Water Harvesting and Slope Soil Phytoremediation. ACS Sustain. Chem. Eng. 2025, 13, 13195–13206. [Google Scholar] [CrossRef]
- Zhang, L.; Li, Q.; Bai, X.; Li, X.; Zhang, G.; Zou, J.; Fei, P.; Lai, W. Double Network Self-Healing Hydrogels Based on Carboxyethyl Chitosan/Oxidized Sodium Alginate/Ca2+: Preparation, Characterization and Application in Dye Absorption. Int. J. Biol. Macromol. 2024, 264, 130564. [Google Scholar] [CrossRef] [PubMed]
- Hu, Z.; Li, Y.; Kang, M.; Islam, M.M.; Chen, M.; Zhang, J.; Xiao, Y.; Feng, X.; Redshaw, C.; Zhang, M.; et al. Aggregation-Induced Emission Luminogen: A New Perspective in the Photo-Degradation of Organic Pollutants. EcoMat 2020, 2, e12024. [Google Scholar] [CrossRef]
- An, M.; Liu, D.; Nie, Q.; Liu, Z.; Xu, L.; Shao, P.; Wen, S. Adsorption Mechanism of Captopril as a Chalcopyrite Depressant in Copper-Lead Separation Flotation. Colloids Surf. A Physicochem. Eng. Asp. 2025, 709, 136174. [Google Scholar] [CrossRef]
- Meng, F.; Liu, Y.; Ding, Z.; Xu, L.; Wang, H.; Xu, X.; Liu, X.; Lu, T.; Pan, L. Hydrogen-Bonded Organic Framework Derived 2D N, O Co-Doped Carbon Nanobelt with Tunable Pseudocapacitive Contribution for Efficient Capacitive Deionization. Small 2024, 20, 2309353. [Google Scholar] [CrossRef]
- Su, H.; Huang, H.; Zhao, S.; Zhou, Y.; Xu, S.; Pan, H.; Gu, B.; Chu, X.; Deng, W.; Zhang, H.; et al. Understanding the Ion-Sorption Dynamics in Functionalized Porous Carbons for Enhanced Capacitive Energy Storage. ACS Appl. Mater. Interfaces 2020, 12, 2773–2782. [Google Scholar] [CrossRef]
- Chai, F.; Wang, R.; Yan, L.; Li, G.; Cai, Y.; Xi, C. Facile Fabrication of pH-Sensitive Nanoparticles Based on Nanocellulose for Fast and Efficient As(V) Removal. Carbohydr. Polym. 2020, 245, 116511. [Google Scholar] [CrossRef]
- Bera, S.; Rout, T.K.; Udayabhanu, G.; Narayan, R. Comparative Study of Corrosion Protection of Sol–Gel Coatings with Different Organic Functionality on Al-2024 Substrate. Prog. Org. Coat. 2015, 88, 293–303. [Google Scholar] [CrossRef]
- Yan, F.; Spyrou, K.; Thomou, E.; Kumar, S.; Cao, H.; Stuart, M.C.A.; Pei, Y.; Gournis, D.; Rudolf, P. Smectite Clay Pillared with Copper Complexed Polyhedral Oligosilsesquioxane for Adsorption of Chloridazon and Its Metabolites. Environ. Sci. Nano 2020, 7, 424–436. [Google Scholar] [CrossRef]
- Li, Y.; Liang, Y.-Q.; Mao, X.-M.; Li, H. Efficient Removal of Cu(II) from an Aqueous Solution Using a Novel Chitosan Assisted EDTA-Intercalated Hydrotalcite-like Compound Composite: Preparation, Characterization, and Adsorption Mechanism. Chem. Eng. J. 2022, 438, 135531. [Google Scholar] [CrossRef]
- Sun, Y.; Wang, X.; Xia, S.; Zhao, J. Cu(II) Adsorption on Poly(Lactic Acid) Microplastics: Significance of Microbial Colonization and Degradation. Chem. Eng. J. 2022, 429, 132306. [Google Scholar] [CrossRef]
- Chen, X.; Hossain, M.F.; Duan, C.; Lu, J.; Tsang, Y.F.; Islam, M.S.; Zhou, Y. Isotherm Models for Adsorption of Heavy Metals from Water—A Review. Chemosphere 2022, 307, 135545. [Google Scholar] [CrossRef] [PubMed]
- Dou, D.; Wei, D.; Guan, X.; Liang, Z.; Lan, L.; Lan, X.; Liu, P.; Mo, H.; Lan, P. Adsorption of Copper (II) and Cadmium (II) Ions by in Situ Doped Nano-Calcium Carbonate High-Intensity Chitin Hydrogels. J. Hazard. Mater. 2022, 423, 127137. [Google Scholar] [CrossRef]
