Sign in to use this feature.

Years

Between: -

Subjects

remove_circle_outline
remove_circle_outline
remove_circle_outline
remove_circle_outline
remove_circle_outline
remove_circle_outline
remove_circle_outline
remove_circle_outline
remove_circle_outline

Journals

remove_circle_outline
remove_circle_outline
remove_circle_outline
remove_circle_outline
remove_circle_outline
remove_circle_outline
remove_circle_outline
remove_circle_outline
remove_circle_outline
remove_circle_outline
remove_circle_outline
remove_circle_outline
remove_circle_outline
remove_circle_outline
remove_circle_outline
remove_circle_outline
remove_circle_outline
remove_circle_outline
remove_circle_outline
remove_circle_outline
remove_circle_outline
remove_circle_outline

Article Types

Countries / Regions

remove_circle_outline
remove_circle_outline
remove_circle_outline
remove_circle_outline
remove_circle_outline
remove_circle_outline
remove_circle_outline
remove_circle_outline
remove_circle_outline

Search Results (3,832)

Search Parameters:
Keywords = fuel property

Order results
Result details
Results per page
Select all
Export citation of selected articles as:
29 pages, 5399 KB  
Review
A Review on Modified Montmorillonite-Based Catalysts for Biofuel and Recycled Carbon Fuel Production
by Ouahiba Madjeda Mecelti, Denys Grekov and Sary Awad
Molecules 2026, 31(2), 339; https://doi.org/10.3390/molecules31020339 - 19 Jan 2026
Abstract
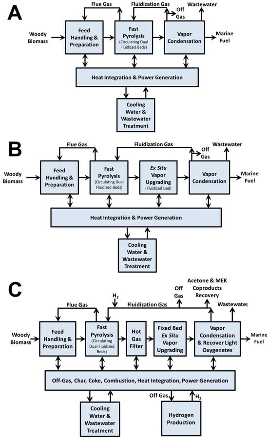
The maritime transport sector’s reliance on fossil-based fuels remains a major contributor to global greenhouse gas emissions, underscoring the urgent need for sustainable alternatives such as marine biofuels. Thermochemical pyrolysis of biomass and plastic waste represents a promising route for producing renewable and [...] Read more.
The maritime transport sector’s reliance on fossil-based fuels remains a major contributor to global greenhouse gas emissions, underscoring the urgent need for sustainable alternatives such as marine biofuels. Thermochemical pyrolysis of biomass and plastic waste represents a promising route for producing renewable and recycled marine fuel feedstocks. This review provides an integrated analysis of the full production and upgrading chain, encompassing pyrolysis of lignocellulosic biomass and polymer-derived resources, catalytic upgrading, and qualitative evaluation of product distribution and yield trends. Particular emphasis is placed on montmorillonite-based catalysts as naturally abundant, low-cost, and environmentally benign alternatives to conventional zeolites. The review systematically examines the influence of key montmorillonite modification strategies, including acid activation, pillaring, and ion-exchanged, on acidity, textural properties, and catalytic performance in catalytic cracking and hydrodeoxygenation processes. The analysis shows that catalyst modification strongly governs the yield, selectivity, and reproducibility of biofuels. By adopting this integrated perspective, the review extends beyond existing works focused on isolated upgrading steps or zeolitic catalysts. Key research gaps are identified, particularly regarding long-term catalyst stability, deep deoxygenation of real bio-oils, and compliance with marine fuel standards. Full article
(This article belongs to the Collection Recycling of Biomass Resources: Biofuels and Biochemicals)
Show Figures

Figure 1

17 pages, 1703 KB  
Article
Performance Optimization of Series-Connected Supercapacitor Microbial Fuel Cells Fed with Molasses-Seawater Anolytes
by Jung-Chieh Su, Kai-Chung Huang, Chia-Kai Lin, Ai Tsao, Jhih-Ming Lin and Jung-Jeng Su
Electronics 2026, 15(2), 424; https://doi.org/10.3390/electronics15020424 - 18 Jan 2026
Abstract
Microbial fuel cells (MFCs) utilizing livestock wastewater represent a critical path toward sustainable energy and net-zero emissions. To maximize this potential, this study investigates a novel circuit configuration, integrating twin MFCs with dual supercapacitors in a closed-loop system, to enhance charge storage and [...] Read more.
Microbial fuel cells (MFCs) utilizing livestock wastewater represent a critical path toward sustainable energy and net-zero emissions. To maximize this potential, this study investigates a novel circuit configuration, integrating twin MFCs with dual supercapacitors in a closed-loop system, to enhance charge storage and electricity generation. By utilizing molasses-seawater anolytes, the study establishes a performance benchmark for optimizing energy recovery in future livestock wastewater treatment applications. The self-adjusting potential difference between interconnected MFCs is verified, and supercapacitors significantly improve energy harvesting by reducing load impedance and balancing capacitor plate charges. Voltage gain across supercapacitors exceeds that of single MFC charging, demonstrating the benefits of series integration. Experimental results reveal that catholyte properties—electrical conductivity, salinity, pH, and dissolved oxygen—strongly influence MFC performance. Optimal conditions for a neutralized anolyte (pH 7.12) include dissolved oxygen levels of 5.37–5.68 mg/L and conductivity of 24.3 mS/cm. Under these conditions, supercapacitors charged with sterile diluted seawater catholyte store up to 40% more energy than individual MFCs, attributed to increased output current. While the charge balance mechanism of supercapacitors contributes to storage efficiency, its impact is less pronounced than that of conductivity and oxygen solubility. The interplay between electrochemical activation and charge balancing enhances overall electricity harvesting. These findings provide valuable insights into optimizing MFC-supercapacitor systems for renewable energy applications, particularly in livestock wastewater treatment. Full article
Show Figures

