Genetic and Functional Characterization of STAT4 in Rheumatoid Arthritis Patients with Distinct Disease Activity
Abstract
1. Introduction
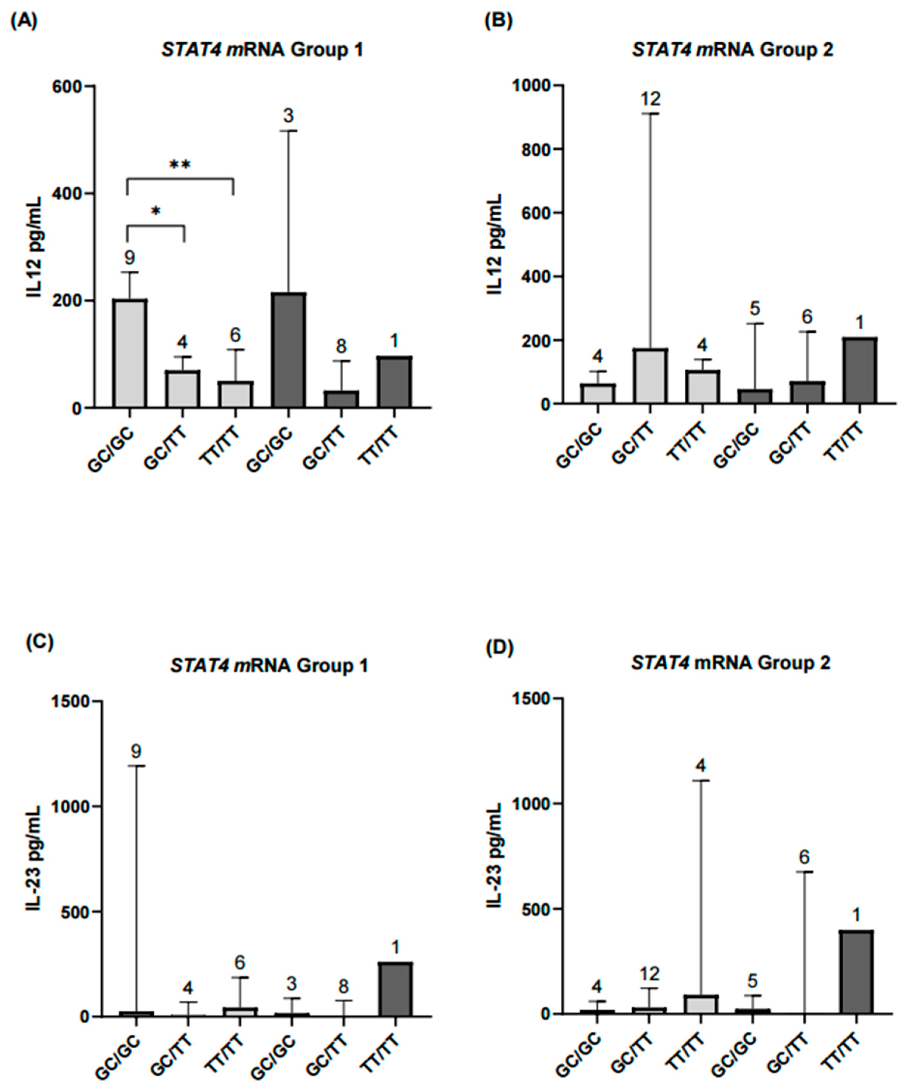
2. Results
3. Discussion
4. Materials and Methods
4.1. Study Population
4.2. Serological and Immunological Parameters
4.3. Proinflammatory Cytokines
4.4. Genotyping of STAT4 Variants
4.5. STAT4 mRNA Expression
4.6. Semiquantitative Detection of pSTAT4
4.7. Statistical Analysis
5. Conclusions
Supplementary Materials
Author Contributions
Funding
Institutional Review Board Statement
Informed Consent Statement
Data Availability Statement
Acknowledgments
Conflicts of Interest
Abbreviations
| anti-CCP | Anti-cyclic citrullinated peptide antibodies |
| BMI | Body mass index |
| CI | Confidence interval |
| CRP | C-reactive protein |
| D′ | Linkage disequilibrium |
| DAS28 | Disease Activity Score in 28 joints |
| ESR | Erythrocyte sedimentation rate |
| GWAS | Genome-wide association studies |
| HAQ | Health Assessment Questionnaire |
| HCQ | Hydroxychloroquine |
| HLA | Human leukocyte antigen |
| IFN-γ | Interferon gamma |
| IL-12 | Interleukin-12 |
| IL-23 | Interleukin-23 |
| MCH | Mean corpuscular hemoglobin |
| MCV | Mean corpuscular volume |
| mRNA | Messenger RNA |
| MTX | Methotrexate |
| OR | Odds ratio |
| PBMCs | Peripheral blood mononuclear cells |
| PLT | Platelets |
| pSTAT4 | Phosphorylated STAT4 |
| r2 | Correlation between loci |
| RA | Rheumatoid arthritis |
| RF | Rheumatoid factor |
| SSZ | Sulfasalazine |
| STAT4 | Signal transducer and activator of transcription 4 |
| VAS | Visual analogue scale |
References
- Smolen, J.S.; Aletaha, D.; Barton, A.; Burmester, G.R.; Emery, P.; Firestein, G.S.; Kavanaugh, A.; McInnes, I.B.; Solomon, D.H.; Strand, V.; et al. Rheumatoid Arthritis. Nat. Rev. Dis. Primers 2018, 4, 18001. [Google Scholar] [CrossRef]
- GBD 2021 Rheumatoid Arthritis Collaborators Global, Regional, and National Burden of Rheumatoid Arthritis, 1990–2020, and Projections to 2050: A Systematic Analysis of the Global Burden of Disease Study 2021. Lancet Rheumatol. 2023, 5, e594–e610. [CrossRef]
- Moreno-Montoya, J.; Alvarez-Nemegyei, J.; Sanin, L.H.; Pérez-Barbosa, L.; Trejo-Valdivia, B.; Santana, N.; Goycochea-Robles, M.V.; Cardiel, M.H.; Riega-Torres, J.; Maradiaga, M.; et al. Association of Regional and Cultural Factors with the Prevalence of Rheumatoid Arthritis in the Mexican Population. J. Clin. Rheumatol. 2015, 21, 57–62, Erratum in J. Clin. Rheumatol. 2015, 21, e1. [Google Scholar] [CrossRef]
