Sign in to use this feature.

Years

Between: -

Subjects

remove_circle_outline
remove_circle_outline
remove_circle_outline
remove_circle_outline
remove_circle_outline
remove_circle_outline
remove_circle_outline
remove_circle_outline
remove_circle_outline

Journals

remove_circle_outline
remove_circle_outline
remove_circle_outline
remove_circle_outline
remove_circle_outline
remove_circle_outline
remove_circle_outline
remove_circle_outline
remove_circle_outline

Article Types

Countries / Regions

remove_circle_outline
remove_circle_outline
remove_circle_outline
remove_circle_outline

Search Results (723)

Search Parameters:
Keywords = glucuronides

Order results
Result details
Results per page
Select all
Export citation of selected articles as:
18 pages, 2059 KB  
Article
Network Pharmacology and Zebrafish Model Elucidate the Hypoglycemic Mechanism of Major Compounds in Cyclocarya paliurus
by Yuwei Du, Lin Su, Jinhua Chen, Yajie Zheng and Ying Lu
Foods 2026, 15(5), 881; https://doi.org/10.3390/foods15050881 (registering DOI) - 4 Mar 2026
Abstract
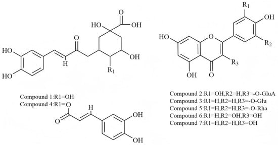
Diabetes Mellitus is a complex metabolic disorder, primarily characterized by persistent high blood sugar levels, and it is becoming increasingly prevalent with numerous associated complications. The leaves of Cyclocarya paliurus (Batal.) Iljinskja, traditionally prepared as a tea beverage in China, is frequently used [...] Read more.
Diabetes Mellitus is a complex metabolic disorder, primarily characterized by persistent high blood sugar levels, and it is becoming increasingly prevalent with numerous associated complications. The leaves of Cyclocarya paliurus (Batal.) Iljinskja, traditionally prepared as a tea beverage in China, is frequently used in folk medicine for managing metabolic syndromes, particularly diabetes and hyperlipidemia. However, the main active components responsible for its hypoglycemic effect and their underlying mechanisms remain unclear. The current study aimed to clarify the main chemical components of the aqueous extract of C. paliurus leaves and to explore their mechanisms of action. The primary constituents from the aqueous extract of C. paliurus leaves were isolated and identified using macroporous adsorption resin, preparative liquid chromatography, and nuclear magnetic resonance technology. The contents of these identified compounds in the leaves were quantified using HPLC. An integrated approach combining network pharmacology and molecular docking was initially used to predict the potential molecular targets and associated signaling pathways responsible for the hypoglycemic activity of the compounds, with subsequent experimental validation performed in a hyperglycemic zebrafish model. From the aqueous extract, a total of seven compounds were obtained and subsequently identified as Chlorogenic Acid (CA), Quercetin-3-O-β-D-glucuronide (Q3GA), Astragalin, 3,4-Dicaffeoylquinic Acid (3,4-DCA), Afzelin, Quercetin, and Kaempferol. Their contents in C. paliurus leaves, as determined by HPLC, were 24.88 mg/g, 30.87 mg/g, 1.21 mg/g, 1.19 mg/g, 5.24 mg/g, 2.43 mg/g, and 1.34 mg/g, respectively. Network pharmacology analysis identified AKT1, TNF, and IL1B as key targets for the hypoglycemic effects of both the aqueous extract and the seven individual compounds. These findings were further supported by RT-PCR experiments in a zebrafish model, which showed that blood glucose regulation occurs through the downregulation of TNF and IL1B and the upregulation of AKT1 protein. The aqueous extract is rich in Chlorogenic Acid, Quercetin, and their derivatives, all of which display significant hypoglycemic activity. Full article
(This article belongs to the Section Plant Foods)
Show Figures

Figure 1

19 pages, 1054 KB  
Article
Characteristics of Translocation, Distribution, and Transformation of the Nematicide Fluopyram in Cucumber and Tomato Seedlings and Risk Assessment Based on QSAR Model Prediction
by Yan Tao, Yinghui Xing, Junjie Jing, Pingzhong Yu, Min He, Li Chen, Zhanhai Kang and Ercheng Zhao
Foods 2026, 15(5), 833; https://doi.org/10.3390/foods15050833 - 2 Mar 2026
Abstract
Fluopyram is a widely used nematicide with a growing number of varieties registered both domestically and overseas. However, its absorption, transportation, and metabolism behaviors in plants have not been fully elucidated, thus hindering comprehensive assessment of the risks associated with its use. This [...] Read more.
Fluopyram is a widely used nematicide with a growing number of varieties registered both domestically and overseas. However, its absorption, transportation, and metabolism behaviors in plants have not been fully elucidated, thus hindering comprehensive assessment of the risks associated with its use. This study investigated the plant uptake, distribution, and metabolic behavior of fluopyram through 168 h hydroponic experiments. Fluopyram was easily absorbed by the roots of the tested crops, and almost 90.5% and 70.9% of fluopyram was transformed in cucumber and tomato, respectively, leading to the tentative identification of 16 metabolites using Quadrupole Time-of-Flight mass spectrometry. The metabolic reactions involved were hydroxylation, hydroxylation–dechlorination, dehydrogenation, dechlorination, and glucuronidation conjugation. Most metabolites were detected in leaves, suggesting that they have considerable potential to accumulate in the upper parts, even the edible parts. Model prediction indicated that fluopyram and high-toxicity metabolites (M430A, M412C) pose significant risks to aquatic ecosystems across trophic levels, while M574A and M574B showed reduced toxicity due to glucuronidation conjugation. These findings deepen our understanding of the behavioral characteristics of fluopyram within plants, and serve as an important reference for comprehensively assessing its risks. Full article
Show Figures

