Sign in to use this feature.

Years

Between: -

Subjects

remove_circle_outline
remove_circle_outline
remove_circle_outline
remove_circle_outline
remove_circle_outline
remove_circle_outline
remove_circle_outline
remove_circle_outline
remove_circle_outline

Journals

remove_circle_outline
remove_circle_outline
remove_circle_outline

Article Types

Countries / Regions

remove_circle_outline
remove_circle_outline
remove_circle_outline
remove_circle_outline

Search Results (395)

Search Parameters:
Keywords = geometrical grids

Order results
Result details
Results per page
Select all
Export citation of selected articles as:
17 pages, 824 KB  
Article
Hierarchical Control of EV Virtual Power Plants: A Strategy for Peak-Shaving Ancillary Services
by Youzhuo Zheng, Hengrong Zhang, Anjiang Liu, Yue Li, Shuqing Hao, Yu Miao, Yujie Liang and Siyang Liao
Electronics 2026, 15(3), 578; https://doi.org/10.3390/electronics15030578 - 28 Jan 2026
Abstract
In recent years, the installed capacity of renewable energy sources, such as wind power and photovoltaic generation, has been steadily increasing in power systems. However, the inherent randomness and volatility of renewable energy generation pose greater challenges to grid frequency stability. To address [...] Read more.
In recent years, the installed capacity of renewable energy sources, such as wind power and photovoltaic generation, has been steadily increasing in power systems. However, the inherent randomness and volatility of renewable energy generation pose greater challenges to grid frequency stability. To address this issue, this paper first introduces the Minkowski sum algorithm to map the feasible regions of dispersed individual units into a high-dimensional hypercube space, achieving efficient aggregation of large-scale schedulable capacity. Compared with conventional geometric or convex-hull aggregation methods, the proposed approach better captures spatio-temporal coupling characteristics and reduces computational complexity while preserving accuracy. Subsequently, aiming at the coordination challenge between day-ahead planning and real-time dispatch, a “hierarchical coordination and dynamic optimization” control framework is proposed. This three-layer architecture, comprising “day-ahead pre-dispatch, intraday rolling optimization, and terminal execution,” combined with PID feedback correction technology, stabilizes the output deviation within ±15%. This performance is significantly superior to the market assessment threshold. The research results provide theoretical support and practical reference for the engineering promotion of vehicle–grid interaction technology and the construction of new power systems. Full article
23 pages, 2136 KB  
Article
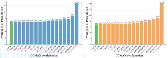
Coarse-to-Fine Contrast Maximization for Energy-Efficient Motion Estimation in Edge-Deployed Event-Based SLAM
by Kyeongpil Min, Jongin Choi and Woojoo Lee
Micromachines 2026, 17(2), 176; https://doi.org/10.3390/mi17020176 - 28 Jan 2026
Abstract
Event-based vision sensors offer microsecond temporal resolution and low power consumption, making them attractive for edge robotics and simultaneous localization and mapping (SLAM). Contrast maximization (CMAX) is a widely used direct geometric framework for rotational ego-motion estimation that aligns events by warping them [...] Read more.
Event-based vision sensors offer microsecond temporal resolution and low power consumption, making them attractive for edge robotics and simultaneous localization and mapping (SLAM). Contrast maximization (CMAX) is a widely used direct geometric framework for rotational ego-motion estimation that aligns events by warping them and maximizing the spatial contrast of the resulting image of warped events (IWE). However, conventional CMAX is computationally inefficient because it repeatedly processes the full event set and a full-resolution IWE at every optimization iteration, including late-stage refinement, incurring both event-domain and image-domain costs. We propose coarse-to-fine contrast maximization (CCMAX), a computation-aware CMAX variant that aligns computational fidelity with the optimizer’s coarse-to-fine convergence behavior. CCMAX progressively increases IWE resolution across stages and applies coarse-grid event subsampling to remove spatially redundant events in early stages, while retaining a final full-resolution refinement. On standard event-camera benchmarks with IMU ground truth, CCMAX achieves accuracy comparable to a full-resolution baseline while reducing floating-point operations (FLOPs) by up to 42%. Energy measurements on a custom RISC-V–based edge SoC further show up to 87% lower energy consumption for the iterative CMAX pipeline. These results demonstrate an energy-efficient motion-estimation front-end suitable for real-time edge SLAM on resource- and power-constrained platforms. Full article
(This article belongs to the Topic Collection Series on Applied System Innovation)
Show Figures

