sensors-logo

Journal Browser

Journal Browser

SAR Imaging Technologies and Applications

A special issue of Sensors (ISSN 1424-8220). This special issue belongs to the section "Remote Sensors".

Deadline for manuscript submissions: 25 August 2026 | Viewed by 5967

Special Issue Editor

Key Laboratory of Radar Imaging and Microwave Photonics, Nanjing University of Aeronautics and Astronautics, Nanjing 211106, China
Interests: radar image processing; target recognition; deep learning
Special Issues, Collections and Topics in MDPI journals

Special Issue Information

Dear Colleagues,

Synthetic aperture radar (SAR) has long been an intensely researched topic due to its all-day all-weather remote sensing capabilities. The amount of information carried in satellite-born SAR data has expanded dramatically thanks to the rapid development of PolSAR and InSAR technologies. Meanwhile, drone-borne miniSAR systems, which are more advantageous in manufacturing costs, ground resolution, timeliness, and maneuverability, have also entered a golden era.

This Special Issue aims to publish the latest research advances in 1) SAR/ISAR system design and imaging techniques; 2) video SAR; 3) bistatic/multistatic SAR techniques, which outperform their monostatic counterparts in low probability of interception (LPI), anti-stealth, flexibility, coverage rate, and target feature extraction; and 4) scene classification, segmentation, and automatic target recognition (ATR), which include cross-modality scene/target classification network design based on aligned optical/infrared-SAR data, as well as benchmark real-synthetic SAR dataset construction to support context-drive ATR in diverse locations (such as airports, harbors, urban scenarios) and the development of continuous-learning/prototype-learning/incremental learning algorithms with the goal of learning new target categories from the samples collected from the deployment environment.

Articles may address, but are not limited to, one of the following topics:

  • SAR/ISAR imaging;
  • PolSAR/InSAR;
  • UAV-borne miniSAR systems;
  • Video SAR;
  • Bistatic/multistatic SAR;
  • Automatic target recognition (ATR) with aligned optical/infrared and SAR data;
  • Benchmark real-synthetic SAR dataset construction for scene understanding;
  • Target component analysis for explainable SAR ATR;
  • Fine-tuning SAR ATR network in continuous learning scenarios.

Dr. Zhe Geng
Guest Editor

Manuscript Submission Information

Manuscripts should be submitted online at www.mdpi.com by registering and logging in to this website. Once you are registered, click here to go to the submission form. Manuscripts can be submitted until the deadline. All submissions that pass pre-check are peer-reviewed. Accepted papers will be published continuously in the journal (as soon as accepted) and will be listed together on the special issue website. Research articles, review articles as well as short communications are invited. For planned papers, a title and short abstract (about 250 words) can be sent to the Editorial Office for assessment.

Submitted manuscripts should not have been published previously, nor be under consideration for publication elsewhere (except conference proceedings papers). All manuscripts are thoroughly refereed through a single-blind peer-review process. A guide for authors and other relevant information for submission of manuscripts is available on the Instructions for Authors page. Sensors is an international peer-reviewed open access semimonthly journal published by MDPI.

Please visit the Instructions for Authors page before submitting a manuscript. The Article Processing Charge (APC) for publication in this open access journal is 2600 CHF (Swiss Francs). Submitted papers should be well formatted and use good English. Authors may use MDPI's English editing service prior to publication or during author revisions.

Keywords

  • synthetic aperture radar
  • PolSAR
  • InSAR
  • video SAR
  • bistatic/multistatic SAR
  • SAR image segmentation
  • SAR automatic target detection
  • SAR automatic target recognition
  • explainable deep neural network
  • incremental learning

Benefits of Publishing in a Special Issue

  • Ease of navigation: Grouping papers by topic helps scholars navigate broad scope journals more efficiently.
  • Greater discoverability: Special Issues support the reach and impact of scientific research. Articles in Special Issues are more discoverable and cited more frequently.
  • Expansion of research network: Special Issues facilitate connections among authors, fostering scientific collaborations.
  • External promotion: Articles in Special Issues are often promoted through the journal's social media, increasing their visibility.
  • Reprint: MDPI Books provides the opportunity to republish successful Special Issues in book format, both online and in print.

