Sign in to use this feature.

Years

Between: -

Subjects

remove_circle_outline
remove_circle_outline
remove_circle_outline
remove_circle_outline
remove_circle_outline
remove_circle_outline
remove_circle_outline
remove_circle_outline
remove_circle_outline

Journals

remove_circle_outline
remove_circle_outline
remove_circle_outline
remove_circle_outline
remove_circle_outline
remove_circle_outline

Article Types

Countries / Regions

Search Results (141)

Search Parameters:
Keywords = gradient-based routing

Order results
Result details
Results per page
Select all
Export citation of selected articles as:
23 pages, 8113 KB  
Article
Estimating H I Mass Fraction in Galaxies with Bayesian Neural Networks
by Joelson Sartori, Cristian G. Bernal and Carlos Frajuca
Galaxies 2026, 14(1), 10; https://doi.org/10.3390/galaxies14010010 - 2 Feb 2026
Viewed by 58
Abstract
Neutral atomic hydrogen (H I) regulates galaxy growth and quenching, but direct 21 cm measurements remain observationally expensive and affected by selection biases. We develop Bayesian neural networks (BNNs)—a type of neural model that returns both a prediction and an associated uncertainty—to infer [...] Read more.
Neutral atomic hydrogen (H I) regulates galaxy growth and quenching, but direct 21 cm measurements remain observationally expensive and affected by selection biases. We develop Bayesian neural networks (BNNs)—a type of neural model that returns both a prediction and an associated uncertainty—to infer the H I mass, log10(MHI), from widely available optical properties (e.g., stellar mass, apparent magnitudes, and diagnostic colors) and simple structural parameters. For continuity with the photometric gas fraction (PGF) literature, we also report the gas-to-stellar-mass ratio, log10(G/S), where explicitly noted. Our dataset is a reproducible cross-match of SDSS DR12, the MPA–JHU value-added catalogs, and the 100% ALFALFA release, resulting in 31,501 galaxies after quality controls. To ensure fair evaluation, we adopt fixed train/validation/test partitions and an additional sky-holdout region to probe domain shift, i.e., how well the model extrapolates to sky regions that were not used for training. We also audit features to avoid information leakage and benchmark the BNNs against deterministic models, including a feed-forward neural network baseline and gradient-boosted trees (GBTs, a standard tree-based ensemble method in machine learning). Performance is assessed using mean absolute error (MAE), root-mean-square error (RMSE), and probabilistic diagnostics such as the negative log-likelihood (NLL, a loss that rewards models that assign high probability to the observed H I masses), reliability diagrams (plots comparing predicted probabilities to observed frequencies), and empirical 68%/95% coverage. The Bayesian models achieve point accuracy comparable to the deterministic baselines while additionally providing calibrated prediction intervals that adapt to stellar mass, surface density, and color. This enables galaxy-by-galaxy uncertainty estimation and prioritization for 21 cm follow-up that explicitly accounts for predicted uncertainties (“risk-aware” target selection). Overall, the results demonstrate that uncertainty-aware machine-learning methods offer a scalable and reproducible route to inferring galactic H I content from widely available optical data. Full article
Show Figures

Figure 1

21 pages, 4886 KB  
Article
GaPMeS: Gaussian Patch-Level Mixture-of-Experts Splatting for Computation-Limited Sparse-View Feed-Forward 3D Reconstruction
by Jinwen Liu, Wenchao Liu and Rui Guo
Appl. Sci. 2026, 16(2), 1108; https://doi.org/10.3390/app16021108 - 21 Jan 2026
Viewed by 124
Abstract
To address the issues of parameter coupling and high computational demands in existing feed-forward Gaussian splatting methods, we propose Gaussian Patch-level Mixture-of-Experts Splatting (GaPMeS), a lightweight feed-forward 3D Gaussian reconstruction model based on a mixture-of-experts (MoE) multi-task decoupling framework. GaPMeS employs a dual-routing [...] Read more.
To address the issues of parameter coupling and high computational demands in existing feed-forward Gaussian splatting methods, we propose Gaussian Patch-level Mixture-of-Experts Splatting (GaPMeS), a lightweight feed-forward 3D Gaussian reconstruction model based on a mixture-of-experts (MoE) multi-task decoupling framework. GaPMeS employs a dual-routing gating mechanism to replace heavy refinement networks, enabling task-adaptive feature selection at the image patch level and alleviating the gradient conflicts commonly observed in shared-backbone architectures. By decoupling Gaussian parameter prediction into four independent sub-tasks and incorporating a hybrid soft–hard expert selection strategy, the model maintains high efficiency with only 14.6 M parameters while achieving competitive performance across multiple datasets—including a Structural Similarity Index (SSIM) of 0.709 on RealEstate10K, a Peak Signal-to-Noise Ratio (PSNR) of 19.57 on DL3DV, and a 26.0% SSIM improvement on real industrial scenes. These results demonstrate the model’s superior efficiency and reconstruction quality, offering a new and effective solution for high-quality sparse-view 3D reconstruction. Full article
(This article belongs to the Special Issue Advances in Computer Graphics and 3D Technologies)
Show Figures