Figure 1

15 pages, 2001 KB  
Article
Method for Improving Positioning Accuracy of Rotating Scanning Satellite Images via Multi-Source Satellite Data Fusion
by Liwei Wang, Peng Wang, Yamin Zhang, Yi Wang and Bo Chen
Sensors 2026, 26(3), 850; https://doi.org/10.3390/s26030850 - 28 Jan 2026
Abstract
Rotating scanning systems are capable of acquiring ultra-wide swath satellite imagery, but they suffer from significant positioning accuracy degradation due to complex geometric distortions and the difficulty of obtaining ground control points (GCPs) over vast areas. To address these issues, this paper proposes [...] Read more.
Rotating scanning systems are capable of acquiring ultra-wide swath satellite imagery, but they suffer from significant positioning accuracy degradation due to complex geometric distortions and the difficulty of obtaining ground control points (GCPs) over vast areas. To address these issues, this paper proposes a precise positioning method based on multi-source satellite data fusion. By comprehensively utilizing high-resolution images from ZY-3 and GF-2 satellites alongside DEM data, we establish a framework that integrates grid-based feature point extraction, high-precision matching, and multi-image joint adjustment. Specifically, we introduce a matching strategy combining geometric constraints with Least Squares Minimization (LSM) and a robust joint adjustment model to suppress geometric distortions. Experimental validation was conducted using a dataset covering the Beijing area. The results demonstrate that after joint adjustment, the planar accuracy of the imagery reached 4.01 m, and the edge matching Root Mean Square Error (RMSE) between adjacent images was 2.52 m. Furthermore, the cooperative positioning accuracy for segmented simulation data achieved 4.68 m in mountainous areas and 5.22 m in plain areas, meeting the requirements for meter-level positioning. These results verify the effectiveness of multi-source cooperative adjustment in correcting geometric distortions and significantly improving the positioning accuracy of rotating scanning imagery. Full article
(This article belongs to the Section Navigation and Positioning)
Show Figures

Figure 1

26 pages, 30971 KB  
Article
Cooperative Air–Ground Perception Framework for Drivable Area Detection Using Multi-Source Data Fusion
by Mingjia Zhang, Huawei Liang and Pengfei Zhou
Drones 2026, 10(2), 87; https://doi.org/10.3390/drones10020087 - 27 Jan 2026
Abstract
Drivable area (DA) detection in unstructured off-road environments remains challenging for unmanned ground vehicles (UGVs) due to limited field-of-view, persistent occlusions, and the inherent limitations of individual sensors. While existing fusion approaches combine aerial and ground perspectives, they often struggle with misaligned spatiotemporal [...] Read more.
Drivable area (DA) detection in unstructured off-road environments remains challenging for unmanned ground vehicles (UGVs) due to limited field-of-view, persistent occlusions, and the inherent limitations of individual sensors. While existing fusion approaches combine aerial and ground perspectives, they often struggle with misaligned spatiotemporal viewpoints, dynamic environmental changes, and ineffective feature integration, particularly at intersections or under long-range occlusion. To address these issues, this paper proposes a cooperative air–ground perception framework based on multi-source data fusion. Our three-stage system first introduces DynCoANet, a semantic segmentation network incorporating directional strip convolution and connectivity attention to extract topologically consistent road structures from UAV imagery. Second, an enhanced particle filter with semantic road constraints and diversity-preserving resampling achieves robust cross-view localization between UAV maps and UGV LiDAR. Finally, a distance-adaptive fusion transformer (DAFT) dynamically fuses UAV semantic features with LiDAR BEV representations via confidence-guided cross-attention, balancing geometric precision and semantic richness according to spatial distance. Extensive evaluations demonstrate the effectiveness of our approach: on the DeepGlobe road extraction dataset, DynCoANet attains an IoU of 61.14%; cross-view localization on KITTI sequences reduces average position error by approximately 10%; and DA detection on OpenSatMap outperforms Grid-DATrNet by 8.42% in accuracy for large-scale regions (400 m × 400 m). Real-world experiments with a coordinated UAV-UGV platform confirm the framework’s robustness in occlusion-heavy and geometrically complex scenarios. This work provides a unified solution for reliable DA perception through tightly coupled cross-modal alignment and adaptive fusion. Full article
Show Figures

