Sign in to use this feature.

Years

Between: -

Subjects

remove_circle_outline
remove_circle_outline
remove_circle_outline
remove_circle_outline
remove_circle_outline
remove_circle_outline
remove_circle_outline
remove_circle_outline
remove_circle_outline

Journals

remove_circle_outline
remove_circle_outline
remove_circle_outline
remove_circle_outline
remove_circle_outline
remove_circle_outline
remove_circle_outline
remove_circle_outline
remove_circle_outline
remove_circle_outline
remove_circle_outline
remove_circle_outline
remove_circle_outline
remove_circle_outline
remove_circle_outline
remove_circle_outline

Article Types

Countries / Regions

remove_circle_outline
remove_circle_outline
remove_circle_outline
remove_circle_outline
remove_circle_outline
remove_circle_outline

Search Results (2,664)

Search Parameters:
Keywords = genotypic value

Order results
Result details
Results per page
Select all
Export citation of selected articles as:
19 pages, 870 KB  
Article
Evaluation of Pomological and Phenological Traits of Blueberries for Breeding and Cultivation Practices
by Liliia Pavliuk, Michaela Marklová, Boris Krška and Jiři Sedlák
Appl. Sci. 2025, 15(20), 11158; https://doi.org/10.3390/app152011158 - 17 Oct 2025
Abstract
The highbush blueberry (Vaccinium corymbosum L.) is a promising fruit species due to its high nutritional value and health benefits. This study, conducted between 2020 and 2024, monitored the phenological and pomological characteristics of 32 different blueberry cultivars grown in the Czech [...] Read more.
The highbush blueberry (Vaccinium corymbosum L.) is a promising fruit species due to its high nutritional value and health benefits. This study, conducted between 2020 and 2024, monitored the phenological and pomological characteristics of 32 different blueberry cultivars grown in the Czech Republic. The evaluation was carried out according to Czech Republic standardized methodologies, BBCH (Biologische Bundesanstalt, Bundessortenamt und Chemische Industrie) and GRIN (Genetic Resources Information Network), and included parameters such as fruit size, flavor, aroma, firmness, color, and soluble solids content (SSC in °Brix). The correlation between individual traits was assessed, along with their phenotypic stability. The results showed that all cultivars exhibited high pomological values, making them suitable for breeding programs. The cultivars ‘Collins’ and ‘Patriot’ received the highest flavor ratings. Firmness, aroma, and color traits were found to be correlated with consumer preferences. The interannual coefficient of variation (CV) obtained for the evaluated blueberry cultivars differed for both pomological and phenological traits, allowing the identification of genotypes with high stability (CV ≤ 10%) and their potential use in targeted breeding programs and industrial production. The ‘Pink Lemonade’ blueberry cultivar, in particular, combines unique color characteristics with a strong aroma. Overall, this study provides valuable insights for future breeding efforts aimed at improving blueberry quality and cultivar adaptability under different cultivation conditions. Full article
(This article belongs to the Section Agricultural Science and Technology)
31 pages, 769 KB  
Review
Predicting Antibiotic Resistance in Listeria monocytogenes from Food and Food-Processing Environments Using Next-Generation Sequencing: A Systematic Review
by Patryk Wiśniewski, Patryk Adamski, Miłosz Trymers, Wioleta Chajęcka-Wierzchowska and Anna Zadernowska
Int. J. Mol. Sci. 2025, 26(20), 10112; https://doi.org/10.3390/ijms262010112 - 17 Oct 2025
Abstract
Listeria monocytogenes is a ubiquitous foodborne pathogen whose occurrence in food and food-processing environments raises public-health concerns, particularly when isolates carry antimicrobial-resistance determinants. Next-generation sequencing (NGS) is increasingly used to detect resistance genes and to predict phenotypic resistance. Following the Preferred Reporting Items [...] Read more.