- Peláez-Ballestas, I.; Sanin, L.H.; Moreno-Montoya, J.; Alvarez-Nemegyei, J.; Burgos-Vargas, R.; Garza-Elizondo, M.; Rodríguez-Amado, J.; Goycochea-Robles, M.-V.; Madariaga, M.; Zamudio, J.; et al. Epidemiology of the Rheumatic Diseases in Mexico. A Study of 5 Regions Based on the COPCORD Methodology. J. Rheumatol. Suppl. 2011, 86, 3–8. [Google Scholar] [CrossRef]
- Morales-Etchegaray, I.; Garcia-Carrasco, M.; Munguía-Realpozo, P.; Mendoza-Pinto, C.; Méndez-Martínez, S.; Navarro-Milán, O.; Velez-Pelcastre, S.K.; Pineda-Villaseñor, C.J. Changing Trends in Rheumatoid Arthritis Mortality in Mexico, from 1998 to 2017. Rheumatol. Int. 2021, 41, 2225–2231. [Google Scholar] [CrossRef] [PubMed]
- McInnes, I.B.; Schett, G. The Pathogenesis of Rheumatoid Arthritis. N. Engl. J. Med. 2011, 365, 2205–2219. [Google Scholar] [CrossRef]
- Wordsworth, P.; Pile, K.D.; Buckely, J.D.; Lanchbury, J.S.; Ollier, B.; Lathrop, M.; Bell, J.I. HLA Heterozygosity Contributes to Susceptibility to Rheumatoid Arthritis. Am. J. Hum. Genet. 1992, 51, 585–591. [Google Scholar]
- Yarwood, A.; Viatte, S.; Okada, Y.; Plenge, R.; Yamamoto, K.; Barton, A.; Symmons, D.; Raychaudhuri, S.; Klareskog, L.; Gregersen, P.; et al. Loci Associated with N-Glycosylation of Human IgG Are Not Associated with Rheumatoid Arthritis: A Mendelian Randomisation Study. Ann. Rheum. Dis. 2015, 75, 317–320. [Google Scholar] [CrossRef] [PubMed]
- Plenge, R.M.; Seielstad, M.; Padyukov, L.; Lee, A.T.; Remmers, E.F.; Ding, B.; Liew, A.; Khalili, H.; Chandrasekaran, A.; Davies, L.R.L.; et al. TRAF1-C5 as a Risk Locus for Rheumatoid Arthritis—A Genomewide Study. N. Engl. J. Med. 2007, 357, 1199–1209. [Google Scholar] [CrossRef] [PubMed]
- Remmers, E.F.; Plenge, R.M.; Lee, A.T.; Graham, R.R.; Hom, G.; Behrens, T.W.; de Bakker, P.I.W.; Le, J.M.; Lee, H.-S.; Batliwalla, F.; et al. STAT4 and the Risk of Rheumatoid Arthritis and Systemic Lupus Erythematosus. N. Engl. J. Med. 2007, 357, 977–986. [Google Scholar] [CrossRef]
- Beltrán Ramírez, O.; Mendoza Rincón, J.F.; Barbosa Cobos, R.E.; Alemán Ávila, I.; Ramírez Bello, J. STAT4 Confers Risk for Rheumatoid Arthritis and Systemic Lupus Erythematosus in Mexican Patients. Immunol. Lett. 2016, 175, 40–43. [Google Scholar] [CrossRef]
- Simon, L.S.; Taylor, P.C.; Choy, E.H.; Sebba, A.; Quebe, A.; Knopp, K.L.; Porreca, F. The Jak/STAT Pathway: A Focus on Pain in Rheumatoid Arthritis. Semin. Arthritis Rheum. 2021, 51, 278–284. [Google Scholar] [CrossRef]