Figure 1

26 pages, 2162 KB  
Article
Iceberg Model as a Digital Risk Twin for the Health Monitoring of Complex Engineering Systems
by Igor Kabashkin
Mathematics 2026, 14(2), 385; https://doi.org/10.3390/math14020385 - 22 Jan 2026
Viewed by 21
Abstract
This paper introduces an iceberg-based digital risk twin (DRT) framework for the health monitoring of complex engineering systems. The proposed model transforms multidimensional sensor and contextual data into a structured, interpretable three-dimensional geometry that captures both observable and latent risk components. Each monitored [...] Read more.
This paper introduces an iceberg-based digital risk twin (DRT) framework for the health monitoring of complex engineering systems. The proposed model transforms multidimensional sensor and contextual data into a structured, interpretable three-dimensional geometry that captures both observable and latent risk components. Each monitored parameter is represented as a vertical geometric sheet whose height encodes a normalized risk level, producing an evolving iceberg structure in which the visible and submerged regions distinguish emergent anomalies from latent degradation. A formal mathematical formulation is developed, defining the mappings from the risk vector to geometric height functions, spatial layout, and surface composition. The resulting parametric representation provides both analytical tractability and intuitive visualization. A case study involving an aircraft fuel system demonstrates the capacity of the DRT to reveal dominant risk drivers, parameter asymmetries, and temporal trends not easily observable in traditional time-series analysis. The model is shown to integrate naturally into AI-enabled health management pipelines, providing an interpretable intermediary layer between raw data streams and advanced diagnostic or predictive algorithms. Owing to its modular structure and domain-agnostic formulation, the DRT approach is applicable beyond aviation, including power grids, rail systems, and industrial equipment monitoring. The results indicate that the iceberg representation offers a promising foundation for enhancing explainability, situational awareness, and decision support in the monitoring of complex engineering systems. Full article
Show Figures

Figure 1

28 pages, 11222 KB  
Article
Robustness Enhancement of Self-Localization for Drone-View Mixed Reality via Adaptive RGB-Thermal Integration
by Ryuto Fukuda and Tomohiro Fukuda
Technologies 2026, 14(1), 74; https://doi.org/10.3390/technologies14010074 - 22 Jan 2026
Viewed by 175
Abstract
Drone-view mixed reality (MR) in the Architecture, Engineering, and Construction (AEC) sector faces significant self-localization challenges in low-texture environments, such as bare concrete sites. This study proposes an adaptive sensor fusion framework integrating thermal and visible light (RGB) imagery to enhance tracking robustness [...] Read more.
Drone-view mixed reality (MR) in the Architecture, Engineering, and Construction (AEC) sector faces significant self-localization challenges in low-texture environments, such as bare concrete sites. This study proposes an adaptive sensor fusion framework integrating thermal and visible light (RGB) imagery to enhance tracking robustness for diverse site applications. We introduce the Effective Inlier Count (Neff) as a lightweight gating mechanism to evaluate the spatial quality of feature points and dynamically weigh sensor modalities in real-time. By employing a 20×16 grid-based spatial filtering algorithm, the system effectively suppresses the influence of geometric burstiness without significant computational overhead on server-side processing. Validation experiments across various real-world scenarios demonstrate that the proposed method maintains high geometric registration accuracy where traditional RGB-only methods fail. In texture-less and specular conditions, the system consistently maintained an average Intersection over Union (IoU) above 0.72, while the baseline suffered from complete tracking loss or significant drift. These results confirm that thermal-RGB integration ensures operational availability and improves long-term stability by mitigating modality-specific noise. This approach offers a reliable solution for various drone-based AEC tasks, particularly in GPS-denied or adverse environments. Full article
(This article belongs to the Special Issue Image Analysis and Processing)
Show Figures