- Neris, J.B.; Luzardo, F.H.M.; Santos, P.F.; de Almeida, O.N.; Velasco, F.G. Evaluation of Single and Tri-Element Adsorption of Pb2+, Ni2+ and Zn2+ Ions in Aqueous Solution on Modified Water Hyacinth (Eichhornia crassipes) Fibers. J. Environ. Chem. Eng. 2019, 7, 102885. [Google Scholar] [CrossRef]
- Pal, P.; Syed, S.S.; Banat, F. Gelatin-Bentonite Composite as Reusable Adsorbent for the Removal of Lead from Aqueous Solutions: Kinetic and Equilibrium Studies. J. Water Process Eng. 2017, 20, 40–50. [Google Scholar] [CrossRef]
- Hashem, A.; Aniagor, C.O.; Morsy, O.M.; Abou-Okeil, A.; Aly, A.A. Apricot Seed Shell: An Agro-Waste Biosorbent for Acid Blue193 Dye Adsorption. Biomass Convers. Biorefinery 2024, 14, 12283–12296. [Google Scholar] [CrossRef]
- Zhou, N.; Fan, Z.; Noh, I.; Wang, Y.; Li, B.; Kim, H.D.; Xiao, B.; Zhou, Q.; Ohkita, H.; Wang, B. Versatile Polyimide Composite Aerogels for Highly Efficient Interfacial Solar Steam Generation through Controlling the Molecular Polarity. Sep. Purif. Technol. 2025, 378, 134539. [Google Scholar] [CrossRef]
- Luo, J.; Fan, C.; Xiao, Z.; Sun, T.; Zhou, X. Novel Graphene Oxide/Carboxymethyl Chitosan Aerogels via Vacuum-Assisted Self-Assembly for Heavy Metal Adsorption Capacity. Colloids Surf. A Physicochem. Eng. Asp. 2019, 578, 123584. [Google Scholar] [CrossRef]
- Yin, H.; Xiong, Q.; Zhang, M.; Wang, B.; Zhang, F. Multi-Principles Analysis of Cu(II) Adsorption in Water on Magnetic Microspheres and Modified Chitosan. J. Environ. Chem. Eng. 2023, 11, 111285. [Google Scholar] [CrossRef]
- Fu, G.; Peng, C.; Yu, J.; Cao, J.; Peng, S.; Zhao, T.; Xu, D. Carbon Dot Integrated Cellulose-Based Green-Fluorescent Aerogel for Detection and Removal of Copper Ions in Water. Gels 2025, 11, 655. [Google Scholar] [CrossRef] [PubMed]
- Chen, K.-Y.; Zeng, W.-Y. Adsorption of Cu(II) by Poly-γ-Glutamate/Apatite Nanoparticles. Polymers 2021, 13, 962. [Google Scholar] [CrossRef] [PubMed]
- Salih, S.S.; Shihab, M.A.; Mohammed, H.N.; Kadhom, M.; Albayati, N.; Ghosh, T.K. Chitosan-Vermiculite Composite Adsorbent: Preparation, Characterization, and Competitive Adsorption of Cu(II) and Cd(II) Ions. J. Water Process Eng. 2024, 59, 105044. [Google Scholar] [CrossRef]
- Bardajee, G.R.; Mahmoodian, H.; Mahmoudi, N.; Felegari, N.; Rouhi, M. Disulfide-Crosslinked PNIPAM Nanogels for Efficient Removal of Copper and Cadmium Ions from Aqueous Solutions. J. Environ. Chem. Eng. 2025, 13, 117473. [Google Scholar] [CrossRef]
- Gao, Y.; Zhou, R.; Yao, L.; Yin, W.; Yu, J.; Yue, Q.; Xue, Z.; He, H.; Gao, B. Synthesis of Rice Husk-Based Ion-Imprinted Polymer for Selective Capturing Cu(II) from Aqueous Solution and Re-Use of Its Waste Material in Glaser Coupling Reaction. J. Hazard. Mater. 2022, 424, 127203. [Google Scholar] [CrossRef]
- Ma, S.-L.; Zhu, W.-X.; Qi, C.-M.; Guo, Q.-L.; Zhang, J.; Liu, Y.-C.; Xu, M.-Q. Synthesis and Crystal Structure of Copper Complex of Bis(p-Chlorophenol)-Containing Diaza-18-Crown-6 Ligand. J. Mol. Struct. 2004, 703, 25–29. [Google Scholar] [CrossRef]
- Li, K.; Liang, Y.; Zhang, J.; Yu, B.; Jia, L. Synergistic Effects of Liquid Phase Sintering and B-Site Substitution to Enhance Proton Conductivity of BaZr0.1Ce0.7Y0.1Yb0.1O3−δ for Protonic Ceramic Fuel Cell. Int. J. Hydrog. Energy 2024, 91, 858–866. [Google Scholar] [CrossRef]