Figure 1

16 pages, 10545 KB  
Article
Design and Validation of a Pressure-Driven Liquid Metering System with Heated PTFE Tubing for Laboratory Automation
by Joonki Baek, Taegyun Kim, Seungwon Jeong, Ikhyun Kim, Shin Hum Cho and Sungkeun Yoo
Sensors 2026, 26(2), 700; https://doi.org/10.3390/s26020700 - 21 Jan 2026
Viewed by 152
Abstract
This paper presents a pressure-driven liquid transfer system for laboratory automation, along with a physics-based model and calibration method. The device maintains near-isothermal transport by storing reagents at a prescribed temperature and routing the flow through a single PTFE tube enclosed within a [...] Read more.
This paper presents a pressure-driven liquid transfer system for laboratory automation, along with a physics-based model and calibration method. The device maintains near-isothermal transport by storing reagents at a prescribed temperature and routing the flow through a single PTFE tube enclosed within a heated jacket. The pressure-drop model accounts for temperature-dependent viscosity and the thermal expansion of PTFE. Residual deviations from the no-slip prediction in submillimeter tubing are represented by an effective slip length, which is identified through linear regression. This parameter is subsequently used to calculate the pressure required to achieve a target flow rate. Experimental results compare unheated and heated operating conditions and characterize the dependence of slip length on temperature and flow rate. Under heated operation with slip-compensated pressure commands, the system achieved dispensing accuracy within ±4% over the tested range, whereas unheated operation exhibited larger errors due to axial temperature gradients. These results demonstrate that effective thermal management and slip compensation are critical for accurate pressure-based metering under temperature-sensitive conditions, as validated using water-based tests. Full article
Show Figures

Figure 1

28 pages, 5845 KB  
Article
High-Accuracy ETA Prediction for Long-Distance Tramp Shipping: A Stacked Ensemble Approach
by Pengfei Huang, Jinfen Cai, Jinggai Wang, Hongbin Chen and Pengfei Zhang
J. Mar. Sci. Eng. 2026, 14(2), 177; https://doi.org/10.3390/jmse14020177 - 14 Jan 2026
Viewed by 237
Abstract
The Estimated Time of Arrival (ETA) of vessels is a vital operational indicator for voyage planning, fleet deployment, and resource allocation. However, most existing studies focus on short-distance liner services with fixed routes, while ETA prediction for long-distance tramp bulk carriers remains insufficiently [...] Read more.
The Estimated Time of Arrival (ETA) of vessels is a vital operational indicator for voyage planning, fleet deployment, and resource allocation. However, most existing studies focus on short-distance liner services with fixed routes, while ETA prediction for long-distance tramp bulk carriers remains insufficiently accurate, often resulting in operational inefficiencies and charter party disputes. To fill this gap, this study proposes a data-driven stacking ensemble learning framework that integrates Light Gradient-Boosting Machine (LightGBM), Extreme Gradient Boosting (XGBoost), and Random Forest (RF) as base learners, combined with a Linear Regression meta-learner. This framework is specifically tailored to the unique complexities of tramp shipping, advancing beyond traditional single-model approaches by incorporating systematic feature engineering and model fusion. The study also introduces the construction of a comprehensive multi-dimensional AIS feature system, incorporating baseline, temporal, speed-related, course-related, static, and historical behavioral features, thereby enabling more nuanced and accurate ETA prediction. Using AIS trajectory data from bulk carrier voyages between Weipa (Australia) and Qingdao (China) in 2023, the framework leverages multi-feature fusion to enhance predictive performance. The results demonstrate that the stacking model achieves the highest accuracy, reducing the Mean Absolute Error (MAE) to 3.30 h—a 74.7% improvement over the historical averaging benchmark and an 11.3% reduction compared with the best individual model, XGBoost. Extensive performance evaluation and interpretability analysis confirm that the stacking ensemble provides stability and robustness. Feature importance analysis reveals that vessel speed, course stability, and remaining distance are the primary drivers of ETA prediction. Additionally, meta-learner weighting analysis shows that LightGBM offers a stable baseline, while systematic deviations in XGBoost predictions act as effective error-correction signals, highlighting the complementary strengths captured by the ensemble. The findings provide operational insights for maritime logistics and port management, offering significant benefits for port scheduling and maritime logistics management. Full article
(This article belongs to the Section Ocean Engineering)
Show Figures