Graphical abstract

16 pages, 3906 KB  
Article
S3PM: Entropy-Regularized Path Planning for Autonomous Mobile Robots in Dense 3D Point Clouds of Unstructured Environments
by Artem Sazonov, Oleksii Kuchkin, Irina Cherepanska and Arūnas Lipnickas
Sensors 2026, 26(2), 731; https://doi.org/10.3390/s26020731 - 21 Jan 2026
Viewed by 118
Abstract
Autonomous navigation in cluttered and dynamic industrial environments remains a major challenge for mobile robots. Traditional occupancy-grid and geometric planning approaches often struggle in such unstructured settings due to partial observability, sensor noise, and the frequent presence of moving agents (machinery, vehicles, humans). [...] Read more.
Autonomous navigation in cluttered and dynamic industrial environments remains a major challenge for mobile robots. Traditional occupancy-grid and geometric planning approaches often struggle in such unstructured settings due to partial observability, sensor noise, and the frequent presence of moving agents (machinery, vehicles, humans). These limitations seriously undermine long-term reliability and safety compliance—both essential for Industry 4.0 applications. This paper introduces S3PM, a lightweight entropy-regularized framework for simultaneous mapping and path planning that operates directly on dense 3D point clouds. Its key innovation is a dynamics-aware entropy field that fuses per-voxel occupancy probabilities with motion cues derived from residual optical flow. Each voxel is assigned a risk-weighted entropy score that accounts for both geometric uncertainty and predicted object dynamics. This representation enables (i) robust differentiation between reliable free space and ambiguous/hazardous regions, (ii) proactive collision avoidance, and (iii) real-time trajectory replanning. The resulting multi-objective cost function effectively balances path length, smoothness, safety margins, and expected information gain, while maintaining high computational efficiency through voxel hashing and incremental distance transforms. Extensive experiments in both real-world and simulated settings, conducted on a Raspberry Pi 5 (with and without the Hailo-8 NPU), show that S3PM achieves 18–27% higher IoU in static/dynamic segmentation, 0.94–0.97 AUC in motion detection, and 30–45% fewer collisions compared to OctoMap + RRT* and standard probabilistic baselines. The full pipeline runs at 12–15 Hz on the bare Pi 5 and 25–30 Hz with NPU acceleration, making S3PM highly suitable for deployment on resource-constrained embedded platforms. Full article
(This article belongs to the Special Issue Mobile Robots: Navigation, Control and Sensing—2nd Edition)
Show Figures

