Sign in to use this feature.

Years

Between: -

Subjects

remove_circle_outline
remove_circle_outline
remove_circle_outline
remove_circle_outline
remove_circle_outline
remove_circle_outline
remove_circle_outline
remove_circle_outline
remove_circle_outline

Journals

remove_circle_outline
remove_circle_outline
remove_circle_outline
remove_circle_outline
remove_circle_outline

Article Types

Countries / Regions

remove_circle_outline
remove_circle_outline
remove_circle_outline
remove_circle_outline
remove_circle_outline
remove_circle_outline

Search Results (720)

Search Parameters:
Keywords = gradient descent method

Order results
Result details
Results per page
Select all
Export citation of selected articles as:
31 pages, 4595 KB  
Article
Cooperative Coverage Control for Heterogeneous AUVs Based on Control Barrier Functions and Consensus Theory
by Fengxiang Mao, Dongsong Zhang, Liang Xu and Rui Wang
Sensors 2026, 26(3), 822; https://doi.org/10.3390/s26030822 - 26 Jan 2026
Abstract
This paper addresses the problem of cooperative coverage control for heterogeneous Autonomous Underwater Vehicle (AUV) swarms operating in complex underwater environments. The objective is to achieve optimal coverage of a target region while simultaneously ensuring collision avoidance—both among AUVs and with static obstacles—and [...] Read more.
This paper addresses the problem of cooperative coverage control for heterogeneous Autonomous Underwater Vehicle (AUV) swarms operating in complex underwater environments. The objective is to achieve optimal coverage of a target region while simultaneously ensuring collision avoidance—both among AUVs and with static obstacles—and satisfying the inherent dynamic constraints of the AUVs. To this end, we propose a hierarchical control framework that fuses Control Barrier Functions (CBFs) with consensus theory. First, addressing the heterogeneity and limited sensing ranges of the AUVs, a cooperative coverage model based on a modified Voronoi partition is constructed. A nominal controller based on consensus theory is designed to balance the ratio of task workload to individual capability for each AUV. By minimizing a Lyapunov-like function via gradient descent, the swarm achieves self-organized optimal coverage. Second, to guarantee system safety, multiple safety constraints are designed for the AUV double-integrator dynamics, utilizing Zeroing Control Barrier Functions (ZCBFs) and High-Order Control Barrier Functions (HOCBFs). This approach unifies the handling of collision avoidance and velocity limitations. Finally, the nominal coverage controller and safety constraints are integrated into a Quadratic Programming (QP) formulation. This constitutes a safety-critical layer that modifies the control commands in a minimally invasive manner. Theoretical analysis demonstrates the stability of the framework, the forward invariance of the safe set, and the convergence of the coverage task. Simulation experiments verify the effectiveness and robustness of the proposed method in navigating obstacles and efficiently completing heterogeneous cooperative coverage tasks in complex environments. Full article
(This article belongs to the Section Sensors and Robotics)
24 pages, 741 KB  
Article
Restoration of Distribution Network Power Flow Solutions Considering the Conservatism Impact of the Feasible Region from the Convex Inner Approximation Method
by Zirong Chen, Yonghong Huang, Xingyu Liu, Shijia Zang and Junjun Xu
Energies 2026, 19(3), 609; https://doi.org/10.3390/en19030609 - 24 Jan 2026
Viewed by 90
Abstract