Figure 1

42 pages, 3289 KB  
Review
Emodin and the Anthraquinone Scaffold: Therapeutic Promise and Strategies to Overcome Translational Barriers
by Rositsa Mihaylova, Viktoria Elincheva, Rumyana Simeonova and Georgi Momekov
Molecules 2026, 31(5), 833; https://doi.org/10.3390/molecules31050833 - 2 Mar 2026
Viewed by 30
Abstract
Emodin, a trihydroxy-methyl anthraquinone abundant in rhubarb, Polygonum species, and other medicinal plants, exemplifies the therapeutic potential and translational complexity of the broader anthraquinone scaffold. Anthraquinone derivatives have demonstrated antiproliferative, anti-inflammatory, metabolic, cardiovascular, antifibrotic, and immunomodulatory effects, consistently reported across diverse preclinical models, [...] Read more.
Emodin, a trihydroxy-methyl anthraquinone abundant in rhubarb, Polygonum species, and other medicinal plants, exemplifies the therapeutic potential and translational complexity of the broader anthraquinone scaffold. Anthraquinone derivatives have demonstrated antiproliferative, anti-inflammatory, metabolic, cardiovascular, antifibrotic, and immunomodulatory effects, consistently reported across diverse preclinical models, targeting pathways such as NF-κB, PI3K/AKT, MAPKs, AMPK, PPARs, NLRP3, and ferroptosis-related axes. Despite strong preclinical efficacy, clinical development has been limited by unfavorable absorption, distribution, metabolism, and excretion (ADME) characteristics, including poor aqueous solubility, extensive first-pass glucuronidation, and active efflux via intestinal and hepatic transporters. These features result in low and variable systemic exposure, while high local concentrations, particularly in the gastrointestinal tract, contribute to context-dependent toxicity signals that complicate risk assessment. The present review integrates pharmacological, toxicological, and formulation-focused evidence to provide a unified assessment of emodin and the anthraquinone scaffold. Particular emphasis is placed on bidirectional, dose- and context-dependent effects on the liver and kidney; the modulation of cytochrome P450 enzymes, UGTs, and transporters; and emerging preclinical formulation strategies that aim to decouple intrinsic bioactivity from pharmacokinetic limitations. Full article
(This article belongs to the Special Issue Biological Evaluation of Plant Extracts, 2nd Edition)
Show Figures

Figure 1

17 pages, 2695 KB  
Article
Fermentation-Based Production and Whole-Cell Immobilization of β-Glucuronidase-Expressing Talaromyces pinophilus Li-93 for Efficient Bioconversion of Glycyrrhizin
by Kaleem Imdad, Aamir Rasool and Chun Li
Fermentation 2026, 12(3), 127; https://doi.org/10.3390/fermentation12030127 - 2 Mar 2026
Viewed by 83
Abstract
Glycyrrhizic acid and its derivatives are a crucial class of glycoside terpenoids with significant pharmaceutical and food industry applications. The biotransformation of glycyrrhizin (GL) into glycyrrhetic acid 3-O-mono-β-D-glucuronide (GAMG) and glycyrrhetinic acid (GA) can enhance the production of these valuable compounds. This study [...] Read more.
Glycyrrhizic acid and its derivatives are a crucial class of glycoside terpenoids with significant pharmaceutical and food industry applications. The biotransformation of glycyrrhizin (GL) into glycyrrhetic acid 3-O-mono-β-D-glucuronide (GAMG) and glycyrrhetinic acid (GA) can enhance the production of these valuable compounds. This study aimed to develop strategies to improve the catalytic and operational stability of β-glucuronidase from wild-type Talaromyces pinophilus Li-93, previously known as Penicillium purpurogenum Li-3 (w-PGUS), for efficient GL hydrolysis. Whole cells of T. pinophilus Li-93 expressing w-PGUS were capable of directly converting GL into GAMG. To enhance enzyme stability and reusability, three polymeric supports including, polyurethane foam (PUF), loofah sponge (LS), and polyvinyl chloride (PVC), were evaluated for immobilization of w-PGUS from the fermentation medium. Among these, PUF was the most effective immobilization support, yielding higher immobilization efficiency, GAMG production, and biomass retention. Under optimized conditions (1% PUF, 1.5 g.L−1 w-PGUS inoculum, pH 5.0, 36 °C, 180 rpm), the immobilized w-PGUS produced a final GAMG yield of 3.90 g.L−1, achieving 67.10% immobilization efficiency within 72 h. The PUF-immobilized w-PGUS retained 37.51% of its initial activity after 10 repeated batch reactions, whereas free w-PGUS retained only 6.21%. Additionally, the storage stability of immobilized w-PGUS was significantly higher (40.22%) than that of free w-PGUS (14.74%) after 30 days. Immobilization slightly reduced the initial yield due to mass-transfer limits but enabled much higher cumulative GAMG production through improved stability and reusability. Full article
(This article belongs to the Special Issue Fermentation Processes and Product Development)
Show Figures