Further information on MDPI's Special Issue policies can be found here.

Published Papers (5 papers)

Order results
Result details
Select all
Export citation of selected articles as:

Research

24 pages, 9524 KB  
Article
Simulation of Reflections from the Underlying Surface in an On-Board Radar with SAR
by Vladimir Yu. Volkov and Vadim A. Nenashev
Sensors 2026, 26(9), 2742; https://doi.org/10.3390/s26092742 - 28 Apr 2026
Viewed by 463
Abstract
This study investigates the selection of suitable statistical models for speckle reflections from the underlying surface under low-altitude sensing conditions. A parametric approach to modeling speckle images of terrain fragments typical of synthetic aperture radar (SAR) is presented. We use a phenomenological model [...] Read more.
This study investigates the selection of suitable statistical models for speckle reflections from the underlying surface under low-altitude sensing conditions. A parametric approach to modeling speckle images of terrain fragments typical of synthetic aperture radar (SAR) is presented. We use a phenomenological model of speckle formation during radio wave interference, taking into account the spectrum of fluctuations, the roughness of the reflecting surface, the angle of incidence, and other radar parameters. We investigate the influence of the properties of the reflecting surface and the probing parameters on the nature of speckle images. The values of the sample cumulative coefficients for various multiplicative models of the reflection distribution are obtained. The properties and characteristics of various classes of distributions for describing the intensity and amplitude of speckles are considered: the gamma distribution, the K-distribution, and the classes of non-Gaussian probability densities G and G0. A generalized Gaussian (GG) distribution is used to model the complex components of reflected signals. We compare the obtained model characteristics with the sample characteristics of real terrain fragments in synthesized speckle images obtained by the on-board radar system. Based on a comparative analysis of cumulants, this paper examines methods for modeling amplitude and intensity speckle images using several classes of backscatter probability densities. Limitations in specific applications have been identified, and a modeling method using quadrature components has been developed in cases of extremely rough reflections. Full article
(This article belongs to the Special Issue SAR Imaging Technologies and Applications)
Show Figures