- Malemud, C.J. The Role of the JAK/STAT Signal Pathway in Rheumatoid Arthritis. Ther. Adv. Musculoskelet. Dis. 2018, 10, 117–127, Erratum in Ther. Adv. Musculoskelet. Dis. 2018, 10, 225. [Google Scholar] [CrossRef] [PubMed]
- Hu, L.; Liu, R.; Zhang, L. Advance in Bone Destruction Participated by JAK/STAT in Rheumatoid Arthritis and Therapeutic Effect of JAK/STAT Inhibitors. Int. Immunopharmacol. 2022, 111, 109095. [Google Scholar] [CrossRef]
- Xia, Y.; Xie, Y.; Zhang, H.; Liu, L. STAT4 Gene Polymorphisms in Human Diseases. Front. Immunol. 2024, 15, 1479418. [Google Scholar] [CrossRef]
- Murphy, C.A.; Langrish, C.L.; Chen, Y.; Blumenschein, W.; McClanahan, T.; Kastelein, R.A.; Sedgwick, J.D.; Cua, D.J. Divergent Pro- and Antiinflammatory Roles for IL-23 and IL-12 in Joint Autoimmune Inflammation. J. Exp. Med. 2003, 198, 1951–1957. [Google Scholar] [CrossRef] [PubMed]
- Paradowska-Gorycka, A.; Grzybowska-Kowalczyk, A.; Wojtecka-Lukasik, E.; Maslinski, S. IL-23 in the Pathogenesis of Rheumatoid Arthritis. Scand. J. Immunol. 2010, 71, 134–145. [Google Scholar] [CrossRef] [PubMed]
- Schinocca, C.; Rizzo, C.; Fasano, S.; Grasso, G.; La Barbera, L.; Ciccia, F.; Guggino, G. Role of the IL-23/IL-17 Pathway in Rheumatic Diseases: An Overview. Front. Immunol. 2021, 12, 637829. [Google Scholar] [CrossRef]
- Yago, T.; Nanke, Y.; Kawamoto, M.; Kobashigawa, T.; Yamanaka, H.; Kotake, S. IL-23 and Th17 Disease in Inflammatory Arthritis. J. Clin. Med. 2017, 6, 81. [Google Scholar] [CrossRef]
- O’Malley, J.T.; Eri, R.D.; Stritesky, G.L.; Mathur, A.N.; Chang, H.-C.; HogenEsch, H.; Srinivasan, M.; Kaplan, M.H. STAT4 Isoforms Differentially Regulate Th1 Cytokine Production and the Severity of Inflammatory Bowel Disease1. J. Immunol. 2008, 181, 5062–5070. [Google Scholar] [CrossRef]
- Durán-Avelar, M.d.J.; Vibanco-Pérez, N.; Hernández-Pacheco, R.R.; Castro-Zambrano, A.D.C.; Ortiz-Martínez, L.; Zambrano-Zaragoza, J.F. STAT4 Rs7574865 G/T Polymorphism Is Associated with Rheumatoid Arthritis and Disease Activity, but Not with Anti-CCP Antibody Levels in a Mexican Population. Clin. Rheumatol. 2016, 35, 2909–2914. [Google Scholar] [CrossRef]
- El-Lebedy, D.; Raslan, H.; Ibrahim, A.; Ashmawy, I.; El-Aziz, S.A.; Mohammed, A.M. Association of STAT4 Rs7574865 and PTPN22 Rs2476601 Polymorphisms with Rheumatoid Arthritis and Non-Systemically Reacting Antibodies in Egyptian Patients. Clin. Rheumatol. 2017, 36, 1981–1987. [Google Scholar] [CrossRef]