Under the “Dual Carbon” strategy, high-penetration integration of distributed generators (DG) into distribution networks has triggered bidirectional power flow and reactive power-voltage violations. This phenomenon undermines the accuracy guarantee of conventional relaxation models (represented by second-order cone programming, SOCP), causing solutions to deviate [...] Read more.
Under the “Dual Carbon” strategy, high-penetration integration of distributed generators (DG) into distribution networks has triggered bidirectional power flow and reactive power-voltage violations. This phenomenon undermines the accuracy guarantee of conventional relaxation models (represented by second-order cone programming, SOCP), causing solutions to deviate from the AC power flow feasible region. Notably, ensuring solution feasibility becomes particularly crucial in engineering practice. To address this problem, this paper proposes a collaborative optimization framework integrating convex inner approximation (CIA) theory and a solution recovery algorithm. First, a system relaxation model is constructed using CIA, which strictly enforces ACPF constraints while preserving the computational efficiency of convex optimization. Second, aiming at the conservatism drawback introduced by the CIA method, an admissible region correction strategy based on Stochastic Gradient Descent is designed to narrow the dual gap of the solution. Furthermore, a multi-objective optimization framework is established, incorporating voltage security, operational economy, and renewable energy accommodation rate. Finally, simulations on the IEEE 33/69/118-bus systems demonstrate that the proposed method outperforms the traditional SOCP approach in the 24 h sequential optimization, reducing voltage deviation by 22.6%, power loss by 24.7%, and solution time by 45.4%. Compared with the CIA method, it improves the DG utilization rate by 30.5%. The proposed method exhibits superior generality compared to conventional approaches. Within the upper limit range of network penetration (approximately 60%), it addresses the issue of conservative power output of DG, thereby effectively promoting the utilization of renewable energy. Full article
15 pages, 1044 KB  
Article
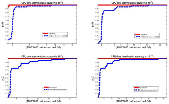
Rapid Gradient Descent Method for Low-Rank Matrix Recovery
by Yujing Zhang, Peng Wang and Detong Zhu
Mathematics 2026, 14(2), 343; https://doi.org/10.3390/math14020343 - 20 Jan 2026
Viewed by 85
Abstract
In this paper, we present a rapid gradient descent method for solving low-rank matrix recovery problems. Our method extends the conventional gradient descent framework by exploiting the problem’s unique features to develop an innovative fast gradient computation technique that lowers the computational cost [...] Read more.
In this paper, we present a rapid gradient descent method for solving low-rank matrix recovery problems. Our method extends the conventional gradient descent framework by exploiting the problem’s unique features to develop an innovative fast gradient computation technique that lowers the computational cost of gradient evaluation. The introduced adaptive step size selection strategy not only eliminates the need for the heavy calculations usually involved in finding the descent direction but also guarantees a consistent decrease in the objective function at every iteration. Additionally, we offer a proof confirming the algorithm’s convergence. Numerical experiments are provided to show the efficiency of the proposed algorithm. Full article
Show Figures