Figure 1

14 pages, 3017 KB  
Article
Inhalable Dry Powders from Lyophilized Sildenafil-Loaded Liposomes with Resveratrol or Cholesterol as a Bilayer Component
by María José de Jesús Valle, Lucía Conejero Leo, David López Díaz and Amparo Sánchez Navarro
Pharmaceuticals 2026, 19(1), 129; https://doi.org/10.3390/ph19010129 - 12 Jan 2026
Viewed by 269
Abstract
Pulmonary drug delivery represents a promising approach in the treatment of respiratory diseases, allowing for passive targeting and enhanced drug efficacy. Background/Objectives: The aim of the present study was to develop inhalable dry powders from lyophilized sildenafil citrate (SC)-loaded liposomes made from phosphatidylcholine [...] Read more.
Pulmonary drug delivery represents a promising approach in the treatment of respiratory diseases, allowing for passive targeting and enhanced drug efficacy. Background/Objectives: The aim of the present study was to develop inhalable dry powders from lyophilized sildenafil citrate (SC)-loaded liposomes made from phosphatidylcholine and either cholesterol (CH) or resveratrol (RSV). Methods: Liposomes were prepared via a pH gradient method to increase drug entrapment efficiency and drug loading, and then the liposomes were lyophilized using different proportions of ethanol, mannitol, and lactose as excipients. The resulting dry cakes were converted into powders and evaluated for aerodynamic performance using a custom-designed air-blowing device. Notably, this is the first time that resveratrol has been used as a substitute for cholesterol in SC-loaded liposomes. Results: Our results demonstrate that RSV is a suitable liposome bilayer component and improves drug loading. Our findings prove that lyophilized cakes containing liposomes produce a dry powder that is suitable for aerosolization with potential application to pulmonary delivery of sildenafil citrate. The results suggest that RSV represents a potential alternative to traditional cholesterol-based liposomal formulations. Conclusions: This work presents a novel strategy for the pulmonary delivery of sildenafil, using biocompatible and FDA-approved mannitol and lactose for this administration route. Full article
Show Figures

Figure 1

22 pages, 1021 KB  
Article
A Multiclass Machine Learning Framework for Detecting Routing Attacks in RPL-Based IoT Networks Using a Novel Simulation-Driven Dataset
by Niharika Panda and Supriya Muthuraman
Future Internet 2026, 18(1), 35; https://doi.org/10.3390/fi18010035 - 7 Jan 2026
Viewed by 358
Abstract
The use of resource-constrained Low-Power and Lossy Networks (LLNs), where the IPv6 Routing Protocol for LLNs (RPL) is the de facto routing standard, has increased due to the Internet of Things’ (IoT) explosive growth. Because of the dynamic nature of IoT deployments and [...] Read more.
The use of resource-constrained Low-Power and Lossy Networks (LLNs), where the IPv6 Routing Protocol for LLNs (RPL) is the de facto routing standard, has increased due to the Internet of Things’ (IoT) explosive growth. Because of the dynamic nature of IoT deployments and the lack of in-protocol security, RPL is still quite susceptible to routing-layer attacks like Blackhole, Lowered Rank, version number manipulation, and Flooding despite its lightweight architecture. Lightweight, data-driven intrusion detection methods are necessary since traditional cryptographic countermeasures are frequently unfeasible for LLNs. However, the lack of RPL-specific control-plane semantics in current cybersecurity datasets restricts the use of machine learning (ML) for practical anomaly identification. In order to close this gap, this work models both static and mobile networks under benign and adversarial settings by creating a novel, large-scale multiclass RPL attack dataset using Contiki-NG’s Cooja simulator. To record detailed packet-level and control-plane activity including DODAG Information Object (DIO), DODAG Information Solicitation (DIS), and Destination Advertisement Object (DAO) message statistics along with forwarding and dropping patterns and objective-function fluctuations, a protocol-aware feature extraction pipeline is developed. This dataset is used to evaluate fifteen classifiers, including Logistic Regression (LR), Support Vector Machine (SVM), Decision Tree (DT), k-Nearest Neighbors (KNN), Random Forest (RF), Extra Trees (ET), Gradient Boosting (GB), AdaBoost (AB), and XGBoost (XGB) and several ensemble strategies like soft/hard voting, stacking, and bagging, as part of a comprehensive ML-based detection system. Numerous tests show that ensemble approaches offer better generalization and prediction performance. With overfitting gaps less than 0.006 and low cross-validation variance, the Soft Voting Classifier obtains the greatest accuracy of 99.47%, closely followed by XGBoost with 99.45% and Random Forest with 99.44%. Full article
Show Figures