Listeria monocytogenes is a ubiquitous foodborne pathogen whose occurrence in food and food-processing environments raises public-health concerns, particularly when isolates carry antimicrobial-resistance determinants. Next-generation sequencing (NGS) is increasingly used to detect resistance genes and to predict phenotypic resistance. Following the Preferred Reporting Items for Systematic Reviews and Meta-Analyses (PRISMA 2020) guidelines, PubMed, Web of Science, and Scopus were searched for original articles (2015–2024) that used second- and/or third-generation sequencing to characterize antibiotic resistance in L. monocytogenes from food and food-processing environments. After deduplication and screening, 58 studies were included from an initial 418 records. NGS reliably detected a set of recurrent resistance determinants across diverse sample types and geographies. The fosX locus (intrinsic fosfomycin-related marker) was effectively ubiquitous across studies, while acquired determinants were variably distributed: lin (35/58 studies, 60.34%), norB (33/58, 56.90%), and tetracycline genes overall in 20/58 (34.48%) with tetM as the most common (11/58, 18.97%). Reported concordance between the genotypes and phenotypes for acquired resistance was very high (>99% for most agents), with notable exceptions (e.g., ciprofloxacin and some fosfomycin cases). Common analysis pipelines and databases included ResFinder, CARD, BIGSdb-Lm, ABRicate, and ARIBA; most sequencing used Illumina short reads, with an increasing use of long-read or hybrid approaches. NGS is a powerful surveillance tool for detecting resistance determinants and for source-tracking, but its predictive value depends on integration with phenotypic testing, standardized reporting, and comprehensive, curated databases. Key gaps include inconsistent phenotype reporting, variable database coverage, and limited assessment of gene expression/regulatory effects. Full article
(This article belongs to the Special Issue Research Advances in Antibiotic Resistance)
18 pages, 890 KB  
Article
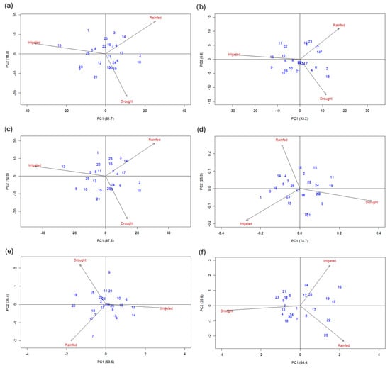
Genotype × Environment Interaction and Yield Stability of “Pinto” Bean (Phaseolus vulgaris L.) Lines in a Semi-arid Region of Mexico
by Odilón Gayosso Barragán, Jorge Alberto Acosta Gallegos, Juan Samuel Guadalupe Jesús Alcalá Rico, Yanet Jiménez Hernández, Griselda Chávez Aguilar, Ismael Fernando Chávez Díaz and Ulises Aranda Lara
Agriculture 2025, 15(20), 2150; https://doi.org/10.3390/agriculture15202150 - 16 Oct 2025
Viewed by 81
Abstract
The present study aimed to determine the Genotype × Environment interaction (GEI), yield stability, and agronomic performance of 24 “Pinto” bean lines under semi-arid conditions in Central-West Mexico. All the lines possess a slow-darkening seed coat, a trait that prolongs visual quality and [...] Read more.
The present study aimed to determine the Genotype × Environment interaction (GEI), yield stability, and agronomic performance of 24 “Pinto” bean lines under semi-arid conditions in Central-West Mexico. All the lines possess a slow-darkening seed coat, a trait that prolongs visual quality and increases market value. The lines, which exhibit an indeterminate prostrate growth habit, were evaluated in three contrasting environments: irrigated, rainfed, and drought-stressed. A combined analysis of variance, Tukey’s test, and the additive main effects and multiplicative interaction (AMMI 2) model were applied to assess seed yield and agronomic traits. Average seed yield declined markedly across environments, from 2279 kg ha−1 under irrigation to 593 kg ha−1 under drought stress, with different lines performing best in each environment. AMMI 2 biplot analysis showed that the first two principal components explained 100% of GEI variability for seed yield, dry shoot biomass, total biomass, harvest index, pods per plant, and seeds per pod. Both genetic and environmental effects were significant, with notable GEI patterns. Despite pronounced environmental influence, several lines exhibited stable performance across environments. Line 11 consistently combined high yield and stability, positioning it as a strong candidate for cultivar registration and as a parent in breeding programs targeting semiarid regions. These results underscore the importance of multi-environment evaluation for identifying genotypes with broad or specific adaptation, contributing to genetic improvement and sustainable bean production under variable moisture regimes. Full article
(This article belongs to the Special Issue Advancements in Genotype Technology and Their Breeding Applications)
Show Figures