Figure 1

22 pages, 1464 KB  
Article
Optimal Recycling Ratio of Biodried Product at 12% Enhances Digestate Valorization: Synergistic Acceleration of Drying Kinetics, Nutrient Enrichment, and Energy Recovery
by Xiandong Hou, Hangxi Liao, Bingyan Wu, Nan An, Yuanyuan Zhang and Yangyang Li
Bioengineering 2026, 13(1), 109; https://doi.org/10.3390/bioengineering13010109 - 16 Jan 2026
Viewed by 174
Abstract
Rapid urbanization in China has driven annual food waste production to 130 million tons, posing severe environmental challenges for anaerobic digestate management. To resolve trade-offs among drying efficiency, resource recovery (fertilizer/fuel), and carbon neutrality by optimizing the biodried product (BDP) recycling ratio (0–15%), [...] Read more.
Rapid urbanization in China has driven annual food waste production to 130 million tons, posing severe environmental challenges for anaerobic digestate management. To resolve trade-offs among drying efficiency, resource recovery (fertilizer/fuel), and carbon neutrality by optimizing the biodried product (BDP) recycling ratio (0–15%), six BDP treatments were tested in 60 L bioreactors. Metrics included drying kinetics, product properties, and environmental–economic trade-offs. The results showed that 12% BDP achieved a peak temperature integral (514.13 °C·d), an optimal biodrying index (3.67), and shortened the cycle to 12 days. Furthermore, 12% BDP yielded total nutrients (N + P2O5 + K2O) of 4.19%, meeting the NY 525-2021 standard in China, while ≤3% BDP maximized fuel suitability with LHV > 5000 kJ·kg−1, compliant with CEN/TC 343 RDF standards. BDP recycling reduced global warming potential by 27.3% and eliminated leachate generation, mitigating groundwater contamination risks. The RDF pathway (12% BDP) achieved the highest NPV (USD 716,725), whereas organic fertilizer required farmland subsidies (28.57/ton) to offset its low market value. A 12% BDP recycling ratio optimally balances technical feasibility, environmental safety, and economic returns, offering a closed-loop solution for global food waste valorization. Full article
(This article belongs to the Special Issue Anaerobic Digestion Advances in Biomass and Waste Treatment)
Show Figures