Figure 1

32 pages, 999 KB  
Article
A Robust Hybrid Metaheuristic Framework for Training Support Vector Machines
by Khalid Nejjar, Khalid Jebari and Siham Rekiek
Algorithms 2026, 19(1), 70; https://doi.org/10.3390/a19010070 - 13 Jan 2026
Viewed by 92
Abstract
Support Vector Machines (SVMs) are widely used in critical decision-making applications, such as precision agriculture, due to their strong theoretical foundations and their ability to construct an optimal separating hyperplane in high-dimensional spaces. However, the effectiveness of SVMs is highly dependent on the [...] Read more.
Support Vector Machines (SVMs) are widely used in critical decision-making applications, such as precision agriculture, due to their strong theoretical foundations and their ability to construct an optimal separating hyperplane in high-dimensional spaces. However, the effectiveness of SVMs is highly dependent on the efficiency of the optimization algorithm used to solve their underlying dual problem, which is often complex and constrained. Classical solvers, such as Sequential Minimal Optimization (SMO) and Stochastic Gradient Descent (SGD), present inherent limitations: SMO ensures numerical stability but lacks scalability and is sensitive to heuristics, while SGD scales well but suffers from unstable convergence and limited suitability for nonlinear kernels. To address these challenges, this study proposes a novel hybrid optimization framework based on Open Competency Optimization and Particle Swarm Optimization (OCO–PSO) to enhance the training of SVMs. The proposed approach combines the global exploration capability of PSO with the adaptive competency-based learning mechanism of OCO, enabling efficient exploration of the solution space, avoidance of local minima, and strict enforcement of dual constraints on the Lagrange multipliers. Across multiple datasets spanning medical (diabetes), agricultural yield, signal processing (sonar and ionosphere), and imbalanced synthetic data, the proposed OCO-PSO–SVM consistently outperforms classical SVM solvers (SMO and SGD) as well as widely used classifiers, including decision trees and random forests, in terms of accuracy, macro-F1-score, Matthews correlation coefficient (MCC), and ROC-AUC. On the Ionosphere dataset, OCO-PSO achieves an accuracy of 95.71%, an F1-score of 0.954, and an MCC of 0.908, matching the accuracy of random forest while offering superior interpretability through its kernel-based structure. In addition, the proposed method yields a sparser model with only 66 support vectors compared to 71 for standard SVC (a reduction of approximately 7%), while strictly satisfying the dual constraints with a near-zero violation of 1.3×103. Notably, the optimal hyperparameters identified by OCO-PSO (C=2, γ0.062) differ substantially from those obtained via Bayesian optimization for SVC (C=10, γ0.012), indicating that the proposed approach explores alternative yet equally effective regions of the hypothesis space. The statistical significance and robustness of these improvements are confirmed through extensive validation using 1000 bootstrap replications, paired Student’s t-tests, Wilcoxon signed-rank tests, and Holm–Bonferroni correction. These results demonstrate that the proposed metaheuristic hybrid optimization framework constitutes a reliable, interpretable, and scalable alternative for training SVMs in complex and high-dimensional classification tasks. Full article
Show Figures

Figure 1

23 pages, 3647 KB  
Article
A Physics-Aware Latent Diffusion Framework for Mitigating Adversarial Perturbations in Manufacturing Quality Control
by Nikolaos Nikolakis and Paolo Catti
Future Internet 2026, 18(1), 23; https://doi.org/10.3390/fi18010023 - 1 Jan 2026
Viewed by 399
Abstract
Data-driven quality control (QC) systems for the hot forming of steel parts increasingly rely on deep learning models deployed at the network edge, making multivariate sensor time series a critical asset for both local decisions and management information system (MIS) reporting. However, these [...] Read more.
Data-driven quality control (QC) systems for the hot forming of steel parts increasingly rely on deep learning models deployed at the network edge, making multivariate sensor time series a critical asset for both local decisions and management information system (MIS) reporting. However, these models are vulnerable to adversarial perturbations and realistic signal disturbances, which can induce misclassification and distort key performance indicators (KPIs) such as first-pass yield (FPY), scrap-related losses, and latency service-level objectives (SLOs). To address this risk, this study introduces a Digital-Twin-Conditioned Diffusion Purification (DTCDP) framework that constrains latent diffusion-based denoising using process states from a lightweight digital twin of the hot-forming line. At each reverse-denoising step, the twin provides physics residuals that are converted into a scalar penalty, and the diffusion latent is updated with a guidance term. This directly bends the sampling trajectory toward reconstructions that adhere to process constraints while removing adversarial perturbations. DTCDP operates as an edge-side preprocessing module that purifies sensor sequences before they are consumed by existing long short-term memory (LSTM)-based QC models, while exposing purification metadata and physics-guidance diagnostics to the plant MIS. In a four-week production dataset comprising more than 40,000 bars, with white-box ℓ∞ attacks crafted on multivariate sensor time series using Fast Gradient Sign Method and Projected Gradient Descent at perturbation budgets of 1–3% of the physical range, combined with additional realistic disturbances, DTCDP improves the robust classification performance of an LSTM-based QC model from 61.0% to 81.5% robust accuracy, while keeping clean accuracy (≈93%) and FPY on clean data (≈97%) essentially unchanged. These results indicate that physics-aware, digital-twin-guided diffusion purification can enhance the adversarial robustness of edge QC in hot forming without compromising operational KPIs. Full article
(This article belongs to the Special Issue Cloud and Edge Computing for the Next-Generation Networks)
Show Figures

