Sign in to use this feature.

Years

Between: -

Subjects

remove_circle_outline
remove_circle_outline
remove_circle_outline
remove_circle_outline
remove_circle_outline
remove_circle_outline
remove_circle_outline
remove_circle_outline
remove_circle_outline

Journals

Article Types

Countries / Regions

Search Results (68)

Search Parameters:
Keywords = fully distributed hydrology

Order results
Result details
Results per page
Select all
Export citation of selected articles as:
48 pages, 14922 KB  
Article
A Deterministic Calibration Strategy for MOHID-Land Based on Soil Parameter Uncertainty
by Dhiego da Silva Sales, Jader Lugon Junior, David de Andrade Costa, Mariana Dias Villas-Boas, Ramiro Joaquim Neves and Antônio José da Silva Neto
Eng 2026, 7(4), 155; https://doi.org/10.3390/eng7040155 - 31 Mar 2026
Viewed by 163
Abstract
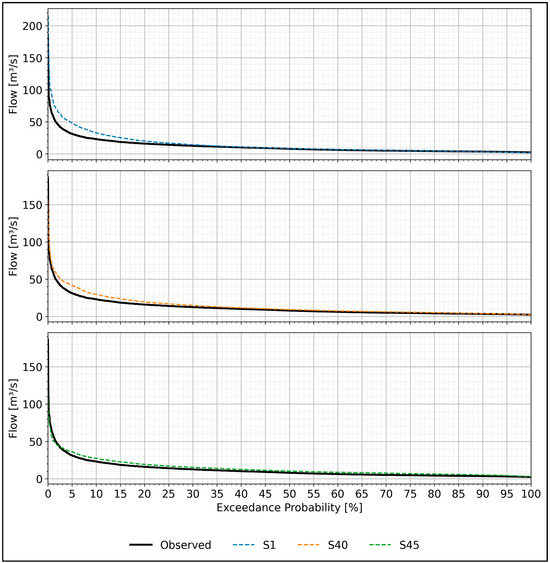
This study investigates the influence of parametric uncertainty in the van Genuchten–Mualem (VGM) model on hydrological simulations and proposes a deterministic, soil-focused calibration strategy within the MOHID-Land model. The approach was applied to the Pedro do Rio watershed to quantify the impact of [...] Read more.
This study investigates the influence of parametric uncertainty in the van Genuchten–Mualem (VGM) model on hydrological simulations and proposes a deterministic, soil-focused calibration strategy within the MOHID-Land model. The approach was applied to the Pedro do Rio watershed to quantify the impact of VGM parameters, typically estimated via pedotransfer functions, on streamflow performance and to reduce uncertainty through targeted calibration. A one-at-a-time sensitivity analysis using the 95% Prediction Uncertainty (95PPU) metric identified the saturated water content (θs) and pore-size distribution (n) as the most influential parameters. Calibration scenarios adjusting these parameters, especially Scenario S45 (+30% θs, +20% n), significantly improved model performance, increasing the Nash–Sutcliffe Efficiency (NSE) from 0.20 to 0.66 on a daily scale and to 0.80 on a monthly scale during the validation period. Subsequent hydrodynamic refinements raised the daily NSE to 0.72, while monthly performance remained unchanged. The results underscore that soil parameter uncertainty plays a central role in long-term water balance representation, while hydrodynamic parameters primarily influence short-term dynamics in steep, responsive basins. Overall, the proposed strategy provides a computationally efficient alternative to fully automatic calibration methods, delivering robust performance while maintaining physical consistency, particularly in data-scarce environments. Full article
(This article belongs to the Special Issue Interdisciplinary Insights in Engineering Research 2026)
Show Figures

Figure 1

19 pages, 12766 KB  
Article
Evaluating the Resilience Gap: What Can Modern Beijing Learn from the Historical Water System of Yuan Dadu (1267–1368 CE)?
by Zi Hui and Jiaping Liu
Water 2026, 18(6), 735; https://doi.org/10.3390/w18060735 - 20 Mar 2026
Viewed by 319
Abstract
Urban flood resilience is an important indicator for measuring a city’s capacity to respond to and recover from flood disasters. However, existing assessments often lack a long-term hydrological baseline. This study establishes the historical water system of Yuan Dadu (1267–1368 CE) as a [...] Read more.
Urban flood resilience is an important indicator for measuring a city’s capacity to respond to and recover from flood disasters. However, existing assessments often lack a long-term hydrological baseline. This study establishes the historical water system of Yuan Dadu (1267–1368 CE) as a control scenario to benchmark the flood resilience of modern Beijing. By integrating a historical geographic reconstruction with a hydrological–hydrodynamic simulation and the fuzzy analytic hierarchy process (FAHP), the research quantifies structural differences in resilience profiles between the nature-adapted historical system and the modern engineering-dominated system. The results indicate that Yuan Dadu’s urban flood resilience index (UFRI) is 3.44 and modern Beijing’s is 3.28. Despite modern Beijing’s significant advantage in drainage facility density (0.61 km/km2) and emergency management, the system exhibits a functional substitution failure, where gray infrastructure has failed to fully compensate for a 26% reduction in the unit area storage capacity (from 6.4 to 4.7 × 104 m3/km2) and a 48.4% decline in the water system structural complexity. The findings indicate that, in rapidly urbanized cities on alluvial plains with high impervious coverage, expanding drainage networks alone may be insufficient to offset losses in a natural hydraulic buffering capacity. Accordingly, planning strategies are proposed that integrate distributed micro-storage and restore topological connectivity to recreate system-level hydraulic buffering functions. Full article
(This article belongs to the Special Issue Urban Drainage Systems and Stormwater Management, 2nd Edition)
Show Figures