Figure 1

21 pages, 5877 KB  
Article
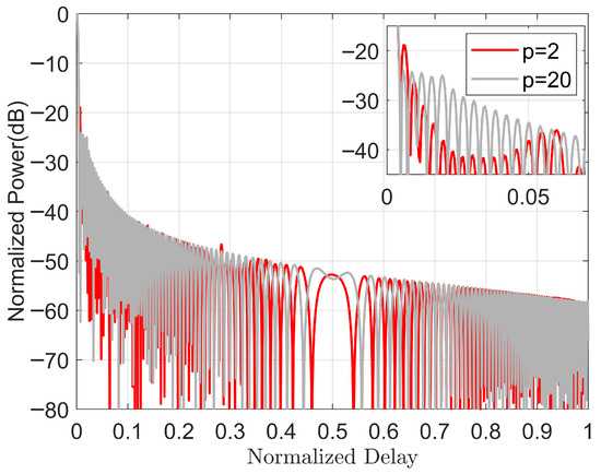
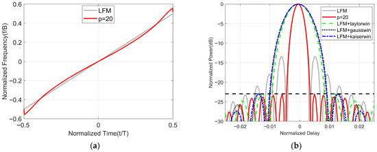
High-Resolution Low-Sidelobe Waveform Design Based on HFPFM Coding Model for SAR
by Yu Gao, Guodong Jin, Xifeng Zhang and Daiyin Zhu
Sensors 2025, 25(23), 7383; https://doi.org/10.3390/s25237383 - 4 Dec 2025
Viewed by 703
Abstract
Radar waveform design is an important approach to radar system performance enhancement. For a long time, synthetic aperture radar (SAR) systems have utilized linear frequency modulation (LFM) waveforms as transmitted signals and have relied on window functions to suppress sidelobes. However, this approach [...] Read more.
Radar waveform design is an important approach to radar system performance enhancement. For a long time, synthetic aperture radar (SAR) systems have utilized linear frequency modulation (LFM) waveforms as transmitted signals and have relied on window functions to suppress sidelobes. However, this approach significantly degrades system signal-to-noise ratio (SNR) and resolution. Nonlinear frequency modulation (NLFM) waveforms can suppress sidelobes without SNR loss and have been widely applied in the SAR field in recent years. Nonetheless, they still cannot completely avoid resolution loss. To address this, this article, based on an advanced High-Freedom Parameterized Frequency Modulation (HFPFM) coding model, constructs a waveform sidelobe optimization model constrained by mainlobe widening and solves it using a gradient descent method. Through detailed experiments, we found that the optimized waveform, compared to the LFM waveform, can reduce sidelobes by more than 9 dB without widening the mainlobe, thereby simultaneously avoiding the resolution and SNR losses caused by window function weighting. In addition, this optimization method can efficiently and rapidly optimize all parameters simultaneously using only matrix multiplication and fast Fourier transform (FFT)/inverse fast Fourier transform (IFFT). The SAR point target imaging simulation results verify that the optimized waveform can clearly image weak targets near strong targets, which proves the effectiveness of the proposed method. Full article
(This article belongs to the Special Issue SAR Imaging Technologies and Applications)
Show Figures

Figure 1

16 pages, 4475 KB  
Article
A Novel Radar Mainlobe Anti-Jamming Method via Space-Time Coding and Blind Source Separation
by Xinyu Ge, Yu Wang, Yangcheng Zheng, Guodong Jin and Daiyin Zhu
Sensors 2025, 25(19), 6081; https://doi.org/10.3390/s25196081 - 2 Oct 2025
Cited by 2 | Viewed by 1095
Abstract
This paper proposes a radar mainlobe anti-jamming method based on Space-Time Coding (STC) and Blind Source Separation (BSS). Addressing the performance degradation issue of traditional BSS methods under low Signal-to-Noise Ratio (SNR) and insufficient spatial resolution, this study first establishes the airborne SAR [...] Read more.
This paper proposes a radar mainlobe anti-jamming method based on Space-Time Coding (STC) and Blind Source Separation (BSS). Addressing the performance degradation issue of traditional BSS methods under low Signal-to-Noise Ratio (SNR) and insufficient spatial resolution, this study first establishes the airborne SAR imaging geometric model and the jamming signal mixing model. Subsequently, STC technology is introduced to construct more equivalent phase centers and increase the system’s spatial Degrees of Freedom (DOF). Leveraging the increased DOFs, a JADE-based blind source separation algorithm is then employed to separate the mixed jamming signals. The separation of these signals significantly enhances the anti-jamming capability of the radar system. Simulation results demonstrate that the proposed method effectively improves BSS performance. As compared to traditional BSS schemes, this method provides an additional jamming suppression gain of approximately 10 dB in point target scenarios and about 3 dB in distributed target scenarios, significantly enhancing the radar system’s mainlobe anti-jamming capability in complex jamming environments. This method provides a new insight into radar mainlobe anti-jamming by combining the STC scheme and BSS technology. Full article
(This article belongs to the Special Issue SAR Imaging Technologies and Applications)
Show Figures