Figure 1

18 pages, 727 KB  
Article
Research on the Reliability of Lithium-Ion Battery Systems for Sustainable Development: Life Prediction and Reliability Evaluation Methods Under Multi-Stress Synergy
by Jiayin Tang, Jianglin Xu and Yamin Mao
Sustainability 2026, 18(1), 377; https://doi.org/10.3390/su18010377 - 30 Dec 2025
Viewed by 307
Abstract
Driven by the dual imperatives of global energy transition and sustainable development goals, lithium-ion batteries, as critical energy storage carriers, have seen the assessment of their lifecycle reliability and durability become a core issue underpinning the sustainable operation of clean energy systems. Grounded [...] Read more.
Driven by the dual imperatives of global energy transition and sustainable development goals, lithium-ion batteries, as critical energy storage carriers, have seen the assessment of their lifecycle reliability and durability become a core issue underpinning the sustainable operation of clean energy systems. Grounded in a multidimensional perspective of sustainable development, this study aims to establish a quantifiable and monitorable battery reliability evaluation framework to address the challenges to lifespan and performance sustainability faced by batteries under complex multi-stress coupled operating conditions. Lithium-ion batteries are widely used across various fields, making an accurate assessment of their reliability crucial. In this study, to evaluate the lifespan and reliability of lithium-ion batteries when operating in various coupling stress environments, a multi-stress collaborative accelerated model(MCAM) considering interaction is established. The model takes into account the principal stress effects and the interaction effects. The former is developed based on traditional acceleration models (such as the Arrhenius model), while the latter is constructed through the combination of exponential, power, and logarithmic functions. This study firstly considers the scale parameter of the Weibull distribution as an acceleration effect, and the relationship between characteristic life and stresses is explored through the synergistic action of primary and interaction effects. Subsequently, a multi-stress maximum likelihood estimation method that considers interaction effects is formulated, and the model parameters are estimated using the gradient descent algorithm. Finally, the validity of the proposed model is demonstrated through simulation, and numerical examples on lithium-ion batteries demonstrate that accurate lifetime prediction is enabled by the MCAM, with test duration, cost, and resource consumption significantly reduced. This study not only provides a scientific quantitative tool for advancing the sustainability assessment of battery systems, but also offers methodological support for relevant policy formulation, industry standard optimization, and full lifecycle management, thereby contributing to the synergistic development of energy storage technology across the economic, environmental, and social dimensions of sustainability. Full article
(This article belongs to the Section Sustainable Engineering and Science)
Show Figures

Figure 1

27 pages, 2115 KB  
Article
Simulated Annealing–Guided Geometric Descent-Optimized Frequency-Domain Compression-Based Acquisition Algorithm
by Fangming Zhou, Wang Wang, Yin Xiao and Chen Zhou
Sensors 2026, 26(1), 220; https://doi.org/10.3390/s26010220 - 29 Dec 2025
Cited by 1 | Viewed by 343
Abstract
Global Navigation Satellite System (GNSS) signal acquisition in high-dynamic environments faces significant challenges due to large Doppler frequency offsets and stringent computational constraints. This paper proposes a frequency-domain compressed acquisition algorithm that reformulates the conventional two-dimensional code-phase/Doppler search as a set of independent [...] Read more.
Global Navigation Satellite System (GNSS) signal acquisition in high-dynamic environments faces significant challenges due to large Doppler frequency offsets and stringent computational constraints. This paper proposes a frequency-domain compressed acquisition algorithm that reformulates the conventional two-dimensional code-phase/Doppler search as a set of independent one-dimensional sparse recovery problems. Doppler uncertainty is modeled as sparsity in a discretized frequency dictionary, and a low-coherence measurement matrix is designed offline via projected gradient descent with a two-stage annealing strategy. The resulting matrix significantly reduces maximum coherence and supports reliable sparse recovery from a small number of compressed measurements. During online operation, the receiver forms compressed observations for all code phases through efficient matrix operations and recovers sparse Doppler spectra using lightweight orthogonal matching pursuit. Simulation results show that the proposed method achieves a several-fold reduction in computational cost compared with classical parallel code-phase search while maintaining high detection probability at low carrier-to-noise density ratios and under large Doppler offsets, providing an effective solution for resource-constrained GNSS receivers in high-dynamic scenarios. Full article
(This article belongs to the Section Navigation and Positioning)
Show Figures