Figure 1

13 pages, 9344 KB  
Article
Tracing Nitrogen Distribution and Biotic Responses in Spring-Fed Karst Rivers: A Pilot Study
by Gana Gecheva, Emilia Varadinova, Violeta Tyufekchieva, Anna Ganeva, Styliani Voutsadaki, Maria-Liliana Saru and Nikolaos Nikolaidis
Environments 2026, 13(3), 142; https://doi.org/10.3390/environments13030142 - 5 Mar 2026
Viewed by 464
Abstract
Understanding nitrogen distribution in spring-fed karst rivers is important for interpreting ecosystem responses in populated Mediterranean landscapes. Nitrogen, in its various forms, is a key physicochemical quality element influencing biological communities and ecological quality of freshwater ecosystems. Elevated nitrogen availability may trigger eutrophication [...] Read more.
Understanding nitrogen distribution in spring-fed karst rivers is important for interpreting ecosystem responses in populated Mediterranean landscapes. Nitrogen, in its various forms, is a key physicochemical quality element influencing biological communities and ecological quality of freshwater ecosystems. Elevated nitrogen availability may trigger eutrophication and other processes associated with biodiversity loss, posing risks to both aquatic ecosystem integrity and drinking water quality. However, translating nitrogen measurements into effective monitoring and management strategies remains challenging. Monitoring programs are often resource-intensive and require site-specific adaptation, particularly in heterogeneous systems such as karst catchments. General guideline values may not fully capture local hydrological variability, groundwater–surface water interactions, or combined stressors, including nutrient mixtures and salinity intrusion. These factors introduce uncertainty and complicate the interpretation of nitrogen dynamics. This pilot-scale exploratory study assessed total nitrogen (TN) across four environmental matrices—water and sediments, as well as tissue TN in aquatic bryophytes, and in benthic macroinvertebrates—at four spring-fed sites within the Koiliaris River Basin (Crete, Greece). The Koiliaris Critical Zone Observatory (CZO) is a representative karst watershed with highly permeable carbonate geology and long-term human pressures. TN concentrations were low in water (0.9–1.4 mg/L) and sediments (0.2–1.1 g/kg) but substantially higher in biotic compartments, particularly in macroinvertebrates (29.8–47.1 g/kg), while moss tissue TN ranged between 16.9 and 20.4 g/kg. Spatial variability among sites was observed, with consistently higher TN values at the coastal spring influenced by seawater intrusion. Although the limited sample size precluded formal statistical inference, exploratory analyses indicated positive associations between water TN and tissue TN in mosses and macroinvertebrates. These preliminary findings suggest that dissolved nitrogen may represent an important pathway of nitrogen availability to aquatic biota in this karst system. The study provides an exploratory framework for integrating abiotic and biotic nitrogen measurements and may inform the design of future, larger-scale investigations in Mediterranean spring-fed rivers. Full article
Show Figures