Figure 1

23 pages, 8286 KB  
Article
Context-Guided SAR Ship Detection with Prototype-Based Model Pretraining and Check–Balance-Based Decision Fusion
by Haowen Zhou, Zhe Geng, Minjie Sun, Linyi Wu and He Yan
Sensors 2025, 25(16), 4938; https://doi.org/10.3390/s25164938 - 10 Aug 2025
Cited by 2 | Viewed by 1662
Abstract
To address the challenging problem of multi-scale inshore–offshore ship detection in synthetic aperture radar (SAR) remote sensing images, we propose a novel deep learning-based automatic ship detection method within the framework of compositional learning. The proposed method is supported by three pillars: context-guided [...] Read more.
To address the challenging problem of multi-scale inshore–offshore ship detection in synthetic aperture radar (SAR) remote sensing images, we propose a novel deep learning-based automatic ship detection method within the framework of compositional learning. The proposed method is supported by three pillars: context-guided region proposal, prototype-based model-pretraining, and multi-model ensemble learning. To reduce the false alarms induced by the discrete ground clutters, the prior knowledge of the harbour’s layout is exploited to generate land masks for terrain delimitation. To prepare the model for the diverse ship targets of different sizes and orientations it might encounter in the test environment, a novel cross-dataset model pretraining strategy is devised, where the SAR images of several key ship target prototypes from the auxiliary dataset are used to support class-incremental learning. To combine the advantages of diverse model architectures, an adaptive decision-level fusion framework is proposed, which consists of three components: a dynamic confidence threshold assignment strategy based on the sizes of targets, a weighted fusion mechanism based on president-senate check–balance, and Soft-NMS-based Dense Group Target Bounding Box Fusion (Soft-NMS-DGT-BBF). The performance enhancement brought by contextual knowledge-aided terrain delimitation, cross-dataset prototype-based model pretraining and check–balance-based adaptive decision-level fusion are validated with a series of ingeniously devised experiments based on the FAIR-CSAR-Ship dataset. Full article
(This article belongs to the Special Issue SAR Imaging Technologies and Applications)
Show Figures

Figure 1

17 pages, 8684 KB  
Article
Spaceborne Sparse SAR Imaging Mode Design: From Theory to Implementation
by Yufan Song, Hui Bi, Fuxuan Cai, Guoxu Li, Jingjing Zhang and Wen Hong
Sensors 2025, 25(13), 3888; https://doi.org/10.3390/s25133888 - 22 Jun 2025
Cited by 1 | Viewed by 1442
Abstract
To satisfy the requirement of the modern spaceborne synthetic aperture radar (SAR) system, SAR imaging mode design makes a trade-off between resolution and swath coverage by controlling radar antenna sweeping. Existing spaceborne SAR systems can perform earth observation missions well in various modes, [...] Read more.
To satisfy the requirement of the modern spaceborne synthetic aperture radar (SAR) system, SAR imaging mode design makes a trade-off between resolution and swath coverage by controlling radar antenna sweeping. Existing spaceborne SAR systems can perform earth observation missions well in various modes, but they still face challenges in data acquisition, storage, and transmission, especially for high-resolution wide-swath imaging. In the past few years, sparse signal processing technology has been introduced into SAR to try to solve these problems. In addition, sparse SAR imaging shows huge potential to improve system performance, such as offering wider swath coverage and higher recovered image quality. In this paper, the design scheme of spaceborne sparse SAR imaging modes is systematically introduced. In the mode design, we first design the beam positions of the sparse mode based on the corresponding traditional mode. Then, the essential parameters are calculated for system performance analysis based on radar equations. Finally, a sparse SAR imaging method based on mixed-norm regularization is introduced to obtain a high-quality image of the considered scene from the data collected by the designed sparse modes. Compared with the traditional mode, the designed sparse mode only requires us to obtain a wider swath coverage by reducing the pulse repetition rate (PRF), without changing the existing on-board system hardware. At the same time, the reduction in PRF can significantly reduce the system data rate. The problem of the azimuth ambiguity signal ratio (AASR) increasing from antenna beam scanning can be effectively solved by using the mixed-norm regularization-based sparse SAR imaging method. Full article
(This article belongs to the Special Issue SAR Imaging Technologies and Applications)
Show Figures

Figure 1

Back to TopTop