- Esparza Guerrero, Y.; Vazquez Villegas, M.L.; Nava Valdivia, C.A.; Ponce Guarneros, J.M.; Perez Guerrero, E.E.; Gomez Ramirez, E.E.; Ramirez Villafaña, M.; Contreras Haro, B.; Martinez Hernandez, A.; Cardona Muñoz, E.G.; et al. Association of the STAT4 Gene Rs7574865 Polymorphism with IFN-γ Levels in Patients with Systemic Lupus Erythematosus. Genes 2023, 14, 537. [Google Scholar] [CrossRef]
- Korman, B.D.; Kastner, D.L.; Gregersen, P.K.; Remmers, E.F. STAT4: Genetics, Mechanisms, and Implications for Autoimmunity. Curr. Allergy Asthma Rep. 2008, 8, 398–403. [Google Scholar] [CrossRef]
- Ptacek, J.; Hawtin, R.E.; Sun, D.; Louie, B.; Evensen, E.; Mittleman, B.B.; Cesano, A.; Cavet, G.; Bingham, C.O., 3rd; Cofield, S.S.; et al. Diminished cytokine-induced Jak/STAT signaling is associated with rheumatoid arthritis and disease activity. PLoS ONE 2021, 16, e0244187. [Google Scholar] [CrossRef]
- Raine, C.; Giles, I. What Is the Impact of Sex Hormones on the Pathogenesis of Rheumatoid Arthritis? Front. Med. 2022, 9, 909879. [Google Scholar] [CrossRef]
- Sharma, S.; Gibbons, A.; Saphire, E.O. Sex Differences in Tissue-Specific Immunity and Immunology. Science 2025, 389, 599–603. [Google Scholar] [CrossRef]
- Wilkinson, N.M.; Chen, H.-C.; Lechner, M.G.; Su, M.A. Sex Differences in Immunity. Annu. Rev. Immunol. 2022, 40, 75–94. [Google Scholar] [CrossRef]
- Singh, J.A. Treatment Guidelines in Rheumatoid Arthritis. Rheum. Dis. Clin. N. Am. 2022, 48, 679–689. [Google Scholar] [CrossRef]
- Conley, B.; Bunzli, S.; Bullen, J.; O’Brien, P.; Persaud, J.; Gunatillake, T.; Nikpour, M.; Grainger, R.; Barnabe, C.; Lin, I. What Are the Core Recommendations for Rheumatoid Arthritis Care? Systematic Review of Clinical Practice Guidelines. Clin. Rheumatol. 2023, 42, 2267–2278. [Google Scholar] [CrossRef]
- Fraenkel, L.; Bathon, J.M.; England, B.R.; St Clair, E.W.; Arayssi, T.; Carandang, K.; Deane, K.D.; Genovese, M.; Huston, K.K.; Kerr, G.; et al. 2021 American College of Rheumatology Guideline for the Treatment of Rheumatoid Arthritis. Arthritis Care Res. 2021, 73, 924–939. [Google Scholar] [CrossRef] [PubMed]
- Rempenault, C.; Combe, B.; Barnetche, T.; Gaujoux-Viala, C.; Lukas, C.; Morel, J.; Hua, C. Clinical and Structural Efficacy of Hydroxychloroquine in Rheumatoid Arthritis: A Systematic Review. Arthritis Care Res. 2020, 72, 36–40. [Google Scholar] [CrossRef]
- Bansback, N.; Phibbs, C.S.; Sun, H.; O’Dell, J.R.; Brophy, M.; Keystone, E.C.; Leatherman, S.; Mikuls, T.R.; Anis, A.H.; CSP 551 RACAT Investigator. Triple Therapy Versus Biologic Therapy for Active Rheumatoid Arthritis. Ann. Intern. Med. 2017, 167, 8–16. [Google Scholar] [CrossRef] [PubMed]