Figure 1

20 pages, 4200 KB  
Article
Spatiotemporal Characteristics and Identification of Typical Hydrological Patterns of Interval Inflow in the Three Gorges Reservoir Basin, China
by Qi Zhang, Zhifei Li, Yaoyao Dong, Hongyan Wang, Yu Wang, Zhonghe Li, Quanqing Feng and Hefei Huang
Hydrology 2026, 13(2), 75; https://doi.org/10.3390/hydrology13020075 - 23 Feb 2026
Viewed by 422
Abstract
The Three Gorges Reservoir (TGR) in China is one of the world’s largest hydropower projects. Interval inflow, originating from ungauged areas between the upstream gauging control stations (Zhutuo, Beibei, Wulong) and the TGR dam site, is a critical component of total reservoir inflow, [...] Read more.
The Three Gorges Reservoir (TGR) in China is one of the world’s largest hydropower projects. Interval inflow, originating from ungauged areas between the upstream gauging control stations (Zhutuo, Beibei, Wulong) and the TGR dam site, is a critical component of total reservoir inflow, but its hydrological characteristics have not been fully clarified. The accurate estimation and prediction of interval inflow are essential for reservoir safety and flood control operations. Using daily hydrological data from 2009 to 2017, we propose an integrated analytical framework combining (i) flow travel time estimation using cross-correlation analysis, (ii) multi-scale statistical characterization, and (iii) K-means clustering with bootstrap validation and algorithm comparison. This framework systematically identified hydrological regimes of interval inflow and their associated flood control risks. The key findings are as follows. (1) The optimal flow travel time from the upstream gauging stations to the dam site is 1 day (correlation coefficient ρ=0.9809,p<0.001), and it remains stable across different flow regimes. (2) The interval inflow exhibited a highly right-skewed distribution (mean 1279 m3/s, standard deviation 1651 m3/s) and contributed on average 10.1% to the total inflow. The contribution ratio exhibited an inverted U-shaped relationship with increasing total inflow, peaking at 11.4% when the total inflow (Q) was 13,014 m3/s. The quartile thresholds were 5788 m3/s, 9575 m3/s, and 16,869 m3/s (corresponding to Q1, Q2, and Q3, respectively), and the 10th and 90th percentiles (P10 and P90) were 4865 m3/s and 24,625 m3/s, respectively. (3) Five distinct hydrological patterns (C1–C5) were successfully identified, among which Cluster C4 (5.7% of days) was defined as the high-impact pattern based on reservoir operational criteria, with a mean I of 6425 m3/s, a mean R of 27.8% (up to 44% in extreme events), a mean flood duration of 5.8 days, a mean flood volume of 36.1 × 108 m3, and a flashiness index of 1.48. (4) C4 is predominantly triggered by localized heavy rainfall, and its flashy nature implies a substantially shorter forecast lead time compared with mainstream-dominated floods, posing major challenges to real-time reservoir operations. This study demonstrates that interval inflow risk is pattern-dependent and that the proposed framework provides a scientific basis for developing pattern-specific reservoir operation strategies. The proposed framework is transferable to other large river-type reservoirs facing similar ungauged interval inflow challenges. Full article
(This article belongs to the Section Water Resources and Risk Management)
Show Figures

Figure 1

28 pages, 6966 KB  
Article
Comparing HEC-HMS and HEC-RAS for Continuous, Rain-on-Grid, Urban Watershed Modeling
by Ashmita Poudel and Jose G. Vasconcelos
Hydrology 2026, 13(2), 46; https://doi.org/10.3390/hydrology13020046 - 28 Jan 2026
Viewed by 1372
Abstract
The application of two-dimensional (2D) hydrologic and hydraulic modeling tools is increasing for overland flow simulation, as they represent spatial changes in depth, velocity, and flow conditions more accurately. Recently, the US Army Corps HEC-HMS (Hydrologic Engineering Center Hydrologic Modeling System) added the [...] Read more.
The application of two-dimensional (2D) hydrologic and hydraulic modeling tools is increasing for overland flow simulation, as they represent spatial changes in depth, velocity, and flow conditions more accurately. Recently, the US Army Corps HEC-HMS (Hydrologic Engineering Center Hydrologic Modeling System) added the capability to import an unstructured 2D mesh, which enables the routing of excess precipitation across the mesh, as a fully distributed hydrological model. In HEC-HMS, the 2D diffusion-wave component functions as a hydrologic transform representing overland flow routing. In contrast, HEC-RAS 2D (Hydrologic Engineering Center-River Analysis System), initially applied to river flow simulation, can apply either the 2D shallow-water equations or the 2D diffusion-wave option. Similarly to HEC-HMS, HEC-RAS also includes rain-on-grid (RoG) capability and infiltration algorithms, and in this fashion has some hydrological modeling capabilities. Still, while HEC-HMS is capable of representing extended-period hydrological simulations, HEC-RAS hydrological capabilities are limited to event-based simulations, as there are no provisions to represent abstractions such as evapotranspiration or groundwater/baseflow contributions together. Studies performing a direct comparison between the HEC-HMS RoG and HEC-RAS RoG approaches for representing urban hydrology remain scarce. This study aims to fill that gap by assessing their performance in Moore’s Mill Creek Watershed, in Lee County, Alabama, with a focus on continuous rainfall-runoff modeling. Both models run on the same unstructured mesh and use identical rainfall, terrain, land-use, and soil data. Model simulations are compared over an extended period to evaluate simulated depth, velocity, and flow hydrographs against field observations. The comparison shows HEC-HMS’s superior performance for extended simulation and provides practical guidance on parameter alignment, data needs, and tool selection. Full article
Show Figures

