Production of Antimicrobial and Antioxidant Metabolites by Penicillium crustosum Using Lemon Peel as a Co-Substrate in Submerged Fermentation
Abstract
1. Introduction
2. Materials and Methods
2.1. Reagents and Strains
2.2. Fungal Strain and Growth Conditions
2.3. Cultivation Conditions for the Production of Antimicrobial and Antioxidant Compounds
2.4. Extraction of Antimicrobial Compounds
2.5. Fractionation and Evaluation of Fermented Extracts
2.6. Semi-Purification of Crude Samples Using Column Chromatography
2.7. Antimicrobial Activity Measurement
2.8. Minimal Inhibitory Concentration (MIC) and the Half-Maximal Inhibitory Concentration (IC50) Values
2.9. Analysis of Antimicrobial Compounds Using RP-HPLC-ESI-MS
2.10. Antioxidant Determination by DPPH Method and ABTS Radical Scavenging Assay
2.11. Statistical Analysis
3. Results and Discussion
3.1. Evaluation of Antimicrobial Activity of Extracellular Compounds from the Crude Samples
3.2. Effects of Fermentation Time and Co-Substrate on the Production of Antimicrobial Compounds
3.3. Antimicrobial Activity of Crude, Extracted, Fractionated, and Semi-Purified Samples Against E. coli, S. aureus, MRSA, and P. aeruginosa
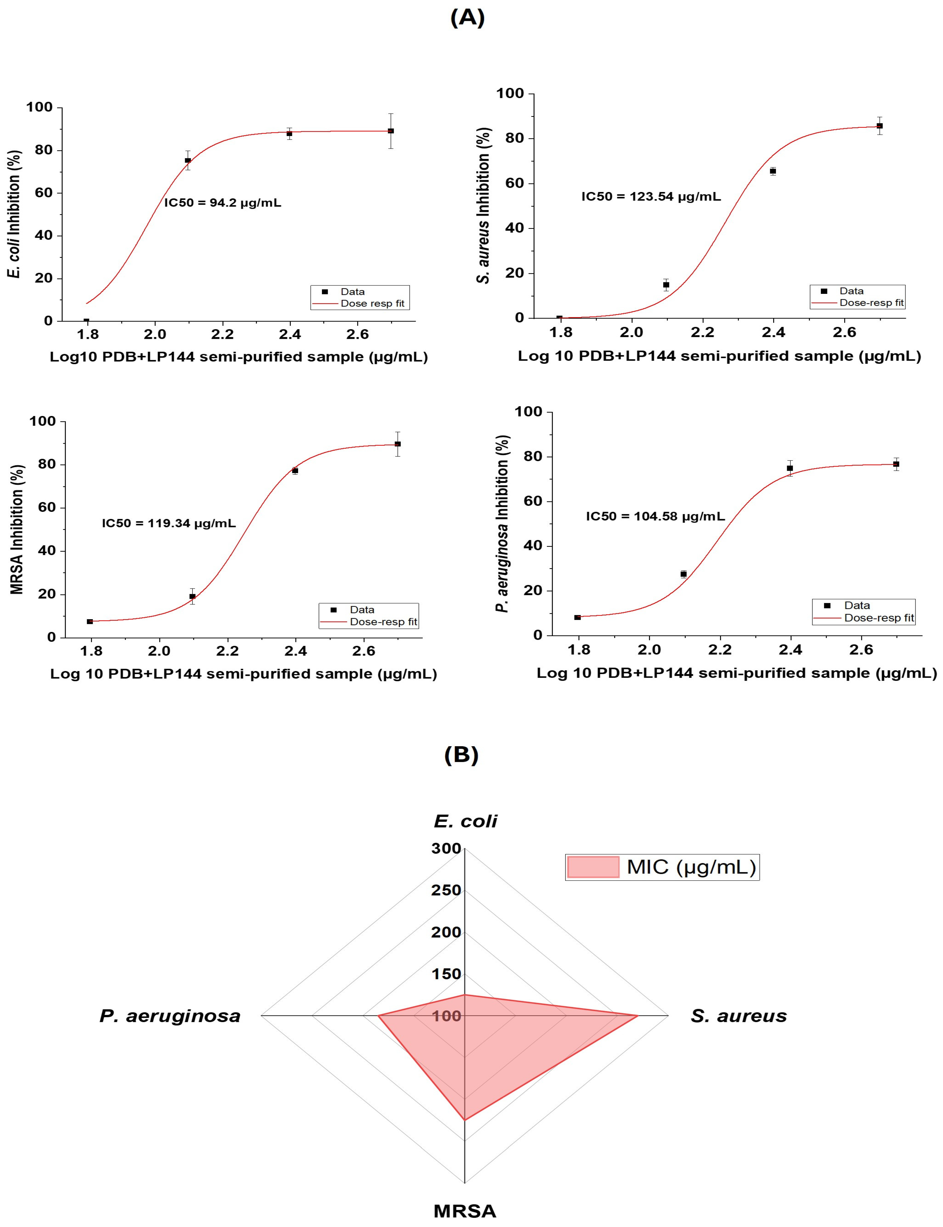
3.4. Determination of Minimum Inhibitory Concentration (MIC) of Semi-Purified Samples
3.5. Identification of Antimicrobial Compounds Using RP-HPLC-ESI-MS
3.6. Influence of Lemon Peel Co-Substrate on Antioxidant Activity (DPPH and ABTS) and Metabolite Composition
4. Conclusions
Supplementary Materials
Author Contributions
Funding
Institutional Review Board Statement
Informed Consent Statement
Data Availability Statement
Acknowledgments
Conflicts of Interest
References
- Varela, M.F.; Stephen, J.; Lekshmi, M.; Ojha, M.; Wenzel, N.; Sanford, L.M.; Hernandez, A.J.; Parvathi, A.; Kumar, S.H. Bacterial resistance to antimicrobial agents. Antibiotics 2021, 10, 593. [Google Scholar] [CrossRef]
- Grijseels, S.; Nielsen, J.C.; Larsen, T.O.; Frisvad, J.C.; Nielsen, K.F.; Frandsen, R.J.N.; Workman, M. Physiological characterization of secondary metabolite producing Penicillium cell factories. Fungal Biol. Biotechnol. 2017, 4, 1–12. [Google Scholar] [CrossRef] [PubMed]
- Raper, K.B.; Alexander, D.F.; Coghill, R.D. Penicillin II. Natural Variation and Penicillin Production in Penicillium notatum and Allied Species. J. Bacteriol. 1944; in press. Available online: https://journals.asm.org/journal/jb (accessed on 1 January 2025).
- Yu, G.; Sun, Z.; Peng, J.; Zhu, M.; Che, Q.; Zhang, G.; Zhu, T.; Gu, Q.; Li, D. Secondary metabolites produced by combined culture of Penicillium crustosum and a Xylaria sp. J. Nat. Prod. 2019, 82, 2013–2017. [Google Scholar] [CrossRef]