Figure 1

47 pages, 6821 KB  
Article
Prediction and Validation of Phase II Glucuronide Conjugates in Urine Using Combined Non-Targeted and Targeted LC–HRMS/MS Workflows and Their Validation for over 200 Drugs
by Camila Bardy, Luis Manuel Menéndez-Quintanal, Gemma Montalvo, Carmen García-Ruiz, Begoña Bravo Serrano and Jose Manuel Matey
Analytica 2026, 7(1), 18; https://doi.org/10.3390/analytica7010018 - 26 Feb 2026
Viewed by 227
Abstract
High-resolution mass spectrometry (HRMS) enables non-targeted detection of drugs and metabolites in complex matrices. Phase II metabolites—especially glucuronides—are often the only detectable biomarkers in late or postmortem samples but are underrepresented in commercial libraries. This work pursued the prediction of phase II-glucuronide conjugates [...] Read more.
High-resolution mass spectrometry (HRMS) enables non-targeted detection of drugs and metabolites in complex matrices. Phase II metabolites—especially glucuronides—are often the only detectable biomarkers in late or postmortem samples but are underrepresented in commercial libraries. This work pursued the prediction of phase II-glucuronide conjugates in diluted urine samples by non-targeted/targeted LC-HRMS workflows. A simply “dilute-and-shoot” qualitative UHPLC-HRMS/MS method (Q Exactive HF, ddMS2) was integrated with Compound Discoverer® software for data processing. The workflow incorporated predictive strategies such as exact mass suspect lists, Structured Query Language (SQL)-based filters, compound-class and diagnostic neutral-loss rules (including the characteristic loss of 176.0321 Da for glucuronides) and MS/MS confirmation using both in-house and public spectral libraries. An additional part of the application’s performance assessment involved its validation for diluted urine sample. A qualitative validated method for more than two hundred drugs in urine samples was performed, including the method’s selectivity/specificity, limit of identification, matrix effects, and potential carryover. Most analytes fulfilled the qualitative acceptance criteria, with more than 60% successfully identified at a concentration of at least 2.5 ng/mL. Matrix effects were within acceptable limits for most compounds, and no severe ion suppression was observed. A non-targeted workflow was applied to real forensic samples (n = 16), allowing a reduction of approximately 66,800 detected features to 225 glucuronide candidates, while a targeted workflow based on exact mass lists yielded 31 high-confidence identifications. Characteristic neutral losses and diagnostic fragment ions led to the tentative identification of some glucuronide phase II metabolites such as mirtazapine–glucuronide, morphine-6–glucuronide, and glucuronide conjugates of benzodiazepines and synthetic opioids. In conclusion, the integration of biotransformation knowledge with HRMS-based predictive filtering allows for the efficient and hydrolysis-free detection of glucuronide metabolites, thereby extending detection windows and enhancing toxicological interpretation in complex forensic scenarios. This adaptable and library-independent workflow also facilitates retrospective data mining, making it suitable for the identification of emerging substances and newly characterized metabolites. Full article
(This article belongs to the Special Issue New Analytical Techniques and Methods in Pharmaceutical Science)
Show Figures