Figure 1

22 pages, 4399 KB  
Article
Coupled Model Validation and Characterization on Rainfall-Driven Runoff and Non-Point Source Pollution Processes in an Urban Watershed System
by Hantao Wang, Genyu Yuan, Yang Ping, Peng Wei, Fangze Shang, Wei Luo, Zhiqiang Hou, Kairong Lin, Zhenzhou Zhang and Cuijie Feng
Water 2025, 17(21), 3049; https://doi.org/10.3390/w17213049 - 24 Oct 2025
Viewed by 1089
Abstract
Rainfall-driven non-point source (NPS) pollution has become a critical issue for water environment management in urban watershed systems. However, single-model use is limited to fully represent the intricate processes of rainfall-correlated NPS pollution generation and dispersion for effective decision-making. This study develops a [...] Read more.
Rainfall-driven non-point source (NPS) pollution has become a critical issue for water environment management in urban watershed systems. However, single-model use is limited to fully represent the intricate processes of rainfall-correlated NPS pollution generation and dispersion for effective decision-making. This study develops a novel cross-scale, multi-factor coupled model framework to characterize hydrologic and NPS pollution responses to different rainfall events in Shenzhen, China, a representative worldwide metropolis facing challenges from rapid urbanization. The calibrated and validated coupled model achieved remarkable agreements with observed hydrologic (Nash–Sutcliffe efficiency, NSE > 0.81) and water quality (NSE > 0.85) data in different rainfall events and demonstrated high-resolution dynamic changes in flow and pollutant transfer within the studied watershed. In an individual rainfall event, heterogeneous spatial distributions of discharge and pollutant loads were found, highly correlated with land use types. The temporal change pattern and risk of flooding and NPS pollution differed significantly with rainfall intensity, and the increase in the pollutants (mean 322% and 596%, respectively) was much larger than the discharge (207% and 302%, respectively) under intense rainfall conditions. Based on these findings, a decision-support framework was established, featuring land-use-driven spatial prioritization of industrial hotspots, rainfall-intensity-stratified management protocols with event-triggered operational rules, and integrated source-pathway-receiving end intervention strategies. The validated model framework provides quantitative guidance for optimizing infrastructure design parameters, establishing performance-based regulatory standards, and enabling real-time operational decision-making in urban watershed management. Full article
(This article belongs to the Special Issue Urban Water Pollution Control: Theory and Technology, 2nd Edition)
Show Figures

Figure 1

25 pages, 6752 KB  
Article
Hybrid Deep Learning Combining Mode Decomposition and Intelligent Optimization for Discharge Forecasting: A Case Study of the Baiquan Karst Spring
by Yanling Li, Tianxing Dong, Yingying Shao and Xiaoming Mao
Sustainability 2025, 17(18), 8101; https://doi.org/10.3390/su17188101 - 9 Sep 2025
Viewed by 936
Abstract
Karst springs play a critical strategic role in regional economic and ecological sustainability, yet their spatiotemporal heterogeneity and hydrological complexity pose substantial challenges for flow prediction. This study proposes FMD-mGTO-BiGRU-KAN, a four-stage hybrid deep learning architecture for daily spring flow prediction that integrates [...] Read more.
Karst springs play a critical strategic role in regional economic and ecological sustainability, yet their spatiotemporal heterogeneity and hydrological complexity pose substantial challenges for flow prediction. This study proposes FMD-mGTO-BiGRU-KAN, a four-stage hybrid deep learning architecture for daily spring flow prediction that integrates multi-feature signal decomposition, meta-heuristic optimization, and interpretable neural network design: constructing an Feature Mode Decomposition (FMD) decomposition layer to mitigate modal aliasing in meteorological signals; employing the improved Gorilla Troops Optimizer (mGTO) optimization algorithm to enable autonomous hyperparameter evolution, overcoming the limitations of traditional grid search; designing a Bidirectional Gated Recurrent Unit (BiGRU) network to capture long-term historical dependencies in spring flow sequences through bidirectional recurrent mechanisms; introducing Kolmogorov–Arnold Networks (KAN) to replace the fully connected layer, and improving the model interpretability through differentiable symbolic operations; Additionally, residual modules and dropout blocks are incorporated to enhance generalization capability, reduce overfitting risks. By integrating multiple deep learning algorithms, this hybrid model leverages their respective strengths to adeptly accommodate intricate meteorological conditions, thereby enhancing its capacity to discern the underlying patterns within complex and dynamic input features. Comparative results against benchmark models (LSTM, GRU, and Transformer) show that the proposed framework achieves 82.47% and 50.15% reductions in MSE and RMSE, respectively, with the NSE increasing by 8.01% to 0.9862. The prediction errors are more tightly distributed, and the proposed model surpasses the benchmark model in overall performance, validating its superiority. The model’s exceptional prediction ability offers a novel high-precision solution for spring flow prediction in complex hydrological systems. Full article
Show Figures