Figure 1

14 pages, 795 KB  
Article
Relationship Between Breed, GH and CAST Genotypes, and FA Composition in the Ovine Intramuscular Fat of Musculus Semimembranosus
by Evaldas Šlyžius, Gintarė Zaborskienė, Vaida Andrulevičiūtė, Ingrida Sinkevičienė, Vilija Buckiūnienė and Renata Bižienė
Animals 2025, 15(20), 2992; https://doi.org/10.3390/ani15202992 - 15 Oct 2025
Viewed by 159
Abstract
The aim of the study to evaluate relationship between breed, GH and CAST genotypes, and FA composition in the ovine intramuscular fat of musculusSemimembranosus. To fulfil this aim, 175 blood samples were drawn by jugular vein puncture from Lithuanian Black-Headed (N43), [...] Read more.
The aim of the study to evaluate relationship between breed, GH and CAST genotypes, and FA composition in the ovine intramuscular fat of musculusSemimembranosus. To fulfil this aim, 175 blood samples were drawn by jugular vein puncture from Lithuanian Black-Headed (N43), Lithuanian Black-Headed *Ile de France (N43), Lithuanian Black-Headed *Suffolk (N44), and Lithuanian Black-Headed *Texel (N45) lambs. The lambs were weighed weekly, and the growth rate was calculated using birth weight and month weight values. Genomic DNA was extracted from blood samples taken into EDTA containing tubes, using a “GeneJET Genomic DNA Purification Kit” (Thermo Scientific, Waltham, MA, USA). The method of polymerase chain reaction and restriction length polymorphism were used to genotype growth hormone (GH) and (CAST) gene polymorphisms. Meat samples of four lamb breeds were taken for analysis (200–250 g from musculusSemimembranosus were taken 48 h after carcass meat cooling). The fatty acid methyl esters (FAMEs) were analyzed using a gas chromatography mass spectrometry (GC/MS) instrumental technique. All data were evaluated statistically. Studies have shown that purebred Lithuanian Black-Headed lambs are born with a higher weight, so it is not advisable to mix them with Ile de France, Suffolk, or Texel breeds. Also, our research shows that the most beneficial breed are lambs that have the BB genotype of the GH gene and the MN genotype of the CAST gene, as these lambs are born with the greatest weight and gain. The meat of Lithuanian Black-Headed lambs showed the lowest content of SFA and the largest content of PUFA. The ratio ω-6/ω-3 FA varied from 2.71 (Lithuanian Black-Headed * Suffolk) to 4.52 (Lithuanian Black-Headed). Based on the research, it can be concluded that the purebred Lithuanian Black-Headed lambs had higher birth weight, therefore it is not appropriate to mix them with Ile de France, Suffolk, or Texel breeds. Full article
(This article belongs to the Section Animal Genetics and Genomics)
Show Figures

Figure 1

13 pages, 649 KB  
Article
Genomic Selection for Economic Traits in Inner Mongolia Cashmere Goats by Integrating GWAS Prior Information
by Haijiao Xi, Qi Xu, Huanfeng Yao, Zihao Shen, Bohan Zhou, Qi Lv, Jinquan Li, Ruijun Wang, Yanjun Zhang, Rui Su and Zhiying Wang
Vet. Sci. 2025, 12(10), 996; https://doi.org/10.3390/vetsci12100996 - 15 Oct 2025
Viewed by 74
Abstract
The accuracy of genomic selection has a significant impact on the selection of superior individuals in livestock. Studies have reported that integrating GWAS information can improve the accuracy of genomic prediction. In this study, phenotypic data, systematic environmental data, and genotypic data of [...] Read more.
The accuracy of genomic selection has a significant impact on the selection of superior individuals in livestock. Studies have reported that integrating GWAS information can improve the accuracy of genomic prediction. In this study, phenotypic data, systematic environmental data, and genotypic data of important economic traits (cashmere yield, cashmere diameter, body weight, and cashmere length) of Inner Mongolia cashmere goats were utilized. Based on the results of a previous genome-wide association study that considered additive and dominance effects, the top 5%, top 10%, top 15%, and top 20% of loci were extracted as prior marker information. The genomic breeding values for each trait were estimated using the GBLUP–GA method based on GWAS prior information, and the accuracy of genomic prediction was further evaluated using a five-fold cross-validation method. The results showed that the contribution of significant loci to the genetic variance of each trait gradually increased with an increase of the number of integrated loci. The genetic variance contribution rates of significant loci to cashmere yield, cashmere diameter, body weight, and cashmere length were 64–71%, 47–57%, 76–82%, and 66–80%, respectively. The additive heritability estimates for cashmere yield, cashmere diameter, body weight, and cashmere length using GWAS prior information were 0.252–0.266, 0.297–0.580, 0.305–0.330, and 0.107–0.117, respectively. These values were higher than those obtained using the traditional G matrix constructed from all loci, with increases of 0.052–0.066, 0.007–0.29, 0.134–0.159, and 0.015–0.025, respectively. The results of genomic prediction accuracy showed that when 5% of the GWAS prior information was integrated, the highest genomic prediction accuracy was achieved for cashmere yield (0.8156), body weight (0.8361), and cashmere length (0.7571). When 20% of the GWAS prior information was integrated, the genomic prediction accuracy for cashmere diameter was 0.8074, which was significantly higher than that at other levels. Additionally, it was found that the dominance heritability for cashmere diameter, body weight, and cashmere length was very small and could be ignored when integrating GWAS prior information. Therefore, when integrating prior information for genomic selection of these traits, the influence of dominance effects can be disregarded. Full article
Show Figures