Figure 1

24 pages, 5585 KB  
Article
Metabolites from South African Medicinal Plants as Dual-Function Inhibitors of the SARS-CoV-2 Papain-like Protease (PLpro)
by Mmamudi Anna Makhafola, Clarissa Marcelle Naidoo, Chikwelu Lawrence Obi, Benson Chuks Iweriebor, Oyinlola Oluwunmi Olaokun, Earl Prinsloo, Haruhisa Kikuchi, Muhammad Sulaiman Zubair and Nqobile Monate Mkolo
Life 2026, 16(3), 373; https://doi.org/10.3390/life16030373 - 25 Feb 2026
Viewed by 186
Abstract
The SARS-CoV-2 papain-like protease (PLpro) is an essential viral enzyme that promotes viral polyprotein processing while simultaneously suppressing the host innate immune response, which makes it a primary target for developing antiviral drugs. The present study employs a comprehensive approach integrating [...] Read more.
The SARS-CoV-2 papain-like protease (PLpro) is an essential viral enzyme that promotes viral polyprotein processing while simultaneously suppressing the host innate immune response, which makes it a primary target for developing antiviral drugs. The present study employs a comprehensive approach integrating untargeted metabolomic profiling, in silico molecular docking and dynamics simulations, Molecular Mechanics Generalized Born Surface Area (MM-GBSA) energetic assessments, and biochemical enzyme assays. This integrated method aims to discover natural PLpro inhibitors from two ethnomedicinal plants, Lippia javanica and Acorus calamus, which have long been utilized in African traditional medicine to treat respiratory diseases. Comprehensive metabolite profiling using untargeted Ultra-Performance Liquid Chromatography–Tandem Mass Spectrometry (UPLC-MS/MS) and Global Natural Products Social (GNPS) molecular networking revealed flavonoid glucuronides and phenylpropanoid derivatives as the major constituents in both plant species. In situ histochemical staining further offered spatial validation of phenolic- and lignin-associated tissues, supporting the phenolic-dominated molecular families detected by GNPS molecular networking. In silico evaluation of six selected compounds demonstrated spontaneous and thermodynamically favorable binding to PLpro, with ΔG_bind values ranging from −5.63 to −6.43 kcal/mol. Catechin-7-glucoside emerged as the lead compound, establishing multiple hydrogen bond networks with Asp164, Gln269, Tyr264, and Asn267, supplemented by hydrophobic engagement with Pro247 and Pro248, and π-π stacking with the blocking loop 2 (BL2 loop). Molecular dynamics simulations confirmed the stability of the protein–ligand complexes. Biochemical enzyme assays confirmed concentration-dependent inhibition of PLpro proteolytic and deubiquitinating activity by both crude plant extracts and isolated bioactive compounds. However, S-adenosyl-methionine showed comparatively high PLpro proteolytic activity (IC50 5.872 µM) compared to catechin-7-glucoside, with an IC50 of 7.493 µM, exhibiting efficacy similar to the reference inhibitor GRL0617. Both the extracts of L. javanica and A. calamus have shown significant inhibitory activity while maintaining cell viability in Human embryonic kidney 293T cell (HEK293T) culture models, indicating a favorable safety profile of the tested concentrations. Based on these results, catechin-based polyphenols and phenylpropanoid derivatives appear as promising lead compounds for the development of PLpro inhibitors. To progress toward therapeutic use, further work is necessary in pharmacokinetics, structural optimization, and antiviral validation in cell models. Full article
(This article belongs to the Section Pharmaceutical Science)
Show Figures

Figure 1

16 pages, 861 KB  
Article
Clinical Application of Microvolume LC–MS/MS for Therapeutic Drug Monitoring of Immunosuppressants in Solid-Organ Transplant Recipients
by Daiki Iwami, Natsuka Kimura, Sho Nishida, Makiko Mieno, Takehiro Ohyama, Kyoko Minamisono, Yasunaru Sakuma, Joji Kitayama, Yasushi Imai, Ryozo Nagai and Kenichi Aizawa
J. Clin. Med. 2026, 15(4), 1565; https://doi.org/10.3390/jcm15041565 - 16 Feb 2026
Viewed by 248
Abstract
Background/Objectives: Therapeutic drug monitoring (TDM) is essential for optimizing immunosuppressive therapy in solid-organ transplant recipients by maintaining efficacy, while minimizing adverse effects. However, conventional TDM relies on venous sampling and separate assays for tacrolimus (TAC) in whole blood and mycophenolic acid (MPA) in [...] Read more.
Background/Objectives: Therapeutic drug monitoring (TDM) is essential for optimizing immunosuppressive therapy in solid-organ transplant recipients by maintaining efficacy, while minimizing adverse effects. However, conventional TDM relies on venous sampling and separate assays for tacrolimus (TAC) in whole blood and mycophenolic acid (MPA) in plasma, thereby increasing patient burden and procedural complexity. To address these limitations, we investigated the clinical utility of a microvolume, liquid-phase microsampling device (MSW2™) in combination with liquid chromatography–tandem mass spectrometry (LC-MS/MS). Methods: We established and applied an LC-MS/MS method for simultaneous quantification of TAC, MPA, and mycophenolic acid β-D-glucuronide (MPAG) using only 2.8 µL of whole blood collected with MSW2™, which eliminates drying or extraction steps. Hematocrit-based correction was applied to estimate plasma MPA concentrations from whole-blood measurements. The method was evaluated in 60 renal transplant recipients with paired venous samples for comparison. Analytical performance was assessed using regression, Bland–Altman analyses, predictive metrics, and stability testing under different storage conditions. Results: Microsampled and venous concentrations were strongly correlated (R2 > 0.95). Estimated plasma MPA concentrations derived from whole blood closely approximated plasma concentrations (bias < 5%). Reducing the sample volume from 5.6 µL to 2.8 µL improved precision and increased the success rate of blood collection from 72.9% to 94.0%. All analytes remained stable for up to 72 h at ≤25 °C. Conclusions: This approach enables accurate, simultaneous quantification of multiple immunosuppressants from trace blood volumes. By reducing sampling burden and simplifying logistics, it provides a clinically feasible and patient-centered strategy for precision TDM, supporting broader implementation of limited sampling strategies and expanding applicability to pediatric, home-based, and telemedicine settings. Full article
(This article belongs to the Special Issue Sustaining Success Through Innovation in Kidney Transplantation)
Show Figures