Figure 1

25 pages, 2339 KB  
Article
Projected Hydrological Regime Shifts in Kazakh Rivers Under CMIP6 Climate Scenarios: Integrated Modeling and Seasonal Flow Analysis
by Aliya Nurbatsina, Aisulu Tursunova, Lyazzat Makhmudova, Zhanat Salavatova and Fredrik Huthoff
Atmosphere 2025, 16(9), 1020; https://doi.org/10.3390/atmos16091020 - 29 Aug 2025
Cited by 1 | Viewed by 2140
Abstract
The article presents an analysis of current (during the period 1985–2022) and projected (during the period 2025–2099) changes in the hydrological regime of the Buktyrma, Yesil, and Zhaiyk river basins in Kazakhstan under the conditions of global climate change. This study is based [...] Read more.
The article presents an analysis of current (during the period 1985–2022) and projected (during the period 2025–2099) changes in the hydrological regime of the Buktyrma, Yesil, and Zhaiyk river basins in Kazakhstan under the conditions of global climate change. This study is based on the integration of data from General Circulation Models (GCMs) of the sixth phase of the CMIP6 project, socio-economic development scenarios SSP2-4.5 and SSP5-8.5, as well as the results of hydrological modelling using the SWIM model. The studies were carried out with an integrated approach to hydrological change assessment, taking into account scenario modelling, uncertainty analysis and the use of bias correction methods for climate data. A calculation method was used to analyse the intra-annual distribution of runoff, taking into account climate change. Detailed forecasts of changes in runoff and intra-annual water distribution up to the end of the 21st century for key water bodies in Kazakhstan were obtained. While the projections of river flow and hydrological parameters under CMIP6 scenarios are actively pursued worldwide, few studies have explicitly focused on forecasting intra-annual flow distribution in Central Asia, calculated using a methodology appropriate for this region and using CMIP6 ensemble scenarios. There have been studies on changes in the intra-annual distribution of runoff for individual river basins or local areas, but for the historical period, there have also been studies on modelling runoff forecasts using CMIP6 climate models, but have been very few systematic publications on the distribution of predicted intra-annual runoff in Central Asia, and this issue has not been fully studied. The projections suggest an intensification of flow seasonality (1), earlier flood peaks (2), reduced summer discharges (3) and an increased likelihood of extreme hydrological events under future climatic conditions. Changes in the seasonal structure of river flow in Central Asia are caused by both climatic factors—temperature, precipitation and glacier degradation—and significant anthropogenic influences, including irrigation and water management structures. These changes directly affect the risks of flooding and water shortages, as well as the adaptive capacity of water management systems. Given the high level of water management challenges and interregional conflicts over water use, the intra-annual distribution of runoff is important for long-term planning, the development of adaptation measures, and the formulation of public policy on sustainable water management in the face of growing climate challenges. This is critically important for water, agricultural, energy, and environmental planning in a region that already faces annual water management challenges and conflicts due to the uneven seasonal distribution of resources. Full article
(This article belongs to the Special Issue The Water Cycle and Climate Change (3rd Edition))
Show Figures

Figure 1

19 pages, 2607 KB  
Article
Sensitivity Analysis of the Temperature Field of Surrounding Rock in Cold-Region Tunnels Using a Fully Coupled Thermo-Hydrological Model
by Wentao Wu and Jiaqi Guo
Appl. Sci. 2025, 15(16), 9020; https://doi.org/10.3390/app15169020 - 15 Aug 2025
Viewed by 620
Abstract
The thermo-hydrological (TH) coupling model constitutes the foundational framework for investigating the temperature distribution of surrounding rock in cold region tunnels. In this study, a fully coupled TH model is proposed that takes into account multiple physical phenomena during the freezing process of [...] Read more.
The thermo-hydrological (TH) coupling model constitutes the foundational framework for investigating the temperature distribution of surrounding rock in cold region tunnels. In this study, a fully coupled TH model is proposed that takes into account multiple physical phenomena during the freezing process of surrounding rock. Firstly, the model was established based on thermodynamics, seepage theory, and ice–water phase change theory, which accounted for unfrozen water, latent heat of phase change, ice impedance, and convective heat transfer. The model was successfully verified by comparing its results to field data. Next, the sensitivity of surrounding rock temperature to environmental, thermodynamic, seepage, and coupling parameters in the fully coupled TH model was systematically studied using a numerical analysis method. The results show that the annual temperature amplitude and thermal conductivity represent the main factors affecting the surrounding rock temperature at a radial depth of 0 m, while the initial temperature and porosity are the key factors at a radial depth of 5 m. Permeability has the least influence on the surrounding rock temperature, but the temperature field will experience sudden changes if its value exceeds its value exceeds 1 × 10−12 m2. Finally, using the proposed numerical model, the thickness of insulation layer was simulated, and the degree of influence of the parameters on the thickness of insulation layer was analyzed. This study reveals that the annual temperature amplitude has the greatest influence on the calculation of insulation layer thickness, with its normalized sensitivity factor being approximately 50%. These findings not only expand the methodology for exploring the laws of TH coupling but also provide a theoretical foundation for improving the parameter calibration efficiency and calculation accuracy of the fully coupled TH model, and they have significant reference value. Full article
(This article belongs to the Section Applied Thermal Engineering)
Show Figures