- Hobl, E.-L.; Mader, R.M.; Erlacher, L.; Duhm, B.; Mustak, M.; Bröll, H.; Högger, P.; Kalipciyan, M.; Jilma, B. The Influence of Methotrexate on the Gene Expression of the Pro-Inflammatory Cytokine IL-12A in the Therapy of Rheumatoid Arthritis. Clin. Exp. Rheumatol. 2011, 29, 963–969. [Google Scholar]
- Ebrahimiyan, H.; Mostafaei, S.; Aslani, S.; Jamshidi, A.; Mahmoudi, M. Studying the Association between STAT4 Gene Polymorphism and Susceptibility to Rheumatoid Arthritis Disease: An Updated Meta-Analysis. Iran. J. Immunol. 2019, 16, 71–83. [Google Scholar] [CrossRef]
- Woś, I.; Tabarkiewicz, J. Effect of Interleukin-6, -17, -21, -22, and -23 and STAT3 on Signal Transduction Pathways and Their Inhibition in Autoimmune Arthritis. Immunol. Res. 2021, 69, 26–42. [Google Scholar] [CrossRef]
- Yang, C.; Mai, H.; Peng, J.; Zhou, B.; Hou, J.; Jiang, D. STAT4: An Immunoregulator Contributing to Diverse Human Diseases. Int. J. Biol. Sci. 2020, 16, 1575–1585. [Google Scholar] [CrossRef]
- Gao, W.; Dong, X.; Yang, Z.; Mao, G.; Xing, W. Association between Rs7574865 Polymorphism in STAT4 Gene and Rheumatoid Arthritis: An Updated Meta-Analysis. Eur. J. Intern. Med. 2020, 71, 101–103. [Google Scholar] [CrossRef]
- Lamana, A.; López-Santalla, M.; Castillo-González, R.; Ortiz, A.M.; Martín, J.; García-Vicuña, R.; González-Álvaro, I. The Minor Allele of Rs7574865 in the STAT4 Gene Is Associated with Increased mRNA and Protein Expression. PLoS ONE 2015, 10, e0142683. [Google Scholar] [CrossRef] [PubMed]
- Liang, Y.-L.; Wu, H.; Li, P.-Q.; Xie, X.-D.; Shen, X.; Yang, X.-Q.; Cheng, X.; Liang, L. Signal Transducer and Activator of Transcription 4 Gene Polymorphisms Associated with Rheumatoid Arthritis in Northwestern Chinese Han Population. Life Sci. 2011, 89, 171–175. [Google Scholar] [CrossRef]
- Hagberg, N.; Joelsson, M.; Leonard, D.; Reid, S.; Eloranta, M.L.; Mo, J.; Nilsson, M.K.; Syvänen, A.C.; Bryceson, Y.T.; Rönnblom, L. The STAT4 SLE Risk Allele Rs7574865[T] Is Associated with Increased IL-12-Induced IFN-γ Production in t Cells from Patients with SLE. Ann. Rheum. Dis. 2018, 77, 1070–1077. [Google Scholar] [CrossRef] [PubMed]
- Hagberg, N.; Rönnblom, L. Interferon-α Enhances the IL-12-Induced STAT4 Activation Selectively in Carriers of the STAT4 SLE Risk Allele Rs7574865[T]. Ann. Rheum. Dis. 2018, 78, 429–431. [Google Scholar] [CrossRef]
- Noack, M.; Miossec, P. Synoviocytes and Skin Fibroblasts Show Opposite Effects on IL-23 Production and IL-23 Receptor Expression during Cell Interactions with Immune Cells. Arthritis Res. Ther. 2022, 24, 220. [Google Scholar] [CrossRef]