Figure 1

15 pages, 419 KB  
Article
Molecular Characterization of Plasmodium Species to Strengthen Malaria Surveillance in Migrant Populations in Honduras
by Ashley Godoy, Kevin Euceda, Alejandra Pinto, Hugo O. Valdivia, Lesly Chaver, Gloria Ardon and Gustavo Fontecha
Trop. Med. Infect. Dis. 2025, 10(10), 292; https://doi.org/10.3390/tropicalmed10100292 - 15 Oct 2025
Viewed by 254
Abstract
As Honduras approaches malaria elimination, imported infections pose a growing challenge to disease surveillance and control. In this study, we analyzed 14 molecular markers—six from Plasmodium falciparum and eight from P. vivax—in samples from local and migrant subjects to assess their utility [...] Read more.
As Honduras approaches malaria elimination, imported infections pose a growing challenge to disease surveillance and control. In this study, we analyzed 14 molecular markers—six from Plasmodium falciparum and eight from P. vivax—in samples from local and migrant subjects to assess their utility in differentiating local versus imported infections. All P. falciparum isolates carried the wild-type pfcrt haplotype associated with chloroquine susceptibility. However, polymorphisms in pfmdr1, pfama1, pfglurp, and pfs47 revealed distinct genotypes in migrant versus local samples, suggesting external origins. For P. vivax, three novel pvcsp VK210 haplotypes and the first detection of a VK247 variant in Honduras were identified in migrants. Additional novel haplotypes were found in pvmsp1, pvmsp3α, pvmsp3β, pvs47, and pvs48/45. Several of these markers—particularly pfmdr1, pfs47, pvs47, and pvs48/45—proved informative for inferring geographic origin. This study demonstrates the value of molecular surveillance in low-transmission settings, supporting public health efforts by identifying potentially imported cases. Full article
Show Figures

Figure 1

22 pages, 1139 KB  
Article
Fruits and Seeds as Indicators of the Genetic Diversity of Hymenaea martiana (Fabaceae) in Northeast Brazil
by Joyce Naiara da Silva, Guilherme Vinícius Gonçalves de Pádua, Caroline Marques Rodrigues, João Henrique Constantino Sales Silva, Cosma Layssa Santos Gomes, Marília Hortência Batista Silva Rodrigues, Maria Karoline Ferreira Bernardo, Eduardo Luã Fernandes da Silva, Luís Gustavo Alves de Almeida, Lenyneves Duarte Alvino de Araújo, Aline das Graças Souza, Naysa Flávia Ferreira do Nascimento and Edna Ursulino Alves
Biology 2025, 14(10), 1418; https://doi.org/10.3390/biology14101418 - 15 Oct 2025
Viewed by 187
Abstract
Hymenaea martiana is a species native to Brazil. It has ecological value, contributes to forest restoration, and is economically important because of the use of its wood and fruits. However, it is frequently exploited. Therefore, understanding genetic diversity becomes essential for guiding conservation [...] Read more.
Hymenaea martiana is a species native to Brazil. It has ecological value, contributes to forest restoration, and is economically important because of the use of its wood and fruits. However, it is frequently exploited. Therefore, understanding genetic diversity becomes essential for guiding conservation strategies as well as ecological restoration actions in the face of climate change and anthropogenic pressures. Thus, this study aimed to evaluate the intraspecific diversity of 160 H. martiana mother plants on the basis of morphological descriptors of fruits and seeds and physiological indicators of seed quality, identifying the most discriminating characters. Eighteen traits were analyzed and subjected to analysis of variance and the Scott–Knott test (p < 0.05), with estimates of heritability and the ratio between genetic and environmental coefficients of variation. Phenotypic divergence was obtained via the Mahalanobis distance (D2) and grouped via UPGMA, whereas the relative contribution of the traits was estimated via the Singh method. The results revealed that seed length and weight, emergence speed index, and shoot dry mass were the most effective descriptors for discriminating parent plants. Multivariate analysis revealed the formation of eleven phenotypically distinct groups, demonstrating high variability. These findings support the selection of superior genotypes and representative seed collection, as well as practical initiatives such as the formation of germplasm banks, the selection of breeding stock for forest nurseries, and reintroduction programs. Thus, the data obtained offer technical and scientific support for biodiversity conservation and ecosystem recovery in the semiarid region of Brazil. Full article
(This article belongs to the Special Issue Genetic Variability within and between Populations)
Show Figures