Figure 1

23 pages, 1585 KB  
Article
Effects of Climate Change on Korea’s Fisheries Production: An ARDL Approach
by Hoonseok Cho, Pilgyu Jung and Mingyeong Jeong
Fishes 2025, 10(4), 186; https://doi.org/10.3390/fishes10040186 - 18 Apr 2025
Cited by 1 | Viewed by 3653
Abstract
This study investigates the impact of rising sea surface temperature (SST), increasing carbon dioxide (CO2) emissions, and precipitation variability (PREC) on Korea’s coastal and offshore fisheries production (COFP) from 1993 to 2023 using an autoregressive distributed lag (ARDL) model. The results [...] Read more.
This study investigates the impact of rising sea surface temperature (SST), increasing carbon dioxide (CO2) emissions, and precipitation variability (PREC) on Korea’s coastal and offshore fisheries production (COFP) from 1993 to 2023 using an autoregressive distributed lag (ARDL) model. The results confirm a long-run cointegration relationship, where a 1% increase in SST, CO2, and PREC is associated with respective declines of 3.52%, 0.82%, and 0.34% in COFP, respectively, suggesting persistent negative effects of ocean warming, acidification, and hydrological variability on fisheries production. Robustness checks using Fully Modified Ordinary Least Squares (FMOLS) and Canonical Cointegrating Regression (CCR) validate the stability of the ARDL results. The short-run analysis reveals that past production levels significantly influence current COFP, while SST fluctuations exhibit delayed but economically meaningful effects. The error correction term (−0.75, p < 0.01) confirms a rapid adjustment toward equilibrium following short-term deviations. These findings underscore the necessity of climate-resilient fisheries management. Policy recommendations include adaptive harvest regulations, climate-integrated stock assessments, and enhanced international cooperation for transboundary fish stocks. Additionally, expanding Marine Protected Areas, promoting climate-resilient aquaculture, and strengthening stock enhancement programs through selective breeding and seed release of climate-adapted species are essential for sustaining fisheries under climate change. Full article
(This article belongs to the Special Issue Effects of Climate Change on Marine Fisheries)
Show Figures

Figure 1

28 pages, 4882 KB  
Article
A Daily Runoff Prediction Model for the Yangtze River Basin Based on an Improved Generative Adversarial Network
by Tong Liu, Xudong Cui and Li Mo
Sustainability 2025, 17(7), 2990; https://doi.org/10.3390/su17072990 - 27 Mar 2025
Cited by 2 | Viewed by 1363
Abstract
Hydrological runoff prediction plays a crucial role in water resource management and sustainable development. However, it is often constrained by the nonlinearity, strong stochasticity, and high non-stationarity of hydrological data, as well as the limited accuracy of traditional forecasting methods. Although Wasserstein Generative [...] Read more.
Hydrological runoff prediction plays a crucial role in water resource management and sustainable development. However, it is often constrained by the nonlinearity, strong stochasticity, and high non-stationarity of hydrological data, as well as the limited accuracy of traditional forecasting methods. Although Wasserstein Generative Adversarial Networks with Gradient Penalty (WGAN-GP) have been widely used for data augmentation to enhance predictive model training, their direct application as forecasting models remains limited. Additionally, the architectures of the generator and discriminator in WGAN-GP have not been fully optimized, and their potential in hydrological forecasting has not been thoroughly explored. Meanwhile, the strategy of jointly optimizing Variational Autoencoders (VAEs) with WGAN-GP is still in its infancy in this field. To address these challenges and promote more accurate and sustainable water resource planning, this study proposes a comprehensive forecasting model, VXWGAN-GP, which integrates Variational Autoencoders (VAEs), WGAN-GP, Convolutional Neural Networks (CNN), Bidirectional Long Short-Term Memory Networks (BiLSTM), Gated Recurrent Units (GRUs), and Attention mechanisms. The VAE enhances feature representation by learning the data distribution and generating new features, which are then combined with the original features to improve predictive performance. The generator integrates GRU, BiLSTM, and Attention mechanisms: GRU captures short-term dependencies, BiLSTM captures long-term dependencies, and Attention focuses on critical time steps to generate forecasting results. The discriminator, based on CNN, evaluates the differences between the generated and real data through adversarial training, thereby optimizing the generator’s forecasting ability and achieving high-precision runoff prediction. This study conducts daily runoff prediction experiments at the Yichang, Cuntan, and Pingshan hydrological stations in the Yangtze River Basin. The results demonstrate that VXWGAN-GP significantly improves the quality of input features and enhances runoff prediction accuracy, offering a reliable tool for sustainable hydrological forecasting and water resource management. By providing more precise and robust runoff predictions, this model contributes to long-term water sustainability and resilience in hydrological systems. Full article
Show Figures