- Lin, D.; Yang, L.; Yang, J.; Li, F.; Cui, X.; Yang, X. Five unreported ketone compounds—Penicrustones A–E—From the endophytic fungus Penicillium crustosum. Microorganisms 2024, 12, 2195. [Google Scholar] [CrossRef] [PubMed]
- Ikram, M.; Ali, N.; Jan, G.; Hamayun, M.; Jan, F.G.; Iqbal, A. Novel antimicrobial and antioxidative activity by endophytic Penicillium roqueforti and Trichoderma reesei isolated from Solanum surattense. Acta Physiol. Plant. 2019, 41, 1–16. [Google Scholar] [CrossRef]
- Chagas, M.D.S.S.; Behrens, M.D.; Moragas-Tellis, C.J.; Penedo, G.X.M.; Silva, A.R.; Gonçalves-De-Albuquerque, C.F. Flavonols and flavones as potential anti-inflammatory, antioxidant, and antibacterial compounds. Oxid. Med. Cell. Longev. 2022, 2022, 9966750. [Google Scholar] [CrossRef]
- Al Mousa, A.A.; Abouelela, M.E.; Al Ghamidi, N.S.; Abo-Dahab, Y.; Mohamed, H.; Abo-Dahab, N.F.; Hassane, A.M.A. Anti-Staphylococcal, anti-Candida, and free-radical scavenging potential of soil fungal metabolites. Curr. Issues Mol. Biol. 2024, 46, 221–243. [Google Scholar] [CrossRef] [PubMed]
- Sułkowska-Ziaja, K.; Trepa, M.; Olechowska-Jarząb, A.; Nowak, P.; Ziaja, M.; Kała, K.; Muszyńska, B. Natural compounds of fungal origin with antimicrobial activity—Potential cosmetics applications. Pharmaceuticals 2023, 16, 1200. [Google Scholar] [CrossRef]
- Hamza, A.; Shankar, M.P.; Chowdary, U.S.; Ghanekar, S.; Sahoo, S.; Krishnaiah, C.V.; Kumar, D.S. Submerged production of mycelium biomass and bioactive compounds from P. ostreatus in a controlled fermentation medium. Food Hum. 2024, 2, 100302. [Google Scholar] [CrossRef]
- Russo, C.; Maugeri, A.; Lombardo, G.E.; Musumeci, L.; Barreca, D.; Rapisarda, A.; Cirmi, S.; Navarra, M. The second life of citrus fruit waste: A valuable source of bioactive compounds. Molecules 2021, 26, 5991. [Google Scholar] [CrossRef]
- Núñez-Serrano, A.; García-Reyes, R.B.; Solís-Pereira, S.; García-González, A. Production and immobilization of pectinases from Penicillium crustosum in magnetic core-shell nanostructures for juice clarification. Int. J. Biol. Macromol. 2024, 263, 130268. [Google Scholar] [CrossRef]
- Núñez-Serrano, A.; García-Reyes, R.B.; García-González, A. Optimization of hydrolases production by Penicillium crustosum in submerged fermentation using agro-waste residues as cosubstrate. Biocatal. Agric. Biotechnol. 2024, 57, 103116. [Google Scholar] [CrossRef]
- Carlos, D.L.-M.J.; Leonardo, S.; Jesús, M.-C.; Paola, M.-R.; Alejandro, Z.-C.; Juan, A.-V.; Noé, A.C. Solid-state fermentation with Aspergillus niger GH1 to enhance polyphenolic content and antioxidative activity. Plants 2020, 9, 1518. [Google Scholar] [CrossRef]
- Dudeja, S.; Chhokar, V.; Beniwal, V.; Badgujjar, H.; Chauhan, R.; Soni, S.; Kumar, A. Optimization and production of antimicrobial compounds by Aspergillus flavus MTCC 13062. Biocatal. Agric. Biotechnol. 2021, 35, 102065. [Google Scholar] [CrossRef]