Figure 1

33 pages, 7630 KB  
Article
In Silico Molecular Docking and Pharmacokinetic Evaluation of Cannabinoid Derivatives as Multi-Target Inhibitors for EGFR, VEGFR-1, and VEGFR-2 Proteins
by Akhtar Ayoobi and Hyong Woo Choi
Curr. Issues Mol. Biol. 2026, 48(2), 204; https://doi.org/10.3390/cimb48020204 - 12 Feb 2026
Viewed by 336
Abstract
Cancer therapy development increasingly focuses on multi-target approaches to inhibit key proteins involved in tumor growth and angiogenesis. This study explored the potential inhibitory interactions of 110 cannabinoid derivatives using molecular docking simulations against epidermal growth factor receptor (EGFR), vascular endothelial growth factor [...] Read more.
Cancer therapy development increasingly focuses on multi-target approaches to inhibit key proteins involved in tumor growth and angiogenesis. This study explored the potential inhibitory interactions of 110 cannabinoid derivatives using molecular docking simulations against epidermal growth factor receptor (EGFR), vascular endothelial growth factor receptor-1 (VEGFR-1), and VEGFR-2. Blind docking with AutoDock Vina identified eight recurrent hits across all three targets, including polar THC glucuronides and more drug-like cannabinoid scaffolds. Among these, 2′-Hydroxy-Delta (9)-THC and Ajulemic Acid combined favorable multi-target binding with superior predicted pharmacokinetic properties compared with other cannabinoids and reference inhibitors (lapatinib, motesanib, and sorafenib). ADME predictions highlighted Ajulemic Acid as the most promising oral candidate, showing optimal molecular weight, high oral bioavailability, and good gastrointestinal absorption, while 2′-Hydroxy-Delta (9)-THC exhibited potential for central nervous system exposure due to predicted blood–brain barrier permeability. In contrast, glucuronidated THC metabolites and highly lipophilic cannabinol esters displayed strong docking scores but suboptimal drug-likeness, suggesting prodrug- or metabolite-like behavior rather than suitability as primary oral leads. Toxicity predictions classified all compounds as moderately toxic, with Ajulemic Acid showing a comparatively more favorable safety profile. These findings do not demonstrate biological inhibition and should be interpreted strictly as hypothesis-generating computational evidence, providing a rational framework for future in vivo and in vitro validations. Full article
Show Figures

Figure 1

30 pages, 1596 KB  
Review
β-Glucuronidase at the Microbiota—Host Interface: Dual Regulatory Roles and Precision Modulation by Natural Products
by Jialu Shen, Shuai Xu, Qingyu Zhao, Junmin Zhang and Huiyan Zhang
Molecules 2026, 31(4), 601; https://doi.org/10.3390/molecules31040601 - 9 Feb 2026
Viewed by 419
Abstract
Gut microbial β-glucuronidase (GUS) plays a pivotal role at the microbiota—host interface by hydrolyzing glucuronide conjugates, thereby influencing xenobiotic metabolism, enterohepatic circulation, and systemic homeostasis. Dysregulated GUS activity has been increasingly linked to adverse health outcomes, including drug-induced toxicity, inflammation, and cancer. However, [...] Read more.
Gut microbial β-glucuronidase (GUS) plays a pivotal role at the microbiota—host interface by hydrolyzing glucuronide conjugates, thereby influencing xenobiotic metabolism, enterohepatic circulation, and systemic homeostasis. Dysregulated GUS activity has been increasingly linked to adverse health outcomes, including drug-induced toxicity, inflammation, and cancer. However, current literature often overlooks the enzyme’s dual role in maintaining physiological balance and promoting disease progression, as well as the multidimensional ways in which natural products interact with GUS. This work reviews recent advances in GUS research, emphasizing its structural diversity, functional complexity, and regulatory impact on host health. It also highlights the potential of natural products as precision modulators of GUS activity, capable of direct enzyme inhibition or indirect modulation through reshaping the gut microbiota. These mechanisms collectively influence drug efficacy, toxicity, and the systemic availability of endogenous metabolites. By integrating structural, pharmacological, and microbiological perspectives, this work provides a theoretical foundation for the development of microbiota-targeted therapies centered on GUS. Such approaches may support the rational design of natural product-derived inhibitors and promote their application in disease models, ultimately advancing personalized therapeutic strategies. Full article
Show Figures