Graphical abstract

21 pages, 2266 KB  
Article
Path Optimization for Aircraft Based on Geographic Information Systems and Deep Learning
by Saadi Turied Kurdi, Luttfi A. Al-Haddad and Ahmed Ali Farhan Ogaili
Automation 2026, 7(1), 12; https://doi.org/10.3390/automation7010012 - 3 Jan 2026
Viewed by 346
Abstract
Autonomous navigation for agricultural UAVs faces persistent challenges due to atmospheric disturbances such as wind direction, temperature gradients, and pressure variations, which can lead to significant deviations from planned flight paths. This study presents a deep learning-based navigation approach that integrates geographic information [...] Read more.
Autonomous navigation for agricultural UAVs faces persistent challenges due to atmospheric disturbances such as wind direction, temperature gradients, and pressure variations, which can lead to significant deviations from planned flight paths. This study presents a deep learning-based navigation approach that integrates geographic information systems (GIS) with deep neural networks (DNNs) to improve energy efficiency and trajectory accuracy in agricultural UAV operations. To simulate realistic environmental disturbances, actual flight data from an Iraqi Airways short-haul route (Baghdad–Istanbul–Baghdad) were utilized. These trajectories were affected by both tailwinds and headwinds and were analyzed and modeled to train a DNN capable of predicting and correcting path deviations. The optimized system was then tested in a simulated agricultural UAV context. Results show that for tailwind conditions (Baghdad–Istanbul), the GIS-DNN model reduced fuel consumption by 610 L and flight time by 31 min compared to actual conditions. In headwind conditions (Istanbul–Baghdad), the model achieved a 558 L fuel saving and reduced the flight time by 28 min. Based on these results, it can be concluded that deep learning integrated with GIS can significantly enhance UAV path optimization for improved energy efficiency and mission reliability in precision agriculture. Full article
Show Figures

Figure 1

18 pages, 1947 KB  
Review
Effect of Sintering Atmosphere Control on the Surface Engineering of Catamold Steels Produced by MIM: A Review
by Jorge Luis Braz Medeiros, Carlos Otávio Damas Martins and Luciano Volcanoglo Biehl
Surfaces 2026, 9(1), 7; https://doi.org/10.3390/surfaces9010007 - 29 Dec 2025
Viewed by 497
Abstract
Metal Injection Molding (MIM) is an established, high-precision manufacturing route for small, geometrically complex metallic components, integrating polymer injection molding with powder metallurgy. State-of-the-art feedstock systems, such as Catamold (polyacetal-based), enable catalytic debinding performed in furnaces operating under ultra-high-purity nitric acid atmospheres (>99.999%). [...] Read more.
Metal Injection Molding (MIM) is an established, high-precision manufacturing route for small, geometrically complex metallic components, integrating polymer injection molding with powder metallurgy. State-of-the-art feedstock systems, such as Catamold (polyacetal-based), enable catalytic debinding performed in furnaces operating under ultra-high-purity nitric acid atmospheres (>99.999%). The subsequent thermal stages pre-sintering and sintering are carried out in continuous controlled-atmosphere furnaces or vacuum systems, typically employing inert (N2) or reducing (H2) atmospheres to meet the specific thermodynamic requirements of each alloy. However, incomplete decomposition or secondary volatilization of binder residues can lead to progressive hydrocarbon accumulation within the sinering chamber. These contaminants promote undesirable carburizing atmospheres, which, under austenitizing or intercritical conditions, increase carbon diffusion and generate uncontrolled surface carbon gradients. Such effects alter the microstructural evolution, hardness, wear behavior, and mechanical integrity of MIM steels. Conversely, inadequate dew point control may shift the atmosphere toward oxidizing regimes, resulting in surface decarburization and oxide formation effects that are particularly detrimental in stainless steels, tool steels, and martensitic alloys, where surface chemistry is critical for performance. This review synthesizes current knowledge on atmosphere-induced surface deviations in MIM steels, examining the underlying thermodynamic and kinetic mechanisms governing carbon transport, oxidation, and phase evolution. Strategies for atmosphere monitoring, contamination mitigation, and corrective thermal or thermochemical treatments are evaluated. Recommendations are provided to optimize surface substrate interactions and maximize the functional performance and reliability of MIM-processed steel components in demanding engineering applications. Full article
Show Figures