Figure 1

15 pages, 1786 KB  
Article
Identification and Association of CYP2R1, CYP27B1, and GC Gene Polymorphisms with Vitamin D Deficiency in Apparently Healthy Population and in Silico Analysis of the Binding Pocket of Vitamin D3
by Saima Manzoor, Asifa Majeed, Palvasha Waheed and Amir Rashid
Curr. Issues Mol. Biol. 2025, 47(10), 849; https://doi.org/10.3390/cimb47100849 - 15 Oct 2025
Viewed by 133
Abstract
Vitamin D deficiency is highly prevalent in Pakistan, but there is limited data on its genetic aspects. This case–control pilot study aimed to determine the association of rs782153744, rs200183599, rs118204011, and rs28934604 with vitamin D deficiency along rs7041 which has been studied in [...] Read more.
Vitamin D deficiency is highly prevalent in Pakistan, but there is limited data on its genetic aspects. This case–control pilot study aimed to determine the association of rs782153744, rs200183599, rs118204011, and rs28934604 with vitamin D deficiency along rs7041 which has been studied in our population. The DNA of a total of 600 subjects (300 cases and 300 controls) was extracted and genotyped by tetra ARMS PCR, followed by Sanger DNA sequencing of exon 4 of the CYP2R1 and CYP27B1 genes and exon 8 of the GC gene. SNP Stat was employed to analyze the data, while logistic regression was used to calculate the p-values and odds ratios (ORs). The R package version R studio (2025.05.1) Build 513 was used to statistically analyze rs782153744. In silico modeling of wild and mutant CYP2R1 and GC proteins was performed in Swiss-Model, Swiss-Dock, Discovery Studio, and PyMol using 3c6g and IJ78 as templates to perform binding pocket analysis of vitamin D3. The rs782153744 showed a protective association in the additive (OR: 0.15, 95% CI: 0.08–0.27, p-value < 0.001), recessive (OR: 0.19, 95% CI: 0.10–0.33, p-value < 0.001), and dominant (OR: 0.19, CI = 0.10–0.33, p-value < 0.001) models, while GC rs7041 (T > A, T > G) displayed a p-value < 0.0001 across all genetic models. Sanger sequencing yielded insignificant results, and the SNPs rs200183599, rs118204011, and rs28934604 had no significant association with vitamin D deficiency. The molecular pocket analysis of wild and mutant CYP2R1 proteins carrying rs782153744 polymorphisms revealed no changes. GC proteins carrying the rs7041 polymorphism revealed a shift in their 3D and 2D configuration, as well as a change in the amino acid residue of the binding pocket of VD3. The risk-associated rs7041 and protective rs782153744 variants back genetic screening for vitamin D deficiency risk stratification, allowing targeted supplementation in predisposed subjects and assisting in formulating a genotype-specific therapeutic approach. Full article
(This article belongs to the Collection Bioinformatics Approaches to Biomedicine)
Show Figures

Figure 1

19 pages, 989 KB  
Article
Analysis of Phenotypic and Grain Quality Traits of Wheat Genotypes Under Drought-Stressed and Non-Stressed Conditions
by Maltase Mutanda and Sandiswa Figlan
Int. J. Plant Biol. 2025, 16(4), 119; https://doi.org/10.3390/ijpb16040119 - 15 Oct 2025
Viewed by 112
Abstract
Wheat production and grain quality are adversely affected by drought stress. The deployment of wheat genotypes with improved grain yield and grain quality assists in achieving food security and maintaining a balanced diet. Therefore, this study is aimed at evaluating the phenotypic traits [...] Read more.
Wheat production and grain quality are adversely affected by drought stress. The deployment of wheat genotypes with improved grain yield and grain quality assists in achieving food security and maintaining a balanced diet. Therefore, this study is aimed at evaluating the phenotypic traits and grain quality responses of wheat genotypes to drought-stressed conditions. Two field trials were conducted to evaluate ten wheat genotypes under drought-stressed (DS) and non-stressed (NS) conditions in 2022 and 2023. The grains of the genotypes were further evaluated for their quality. The recorded phenotypic traits include grain yield (GY), shoot biomass (SB), root biomass (RB), and harvest index (HI). The grain quality traits recorded were grain carbon content (C), nitrogen (N), and crude protein (CP). Significant (p < 0.05) genetic variation were observed for the recorded phenotypic and grain quality traits. The highest grain yield was recorded in LM48 (495.83 g m−2), and the least was observed in BW141 (131.48 g m−2) under DS conditions. The N ranged from 1.76% recorded in LM75 to 3.16% (BW141) under DS conditions. The wheat genotypes, LM48 and BW140, presented high harvest index percentages, which indicates that the genotypes were efficient in partitioning their biomass to GY production even under DS conditions. The overall mean values of C and CP were lower under DS than NS conditions. Furthermore, GY was positively associated with SB (r = 0.50 under DS; r = 0.49 under NS) and RB (r = 0.38 under DS conditions; r = 0.32 under NS conditions). Amongst all the evaluated quality traits, only CP was negatively correlated with GY (r = −0.02) under DS conditions. Based on high GY production performance under DS conditions, the wheat genotypes LM48 and BW140 are recommended for further evaluation across diverse environments and production under limited water conditions. Full article
Show Figures