- Binvignat, M.; Miao, B.Y.; Wibrand, C.; Yang, M.M.; Rychkov, D.; Flynn, E.; Nititham, J.; Tamaki, W.; Khan, U.; Carvidi, A.; et al. Single-Cell RNA-Seq Analysis Reveals Cell Subsets and Gene Signatures Associated with Rheumatoid Arthritis Disease Activity. JCI Insight 2024, 9, e178499. [Google Scholar] [CrossRef]
- Bravo-Villagra, K.M.; Muñoz-Valle, J.F.; Baños-Hernández, C.J.; Cerpa-Cruz, S.; Navarro-Zarza, J.E.; Parra-Rojas, I.; Aguilar-Velázquez, J.A.; García-Arellano, S.; López-Quintero, A. STAT4 Gene Variant Rs7574865 Is Associated with Rheumatoid Arthritis Activity and Anti-CCP Levels in the Western but Not in the Southern Population of Mexico. Genes 2024, 15, 241. [Google Scholar] [CrossRef]
- Hoey, T.; Zhang, S.; Schmidt, N.; Yu, Q.; Ramchandani, S.; Xu, X.; Naeger, L.K.; Sun, Y.; Kaplan, M.H. Distinct Requirements for the Naturally Occurring Splice Forms Stat4α and Stat4β in IL-12 Responses. EMBO J. 2003, 22, 4237–4248. [Google Scholar] [CrossRef] [PubMed]
- Perner, F.; Pahl, H.L.; Zeiser, R.; Heidel, F.H. Malignant JAK-Signaling: At the Interface of Inflammation and Malignant Transformation. Leukemia 2025, 39, 1011–1030. [Google Scholar] [CrossRef] [PubMed]








| Variable | Remission-Low Group (n = 31) | Moderate-High Group (n = 32) | p-Value |
|---|---|---|---|
| Family history and lifestyle factors | |||
| Rheumatoid arthritis + | 17 (54.8) | 14 (43.8) | 0.454 c |
| Type 1 Diabetes + | 11 (35.5) | 9 (28.1) | 0.595 c |
| Crohn’s disease | 2 (6.5) | 1 (3.1) | 0.613 c |
| Systemic lupus erythematosus + | 2 (6.5) | 2 (6.3) | 1.00 c |
| Multiple sclerosis | 0 (0) | 2 (6.3) | 0.492 c |
| Sjögren’s syndrome + | 2 (6.5) | 0 (0) | 0.238 c |
| Tobacco use | 5 (16.1) | 10 (31.3) | 0.237 c |
| Years smoking | 0 (0–30) | 0 (0–62) | 0.224 b |
| Cigarettes per day | 0 (0–7) | 0 (0–20) | 0.111 b |
| Wood smoke exposure + | 15 (48.4) | 11 (34.4) | 0.311 c |
| Years exposed | 0 (0–60) | 0 (0–42) | 0.183 b |
| Anthropometric data | |||
| Age | 47.80 ± 11.75 | 50.25 ± 10.54 | 0.389 a |
| Female | 26 (83.9) | 31 (96.9) | 0.104 c |
| Male | 5 (16.1) | 1 (3.1) | |
| BMI (kg/m2) | 28.81 ± 6.55 | 27.40 ± 5.60 | 0.364 b |
| Clinical evaluation | |||
| Disease duration (years) | 5.0 (0.08–29) | 3 (1–16) | 0.566 b |
| HAQ | 0.58 ± 0.64 | 1.14 ± 0.69 | <0.01 ** a |
| Tender joints | 0 (0–3) | 2 (0–16) | <0.01 ** b |
| Swollen joints | 0 (0–4) | 1 (0–7) | <0.01 ** b |
| ESR (mm/h) | 23.29 ± 12.27 | 38.72 ± 8.29 | <0.01 ** a |
| VAS (Patient) | 27.1 ± 19.87 | 61.25 ± 18.09 | <0.01 ** a |
| DAS28 | 2.58 (1.64–3.2) | 4.29 (3.22–6.65) | <0.01 ** b |