- Rulíšek, L.; Havlas, Z. Theoretical Studies of Metal Ion Selectivity.† 2. DFT Calculations of Complexation Energies of Selected Transition Metal Ions (Co2+, Ni2+, Cu2+, Zn2+, Cd2+, and Hg2+) in Metal-Binding Sites of Metalloproteins. J. Phys. Chem. A 2002, 106, 3855–3866. [Google Scholar] [CrossRef]
- Li, Z.; Xu, N.; Ren, J.; Hao, H.; Gao, R.; Kong, X.; Yan, H.; Hua, X.; Peng, Y.-K.; Ma, S.; et al. Theory-Driven Design of Cadmium Mineralizing Layered Double Hydroxides for Environmental Remediation. Chem. Sci. 2024, 15, 13021–13031. [Google Scholar] [CrossRef]
- Lin, C.M.; Wu, C.C. Effect of the Ni2+/Ni3+ Concentration on the Optoelectronical Properties of Lithium-Doped Nickel Oxide Films. ACS Appl. Electron. Mater. 2021, 3, 1050–1057. [Google Scholar] [CrossRef]
- Börjesson, M.; Larsson, A.; Westman, G.; Ström, A. Periodate Oxidation of Xylan-Based Hemicelluloses and Its Effect on Their Thermal Properties. Carbohydr. Polym. 2018, 202, 280–287. [Google Scholar] [CrossRef]








| Adsorbent | qe, exp (mg·g−1) | Pseudo-First-Order Kinetic Model | Pseudo-Second-Order Kinetic Model | ||||||
|---|---|---|---|---|---|---|---|---|---|
| qe, cal (mg·g−1) | k1 × 10−2 (min−1) | R2 | qe, cal (mg·g−1) | k2 × 10−4 (g·mg−1·min−1) | R2 | ||||
| ACSA | 66.15 | 31.78 | 1.28 | 0.972 | 69.11 | 8.61 | 0.999 | ||
| Adsorbent | Weber-Morris intraparticle diffusion model | ||||||||
| kw1 | C1 | R2 | kw2 | C2 | R2 | kw3 | C3 | R2 | |
| ACSA | 7.52 | 3.08 | 0.92 | 3.43 | 25.85 | 0.94 | 0.06 | 56 | 0.93 |
| Adsorbent | Langmuir Isotherm Model | Freundlich Isotherm Model | Temkin Isotherm Model | ||||||
|---|---|---|---|---|---|---|---|---|---|
| kl | qm | R2 | kf | 1/n | R2 | b | A | R2 | |
| ACSA | 0.091 | 150.82 | 0.996 | 38.26 | 0.257 | 0.875 | 97.35 | 1.51 | 0.962 |
Disclaimer/Publisher’s Note: The statements, opinions and data contained in all publications are solely those of the individual author(s) and contributor(s) and not of MDPI and/or the editor(s). MDPI and/or the editor(s) disclaim responsibility for any injury to people or property resulting from any ideas, methods, instructions or products referred to in the content. |
© 2026 by the authors. Licensee MDPI, Basel, Switzerland. This article is an open access article distributed under the terms and conditions of the Creative Commons Attribution (CC BY) license.
Share and Cite
Long, T.; El Idrissi, A.; Fu, L.; Liu, Y.; Ruan, B.; Ma, M.; Li, Z.; Lu, L. Molecularly Engineered Aza-Crown Ether Functionalized Sodium Alginate Aerogels for Highly Selective and Sustainable Cu2+ Removal. Gels 2026, 12, 78. https://doi.org/10.3390/gels12010078
Long T, El Idrissi A, Fu L, Liu Y, Ruan B, Ma M, Li Z, Lu L. Molecularly Engineered Aza-Crown Ether Functionalized Sodium Alginate Aerogels for Highly Selective and Sustainable Cu2+ Removal. Gels. 2026; 12(1):78. https://doi.org/10.3390/gels12010078
Chicago/Turabian StyleLong, Teng, Ayoub El Idrissi, Lin Fu, Yufan Liu, Banlian Ruan, Minghong Ma, Zhongxun Li, and Lingbin Lu. 2026. "Molecularly Engineered Aza-Crown Ether Functionalized Sodium Alginate Aerogels for Highly Selective and Sustainable Cu2+ Removal" Gels 12, no. 1: 78. https://doi.org/10.3390/gels12010078
APA StyleLong, T., El Idrissi, A., Fu, L., Liu, Y., Ruan, B., Ma, M., Li, Z., & Lu, L. (2026). Molecularly Engineered Aza-Crown Ether Functionalized Sodium Alginate Aerogels for Highly Selective and Sustainable Cu2+ Removal. Gels, 12(1), 78. https://doi.org/10.3390/gels12010078