Figure 1

28 pages, 3740 KB  
Article
Estimation of Prenatal Alcohol Exposure: Comparison of Retrospective Survey and Measurement of Fatty Acid Ethyl Esters, Ethyl Sulfate, and Ethyl Glucuronide Concentrations in Neonatal Meconium
by Marek Wiergowski, Iwona Jańczewska, Jolanta Wierzba, Monika Cichoń-Kotek, Mateusz Kacper Woźniak, Agata Kot-Wasik, Marek Biziuk, Jacek Sein Anand, Daria Barbara Schetz, Małgorzata Glińska and Katarzyna Hinca
Toxics 2026, 14(2), 155; https://doi.org/10.3390/toxics14020155 - 4 Feb 2026
Viewed by 486
Abstract
Determining the concentration of fatty acid ethyl esters (FAEEs), ethyl sulfate (EtS), and ethyl glucuronide (EtG) is crucial for establishing the true scale of prenatal alcohol exposure (PAE) and enabling early diagnosis of fetal alcohol spectrum disorders. This study primarily aimed to compare [...] Read more.
Determining the concentration of fatty acid ethyl esters (FAEEs), ethyl sulfate (EtS), and ethyl glucuronide (EtG) is crucial for establishing the true scale of prenatal alcohol exposure (PAE) and enabling early diagnosis of fetal alcohol spectrum disorders. This study primarily aimed to compare two detection methods: retrospective maternal alcohol consumption surveys and chromatographic analysis of newborn meconium. Among 478 mothers, parallel survey data and meconium samples were collected. Nine FAEEs were measured by gas chromatography–mass spectrometry, and EtG and EtS by liquid chromatography–tandem mass spectrometry. The study also aimed to establish marker cut-offs and evaluate their clinical utility. While only 4% (approximately) of mothers reported alcohol consumption during pregnancy, the biomarker analysis suggested a significant underestimation of the actual PAE scale, highlighting the limitations of self-reported data. Analysis using the cumulative biomarker index for two biomarkers with a threshold of ≥5 indicated that alcohol consumption affected approximately 3% of the studied population, further demonstrating the low reliability of maternal self-reports. Ultimately, this study confirms that the combined EtG and EtS measurements provide the most reliable diagnostic information for PAE and underscores the necessity of objective meconium screening in clinical practice. Full article
(This article belongs to the Section Drugs Toxicity)
Show Figures

Graphical abstract

19 pages, 3190 KB  
Article
Differential Cadmium Responses in Two Salvia Species: Implications for Tolerance and Ecotoxicity
by Douaa Bekkai, Natalizia Miceli, Francesco Cimino, Carmelo Coppolino, Maria Fernanda Taviano, Francesco Cacciola, Giovanni Toscano, Luigi Calabrese and Patrizia Trifilò
Plants 2026, 15(3), 375; https://doi.org/10.3390/plants15030375 - 25 Jan 2026
Cited by 1 | Viewed by 351
Abstract
Heavy metal contamination poses critical challenges for the cultivation of medicinal plants. This study explores cadmium (Cd)-induced morpho-physiological and metabolic responses in Salvia officinalis (So) and the rare endemic Salvia ceratophylloides (Sc). Plants were exposed to cadmium contamination corresponding to 5 and 10 [...] Read more.
Heavy metal contamination poses critical challenges for the cultivation of medicinal plants. This study explores cadmium (Cd)-induced morpho-physiological and metabolic responses in Salvia officinalis (So) and the rare endemic Salvia ceratophylloides (Sc). Plants were exposed to cadmium contamination corresponding to 5 and 10 mg kg−1 Cd (100% and 200% of the Italian regulatory limit) and assessed through gas exchange, leaf anatomy, mineral profiling, polyphenol composition, antioxidant activity, and a preliminary ecotoxicological evaluation using the Artemia salina lethality bioassay. Cd predominantly accumulated in roots, reflecting a partial exclusion strategy, and caused alterations in leaf traits, water relations, and nutrient balance. While total polyphenols generally declined, species-specific responses emerged: S. ceratophylloides increased caffeic acid derivatives, whereas S. officinalis accumulated caffeic acid, lithospermic acid A, quercetin 3-O-glucuronide, and apigenin-O-pentoside at the highest Cd exposure. Polyphenol shifts were strongly associated with antioxidant capacity. Despite higher growth sensitivity, S. ceratophylloides extracts exhibited no toxicity in the A. salina assay, indicating effective metal sequestration and low bioavailability, whereas S. officinalis extracts induced moderate to high toxicity. These findings reveal contrasting Cd tolerance and detoxification strategies, highlighting the potential of integrating plant stress physiology with ecotoxicological assessment and phytostabilization approaches to safely cultivate medicinal species on contaminated soils. Full article
(This article belongs to the Special Issue Heavy Metal Contamination in Plants and Soil)
Show Figures