| Morning stiffness + | 15 (48.4) | 21 (65.6) | 0.207 c |
| Duration of stiffness (min) | 0 (0–180) | 7.50 (0–120) | 0.206 b |
| Movement limitation + | 4 (12.9) | 17 (53.1) | <0.01 ** c |
| PBMCs | 4.43 × 106 ± 2.16 × 106 | 4.15 × 106 ± 1.79 × 106 | 0.580 a |
| CRP (mg/dL) | 3.78 (0.65–24.32) | 7.38 (1.77–75.85) | 0.102 b |
| RF (IU/mL) | 78.1 (0.0–287.60) | 113.63 (2.66–490.30) | 0.105 b |
| Anti-CCP (U/mL) | 1076 (0.0–2445) | 1078 (0.0–2343) | 0.778 b |
| Treatment type | |||
| Celecoxib + | 22 (71) | 24 (75) | 0.782 c |
| Celecoxib dose (mg) | 200 (0–400) | 200 (0–400) | 0.781 b |
| Alendronate + | 5 (16.1) | 4 (12.5) | 0.732 c |
| Alendronate dose (mg) | 0 (0–10) | 0 (0–10) | 0.683 b |
| Folic acid + | 29 (93.5) | 30 (93.8) | 1.00 c |
| Folic acid dose (mg) | 5 (0–5) | 5 (0–5) | 0.982 b |
| Calcium + | 16 (51.6) | 10 (31.3) | 0.128 c |
| Calcium dose (mg) | 500 (0–1000) | 0 (0–500) | 0.065 b |
| Methotrexate + | 30 (96.8) | 31 (96.9) | 1.00 c |
| Methotrexate dose (mg) | 15 (0–25) | 15 (0–25) | 0.736 b |
| Hydroxychloroquine + | 11 (35.5) | 4 (12.5) | 0.04 * c |
| Hydroxychloroquine dose (mg) | 0 (0–300) | 0 (0–300) | 0.056 b |
| Sulfasalazine + | 21 (67.7) | 24 (75) | 0.585 c |
| Sulfasalazine dose (mg) | 1000 (0–3000) | 1000 (0–3000) | 0.747 b |
| Variable | Remission-Low Group (n = 31) | Moderate-High Group (n = 32) | p-Value |
|---|---|---|---|
| Inflammatory markers | |||
| IL-12 | 87.2 (13.5–516.2) | 103.2 (23.8–1920.4) | 0.386 b |
| IFN-ɣ | 12.8 (0–1153) | 12.9 (0–621.2) | 0.815 b |
| IL-23 | 12.3 (0–1247.5) | 23 (0–1108.7) | 0.353 b |
| pSTAT4 | 0.15 ± 0.1 | 0.15 ± 0.1 | 0.814 a |
| Underexpression + | 19 (61.3) | 14 (43.8) | 0.210 c |
| Overexpression + | 12 (38.7) | 18 (56.3) | |
| STAT4 mRNA | 0.63 (0.07–17.91) | 0.63 (0.16–20.76) | 0.929 b |
| Underexpression + | 19 (61.3) | 20 (62.5) | 0.921 c |
| Overexpression + | 12 (38.7) | 12 (37.5) | |
| Western Mexico | |||||
|---|---|---|---|---|---|
| Remission-Low Group (n = 31) | Moderate-High Group (n = 32) | OR | 95% CI | p-Value | |
| STAT4: rs7574865 G/T | |||||
| GG 1 | 36.7 (11) | 28.1 (9) | Reference | ||
| GT 2 | 48.4 (15) | 50 (16) | 1.397 | (0.449–4.35) | 0.564 |
| TT 3 | 16.7 (5) | 21.9 (7) | 2.512 | (0.319–19.755) | 0.381 |
| G 4 | 60 (36) | 53 (34) | Reference | ||
| T 5 | 40 (24) | 47 (30) | 1.380 | (0.961–1.981) | 0.081 |
| STAT4: rs11889341 C/T | |||||
| CC 1 | 36.7 (11) | 28.1 (9) | Reference | ||
| CT 2 | 48.4 (15) | 50 (16) | 1.397 | (0.449–4.35) | 0.564 |
| TT 3 | 16.7 (5) | 21.9 (7) | 2.512 | (0.319–19.755) | 0.381 |