- Saleem, M.; Saeed, M.T. Potential application of waste fruit peels as wide-range natural antimicrobial agents. J. King Saud Univ. Sci. 2020, 32, 805–810. [Google Scholar] [CrossRef]
- Pasquina-Lemonche, L.; Burns, J.; Turner, R.D.; Kumar, S.; Tank, R.; Mullin, N.; Wilson, J.S.; Chakrabarti, B.; Bullough, P.A.; Foster, S.J.; et al. The architecture of the Gram-positive bacterial cell wall. Nature 2020, 582, 294–297. [Google Scholar] [CrossRef]
- Gow, N.A.R.; Latge, J.P.; Munro, C.A. The fungal cell wall: Structure, biosynthesis, and function. Microbiol. Spectr. 2017, 5, 28513415. [Google Scholar] [CrossRef]
- Lu, H.; Shrivastava, M.; Whiteway, M.; Jiang, Y. Candida albicans targets that potentially synergize with fluconazole. Crit. Rev. Microbiol. 2021, 47, 1884641. [Google Scholar] [CrossRef]
- Okabe, M.; Sugita, T.; Kinoshita, K.; Koyama, K. Macrolides showing synergistic effects with fluconazole. J. Nat. Prod. 2016, 79, 1208–1212. [Google Scholar] [CrossRef] [PubMed]
- Malmström, J.; Christophersen, C.; Frisvad, J.C. Secondary Metabolites Characteristic of Penicillium citrinum, Penicillium steckii and related species. Phytochemistry 2000, 54, 301–309. [Google Scholar] [CrossRef]
- Tajick, M.A.; Mohammadkhani, G.H.S.; Babaeizad, V. Identification of secondary metabolites in four penicillium species. Mycol. Iran. 2014, 1, 107–113. [Google Scholar]
- International Journal of Biosciences (IJB). In vitro antimicrobial study of Aspergillus flavus mycelial extract. Int. J. Biosci. 2014, 4, 223–228. [Google Scholar] [CrossRef]
- Biharee, A.; Sharma, A.; Kumar, A.; Jaitak, V. Antimicrobial flavonoids as a potential substitute for overcoming antimicrobial resistance. Fitoterapia 2020, 152, 104720. [Google Scholar] [CrossRef]
- Trigo-Gutierrez, J.K.; Vega-Chacón, Y.; Soares, A.B.; Mima, E. Antimicrobial activity of curcumin in nanoformulations. Int. J. Mol. Sci. 2021, 22, 7130. [Google Scholar] [CrossRef]
- Sharma, K.; Mahato, N.; Lee, Y.R. Extraction, characterization and biological activity of citrus flavonoids. Rev. Chem. Eng. 2019, 35, 265–284. [Google Scholar] [CrossRef]
- Kyselka, J.; Rabiej, D.; Dragoun, M.; Kreps, F.; Burčová, Z.; Němečková, I.; Smolová, J.; Bjelková, M.; Szydłowska-Czerniak, A.; Schmidt, Š.; et al. Antioxidant and antimicrobial activity of linseed lignans and phenolic acids. Eur. Food Res. Technol. 2017, 243, 1633–1644. [Google Scholar] [CrossRef]
- Mandal, M.K.; Domb, A.J. Antimicrobial activities of natural bioactive polyphenols. Pharmaceutics 2024, 16, 718. [Google Scholar] [CrossRef] [PubMed]