Figure 1

27 pages, 5777 KB  
Article
Flash Flood Regionalization for the Hengduan Mountains Region, China, Combining GNN and SHAP Methods
by Yifan Li, Chendi Zhang, Peng Cui, Marwan Hassan, Zhongjie Duan, Suman Bhattacharyya, Shunyu Yao and Yang Zhao
Remote Sens. 2025, 17(6), 946; https://doi.org/10.3390/rs17060946 - 7 Mar 2025
Cited by 2 | Viewed by 2003
Abstract
The Hengduan Mountains region (HMR) is vulnerable to flash flood disasters, which account for the largest proportion of flood-related fatalities in China. Flash flood regionalization, which divides a region into homogeneous subdivisions based on flash flood-inducing factors, provides insights for the spatial distribution [...] Read more.
The Hengduan Mountains region (HMR) is vulnerable to flash flood disasters, which account for the largest proportion of flood-related fatalities in China. Flash flood regionalization, which divides a region into homogeneous subdivisions based on flash flood-inducing factors, provides insights for the spatial distribution patterns of flash flood risk, especially in ungauged areas. However, existing methods for flash flood regionalization have not fully reflected the spatial topology structure of the inputted geographical data. To address this issue, this study proposed a novel framework combining a state-of-the-art unsupervised Graph Neural Network (GNN) method, Dink-Net, and Shapley Additive exPlanations (SHAP) for flash flood regionalization in the HMR. A comprehensive dataset of flash flood inducing factors was first established, covering geomorphology, climate, meteorology, hydrology, and surface conditions. The performances of two classic machine learning methods (K-means and Self-organizing feature map) and three GNN methods (Deep Graph Infomax (DGI), Deep Modularity Networks (DMoN), and Dilation shrink Network (Dink-Net)) were compared for flash-flood regionalization, and the Dink-Net model outperformed the others. The SHAP model was then applied to quantify the impact of all the inducing factors on the regionalization results by Dink-Net. The newly developed framework captured the spatial interactions of the inducing factors and characterized the spatial distribution patterns of the factors. The unsupervised Dink-Net model allowed the framework to be independent from historical flash flood data, which would facilitate its application in ungauged mountainous areas. The impact analysis highlights the significant positive influence of extreme rainfall on flash floods across the entire HMR. The pronounced positive impact of soil moisture and saturated hydraulic conductivity in the areas with a concentration of historical flash flood events, together with the positive impact of topography (elevation) in the transition zone from the Qinghai–Tibet Plateau to the Sichuan Basin, have also been revealed. The results of this study provide technical support and a scientific basis for flood control and disaster reduction measures in mountain areas according to local inducing conditions. Full article
(This article belongs to the Special Issue Advancing Water System with Satellite Observations and Deep Learning)
Show Figures

Figure 1

43 pages, 130826 KB  
Article
Geomorphological and Geological Characteristics Slope Unit: Advancing Township-Scale Landslide Susceptibility Assessment Strategies
by Gang Chen, Taorui Zeng, Dongsheng Liu, Hao Chen, Linfeng Wang, Liping Wang, Kaiqiang Zhang and Thomas Glade
Land 2025, 14(2), 355; https://doi.org/10.3390/land14020355 - 9 Feb 2025
Cited by 4 | Viewed by 4284
Abstract
The current method for dividing slope units primarily relies on hydrological analysis methods, which consider only geomorphological factors and fail to reveal the geological boundaries during landslides. Consequently, this approach does not fully satisfy the requirements for detailed landslide susceptibility assessments at the [...] Read more.
The current method for dividing slope units primarily relies on hydrological analysis methods, which consider only geomorphological factors and fail to reveal the geological boundaries during landslides. Consequently, this approach does not fully satisfy the requirements for detailed landslide susceptibility assessments at the township scale. To address this limitation, we propose a new landslide susceptibility evaluation model based on geomorphological and geological characteristics. The key challenges addressed include: (i) Optimization of the slope unit division method. This is accomplished by integrating geomorphological features, such as slope gradient and aspect, with geological features, including lithology, slope structure types, and disaster categories, to develop a process for extracting slope units based on both geomorphological and geological characteristics. The results indicate that the proposed slope units outperform the hydrological analysis methods in three key indicators: overlap, shape regularity, and spatial distribution uniformity. (ii) Development and validation of the evaluation model. A landslide susceptibility index system is developed using multi-source data, with susceptibility prediction conducted via the XGBoost model optimized by Bayesian methods. The model’s accuracy is validated using the Receiver Operating Characteristic (ROC) curve. The results show that the proposed slope units achieve an AUC value of 0.973, surpassing the hydrological method. (iii) Analysis of landslide susceptibility variations. The susceptibility of the two types of slope units is analyzed through landslide case studies. The consistency between the proposed slope units and field verification results is explained using engineering geological characteristics. The SHAP model is then used to examine the influence of key disaster-inducing and individual factors on landslide occurrence. Full article
(This article belongs to the Section Land – Observation and Monitoring)
Show Figures