Figure 1

30 pages, 4360 KB  
Article
Development of a Reinforcement Learning-Based Ship Voyage Planning Optimization Method Applying Machine Learning-Based Berth Dwell-Time Prediction as a Time Constraint
by Youngseo Park, Suhwan Kim, Jeongon Eom and Sewon Kim
J. Mar. Sci. Eng. 2026, 14(1), 43; https://doi.org/10.3390/jmse14010043 - 25 Dec 2025
Viewed by 472
Abstract
Global container shipping faces increasing pressure to reduce fuel consumption and greenhouse gas (GHG) emissions while still meeting strict port schedules under highly uncertain terminal operations and met-ocean conditions. However, most existing voyage-planning approaches either ignore real port operation variability or treat fuel [...] Read more.
Global container shipping faces increasing pressure to reduce fuel consumption and greenhouse gas (GHG) emissions while still meeting strict port schedules under highly uncertain terminal operations and met-ocean conditions. However, most existing voyage-planning approaches either ignore real port operation variability or treat fuel optimization and just-in-time (JIT) arrival as separate problems, limiting their applicability in actual operations. This study presents a data-driven just-in-time voyage optimization framework that integrates port-side uncertainty and marine environmental dynamics into the routing process. A dwell-time prediction model based on Gradient Boosting was developed using port throughput and meteorological–oceanographic variables, achieving a validation accuracy of R2 = 0.84 and providing a data-driven required time of arrival (RTA) estimate. A Transformer encoder model was constructed to forecast fuel consumption from multivariate navigation and environmental data, and the model achieved a segment-level predictive performance with an R2 value of approximately 0.99. These predictive modules were embedded into a Deep Q-Network (DQN) routing model capable of optimizing headings and speed profiles under spatially varying ocean conditions. Experiments were conducted on three container-carrier routes in which the historical AIS trajectories served as operational benchmark routes. Compared with these AIS-based baselines, the optimized routes reduced fuel consumption and CO2 emissions by approximately 26% to 69%, while driving the JIT arrival deviation close to zero. The proposed framework provides a unified approach that links port operations, fuel dynamics, and ocean-aware route planning, offering practical benefits for smart and autonomous ship navigation. Full article
(This article belongs to the Special Issue Autonomous Ship and Harbor Maneuvering: Modeling and Control)
Show Figures

Figure 1

20 pages, 415 KB  
Article
Cross-Cancer Transfer Learning for Gastric Cancer Risk Prediction from Electronic Health Records
by Daeyoung Hong, Jiung Kim and Jiyong Jung
Diagnostics 2025, 15(24), 3175; https://doi.org/10.3390/diagnostics15243175 - 12 Dec 2025
Viewed by 546
Abstract
Background: Timely identification of individuals at elevated risk for gastric cancer (GC) within routine care could enable earlier endoscopy and referral. We posit that cancers within the gastrointestinal/hepatopancreatobiliary spectrum share signals that can be leveraged via transfer learning on electronic health records [...] Read more.
Background: Timely identification of individuals at elevated risk for gastric cancer (GC) within routine care could enable earlier endoscopy and referral. We posit that cancers within the gastrointestinal/hepatopancreatobiliary spectrum share signals that can be leveraged via transfer learning on electronic health records (EHRs) variables. Methods: We developed a cross-cancer transfer learning framework (TransferGC) on structured EHR data from the MIMIC-IV database, including 508 GC cases in the target cohort, that pretrains on non-gastric gastrointestinal/hepatopancreatobiliary cancers (colorectal, esophageal, liver, pancreatic) and then adapts to GC using only structured variables. We compared transfer variants against strong non-transfer baselines (logistic regression, XGBoost, architecturally matched multilayer perceptron), with area under the receiver operating characteristic curve (AUROC) and average precision (AP) as primary endpoints and F1 and sensitivity/specificity as secondary endpoints. Results: In the full-label setting, Transfer achieved AUROC 0.854 and AP 0.600, outperforming logistic regression (LR), extreme gradient boosting (XGB) and improving over the scratch multilayer perceptron (MLP) in AUROC (+0.024) and F1 (+0.027), while AP was essentially tied (Transfer 0.600 vs. MLP 0.603). As GC labels were reduced, Transfer maintained the strongest overall performance. Conclusions: Cross-cancer transfer on structured EHR data suggests a sample-efficient route to GC risk modeling under label scarcity. However, because all models were developed and evaluated using a single-center inpatient dataset, external validation on multi-center and outpatient cohorts will be essential to establish generalizability before deployment. If confirmed in future studies, the proposed framework could be integrated into EHR-based triage and clinical decision support workflows to flag patients at elevated GC risk for timely endoscopy and specialist referral. Full article
(This article belongs to the Section Machine Learning and Artificial Intelligence in Diagnostics)
Show Figures