- Hamed, A.A.; Abdel-Aziz, M.S.; El Hady, F.K.A. Antimicrobial and antioxidant activities of Aspergillus unguis extracts. Bull. Natl. Res. Cent. 2018, 42, 27. [Google Scholar] [CrossRef]
- Chandra, P.; Arora, D.S. Optimization of antioxidant potential of Penicillium granulatum. ISRN Microbiol. 2012, 2012, 452024. [Google Scholar] [CrossRef]
- Gómez, B.; Gullón, B.; Yáñez, R.; Parajó, J.C.; Alonso, J.L. Pectic oligosaccharides from lemon peel wastes. J. Agric. Food Chem. 2013, 61, 10043–10053. [Google Scholar] [CrossRef]
- Chakraborty, A.; Majumdar, S.; Bhowal, J. Phytochemical screening and antioxidant and antimicrobial activities of filamentous fungi. Arch. Microbiol. 2021, 203, 6091–6108. [Google Scholar] [CrossRef] [PubMed]
- Naveen, K.V.; Saravanakumar, K.; Sathiyaseelan, A.; Wang, M.-H. Comparative analysis of the antioxidant, antidiabetic, antibacterial, and cytoprotective potential of two endophytic Penicillium spp. Antioxidants 2023, 12, 248. [Google Scholar] [CrossRef] [PubMed]
- George, T.K.; Devadasan, D.; Jisha, M.S. Chemotaxonomic profiling of Penicillium setosum. Heliyon 2019, 5, e02484. [Google Scholar] [CrossRef] [PubMed]
- Basavarajappa, D.S.; Niazi, S.K.; Bepari, A.; Assiri, R.A.; Hussain, S.A.; Muzaheed Nayaka, S.; Hiremath, H.; Rudrappa, M.; Chakraborty, B.; Hugar, A. Efficacy of Penicillium limosum strain AK-7 derived metabolites against ovarian cancer. Microorganisms 2023, 11, 2480. [Google Scholar] [CrossRef]



| Experiment | Pathogenic Strains | ||
|---|---|---|---|
| E. coli | S. aureus | C. albicans | |
| PDB (without fungal inoculation) | n.d. | n.d. | n.d. |
| PDB+LP (without fungal inoculation) | 0.45 ± 0.3 | 0.07 ± 0.00 | n.d. |
| PDB | 1.73 ± 0.03 | 4.35 ± 0.15 | n.d. |
| PDB+LP | 5.17 ± 0.25 | n.d. | n.d. |
| Streptomycin | 4.44 ± 0.56 | 4.43 ± 0.56 | - |
| Fluconazole | - | - | 3.97 ± 1.08 |
| Negative control | n.d. | n.d. | n.d. |
| Sample | Fraction | ID | Retention Time (min) | Mass (m/z)/[M-H]− | Compound | Chemical Class |
|---|---|---|---|---|---|---|
| PDB120 | Crude | 1 | 5.014 | 826.5 | - | - |
| Aqueous phase | 2 | 5.015 | 826.7 | - | - | |
| 3 | 5.208 | 376.9 | 3,4-dihydroxyphenylethanol-elenolic acid (3,4-DHPEA-EA) | Tyrosols | ||
| 4 | 7.82 | 602 | - | - | ||
| Organic phase | 5 | 5.144 | 376.8 | 3,4-dihydroxyphenylethanol-elenolic acid | Tyrosols | |
| 6 | 11.202 | 306.7 | Bisdemethoxycurcumin | Curcuminoid | ||
| 7 | 32.369 | 722.9 | 1-O-Sinapoyl-2-O-feruloyl gentibiose | Methoxycinnamic acid | ||
| >10 kDa | 8 | 4.659 | 376.9 | 3,4-dihydroxyphenylethanol-elenolic acid | Tyrosol | |
| <10 kDa | 9 | 4.456 | 356.7 | Ferulic acid 4-O-glucoside | Methoxycinnamic acid | |
| Semi-purified | 10 | 5.283 | 664.7 | Naringin 6′-malonate | Flavonone | |
| 11 | 18.89 | 364.8 | Secoisolariciresinol | Lignan | ||