Figure 1

30 pages, 1652 KB  
Article
Agronomic, Morphological, and Nutritional Characterization of Greek Traditional Pepper (Capsicum annuum L.) Landraces at Commercial and Physiological Maturity for Sustainable and Climate-Smart Vegetable Systems
by Maria Gerakari, Parthenopi Ralli, Anastasia Giannakoula, Georgia Ouzounidou, Antonis Anagnostou, Christos Antoniadis and Ilias D. Avdikos
Plants 2025, 14(20), 3164; https://doi.org/10.3390/plants14203164 - 15 Oct 2025
Viewed by 210
Abstract
Climate change poses a significant threat to agricultural productivity, particularly in low-input systems where resilient cultivars are crucial. Traditional pepper (Capsicum annuum L.) landraces represent a valuable genetic reservoir for adaptation, yet their agronomic and nutritional potential remains underexplored. In this study, [...] Read more.
Climate change poses a significant threat to agricultural productivity, particularly in low-input systems where resilient cultivars are crucial. Traditional pepper (Capsicum annuum L.) landraces represent a valuable genetic reservoir for adaptation, yet their agronomic and nutritional potential remains underexplored. In this study, twenty-five Greek pepper landraces and commercial varieties were comprehensively evaluated for morphological traits, early and total yield characteristics, and key fruit quality parameters. The results revealed substantial phenotypic diversity in both vegetative and reproductive traits, as well as considerable variation in fruit nutritional composition across the tested genotypes. Notably, ‘Skopos’, ‘Mesoropi’, and ‘Lygaria’ demonstrated superior yield performance, while ‘Pogoniou’, ‘Lyra’, and ‘Kantanou’ excelled in several nutritional quality traits, including high phenolic content, vitamin C, and antioxidant capacity. Heatmap analysis further identified ‘Pogoniou’, ‘Filuria’, ‘Lyra’, ‘Lagada’, and ‘Lygaria’ as consistently ranking among the top performers across yield and quality traits. These findings highlight the dual agronomic and nutritional value of traditional pepper landraces, underscoring their importance as a genetic resource for breeding programs. Overall, the study highlights the importance of conserving and utilizing local pepper germplasm as a sustainable approach to improve productivity, nutritional quality, and resilience in the face of climate change and low-input cultivation systems. Full article
Show Figures

Figure 1

16 pages, 2435 KB  
Article
Genomic-Wide Association Markers and Candidate Genes for the High-Protein Trait in Storage Roots of Cassava (Manihot esculenta)
by Dantong Wang, Qi Liu, Xianhai Xie, Junyu Zhang, Jin Xiao and Wenquan Wang
Plants 2025, 14(20), 3162; https://doi.org/10.3390/plants14203162 - 15 Oct 2025
Viewed by 229
Abstract
Cassava (Manihot esculenta Crantz) is a globally important staple crop. Although its leaves are rich in crude protein, the protein content in its storage roots is typically less than 2%, which limits its nutritional value. Exploring high-protein storage root genotypes from germplasm [...] Read more.
Cassava (Manihot esculenta Crantz) is a globally important staple crop. Although its leaves are rich in crude protein, the protein content in its storage roots is typically less than 2%, which limits its nutritional value. Exploring high-protein storage root genotypes from germplasm collections is essential to elucidate the mechanisms underlying protein allocation, yet this remains poorly understood. Here, we conducted a three-year field evaluation of protein content in storage roots of 261 lines derived from a hybrid population (SC205*18R). It was found that there were 21 lines with high protein content that was stably above 4%. A total of 22 significant associated loci of protein content in storage roots were identified through genome-wide association analysis, with their contribution rates ranging from 0.12 to 0.35. For instance, the haplotypes of SNP-6831776 and SNP-7090537 have a prominent contribution to the protein content in the storage roots and can be used as major-effect markers in breeding. Based on this, we found 82 candidate genes, 7 of which exhibited the strongest and most consistent associations with root protein accumulation. qRT-PCR validation demonstrated that six candidate genes were significantly upregulated in high-protein varieties. These resources and findings provide a crucial foundation for breeding for storage roots with high protein and enhancing the nutritional and economic value of cassava. Full article
(This article belongs to the Section Plant Genetics, Genomics and Biotechnology)
Show Figures