Figure 1

34 pages, 6823 KB  
Article
Three-Dimensional Autonomous Navigation of Unmanned Underwater Vehicle Based on Deep Reinforcement Learning and Adaptive Line-of-Sight Guidance
by Jianya Yuan, Hongjian Wang, Bo Zhong, Chengfeng Li, Yutong Huang and Shaozheng Song
J. Mar. Sci. Eng. 2025, 13(12), 2360; https://doi.org/10.3390/jmse13122360 - 11 Dec 2025
Viewed by 431
Abstract
Unmanned underwater vehicles (UUVs) face significant challenges in achieving safe and efficient autonomous navigation in complex marine environments due to uncertain perception, dynamic obstacles, and nonlinear coupled motion control. This study proposes a hierarchical autonomous navigation framework that integrates improved particle swarm optimization [...] Read more.
Unmanned underwater vehicles (UUVs) face significant challenges in achieving safe and efficient autonomous navigation in complex marine environments due to uncertain perception, dynamic obstacles, and nonlinear coupled motion control. This study proposes a hierarchical autonomous navigation framework that integrates improved particle swarm optimization (PSO) for 3D global route planning, and a deep deterministic policy gradient (DDPG) algorithm enhanced by noisy networks and proportional prioritized experience replay (PPER) for local collision avoidance. To address dynamic sideslip and current-induced deviations during execution, a novel 3D adaptive line-of-sight (ALOS) guidance method is developed, which decouples nonlinear motion in horizontal and vertical planes and ensures robust tracking. The global planner incorporates a multi-objective cost function that considers yaw and pitch adjustments, while the improved PSO employs nonlinearly synchronized adaptive weights to enhance convergence and avoid local minima. For local avoidance, the proposed DDPG framework incorporates a memory-enhanced state–action representation, GRU-based temporal processing, and stratified sample replay to enhance learning stability and exploration. Simulation results indicate that the proposed method reduces route length by 5.96% and planning time by 82.9% compared to baseline algorithms in dynamic scenarios, it achieves an up to 11% higher success rate and 10% better efficiency than SAC and standard DDPG. The 3D ALOS controller outperforms existing guidance strategies under time-varying currents, ensuring smoother tracking and reduced actuator effort. Full article
(This article belongs to the Special Issue Design and Application of Underwater Vehicles)
Show Figures