Figure 1

26 pages, 4478 KB  
Article
Integration of Serum and Liver Metabolomics with Antioxidant Biomarkers Elucidates Dietary Energy Modulation of the Fatty Acid Profile in Donkey Meat
by Li Li, Yanli Zhao, Yongmei Guo, Binlin Shi, Jing Zhang, Fanzhu Meng, Fang Hui, Qingyue Zhang, Xiaoyu Guo and Sumei Yan
Antioxidants 2026, 15(1), 140; https://doi.org/10.3390/antiox15010140 - 21 Jan 2026
Viewed by 301
Abstract
Donkey meat is valued for its high protein, unsaturated fats, and low cholesterol. Fatty acid (FA) composition critically influences meat quality and is modulated by dietary energy levels. Twenty-four meat donkeys (male) were randomly divided into three groups: a low-energy group (LEG), a [...] Read more.
Donkey meat is valued for its high protein, unsaturated fats, and low cholesterol. Fatty acid (FA) composition critically influences meat quality and is modulated by dietary energy levels. Twenty-four meat donkeys (male) were randomly divided into three groups: a low-energy group (LEG), a medium-energy group (MEG), and a high-energy group (HEG). The trial lasted for 135 days, with dietary digestible energy levels adjusted during the pre-fattening, mid-fattening, and late-fattening phases according to the experimental design. The results showed that MEG and HEG interventions significantly upregulated tissue polyunsaturated fatty acid (PUFA) and n-3 PUFA content while reducing n-6/n-3 ratios, concomitant with enhanced activity and gene expression of most lipid-metabolizing enzymes. Notably, MEG further elevated antioxidant enzyme activities and anti-inflammatory mediators while suppressing pro-inflammatory factors. MEG and HEG significantly upregulated serum cholestane-3,7,12,25-tetrol-3-glucuronide and cortisol, along with hepatic choline, lysoPC(20:2(11Z,14Z)), glycocholic acid, and cholestane-3,7,12,25-tetrol-3-glucuronide. These modified metabolites were predominantly enriched in key metabolic pathways: pentose and glucuronate interconversions, primary bile acid biosynthesis, steroid hormone biosynthesis, glycerophospholipid metabolism, purine metabolism, and glutathione metabolism. Additionally, compared to HEG, MEG improved the antioxidant activities and immune signaling molecule levels with elevated pyroglutamic acid, glutathione, choline, inosine, adenine, and uric acid. Thus, moderately elevated dietary energy levels may enhance FA profiles in muscular and adipose tissues through coordinated regulation of lipid-metabolizing enzymes and associated gene expression, with serum and hepatic metabolites actively participating in these regulatory pathways. However, excessive energy intake could induce oxidative stress in donkeys. Full article
Show Figures

Figure 1

17 pages, 1782 KB  
Article
Production of Antimicrobial and Antioxidant Metabolites by Penicillium crustosum Using Lemon Peel as a Co-Substrate in Submerged Fermentation
by Arely Núñez-Serrano, Refugio B. García-Reyes, Juan A. Ascasio-Valdés, Cristóbal N. Aguilar-González and Alcione García-González
Foods 2026, 15(2), 348; https://doi.org/10.3390/foods15020348 - 18 Jan 2026
Viewed by 493
Abstract
Fungal secondary metabolites are valuable sources of natural antioxidants and antimicrobials. This study evaluated the submerged fermentation of Penicillium crustosum OR889307 supplemented with lemon peel as a co-substrate to enhance the production of bioactive compounds. Lemon peel was selected for its phenolic precursors [...] Read more.
Fungal secondary metabolites are valuable sources of natural antioxidants and antimicrobials. This study evaluated the submerged fermentation of Penicillium crustosum OR889307 supplemented with lemon peel as a co-substrate to enhance the production of bioactive compounds. Lemon peel was selected for its phenolic precursors and sustainable availability as an agro-industrial byproduct. Crude extracts, aqueous and organic fractions, and molecular-weight partitions were assessed for antioxidant activity using the DPPH assay and for antimicrobial activity against Escherichia coli, Staphylococcus aureus, methicillin-resistant S. aureus (MRSA), Pseudomonas aeruginosa, and Candida albicans. Semi-purified extracts from co-substrate fermentations exhibited enhanced bioactivity, showing MIC values of 185 µg/mL against P. aeruginosa and 225 µg/mL against MRSA, along with strong ABTS radical-scavenging capacity (238.95 ± 2.17 µmol TE). RP-HPLC-ESI-MS profiling revealed phenolic acids, flavanones, flavonols, and lignans, including ferulic acid 4-O-glucoside, bisdemethoxycurcumin, secoisolariciresinol, and quercetin 3-O-xylosyl-glucuronide. These findings demonstrate that lemon peel supplementation promotes the biosynthesis of antimicrobial and antioxidant metabolites by P. crustosum. This approach supports sustainable agro-waste valorization and offers a promising strategy for obtaining natural bioactive compounds with potential applications in food preservation and health-related formulations. Full article
Show Figures