Figure 1

22 pages, 2868 KB  
Article
Genetic and Functional Characterization of STAT4 in Rheumatoid Arthritis Patients with Distinct Disease Activity
by Karla Mayela Bravo-Villagra, Rocio Guadalupe Hernández-Ruíz, Alejandra Landeros-Sáenz, Christian Johana Baños-Hernández, Sergio Cerpa-Cruz, Samuel García-Arellano, José Francisco Muñoz-Valle and Andres López-Quintero
Int. J. Mol. Sci. 2025, 26(20), 10011; https://doi.org/10.3390/ijms262010011 - 15 Oct 2025
Viewed by 249
Abstract
Rheumatoid arthritis (RA) is characterized by chronic inflammation mediated by the JAK/STAT pathway. Variants in STAT4 have been associated with autoimmune susceptibility, but their functional role in RA remains unclear. The aim of this study was to genetically and functionally characterize STAT4 in [...] Read more.
Rheumatoid arthritis (RA) is characterized by chronic inflammation mediated by the JAK/STAT pathway. Variants in STAT4 have been associated with autoimmune susceptibility, but their functional role in RA remains unclear. The aim of this study was to genetically and functionally characterize STAT4 in RA patients with varying disease activity by analyzing two variants, mRNA expression, phosphorylated STAT4 (pSTAT4), and inflammatory cytokines (IL-12, IL-23, and IFN-γ). Sixty-three Mexican patients with RA were stratified into remission/low and moderate/high activity groups. Genotyping, STAT4 mRNA expression, pSTAT4 quantification, cytokine profiling, and treatment analyses were conducted. Patients receiving methotrexate, hydroxychloroquine, and sulfasalazine had higher IL-12 concentrations compared with those on other regimens. In remission/low activity patients, GC/GC carriers exhibited increased IL-12, PBMC levels, and anti-CCP antibodies, while GC/TT carriers in the moderate/high activity group showed distinct ESR values. Secondary analyses revealed that TT/TT carriers with STAT4 overexpression exhibited higher IFN-γ and IL-23 levels. IL-12 differences persisted among GC/GC carriers regardless of STAT4 expression status. In conclusion, these exploratory findings suggest potential interactions among STAT4 haplotypes, expression status, and treatment regimens influencing cytokine and inflammatory profiles in RA. However, due to the small subgroup sizes, the observed associations should be interpreted with caution and considered hypothesis-generating until validated in larger cohorts. Full article
(This article belongs to the Special Issue Genetics and Omics in Autoimmune Diseases)
Show Figures

Figure 1

18 pages, 1953 KB  
Article
Genetic Gains and Field Validation of Synthetic Populations in Tropical Maize Using Selection Indexes and REML/BLUP
by Antônia Maria de Cássia Batista de Sousa, Marcela Pedroso Mendes Resende, Ailton Jose Crispim-Filho, Glauco Vieira Miranda and Edésio Fialho dos Reis
Plants 2025, 14(20), 3149; https://doi.org/10.3390/plants14203149 - 13 Oct 2025
Viewed by 334
Abstract
The development of tropical maize populations with high heterosis potential is essential for sustaining genetic progress in hybrid breeding programs, yet accurate selection remains challenging due to genotype–phenotype interactions and inbreeding depression. This study evaluated the efficiency of five selection strategies in recurrent [...] Read more.
The development of tropical maize populations with high heterosis potential is essential for sustaining genetic progress in hybrid breeding programs, yet accurate selection remains challenging due to genotype–phenotype interactions and inbreeding depression. This study evaluated the efficiency of five selection strategies in recurrent selection programs using F2 populations derived from commercial maize hybrids: Smith–Hazel Index (SHI), Base Index (BIA), Mulamba–Mock Index (MMI), REML/BLUP for grain yield (BLUP_GY), and REML/BLUP for inbreeding depression (BLUP_ID). Consistency among methods was assessed with a heatmap, and predicted genetic gains were compared with realized field performance. Predicted gains were highest with MMI and BIA for grain yield and ear weight, although realized results revealed discrepancies, particularly for BLUP-based approaches. Notably, BLUP_GY, which had the lowest predicted yield (4025 kg ha−1), achieved a realized yield of 5620 kg ha−1, surpassing BIA and SHI. This indicates that additive potential was underestimated in predictions, likely due to dominance and environmental effects in early F2 cycles. Overall, BLUP-based methods proved effective in identifying progenies with higher additive value, and their integration with phenotypic indices is recommended to combine short-term realized gains with sustained genetic improvement. Full article
(This article belongs to the Special Issue Maize Cultivation and Improvement)
Show Figures