| 12 | 23.543 | 356.6 | Ferulic acid 4-O-glucoside | Methoxycinnamic acid | ||
| 13 | 32.992 | 364.8 | Secoisolariciresinol | Lignan | ||
| 14 | 36.245 | 608.8 | Quercetin 3-O-xylosyl-glucuronide | Flavonol | ||
| PDB+LP144. | Control * | 15 | 4.086 | 356.7 | Ferulic acid 4-O-glucoside | Methoxycinnamic acid |
| 16 | 40.457 | 292.6 | Caffeoyl aspartic acid | Hydroxycinnamic acids | ||
| 17 | 5.501 | 190.9 | p-Coumaric acid ethyl ester | Hydroxycinnamic acids | ||
| 18 | 22.426 | 364.8 | Secoisolariciresinol | Lignan | ||
| 19 | 36.245 | 608.8 | Quercetin 3-O-xylosyl-glucuronide | Flavonol | ||
| Crude | 20 | 5.154 | 544.8 | 3,4-Diferuloylquinic acid | Methoxycinnamic acid | |
| 21 | 20.171 | 365.0 | Secoisolariciresinol | Lignan | ||
| 22 | 27.065 | 356.8 | Ferulic acid 4-O-glucoside | Methoxycinnamic acid | ||
| 23 | 35.041 | 723.0 | 1-O-Sinapoyl-2-O-feruloyl gentiobiose | Methoxycinnamic acid | ||
| Aqueous phase | 24 | 5.007 | 190.9 | p-Coumaric acid ethyl ester | Hydroxycinnamic acids | |
| 215 | 26.082 | 356.9 | Ferulic acid 4-O-glucoside | Methoxycinnamic acid | ||
| 26 | 34.975 | 608.9 | Quercetin 3-O-xylosyl-glucuronide | Flavonol | ||
| Organic phase | 27 | 4.660 | 190.9 | p-Coumaric acid ethyl ester | Hydroxycinnamic acids | |
| 28 | 31.517 | 608.7 | Quercetin 3-O-xylosyl-glucuronide | Flavonol | ||
| 29 | 35.458 | 292.6 | Caffeoyl aspartic acid | Hydroxycinnamic acids | ||
| 30 | 21.919 | 356.8 | Ferulic acid 4-O-glucoside | Methoxycinnamic acid | ||
| >10 kDa | 31 | 5.071 | 368.9 | Sesaminol | Lignan | |
| 32 | 7.476 | 364.9 | Secoisolariciresinol | Lignan | ||
| 33 | 37.440 | 608.8 | Quercetin 3-O-xylosyl-glucuronide | Flavonol | ||
| <10 kDa | 34 | 5.221 | 190.9 | p-Coumaric acid ethyl ester | Hydroxycinnamic acids | |
| 35 | 11.688 | 356.7 | Ferulic acid 4-O-glucoside | Methoxycinnamic acid | ||
| 36 | 21.083 | 365.0 | Secoisolariciresinol | Lignan | ||
| 37 | 26.281 | 357.0 | Ferulic acid 4-O-glucoside | Methoxycinnamic acid | ||
| 38 | 35.974 | 608.7 | Quercetin 3-O-xylosyl-glucuronide | Flavonol | ||
| Semi-purified | 39 | 5.324 | 340.7 | Caffeic acid 4-O-glucoside | Hydroxycinnamic acids | |
| 40 | 8.578 | 356.5 | Ferulic acid 4-O-glucoside | Lignan | ||
| 41 | 31.586 | 808.0 | Spinacetin 3-O—glucosyl-(1-6)-[apiosyl(1-2)]-glucoside | Methoxyflavonol | ||
| 42 | 35.743 | 578.7 | Naringin | Flavonone | ||
| 43 | 37.851 | 608.7 | Quercetin 3-O-xylosyl-glucuronide | Flavonol | ||
| 44 | 43.283 | 794.0 | - | - |
| DPPH Radical Scavenging Assay | ABTS Radical Scavenging Assay | |||||||
|---|---|---|---|---|---|---|---|---|
| Fractions | PDB120 Samples | PDB+LP144 Samples | PDB120 | PDB+LP144 Samples | ||||
| % Inhibition | µmol TE | % Inhibition | µmol TE | % Inhibition | µmol TE | % Inhibition | µmol TE | |