Figure 1

28 pages, 4585 KB  
Article
Uncertainty-Aware Adaptive Intrusion Detection Using Hybrid CNN-LSTM with cWGAN-GP Augmentation and Human-in-the-Loop Feedback
by Clinton Manuel de Nascimento and Jin Hou
Safety 2025, 11(4), 120; https://doi.org/10.3390/safety11040120 - 5 Dec 2025
Viewed by 830
Abstract
Intrusion detection systems (IDSs) must operate under severe class imbalance, evolving attack behavior, and the need for calibrated decisions that integrate smoothly with security operations. We propose a human-in-the-loop IDS that combines a convolutional neural network and a long short-term memory network (CNN–LSTM) [...] Read more.
Intrusion detection systems (IDSs) must operate under severe class imbalance, evolving attack behavior, and the need for calibrated decisions that integrate smoothly with security operations. We propose a human-in-the-loop IDS that combines a convolutional neural network and a long short-term memory network (CNN–LSTM) classifier with a variational autoencoder (VAE)-seeded conditional Wasserstein generative adversarial network with gradient penalty (cWGAN-GP) augmentation and entropy-based abstention. Minority classes are reinforced offline via conditional generative adversarial (GAN) sampling, whereas high-entropy predictions are escalated for analysts and are incorporated into a curated retraining set. On CIC-IDS2017, the resulting framework delivered well-calibrated binary performance (ACC = 98.0%, DR = 96.6%, precision = 92.1%, F1 = 94.3%; baseline ECE ≈ 0.04, Brier ≈ 0.11) and substantially improved minority recall (e.g., Infiltration from 0% to >80%, Web Attack–XSS +25 pp, and DoS Slowhttptest +15 pp, for an overall +11 pp macro-recall gain). The deployed model remained lightweight (~42 MB, <10 ms per batch; ≈32 k flows/s on RTX-3050 Ti), and only approximately 1% of the flows were routed for human review. Extensive evaluation, including ROC/PR sweeps, reliability diagrams, cross-domain tests on CIC-IoT2023, and FGSM/PGD adversarial stress, highlights both the strengths and remaining limitations, notably residual errors on rare web attacks and limited IoT transfer. Overall, the framework provides a practical, calibrated, and extensible machine learning (ML) tier for modern IDS deployment and motivates future research on domain alignment and adversarial defense. Full article
Show Figures

Graphical abstract

18 pages, 894 KB  
Article
Simulation and Validation of Green Hydrogen for the Production of Renewable Diesel: Case Study in La Guajira, Colombia
by Adriana Lagos Herrera, Jose Herrera Arroyave, Dario Serrano-Florez and Marlon Bastidas-Barranco
Processes 2025, 13(12), 3913; https://doi.org/10.3390/pr13123913 - 3 Dec 2025
Viewed by 520
Abstract
This study validates green hydrogen (H2) production from a 15 kWe wind–solar PV microplant under real operating conditions and quantifies the renewable diesel (RD) potential from oil hydroprocessing (with palm oil as the base case) via detailed stoichiometric balances. The [...] Read more.
This study validates green hydrogen (H2) production from a 15 kWe wind–solar PV microplant under real operating conditions and quantifies the renewable diesel (RD) potential from oil hydroprocessing (with palm oil as the base case) via detailed stoichiometric balances. The electric output feeding two electrolyzers was monitored for six months (December 2024–May 2025). Three H2 production models were calibrated against the experimental results; the model with the best fit achieved R2 = 0.9848 and MSE = 130.05. Using the estimated H2 production, monthly balances were established for palm oil TAGs (POP, POO, POL, PLP, and SOS) across various deoxygenation routes—namely decarboxylation (DCX), decarbonylation (DCN), and hydrodeoxygenation (HDO)—with coproduct closure (propane, CO2/CO/H2O). The hybrid plant operated above the electrolyzers’ 2.88 kWe minimum, raising the effective H2 output (which peaked in February–March) and, thereby, the RD potential. The specific H2 demand followed the gradient of HDO > DCN > DCX; for POP, the global demand was 0.30 kg (saturation) + 1.20 kg (cracking) + 2.10 kg (DCN) or 2.55 kg (HDO), highlighting the carbon–hydrogen trade-off. The results indicate that green-H2–HDO integration is technically feasible and scalable in La Guajira; the choice of route (DCX/DCN vs. HDO) should align with local renewable availability to either maximize the liters of RD per kg H2 or conserve carbon. Full article
(This article belongs to the Special Issue Biofuels Production Processes)
Show Figures