Figure 1

19 pages, 4080 KB  
Article
Adaptive Path Planning for Robotic Winter Jujube Harvesting Using an Improved RRT-Connect Algorithm
by Anxiang Huang, Meng Zhou, Mengfei Liu, Yunxiao Pan, Jiapan Guo and Yaohua Hu
Agriculture 2026, 16(1), 47; https://doi.org/10.3390/agriculture16010047 - 25 Dec 2025
Viewed by 322
Abstract
Winter jujube harvesting is traditionally labor-intensive, yet declining labor availability and rising costs necessitate robotic automation to maintain agricultural competitiveness. Path planning for robotic arms in orchards faces challenges due to the unstructured, dynamic environment containing densely packed fruits and branches. To overcome [...] Read more.
Winter jujube harvesting is traditionally labor-intensive, yet declining labor availability and rising costs necessitate robotic automation to maintain agricultural competitiveness. Path planning for robotic arms in orchards faces challenges due to the unstructured, dynamic environment containing densely packed fruits and branches. To overcome the limitations of existing robotic path planning methods, this research proposes BMGA-RRT Connect (BVH-based Multilevel-step Gradient-descent Adaptive RRT), a novel algorithm integrating adaptive multilevel step-sizing, hierarchical Bounding Volume Hierarchy (BVH)-based collision detection, and gradient-descent path smoothing. Initially, an adaptive step-size strategy dynamically adjusts node expansions, optimizing efficiency and avoiding collisions; subsequently, a hierarchical BVH improves collision-detection speed, significantly reducing computational time; finally, gradient-descent smoothing enhances trajectory continuity and path quality. Comprehensive 2D and 3D simulation experiments, dynamic obstacle validations, and real-world winter jujube harvesting trials were conducted to assess algorithm performance. Results showed that BMGA-RRT Connect significantly reduced average computation time to 2.23 s (2D) and 7.12 s (3D), outperforming traditional algorithms in path quality, stability, and robustness. Specifically, BMGA-RRT Connect achieved 100% path planning success and 90% execution success in robotic harvesting tests. These findings demonstrate that BMGA-RRT Connect provides an efficient, stable, and reliable solution for robotic harvesting in complex, unstructured agricultural settings, offering substantial promise for practical deployment in precision agriculture. Full article
(This article belongs to the Section Agricultural Technology)
Show Figures