Graphical abstract

22 pages, 8501 KB  
Article
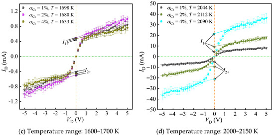
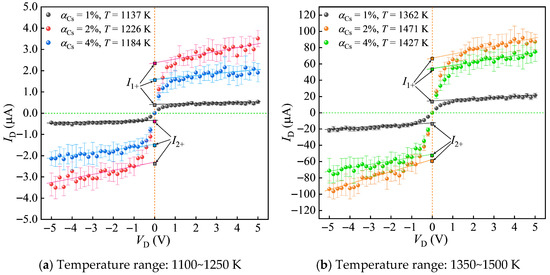
Study on Thermophysical Properties and Electrical Conductivity Characteristics of Combustion Products from Propellants with Ionization Seeds
by Chunlin Chen, Lei Chang, Baoquan Mao, Qijin Zhao, Renbin Li and Xianghua Bai
Aerospace 2026, 13(1), 92; https://doi.org/10.3390/aerospace13010092 - 15 Jan 2026
Viewed by 179
Abstract
Detailed knowledge regarding the thermophysical properties and electrical conductivity of the combustion products derived from solid propellants is essential for the optimized design and operation of solid-fuel rocket engines employing magnetohydrodynamic drive technology. However, the high-temperature and high-pressure environment prevailing during rocket operation [...] Read more.
Detailed knowledge regarding the thermophysical properties and electrical conductivity of the combustion products derived from solid propellants is essential for the optimized design and operation of solid-fuel rocket engines employing magnetohydrodynamic drive technology. However, the high-temperature and high-pressure environment prevailing during rocket operation makes the experimental measurement of these characteristics extremely difficult, while the ionization reactions obtained by adding ionization seeds containing cesium to solid propellants for increasing the electrical conductivity of gaseous combustion products makes the theoretical calculation of these characteristics extremely problematic as well. The present work addresses these issues by constructing a minimum Gibbs free energy constraint function in conjunction with the Debye–Hückel correction under the condition of ionization to calculate the equilibrium components of combustion products. The obtained equilibrium components are then applied in conjunction with Lennard–Jones potential energy theory and the Champan–Enskog framework to approximately calculate the specific heat, viscosity coefficient, and thermal conductivity of propellant gases over a wide range of temperatures and pressures. The Kantrowitz model is proposed to solve the electrical conductivity of combustion products. Finally, the accuracy of the numerical calculations is validated through the Langmuir probe experiment. The discrepancy between calculated and measured electron density decreases with increasing temperature and remains within 5% when the combustion product temperature exceeds approximately 1800 K. The validity of the proposed framework is demonstrated by examining the effects of temperature, pressure, and ionization seed content on the thermophysical properties and electrical conductivity of the combustion products derived from tri-base solid propellant with cesium atoms employed as ionization seeds. Full article
(This article belongs to the Section Astronautics & Space Science)
Show Figures

Figure 1

18 pages, 1527 KB  
Article
Optimization of Biodiesel Production from Waste Cooking Oil Using a Construction Industry Waste Cement as a Heterogeneous and Reusable Catalyst
by Jing Sun, Hongwei Chen, Hongjian Shen, Xiang Luo, Zezhou Lin and Honglei Zhang
Nanomaterials 2026, 16(2), 108; https://doi.org/10.3390/nano16020108 - 14 Jan 2026
Viewed by 130
Abstract
Biodiesel, which is a blend of fatty acid methyl esters (FAME), has garnered significant attention as a promising alternative to petroleum-based diesel fuel. Nevertheless, the commercial production of biodiesel faces challenges due to the high costs associated with feedstock and the non-recyclable homogeneous [...] Read more.
Biodiesel, which is a blend of fatty acid methyl esters (FAME), has garnered significant attention as a promising alternative to petroleum-based diesel fuel. Nevertheless, the commercial production of biodiesel faces challenges due to the high costs associated with feedstock and the non-recyclable homogeneous catalyst system. To address these issues, a solid catalyst derived from construction industry waste cement was synthesized and utilized for biodiesel production from waste cooking oil (WCO). The catalyst’s surface and physical characteristics were analyzed through various techniques, including Scanning Electron Microscopy-Energy Dispersive Spectroscopy (SEM-EDS), X-ray diffraction (XRD), X-ray photoelectron spectroscopy (XPS), and Fourier Transform Infrared Spectroscopy (FTIR). The waste-cement catalyst demonstrated remarkable catalytic performance and reusability in the transesterification of WCO with methanol for biodiesel synthesis. A maximum biodiesel yield of 98.1% was obtained under the optimal reaction conditions of reaction temperature 65 °C; methanol/WCO molar ratio 16:1; calcined cement dosage 3 g; and reaction time 8 h. The apparent activation energy (Ea) from the reaction kinetic study is 35.78 KJ·mol−1, suggesting that the transesterification reaction is governed by kinetic control rather than diffusion. The biodiesel produced exhibited high-quality properties and can be utilized in existing diesel engines without any modifications. This research presents a scalable, environmentally benign pathway for WCO transesterification, thereby contributing significantly to the economic viability and long-term sustainability of the global biodiesel industry. Full article
Show Figures