Figure 1

27 pages, 6107 KB  
Article
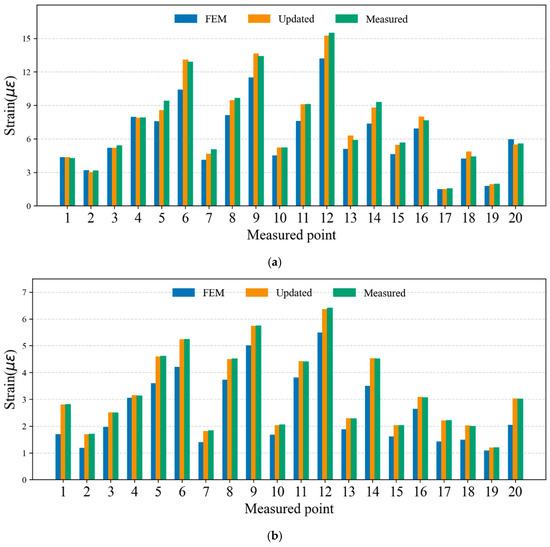
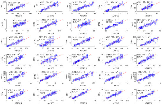
A High-Dimensional Parameter Identification Method for Pipelines Based on Static Strain and DNN Surrogate Models to Accelerate Langevin Bayesian Inference
by Li Chen, Zhifeng Wu, Yanwen Liu and Zhiyong Li
Buildings 2025, 15(23), 4254; https://doi.org/10.3390/buildings15234254 - 25 Nov 2025
Viewed by 395
Abstract
This study develops a Bayesian parameter identification framework that uses static strain measurements to update pipeline structural models under complex boundary conditions. Because strain responses are directly linked to internal stress states and are much less sensitive to boundary condition uncertainty, the proposed [...] Read more.
This study develops a Bayesian parameter identification framework that uses static strain measurements to update pipeline structural models under complex boundary conditions. Because strain responses are directly linked to internal stress states and are much less sensitive to boundary condition uncertainty, the proposed approach retains high identification accuracy where conventional methods based on static displacements or modal data are difficult to apply. The method employs the Metropolis-Adjusted Langevin Algorithm (MALA), a gradient-based MCMC scheme with a Metropolis correction that ensures asymptotically exact sampling, to handle the high dimensional parameter space, and integrates a deep neural network (DNN) surrogate model to accelerate sampling. A numerical example demonstrates the efficiency of MALA in high dimensional settings by exploiting the gradient of the log posterior to guide proposals, successfully identifying the stiffness of 30 pipeline segments and showing that combining axial and hoop direction strain data yields more accurate estimates. An experimental case on a real pipeline corroborates the effectiveness of the approach, reducing the mean absolute error (MAE) of predicted strains from 27.3% to 4.2% after updating. Overall, by coupling MALA with a DNN surrogate, the study establishes a static-strain-based Bayesian inference framework for high dimensional parameter identification in pipelines with complex boundaries, providing a practical route for engineering applications and supporting reliable structural safety assessment. Full article
(This article belongs to the Section Building Structures)
Show Figures

Figure 1

35 pages, 6084 KB  
Review
Advances in the Design and Development of Lightweight Metal Matrix Composites: Processing, Properties, and Applications
by Sónia Simões
Metals 2025, 15(12), 1281; https://doi.org/10.3390/met15121281 - 23 Nov 2025
Viewed by 1228
Abstract
Lightweight metal matrix composites (MMCs) continue to attract significant interest due to their potential to deliver high mechanical performance at reduced weight, meeting the increasing demands of aerospace, automotive and advanced manufacturing sectors. Among these systems, aluminum-, magnesium- and titanium-based MMCs stand out [...] Read more.
Lightweight metal matrix composites (MMCs) continue to attract significant interest due to their potential to deliver high mechanical performance at reduced weight, meeting the increasing demands of aerospace, automotive and advanced manufacturing sectors. Among these systems, aluminum-, magnesium- and titanium-based MMCs stand out for their favorable strength-to-weight ratios, corrosion resistance and versatility in processing. Although numerous studies have explored individual MMC families, the literature still lacks comparative reviews that integrate quantitative mechanical data with a broad evaluation of processing, microstructural control and application-driven performance. This review addresses these gaps by providing a comprehensive and data-driven assessment of lightweight MMCs. Recent advances in reinforcement strategies, hybrid architectures and processing routes—including friction stir processing, powder metallurgy and semi-solid techniques—are systematically examined. Emerging developments in syntactic metal foams and functionally gradient MMCs are analyzed in detail, along with practical considerations such as machinability, corrosion resistance, and high-temperature performance, integrated with AI/machine learning for predictive optimization. Overall, this work provides an integrated and critical perspective on the capabilities, limitations, and design trade-offs of lightweight MMCs, positioning them as sustainable and high-performance alternatives for extreme environments. By combining qualitative insights with quantitative meta-analyses and new experimental contributions, it offers a valuable reference for researchers and engineers seeking to optimize material selection and tailor the performance of MMCs for next-generation lightweight structures, surpassing previous reviews through holistic and innovation-driven insights. Full article
(This article belongs to the Special Issue Design and Development of Metal Matrix Composites (2nd Edition))
Show Figures

Figure 1

Back to TopTop