Figure 1

17 pages, 12498 KB  
Article
Wavefront Fitting over Arbitrary Freeform Apertures via CSF-Guided Progressive Quasi-Conformal Mapping
by Tong Yang, Chengxiang Guo, Lei Yang and Hongbo Xie
Photonics 2026, 13(1), 95; https://doi.org/10.3390/photonics13010095 - 21 Jan 2026
Viewed by 116
Abstract
In freeform optical metrology, wavefront fitting over non-circular apertures is hindered by the loss of Zernike polynomial orthogonality and severe sampling grid distortion inherent in standard conformal mappings. To address the resulting numerical instability and fitting bias, we propose a unified framework curve-shortening [...] Read more.
In freeform optical metrology, wavefront fitting over non-circular apertures is hindered by the loss of Zernike polynomial orthogonality and severe sampling grid distortion inherent in standard conformal mappings. To address the resulting numerical instability and fitting bias, we propose a unified framework curve-shortening flow (CSF)-guided progressive quasi-conformal mapping (CSF-QCM), which integrates geometric boundary evolution with topology-aware parameterization. CSF-QCM first smooths complex boundaries via curve-shortening flow, then solves a sparse Laplacian system for harmonic interior coordinates, thereby establishing a stable diffeomorphism between physical and canonical domains. For doubly connected apertures, it preserves topology by computing the conformal modulus via Dirichlet energy minimization and simultaneously mapping both boundaries. Benchmarked against state-of-the-art methods (e.g., Fornberg, Schwarz–Christoffel, and Ricci flow) on representative irregular apertures, CSF-QCM suppresses area distortion and restores discrete orthogonality of the Zernike basis, reducing the Gram matrix condition number from >900 to <8. This enables high-precision reconstruction with RMS residuals as low as 3×103λ and up to 92% lower fitting errors than baselines. The framework provides a unified, computationally efficient, and numerically stable solution for wavefront reconstruction in complex off-axis and freeform optical systems. Full article
(This article belongs to the Special Issue Freeform Optical Systems: Design and Applications)
Show Figures

Figure 1

23 pages, 7327 KB  
Article
Knit-Pix2Pix: An Enhanced Pix2Pix Network for Weft-Knitted Fabric Texture Generation
by Xin Ru, Yingjie Huang, Laihu Peng and Yongchao Hou
Sensors 2026, 26(2), 682; https://doi.org/10.3390/s26020682 - 20 Jan 2026
Viewed by 131
Abstract
Texture mapping of weft-knitted fabrics plays a crucial role in virtual try-on and digital textile design due to its computational efficiency and real-time performance. However, traditional texture mapping techniques typically adapt pre-generated textures to deformed surfaces through geometric transformations. These methods overlook the [...] Read more.
Texture mapping of weft-knitted fabrics plays a crucial role in virtual try-on and digital textile design due to its computational efficiency and real-time performance. However, traditional texture mapping techniques typically adapt pre-generated textures to deformed surfaces through geometric transformations. These methods overlook the complex variations in yarn length, thickness, and loop morphology during stretching, often resulting in visual distortions. To overcome these limitations, we propose Knit-Pix2Pix, a dedicated framework for generating realistic weft-knitted fabric textures directly from knitted unit mesh maps. These maps provide grid-based representations where each cell corresponds to a physical loop region, capturing its deformation state. Knit-Pix2Pix is an integrated architecture that combines a multi-scale feature extraction module, a grid-guided attention mechanism, and a multi-scale discriminator. Together, these components address the multi-scale and deformation-aware requirements of this task. To validate our approach, we constructed a dataset of over 2000 pairs of fabric stretching images and corresponding knitted unit mesh maps, with further testing using spring-mass fabric simulation. Experiments show that, compared with traditional texture mapping methods, SSIM increased by 21.8%, PSNR by 20.9%, and LPIPS decreased by 24.3%. This integrated approach provides a practical solution for meeting the requirements of digital textile design. Full article
(This article belongs to the Section Intelligent Sensors)
Show Figures