| Crude | 70.3 ± 1.58 | 84.91 ± 2.58 | 49.87 ± 2.58 | 46.31 ± 1.02 | 21.48 ± 0.97 | 50.79 ± 11.01 | 18.49 ± 0.56 | 24.58 ± 7.99 |
| Organic phase | 70.59 ± 2.05 | 85.42 ± 5.56 | 34.92 ± 1.51 | 25.9 ± 0.36 | 20.18 ± 4.05 | 32.95 ± 7.65 | 38.51 ± 5.02 | 138.54 ± 33.21 |
| Aqueous phase | 67.43 ± 1.47 | 80.01 ± 1.36 | 37.65 ± 0.87 | 29.72 ± 2.98 | 8.41 ± 1.02 | 7.75 ± 0.05 | 11.33 ± 1.65 | 14.79 ± 0.93 |
| >10 kDa | 70.52 ± 5.08 | 85.34 ± 6.98 | 52.76 ± 4.05 | 50.63 ± 1.45 | 17.72 ± 1.06 | 37.5 ± 3.81 | 20.18 ± 2.54 | 49.45 ± 12.37 |
| <10 kDa | 37.51 ± 0.94 | 29.58 ± 1.25 | 55.65 ± 3.68 | 54.92 ± 0.99 | 26.48 ± 1.58 | 32.95 ± 7.65 | 12.77 ± 0.94 | 21.79 ± 1.33 |
| Semi-purified | 33.12 ± 1.03 | 22.31 ± 2.48 | 43.54 ± 2.78 | 54.72 ± 0.97 | 50.11 ± 3.67 | 194.91 ± 32.8 | 68.43 ± 5.31 | 238.95 ± 2.17 |
| Control * | - | - | 45.98 ± 1.05 | 31.6 ± 2.45 | - | - | 54.93 ± 3.21 | 29.1 ± 0.98 |
Disclaimer/Publisher’s Note: The statements, opinions and data contained in all publications are solely those of the individual author(s) and contributor(s) and not of MDPI and/or the editor(s). MDPI and/or the editor(s) disclaim responsibility for any injury to people or property resulting from any ideas, methods, instructions or products referred to in the content. |
© 2026 by the authors. Licensee MDPI, Basel, Switzerland. This article is an open access article distributed under the terms and conditions of the Creative Commons Attribution (CC BY) license.
Share and Cite
Núñez-Serrano, A.; García-Reyes, R.B.; Ascasio-Valdés, J.A.; Aguilar-González, C.N.; García-González, A. Production of Antimicrobial and Antioxidant Metabolites by Penicillium crustosum Using Lemon Peel as a Co-Substrate in Submerged Fermentation. Foods 2026, 15, 348. https://doi.org/10.3390/foods15020348
Núñez-Serrano A, García-Reyes RB, Ascasio-Valdés JA, Aguilar-González CN, García-González A. Production of Antimicrobial and Antioxidant Metabolites by Penicillium crustosum Using Lemon Peel as a Co-Substrate in Submerged Fermentation. Foods. 2026; 15(2):348. https://doi.org/10.3390/foods15020348
Chicago/Turabian StyleNúñez-Serrano, Arely, Refugio B. García-Reyes, Juan A. Ascasio-Valdés, Cristóbal N. Aguilar-González, and Alcione García-González. 2026. "Production of Antimicrobial and Antioxidant Metabolites by Penicillium crustosum Using Lemon Peel as a Co-Substrate in Submerged Fermentation" Foods 15, no. 2: 348. https://doi.org/10.3390/foods15020348
APA StyleNúñez-Serrano, A., García-Reyes, R. B., Ascasio-Valdés, J. A., Aguilar-González, C. N., & García-González, A. (2026). Production of Antimicrobial and Antioxidant Metabolites by Penicillium crustosum Using Lemon Peel as a Co-Substrate in Submerged Fermentation. Foods, 15(2), 348. https://doi.org/10.3390/foods15020348