Figure 1

17 pages, 3369 KB  
Article
Gradient-Descent-Based Control of Moving Deposition for Large-Aperture Multilayer Films
by Hanwen Hu, Haolong Tang, Yanchao Wang, Zhen Liu, Zhonghua Li and Wenkai Gao
Coatings 2026, 16(1), 16; https://doi.org/10.3390/coatings16010016 - 22 Dec 2025
Viewed by 263
Abstract
To address the challenge of achieving uniform coating on large-aperture substrates with significant sagittal height differences, this study employs a conventional-sized movable sputtering target combined with substrate rotation to realize high-uniformity control. The research establishes a geometric deposition model for the spatial thickness [...] Read more.
To address the challenge of achieving uniform coating on large-aperture substrates with significant sagittal height differences, this study employs a conventional-sized movable sputtering target combined with substrate rotation to realize high-uniformity control. The research establishes a geometric deposition model for the spatial thickness distribution of thin films on large-aperture, high-sagittal-height substrates and develops a precise control method for the deposition distribution on the substrate surface. Using the gradient descent algorithm, an optimal velocity modulation curve is calculated, and the spatial thickness distribution under this curve is determined. Compared with traditional least-squares optimization, this method effectively overcomes the issues of slow computation speed and poor convergence in large-scale numerical calculations, enabling rapid and uniform spatial control of large-aperture substrates. Calculation results demonstrate that the proposed method reduces the film non-uniformity from over 60% to a final value of 2.66%, with a corresponding PV value of 2.61%, across the 6550 mm aperture, showcasing its high precision. Full article
(This article belongs to the Section Thin Films)
Show Figures

Figure 1

18 pages, 1644 KB  
Article
Stabilizing the Convergence of Pixel-Based Deep Active Inference Controllers Using Adaptive Smoothing Filters
by Kazuma Nagatsuka, Kyo Kutsuzawa, Dai Owaki and Mitsuhiro Hayashibe
Biomimetics 2026, 11(1), 1; https://doi.org/10.3390/biomimetics11010001 - 19 Dec 2025
Viewed by 349
Abstract
In recent years, active inference has gained attention in robot control owing to its adaptability to environmental changes. However, its reliance on gradient descent of variational free energy offers no guarantee of convergence to an optimal solution. In this study, we propose an [...] Read more.
In recent years, active inference has gained attention in robot control owing to its adaptability to environmental changes. However, its reliance on gradient descent of variational free energy offers no guarantee of convergence to an optimal solution. In this study, we propose an approach that applies a smoothing filter to a pixel-based active inference controller to mitigate the risk of local minima. By smoothing the observed, predicted, and target values, the free energy function becomes smoother, yielding a broader distribution of gradients toward the target, thereby reducing the risk of being trapped in the local minima. In addition, in order to prevent excessive smoothing from eliminating the gradient of the free energy function, we also proposed a method for dynamically adjusting the intensity of smoothing based on prediction and target errors. To evaluate the effectiveness of our method, we applied it to two simulation environments: a simple object-tracking task using a 3-degrees-of-freedom camera, and a robot control task using a 2-degrees-of-freedom robotic arm, and compared it with the conventional active inference controller as a baseline. The experimental results demonstrate that the proposed approach achieves improved convergence performance over the conventional method. Full article
(This article belongs to the Section Locomotion and Bioinspired Robotics)
Show Figures

Figure 1

14 pages, 990 KB  
Proceeding Paper
Localization of Unknown Nodes on UWSN Using the Linear Constraint Optimization Technique Based on Energy and Distance (LUCOTED)
by Hamid Ouidir, Amine Berqia and Siham Aouad
Eng. Proc. 2025, 112(1), 79; https://doi.org/10.3390/engproc2025112079 - 16 Dec 2025
Viewed by 215
Abstract
Underwater Wireless Sensor Networks (UWSNs) are widely used technologies in aquatic environments. However, these types of networks face several constraints caused by the mobility of nodes, energy consumption, and constraints due to acoustic communication. In light of this, the location of nodes appears [...] Read more.
Underwater Wireless Sensor Networks (UWSNs) are widely used technologies in aquatic environments. However, these types of networks face several constraints caused by the mobility of nodes, energy consumption, and constraints due to acoustic communication. In light of this, the location of nodes appears as a promising axis for improving the services expected from these networks. To address these, we suggest the LUCOTED approach—a Linear Constraint Optimization Technique for estimating unknown node positions by selecting anchor nodes with the highest energy and shortest distance, based on randomly initialized conditions. It achieves 98% accuracy, exceeding Gradient Descent and Trilateration methods. Moreover, our method LUCOTED outperforms the DEEC algorithm in terms of error when the number of anchor nodes is below 80 and achieves higher accuracy than the EPRP technique when the number exceeds 100. Full article
Show Figures