Figure 1

21 pages, 2910 KB  
Article
Towards Sustainable Design: A Shape Optimization Framework for Climate-Adaptive Free-Form Roofs in Hot Regions
by Bowen Hou, Baoshi Jiang and Bangjian Wang
Appl. Sci. 2026, 16(2), 1028; https://doi.org/10.3390/app16021028 - 20 Jan 2026
Viewed by 110
Abstract
This study proposes a cross-disciplinary computational framework to advance the sustainable design of free-form grid roofs in hot climates, integrating architectural geometry with building thermal performance to enhance climate adaptability. Numerical analyses systematically explore the impact of thermal objectives, initial configurations, shape control [...] Read more.
This study proposes a cross-disciplinary computational framework to advance the sustainable design of free-form grid roofs in hot climates, integrating architectural geometry with building thermal performance to enhance climate adaptability. Numerical analyses systematically explore the impact of thermal objectives, initial configurations, shape control strategies, and boundary constraints. The optimization results demonstrate that targeting indoor temperature under extreme heat yields saddle-shaped, self-shading morphologies, which achieve a measurable improvement in thermal comfort by reducing indoor temperatures by approximately 2 °C. A key practical finding is that symmetric-point control outperforms full-point control. While full-point control may generate forms with complex central depressions that complicate drainage, symmetric-point control consistently yields morphologies that are inherently more regular, symmetric, and constructible. This results in a superior balance among thermal performance, practical design attributes (e.g., drainage feasibility and construction simplicity), and geometric coherence—a combination that aligns closely with real-world engineering requirements. Furthermore, directional boundary constraints are proven to be effective tools for regulating passive shading performance. The proposed framework provides engineers and designers with a systematic and automated method for the climate-responsive and low-carbon design of free-form architectural morphologies, contributing to the development of more sustainable and resilient building infrastructure. Full article
Show Figures

Figure 1

20 pages, 9287 KB  
Article
A Method Considering Multi-Dimensional Feature Differences for Extracting Rural Buildings Based on Airborne LiDAR
by Siyuan Xi and Jianghong Zhao
Sensors 2026, 26(2), 652; https://doi.org/10.3390/s26020652 - 18 Jan 2026
Viewed by 265
Abstract
Research on extracting building from airborne point clouds is abundant, yet discussions regarding scenarios where vegetation and building structures are closely intertwined with similar height in rural areas remain relatively scarce. This thesis adopts a region representative of typical rural building features in [...] Read more.
Research on extracting building from airborne point clouds is abundant, yet discussions regarding scenarios where vegetation and building structures are closely intertwined with similar height in rural areas remain relatively scarce. This thesis adopts a region representative of typical rural building features in China as an experimental site to conduct research on building classification procedures from airborne point clouds. Firstly, the multi-level grid size is dynamically determined through slope analysis to creatively segment and recognize terrain type, then differentiated filtering parameters are applied to various terrains to fully extract ground points, providing a ground reference for building classification. Secondly, the selection of building Region of Interest is conducted by multiple geometric feature differences between building and other objects based on watershed segmentation results, which eliminates interference from non-building points, significantly reducing redundant and unnecessary mathematical computation. Finally, refined building classification is achieved based on multiple morphological differences between buildings and other objects. The experimental results show that the precision, recall, and F1 of both datasets exceeded 93.37%, 97.05%, and 95.17%, respectively. The average precision, recall, and F1 reached 94.02%, 97.20%, and 95.58%, respectively. This method demonstrates successful building classification in rural areas, showing strong adaptability and practicality for the extraction of various building data. Full article
(This article belongs to the Section Radar Sensors)
Show Figures