Figure 1

38 pages, 8865 KB  
Article
UHPLC–Q–Orbitrap–HRMS-Based Multilayer Mapping of the Pharmacodynamic Substance Basis and Mechanistic Landscape of Maizibizi Wan in Chronic Nonbacterial Prostatitis Therapy
by Maimaitiming Maihemuti, Muaitaer Nuermaimaiti, Wuermaitihan Maimaitiming, Alimujiang Paierhati, Hailong Ji, Muhammatjan Abduwaki, Xinzhou Yang and Nabijan Mohammadtursun
Pharmaceuticals 2026, 19(1), 153; https://doi.org/10.3390/ph19010153 - 15 Jan 2026
Viewed by 405
Abstract
Background: Chronic nonbacterial prostatitis (CNP), the major subset of chronic prostatitis/chronic pelvic pain syndrome (CP/CPPS), imposes a substantial global burden yet lacks satisfactory therapies. Maizibizi Wan (MZBZ) has long been used clinically for prostatitis, but its pharmacodynamic substance basis and mechanisms remain unclear. [...] Read more.
Background: Chronic nonbacterial prostatitis (CNP), the major subset of chronic prostatitis/chronic pelvic pain syndrome (CP/CPPS), imposes a substantial global burden yet lacks satisfactory therapies. Maizibizi Wan (MZBZ) has long been used clinically for prostatitis, but its pharmacodynamic substance basis and mechanisms remain unclear. Methods: Ultra-high-performance liquid chromatography–Q-Orbitrap high-resolution mass spectrometry (UHPLC-Q-Orbitrap-HRMS) coupled with Global Natural Products Social Molecular Networking (GNPS) molecular networking profiled MZBZ constituents and rat plasma–exposed prototype components and metabolites was used. Based on blood-absorbable components, network pharmacology predicted core targets/pathways; representative interactions were validated by molecular docking. A λ-carrageenan–induced CNBP rat model underwent histopathology (H&E), serum cytokine assays (TNF-α, IL-1β, IL-6/IL-17), immunohistochemistry (COX-2, TNF-α, MMP-9), and Western blotting (P-p65/p65, p-AKT/AKT, COX-2, TGF-β1, BCL2). Results: A total of 188 chemical constituents were identified in MZBZ (79 flavonoids, 38 organic acids, 30 alkaloids, 15 phenylpropanoids, 7 steroids, 4 phenylethanoid glycosides, 15 others). A total of 35 blood-absorbable components (18 prototype components, 17 metabolites) were identified, mainly involving Phase I oxidation and Phase II glucuronidation/sulfation. Network analysis yielded 54 core targets enriched in NF-κB and PI3K/AKT signaling and apoptosis. Docking indicated stable binding of key flavonoids to COX-2, NFKB1, TNF, IL-6, and BCL2. In vivo, MZBZ ameliorated prostatic inflammation, reduced serum TNF-α/IL-1β/IL-6/IL-17 (p < 0.05 or p < 0.01); decreased P-p65/p65, p-AKT/AKT, COX-2, and TGF-β1; and increased BCL2 in prostate tissue. Conclusions: MZBZ exerts anti-CNBP effects via multi-component synergy (prototypes + metabolites) that suppresses inflammatory cytokines, modulates apoptosis, and inhibits NF-κB and PI3K/AKT pathways. These findings provide a mechanistic basis and quality control cues for the rational clinical use of MZBZ. Full article
(This article belongs to the Section Natural Products)
Show Figures

Figure 1

15 pages, 3127 KB  
Article
Optimization of the Probiotic Fermentation Process of Ganoderma lucidum Juice and Its In Vitro Immune-Enhancing Potential
by Dilireba Shataer, Xin Liu, Yanan Qin, Jing Lu, Haipeng Liu and Liang Wang
Foods 2026, 15(2), 227; https://doi.org/10.3390/foods15020227 - 8 Jan 2026
Viewed by 475
Abstract
Fermented products have recently garnered substantial interest in both research and commercial contexts. Although probiotic fermentation is predominantly practiced with dairy, fruits, vegetables, and grains, its application to dual-purpose food-medicine materials like Ganoderma lucidum has been comparatively underexplored. In this study, Ganoderma lucidum [...] Read more.
Fermented products have recently garnered substantial interest in both research and commercial contexts. Although probiotic fermentation is predominantly practiced with dairy, fruits, vegetables, and grains, its application to dual-purpose food-medicine materials like Ganoderma lucidum has been comparatively underexplored. In this study, Ganoderma lucidum fermented juice (GFJ) served as the substrate and was fermented with five probiotic strains. The optimal inoculation ratios—determined by employing a uniform design experiment—were as follows: Bifidobacterium animalis 6.05%, Lacticaseibacillus paracasei 9.52%, Lacticaseibacillus rhamnosus 6.63%, Pediococcus pentosaceus 21.38%, and Pediococcus acidilactici 56.42%. Optimal fermentation parameters established by response surface methodology included 24 h of fermentation at 37 °C, a final cell density of 5 × 106 CFU/mL, and a sugar content of 4.5 °Brix. Experiments with RAW264.7 macrophages revealed that GFJ significantly promoted both phagocytic activity and nitric oxide (NO) secretion, indicating enhanced immune characteristics as a result of fermentation. Untargeted metabolomics profiling of GFJ across different fermentation stages showed upregulation of functional metabolites, including polyphenols, prebiotics, functional oligosaccharides, and Ganoderma triterpenoids (GTs)—notably myricetin-3-O-rhamnoside, luteolin-7-O-glucuronide, raffinose, sesamose, and Ganoderma acids. These increments in metabolic compounds strongly correlate with improved functional properties in GFJ, specifically heightened superoxide dismutase activity and immunomodulatory capacity. These results highlight an effective approach for developing functionally enriched fermented products from medicinal fungi, with promising applications in functional food and nutraceutical industries. Full article
(This article belongs to the Section Food Nutrition)
Show Figures

Graphical abstract

Back to TopTop