Figure 1

28 pages, 55148 KB  
Article
A Hybrid Motion Compensation Scheme for THz-SAR with Composite Modulated Waveform
by Chongzheng Wu, Yanpeng Shi, Xijian Zhang and Yifei Zhang
Remote Sens. 2025, 17(24), 4036; https://doi.org/10.3390/rs17244036 - 15 Dec 2025
Viewed by 468
Abstract
Terahertz Synthetic Aperture Radar (THz-SAR) is highly sensitive to platform vibrations and trajectory deviations, which introduce severe phase errors and limited resolution. Typically, platform vibrations and trajectory deviations are investigated individually, and vibrations are modeled as a stationary sine term. In this work, [...] Read more.
Terahertz Synthetic Aperture Radar (THz-SAR) is highly sensitive to platform vibrations and trajectory deviations, which introduce severe phase errors and limited resolution. Typically, platform vibrations and trajectory deviations are investigated individually, and vibrations are modeled as a stationary sine term. In this work, a hybrid motion compensation (MOCO) scheme is proposed to address both platform vibrations and trajectory deviations simultaneously, achieving improved imaging quality. The scheme initiates with a parameter self-adaptive quadratic Kalman filter designed to resolve severe phase wrapping. Then, platform vibration is modeled as a non-stationary multi-sine term, whose components are accurately extracted using an improved signal decomposition algorithm enhanced by a dynamic noise adjustment mechanism. Subsequently, the trajectory deviation is parameterized following subaperture division, estimated using a hybrid optimizer that combines particle swarm optimization and gradient descent. Additionally, a composite modulated waveform application ensures low sidelobes and a low probability of intercept (LPI). Extensive simulations on point targets and complex scenes under various signal-to-noise-ratio (SNR) conditions are applied for SAR image reconstruction, demonstrating robust suppression of motion errors. Under identical simulated error conditions, the proposed method achieves an azimuth resolution of 4.28 cm, which demonstrates superior performance compared to the reported MOCO techniques. Full article
Show Figures

Figure 1

19 pages, 2938 KB  
Article
Adaptive Funnel Control of Hydraulic Excavator Based on Neural Network
by Yuhe Li and Xiaowen Qi
Machines 2025, 13(12), 1132; https://doi.org/10.3390/machines13121132 - 9 Dec 2025
Viewed by 369
Abstract
To address the challenge of controlling the hydraulic excavator’s precise motion, a nonlinear backstepping control algorithm is designed, combining a funnel function and a neural network (NN), which effectively compensates for the influence of unmodeled dynamics and external disturbances on the hydraulic excavator’s [...] Read more.
To address the challenge of controlling the hydraulic excavator’s precise motion, a nonlinear backstepping control algorithm is designed, combining a funnel function and a neural network (NN), which effectively compensates for the influence of unmodeled dynamics and external disturbances on the hydraulic excavator’s control system. Specifically, an improved funnel function is introduced to characterize both the steady-state and transient performance of the system simultaneously, thereby limiting the joint tracking error within predetermined performance constraints and enhancing the trajectory tracking accuracy. Two RBFNN estimators are employed to address the uncertain coupled mechanical dynamics and nonlinear hydraulic dynamics, respectively. The weight updating law is generated based on the gradient descent method, which can prevent high-gain feedback and enhance the system’s robustness. Finally, the stability of the closed-loop system is rigorously proven using the Lyapunov function analysis method. To verify the effectiveness of the proposed algorithm, simulations and experimental research are conducted under various external disturbances, using the excavator’s flat working condition as a case study. The results demonstrate that the controller maintains good control performance and robustness even in the presence of uncertainties and external disturbances within the system. Full article
(This article belongs to the Section Automation and Control Systems)
Show Figures