Figure 1

19 pages, 6041 KB  
Article
Integrating RPA-LFD and TaqMan qPCR for Rapid On-Site Screening and Accurate Laboratory Identification of Coilia brachygnathus and Coilia nasus in the Yangtze River
by Yu Lin, Suyan Wang, Min Zhang, Na Wang, Hongli Jing, Jizhou Lv and Shaoqiang Wu
Foods 2025, 14(20), 3484; https://doi.org/10.3390/foods14203484 - 13 Oct 2025
Viewed by 240
Abstract
Accurate differentiation between Coilia brachygnathus and Coilia nasus is imperative for the effective management of fisheries, the conservation of aquatic ecosystems, and the mitigation of commercial fraud. Current morphological identification remains challenging due to their high morphological similarity—particularly for processed samples—while conventional molecular [...] Read more.
Accurate differentiation between Coilia brachygnathus and Coilia nasus is imperative for the effective management of fisheries, the conservation of aquatic ecosystems, and the mitigation of commercial fraud. Current morphological identification remains challenging due to their high morphological similarity—particularly for processed samples—while conventional molecular methods often lack the speed or specificity required for field applications or high-throughput screening. In this study, a novel integrated approach was developed and validated, combining TaqMan quantitative real-time PCR (qPCR). for precise genotyping of C. brachygnathus and C. nasus with Recombinase Polymerase Amplification coupled with Lateral Flow Dipstick (RPA-LFD) for rapid on-site screening. First, species-specific RPA-LFD assays were designed to target the mitochondrial COI gene sequence. This enabled visual detection within 10 min at 37 °C, with a sensitivity of 102 copies/μL, and required no complex equipment. A dual TaqMan MGB qPCR assay was further developed by validating stable differentiating SNPs (chr21:3798155, C/T) between C. brachygnathus and C. nasus, using FAM/VIC dual-labeled MGB probes. Results showed that this assay could distinguish the two species in a single tube: for C. brachygnathus, Ct values in the FAM channel were significantly earlier than those in the VIC channel (ΔCt ≥ 1), with a FAM detection limit of 125 copies/reaction; for C. nasus, only VIC channel amplification was observed, with a detection limit as low as 12.5 copies/reaction. Validation with 171 known tissue samples demonstrated 100% concordance with expected species identities. This integrated approach effectively combines the high accuracy and quantitative capacity of TaqMan qPCR for confirmatory laboratory genotyping with the speed, simplicity, and portability of RPA-LFD for initial field or point-of-need screening. This reliable, efficient, and user-friendly technique provides a powerful tool for resource management, biodiversity monitoring, and ensuring the authenticity of high-quality C. brachygnathus and C. nasus. Full article
Show Figures

Figure 1

14 pages, 2835 KB  
Article
Rapid and Cost-Effective ABO Blood Genotyping Using a Freeze-Dried, Point-of-Care Ready Loop-Mediated Isothermal Amplification (LAMP) Assay
by Jianlin Zhang, Zhiheng Wang, Yibin Lu and Wei Wu
Diagnostics 2025, 15(20), 2568; https://doi.org/10.3390/diagnostics15202568 - 12 Oct 2025
Viewed by 284
Abstract
Background: The accurate and rapid genotyping of ABO (chromosome 9q34.2) blood types is critical for clinical diagnostics and transfusion medicine, particularly in scenarios where serological methods yield uncertain results, such as in neonatal testing or with rare ABO subtypes. Methods: This study describes [...] Read more.
Background: The accurate and rapid genotyping of ABO (chromosome 9q34.2) blood types is critical for clinical diagnostics and transfusion medicine, particularly in scenarios where serological methods yield uncertain results, such as in neonatal testing or with rare ABO subtypes. Methods: This study describes a loop-mediated isothermal amplification (LAMP)-based method for ABO genotyping that offers a faster and more cost-effective alternative to conventional PCR-based techniques. Results: The method targets four key single nucleotide polymorphisms (SNPs) at positions 261, 297, 703, and 930, allowing for the differentiation of common A, B, and O blood types, as well as the rare AB subtype B(A)01. The detection of the B(A)01 subtype is clinically important for preventing transfusion mismatches where serology may be inconclusive. Operating at a constant temperature, the assay can be completed in under an hour without the need for a thermocycler, offering significant time and cost benefits over qPCR. The method demonstrated high specificity, demonstrating detection down to 10 copies across all assays. When validated against a gold-standard method on clinical blood samples, the LAMP assay showed high accuracy (95% C value calculated via binomial exact method): 97.4% for type O, 98.7% for type A, 98.7% for type B, and 100% for the B(A)01 subtype. To enhance usability for point-of-care applications, freeze-dried reagents were developed that permit direct loading of lysed blood samples while maintaining high performance. Conclusions: This simplified and robust format positions the LAMP assay as a promising tool for rapid and reliable ABO genotyping in diverse clinical settings. Full article
(This article belongs to the Section Clinical Laboratory Medicine)
Show Figures

Graphical abstract

Back to TopTop