Figure 1

20 pages, 60234 KB  
Article
Combining InSAR and Time-Series Clustering to Reveal Deformation Patterns of the Heifangtai Loess Terrace
by Hao Xu, Bao Shu, Qin Zhang, Guohua Xiong and Li Wang
Remote Sens. 2025, 17(3), 429; https://doi.org/10.3390/rs17030429 - 27 Jan 2025
Cited by 4 | Viewed by 2569
Abstract
The Heifangtai Loess terrace in northwest China is frequently affected by landslides due to hydrological factors, establishing it as a significant research area for loess landslides. Advanced time-series InSAR technology facilitates the retrieval of surface deformation information, thereby aiding in the monitoring of [...] Read more.
The Heifangtai Loess terrace in northwest China is frequently affected by landslides due to hydrological factors, establishing it as a significant research area for loess landslides. Advanced time-series InSAR technology facilitates the retrieval of surface deformation information, thereby aiding in the monitoring of landslide deformation status. However, existing methods that analyze deformation patterns do not fully exploit the displacement time series derived from InSAR, which hampers the exploration of potentially coexisting deformation patterns within the area. This study integrates InSAR with time-series clustering methods to reveal the surface deformation patterns and their spatial distribution characteristics in Heifangtai. Initially, utilizing the Sentinel-1 ascending and descending SAR data stack from January 2020 to June 2023, we optimize the interferometric phase based on distributed scatterer characteristics to reduce noise levels and obtain higher spatial density of measurement points. Subsequently, by combining the differential interferometric datasets from both ascending and descending orbits, the multidimensional small baseline subsets technique is employed to calculate the two-dimensional deformation time series. Finally, time-series clustering methods are utilized to extract the deformation patterns present and their spatial distribution from all measurement point time series. The results indicate that the deformation of the Heifangtai is primarily distributed around the surrounding area of the platform, with subsidence deformation being more intense than horizontal deformation. The entire terrace exhibits five deformation patterns: eastward subsidence, westward subsidence, vertical subsidence, westward movement, and eastward movement. The spatial distribution of these patterns suggests that the areas beneath the platform, namely Yanguoxia Town and Dangchuan Village, may be more susceptible to landslide threats in the future. Furthermore, wavelet analysis reveals the response relationship between rainfall and various deformation patterns, further enhancing the interpretability of these patterns. These findings hold significant implications for subsequent landslide monitoring, early warning, and risk prevention. Full article
Show Figures

Figure 1

24 pages, 11077 KB  
Article
A Temporal Convolutional Neural Network Fusion Attention Mechanism Runoff Prediction Model Based on Dynamic Decomposition Reconstruction Integration Processing
by Zhou Qin, Yongchuan Zhang, Hui Qin, Li Mo, Pingan Ren and Sipeng Zhu
Water 2024, 16(23), 3515; https://doi.org/10.3390/w16233515 - 6 Dec 2024
Cited by 7 | Viewed by 4009
Abstract
Accurate and reliable runoff forecasting is of great significance for hydropower station operation and watershed water resource allocation. However, various complex factors, such as climate conditions and human activities, constantly affect the formation of runoff. Runoff data under changing environments exhibit highly nonlinear, [...] Read more.
Accurate and reliable runoff forecasting is of great significance for hydropower station operation and watershed water resource allocation. However, various complex factors, such as climate conditions and human activities, constantly affect the formation of runoff. Runoff data under changing environments exhibit highly nonlinear, time-varying, and stochastic characteristics, which undoubtedly pose great challenges to runoff prediction. Under this background, this study ingeniously merges reconstruction integration technology and dynamic decomposition technology to propose a Temporal Convolutional Network Fusion Attention Mechanism Runoff Prediction method based on dynamic decomposition reconstruction integration processing. This method uses the Temporal Convolutional Network to extract the cross-temporal nonlinear characteristics of longer runoff data, and introduces attention mechanisms to capture the importance distribution and duration relationship of historical temporal features in runoff prediction. It integrates a decomposition reconstruction process based on dynamic classification and filtering, fully utilizing decomposition techniques, reconstruction techniques, complexity analysis, dynamic decomposition techniques, and neural networks optimized by automatic hyperparameter optimization algorithms, effectively improving the model’s interpretability and precision of prediction accuracy. This study used historical monthly runoff datasets from the Pingshan Hydrological Station and Yichang Hydrological Station for validation, and selected eight models including the LSTM model, CEEMDAN-TCN-Attention model, and CEEMDAN-VMD-LSTM-Attention (DDRI) for comparative prediction experiments. The MAE, RMSE, MAPE, and NSE indicators of the proposed model showed the best performances, with test set values of 1007.93, 985.87, 16.47, and 0.922 for the Pingshan Hydrological Station and 1086.81, 1211.18, 17.20, and 0.919 for the Yichang Hydrological Station, respectively. The experimental results indicate that the fusion model generated through training has strong learning ability for runoff temporal features and the proposed model has obvious advantages in overall predictive performance, stability, correlation, comprehensive accuracy, and statistical testing. Full article
(This article belongs to the Section Hydraulics and Hydrodynamics)
Show Figures

Figure 1

Back to TopTop