| C 4 | 60 (36) | 53 (34) | reference | ||
| T 5 | 40 (24) | 47 (30) | 1.380 | (0.961–1.981) | 0.081 |
| Western Mexico | ||||||
|---|---|---|---|---|---|---|
| Haplotype | Remission-Low Group | Moderate-High Group | OR | 95% CI | D′ | r2 |
| GC | 60 | 53.12 | 1.00 | - | 1.000 | 1.000 |
| TT | 40 | 43.55 | 0.76 | 0.37–1.55 | ||
Disclaimer/Publisher’s Note: The statements, opinions and data contained in all publications are solely those of the individual author(s) and contributor(s) and not of MDPI and/or the editor(s). MDPI and/or the editor(s) disclaim responsibility for any injury to people or property resulting from any ideas, methods, instructions or products referred to in the content. |
© 2025 by the authors. Licensee MDPI, Basel, Switzerland. This article is an open access article distributed under the terms and conditions of the Creative Commons Attribution (CC BY) license (https://creativecommons.org/licenses/by/4.0/).
Share and Cite
Bravo-Villagra, K.M.; Hernández-Ruíz, R.G.; Landeros-Sáenz, A.; Baños-Hernández, C.J.; Cerpa-Cruz, S.; García-Arellano, S.; Muñoz-Valle, J.F.; López-Quintero, A. Genetic and Functional Characterization of STAT4 in Rheumatoid Arthritis Patients with Distinct Disease Activity. Int. J. Mol. Sci. 2025, 26, 10011. https://doi.org/10.3390/ijms262010011
Bravo-Villagra KM, Hernández-Ruíz RG, Landeros-Sáenz A, Baños-Hernández CJ, Cerpa-Cruz S, García-Arellano S, Muñoz-Valle JF, López-Quintero A. Genetic and Functional Characterization of STAT4 in Rheumatoid Arthritis Patients with Distinct Disease Activity. International Journal of Molecular Sciences. 2025; 26(20):10011. https://doi.org/10.3390/ijms262010011
Chicago/Turabian StyleBravo-Villagra, Karla Mayela, Rocio Guadalupe Hernández-Ruíz, Alejandra Landeros-Sáenz, Christian Johana Baños-Hernández, Sergio Cerpa-Cruz, Samuel García-Arellano, José Francisco Muñoz-Valle, and Andres López-Quintero. 2025. "Genetic and Functional Characterization of STAT4 in Rheumatoid Arthritis Patients with Distinct Disease Activity" International Journal of Molecular Sciences 26, no. 20: 10011. https://doi.org/10.3390/ijms262010011
APA StyleBravo-Villagra, K. M., Hernández-Ruíz, R. G., Landeros-Sáenz, A., Baños-Hernández, C. J., Cerpa-Cruz, S., García-Arellano, S., Muñoz-Valle, J. F., & López-Quintero, A. (2025). Genetic and Functional Characterization of STAT4 in Rheumatoid Arthritis Patients with Distinct Disease Activity. International Journal of Molecular Sciences, 26(20), 10011. https://doi.org/10.3390/ijms262010011