Figure 1

25 pages, 17533 KB  
Article
Mirror Descent and Exponentiated Gradient Algorithms Using Trace-Form Entropies
by Andrzej Cichocki, Toshihisa Tanaka, Frank Nielsen and Sergio Cruces
Entropy 2025, 27(12), 1243; https://doi.org/10.3390/e27121243 - 8 Dec 2025
Viewed by 934
Abstract
This paper introduces a broad class of Mirror Descent (MD) and Generalized Exponentiated Gradient (GEG) algorithms derived from trace-form entropies defined via deformed logarithms. Leveraging these generalized entropies yields MD and GEG algorithms with improved convergence behavior, robustness against vanishing and exploding gradients, [...] Read more.
This paper introduces a broad class of Mirror Descent (MD) and Generalized Exponentiated Gradient (GEG) algorithms derived from trace-form entropies defined via deformed logarithms. Leveraging these generalized entropies yields MD and GEG algorithms with improved convergence behavior, robustness against vanishing and exploding gradients, and inherent adaptability to non-Euclidean geometries through mirror maps. We establish deep connections between these methods and Amari’s natural gradient, revealing a unified geometric foundation for additive, multiplicative, and natural gradient updates. Focusing on the Tsallis, Kaniadakis, Sharma–Taneja–Mittal, and Kaniadakis–Lissia–Scarfone entropy families, we show that each entropy induces a distinct Riemannian metric on the parameter space, leading to GEG algorithms that preserve the natural statistical geometry. The tunable parameters of deformed logarithms enable adaptive geometric selection, providing enhanced robustness and convergence over classical Euclidean optimization. Overall, our framework unifies key first-order MD optimization methods under a single information-geometric perspective based on generalized Bregman divergences, where the choice of entropy determines the underlying metric and dual geometric structure. Full article
Show Figures

Figure 1

21 pages, 5877 KB  
Article
High-Resolution Low-Sidelobe Waveform Design Based on HFPFM Coding Model for SAR
by Yu Gao, Guodong Jin, Xifeng Zhang and Daiyin Zhu
Sensors 2025, 25(23), 7383; https://doi.org/10.3390/s25237383 - 4 Dec 2025
Viewed by 382
Abstract
Radar waveform design is an important approach to radar system performance enhancement. For a long time, synthetic aperture radar (SAR) systems have utilized linear frequency modulation (LFM) waveforms as transmitted signals and have relied on window functions to suppress sidelobes. However, this approach [...] Read more.
Radar waveform design is an important approach to radar system performance enhancement. For a long time, synthetic aperture radar (SAR) systems have utilized linear frequency modulation (LFM) waveforms as transmitted signals and have relied on window functions to suppress sidelobes. However, this approach significantly degrades system signal-to-noise ratio (SNR) and resolution. Nonlinear frequency modulation (NLFM) waveforms can suppress sidelobes without SNR loss and have been widely applied in the SAR field in recent years. Nonetheless, they still cannot completely avoid resolution loss. To address this, this article, based on an advanced High-Freedom Parameterized Frequency Modulation (HFPFM) coding model, constructs a waveform sidelobe optimization model constrained by mainlobe widening and solves it using a gradient descent method. Through detailed experiments, we found that the optimized waveform, compared to the LFM waveform, can reduce sidelobes by more than 9 dB without widening the mainlobe, thereby simultaneously avoiding the resolution and SNR losses caused by window function weighting. In addition, this optimization method can efficiently and rapidly optimize all parameters simultaneously using only matrix multiplication and fast Fourier transform (FFT)/inverse fast Fourier transform (IFFT). The SAR point target imaging simulation results verify that the optimized waveform can clearly image weak targets near strong targets, which proves the effectiveness of the proposed method. Full article
(This article belongs to the Special Issue SAR Imaging Technologies and Applications)
Show Figures

Figure 1

Back to TopTop