Figure 1

23 pages, 6036 KB  
Article
Improved Performance of Wave Energy Converters and Arrays for Wave-to-Onshore Power Grid Integration
by Madelyn Veurink, David Wilson, Rush Robinett and Wayne Weaver
J. Mar. Sci. Eng. 2026, 14(2), 184; https://doi.org/10.3390/jmse14020184 - 15 Jan 2026
Viewed by 150
Abstract
This paper focuses on power grid integration of wave energy converter (WEC) arrays that minimize added energy storage for maximizing power capture as well as smoothing the oscillatory power inputs into the grid. In particular, a linear right circular cylinder WEC array that [...] Read more.
This paper focuses on power grid integration of wave energy converter (WEC) arrays that minimize added energy storage for maximizing power capture as well as smoothing the oscillatory power inputs into the grid. In particular, a linear right circular cylinder WEC array that implements complex conjugate control is compared and contrasted to a nonlinear WEC array that implements an hourglass buoy shape while both are integrated into the grid utilizing phase control (i.e., relative spacing of the WEC array) on the input powers to the grid. The Hamiltonians of the two WEC systems are derived, enabling a direct comparison of real and reactive power, with reactive power reflecting the utilization of stored energy. The control systems are simulated in MATLAB/Simulink under both regular wave conditions and irregular seas generated from a Bretschneider spectrum. For the linear right circular cylinder buoy, the proportional-derivative complex conjugate controller requires an external energy storage device to supply reactive power, whereas the nonlinear hourglass buoy inherently provides reactive power through its geometric design. This study demonstrates that: (i) The unique geometry of the hourglass buoy reduces the required energy storage size for the nonlinear system while simultaneously increasing power output. (ii) Phase control of the hexagonal hourglass array further enhances real power capture. Together, these effects substantially decrease the size and demand on the individual buoys and grid integration energy storage requirements. Full article
(This article belongs to the Section Ocean Engineering)
Show Figures

Figure 1

23 pages, 11947 KB  
Article
Geometry-Consistency-Guided Unsupervised Domain Adaptation Framework for Cross-Voltage Transmission-Line Point-Cloud Semantic Segmentation
by Kun Ji, Hongwu Tan, Dabing Yang, Pu Wang, Di Cao, Yuan Gao and Zhou Yang
Electronics 2026, 15(2), 378; https://doi.org/10.3390/electronics15020378 - 15 Jan 2026
Viewed by 142
Abstract
Semantic segmentation of transmission-line point clouds is fundamental to intelligent power inspection and grid asset management, as segmentation accuracy directly influences defect detection and facility assessment tasks. However, transmission-line point clouds collected across different voltage levels often show significant variations in density and [...] Read more.
Semantic segmentation of transmission-line point clouds is fundamental to intelligent power inspection and grid asset management, as segmentation accuracy directly influences defect detection and facility assessment tasks. However, transmission-line point clouds collected across different voltage levels often show significant variations in density and geometric structure due to heterogeneous LiDAR sensors and flight configurations. Combined with the high cost of large-scale manual annotation, these factors limit the scalability of existing supervised segmentation methods. To overcome these challenges, we propose a geometry-consistency-guided unsupervised domain adaptation framework tailored for cross-voltage transmission-line point-cloud segmentation. The framework employs KPConvX as the backbone and integrates three progressive components. First, a geometric consistency constraint enhances robustness to spatial variations and enables extraction of structural features invariant across voltage levels. Second, a domain feature alignment module reduces distribution shifts through global feature transformation. Third, a minimum-entropy-based pseudo-label refinement strategy improves the reliability of pseudo-labels during self-training. Experiments on a multi-voltage transmission-line dataset demonstrate the effectiveness of the proposed method. With the KPConvX backbone, the framework achieves 66.1% mean Intersection over Union (mIoU) and 94.3% overall accuracy on the unlabeled 110 kV target domain, exceeding the source-only baseline by 15.6% mIoU and outperforming several state-of-the-art UDA methods. This work provides an efficient, annotation-friendly solution for cross-voltage point-cloud segmentation and offers a promising direction for domain adaptation in complex power-grid environments. Full article
(This article belongs to the Special Issue Advances in 3D Computer Vision and 3D Data Processing)
Show Figures

Figure 1

29 pages, 2810 KB  
Article
PAIR: A Hybrid A* with PPO Path Planner for Multi-UAV Navigation in 2-D Dynamic Urban MEC Environments
by Bahaa Hussein Taher, Juan Luo, Ying Qiao and Hussein Ridha Sayegh
Drones 2026, 10(1), 58; https://doi.org/10.3390/drones10010058 - 13 Jan 2026
Viewed by 203
Abstract
Emerging multi-unmanned aerial vehicle (multi-UAV) applications in smart cities must navigate cluttered airspace while meeting tight mobile edge computing (MEC) deadlines. Classical grid planners, including A-star (A*), D-star Lite (D* Lite), and conflict-based search with D-star Lite (CBS-D*) and metaheuristics such asparticle swarm [...] Read more.
Emerging multi-unmanned aerial vehicle (multi-UAV) applications in smart cities must navigate cluttered airspace while meeting tight mobile edge computing (MEC) deadlines. Classical grid planners, including A-star (A*), D-star Lite (D* Lite), and conflict-based search with D-star Lite (CBS-D*) and metaheuristics such asparticle swarm optimization (PSO), either replan too slowly in dynamic scenes or waste energy on long detours. This paper presents PPO-adjusted incremental refinement (PAIR), a decentralized hybrid planner that couples an A* global backbone with a continuous PPO refinement module for multi-UAV navigation on two-dimensional (2-D) urban grids. A* produces feasible waypoint routes, while a shared risk-aware PPO policy applies local offsets from a compact state encoding. MEC tasks are allocated by a separate heterogeneous scheduler; PPO optimizes geometric objectives (path length, risk, and a normalized propulsion-energy surrogate). Across nine benchmark scenarios with static and Markovian dynamic obstacles, PAIR achieves 100% mission success (matching the strongest baselines) while delivering the best energy surrogate (104.9 normalized units) and shortest mean travel time (207.8 s) on a reproducible 100×100 grid at fixed UAV speed. Relative to the strongest non-learning baseline (PSO), PAIR reduces energy by about 4% and travel time by about 3%, and yields roughly 10–20% gains over the remaining planners. An obstacle-density sweep with 5–30 moving obstacles further shows that PAIR maintains shorter paths and the lowest cumulative replanning time, supporting real-time multi-UAV navigation in dynamic urban MEC environments. Full article
(This article belongs to the Special Issue Path Planning, Trajectory Tracking and Guidance for UAVs: 3rd Edition)
Show Figures

Figure 1

22 pages, 3126 KB  
Article
Parametric Optimization of Dormitory Energy Renovation Through Automated Rooftop PVI Simulations
by Jacek Abramczyk and Wiesław Bielak
Energies 2026, 19(2), 352; https://doi.org/10.3390/en19020352 - 11 Jan 2026
Viewed by 112
Abstract
Compared to the façades of student multi-story dormitories, flat horizontal roofs offer greater freedom in shaping the layout, orientation, horizontal inclination, and geometry of photovoltaic installations (PVI). The large number of parameters defining the geometric and physical characteristics of PVI necessitates the development [...] Read more.
Compared to the façades of student multi-story dormitories, flat horizontal roofs offer greater freedom in shaping the layout, orientation, horizontal inclination, and geometry of photovoltaic installations (PVI). The large number of parameters defining the geometric and physical characteristics of PVI necessitates the development of a method to support the optimization of energy renovation processes. To facilitate this innovative method, several automation and optimization procedures were implemented into a specialized computer application developed within the Rhino/Grasshopper graphical programming environment. The method’s algorithm allows for the definition of an initial parametric qualitative model of each rooftop installation. This model is configured through multiple iterative computer simulations aimed at identifying various discrete optimal qualitative models. The implemented optimizing condition concerns the amount of energy produced and relates to the variability of energy prices as well as the costs of purchasing and mounting the PVI. The optimizing procedure involves replacing a specific portion of grid energy with electricity produced by the PVI. The parameters describing variability include the geometric and physical properties, as well as the orientation of the PVI. In the second step, the algorithm optimizes the desired payback period and investment costs. The obtained results fill a gap in the field of multi-parameter optimizing methods for the energy renovation of student dormitories. Full article
(This article belongs to the Special Issue Performance Analysis of Building Energy Efficiency)
Show Figures

Figure 1

Back to TopTop