Figure 1

16 pages, 9276 KB  
Article
Study of Co-Combustion of Pellets and Briquettes from Lignin in a Mixture with Sewage Sludge
by Andrey Zhuikov, Tatyana Pyanykh, Mikhail Kolosov, Irina Grishina, Olga Fetisova, Petr Kuznetsov and Stanislav Chicherin
Energies 2026, 19(2), 397; https://doi.org/10.3390/en19020397 - 14 Jan 2026
Viewed by 144
Abstract
Improving the thermal utilisation of organic production waste to generate energy is integral to solving one of the most pressing issues of our time: transitioning away from fossil fuels. In this context, the thermal utilisation of organic waste, particularly sewage sludge (SS) and [...] Read more.
Improving the thermal utilisation of organic production waste to generate energy is integral to solving one of the most pressing issues of our time: transitioning away from fossil fuels. In this context, the thermal utilisation of organic waste, particularly sewage sludge (SS) and lignin-containing by-products from the biochemical industry, is of considerable scientific and practical interest. This study provides a thorough analysis of the co-combustion processes involving SS, lignin-based pellets and briquettes, and their mixtures with various component ratios. The aim of the work is to evaluate the fuel properties, thermokinetic characteristics, and potential for synergistic interactions during joint fuel combustion, considering the mechanical impact on lignin during granulation. The aim is to optimise conditions for the thermal utilisation of industrial waste. The study employed standard analytical methods: the thermophysical properties of the fuels were determined; morphological analysis of the particle surface was conducted using scanning electron microscopy; and X-ray fluorescence analysis was performed to identify the inorganic oxide phase. It has been established that lignin briquettes have the highest lower heating value, exceeding that of lignin pellets and sewage sludge by 7% and 27%, respectively. Thermogravimetric analysis (TGA) in an oxidising atmosphere (air, heating rate of 10 °C/min) made it possible to determine the following key combustion parameters: the ignition temperature of the coke residue (Ti); the temperature at which oxidation is complete (Tb); the maximum combustion rate (Rmax); and the combustion efficiency index (Q). The ignition temperature of the coke residue was 262.1 °C for SS, 291.8 °C for lignin pellets, and 290.0 °C for lignin briquettes. Analysis of co-combustion revealed non-linear behaviour in the thermograms, indicating synergistic effects, which are manifested by a decrease in the maximum combustion rate compared to the additive prediction, particularly in mixtures with a moderate lignin content (25–50%). It was established that the main synergistic interactions between the mixture components occurred during moisture evaporation and the combustion of coke residue. These results are valuable for designing and operating power plants that focus on co-combusting industrial organic waste, and they contribute to the development of thermal utilisation technologies within closed production cycles. Full article
(This article belongs to the Section I2: Energy and Combustion Science)
Show Figures

Figure 1

13 pages, 2152 KB  
Article
Cone Calorimeter Reveals Flammability Dynamics of Tree Litter and Mixed Fuels in Central Yunnan
by Xilong Zhu, Shiying Xu, Weike Li, Sazal Ahmed, Junwen Liu, Mingxing Liu, Xiangxiang Yan, Weili Kou, Qiuyang Du, Shaobin Yang and Qiuhua Wang
Fire 2026, 9(1), 36; https://doi.org/10.3390/fire9010036 - 13 Jan 2026
Viewed by 203
Abstract
The characteristics of litter combustion have a significant impact on the spread of surface fires in the central Yunnan Province, a high-risk forest fire zone. The burning behavior of individual and mixed-species litter samples from five dominant tree species (Pinus yunnanensis Franch., [...] Read more.
The characteristics of litter combustion have a significant impact on the spread of surface fires in the central Yunnan Province, a high-risk forest fire zone. The burning behavior of individual and mixed-species litter samples from five dominant tree species (Pinus yunnanensis Franch., Keteleeria evelyniana Mast., Quercus variabilis Blume., Quercus aliena var. acutiserrata, and Alnus nepalensis D. Don.) was assessed in this study using cone calorimeter tests. Fern fronds and fine branches were included in additional tests to evaluate their effects on specific combustion parameters, such as Fire Performance Index (FPI), Flame Duration (FD), Time to Ignition (TTI), Mass Loss Rate (MLR), Residual Mass Fraction (RMF), Peak Heat Release Rate (PHRR), and Total Heat Release (THR). There were remarkable differences in the burning properties of the three types of litter (broadleaf, pine needles, and short pine needles). The THR and PHRR values of P. yunnanensis were the highest, whereas the PHRR of the other species varied very little. Short pine needle litter showed incomplete combustion and a long flame duration. When measured against pure pine needle litter, mixtures of P. yunnanensis and broadleaf litter showed lower PHRR. When set side by side to pure pine needle litter, P. yunnanensis and broadleaf litter showed lower PHRR. THR rose when fine branches were included, underlining the significance of fine woody fuels in fire behavior. The insertion of ferns increases the percentage of unburned biomass, prolongs TTI, and dramatically reduces PHRR. Full article
Show Figures

Figure 1

24 pages, 4026 KB  
Article
Three-Dimensionally Printed Sensors with Piezo-Actuators and Deep Learning for Biofuel Density and Viscosity Estimation
by Víctor Corsino, Víctor Ruiz-Díez, Andrei Braic and José Luis Sánchez-Rojas
Sensors 2026, 26(2), 526; https://doi.org/10.3390/s26020526 - 13 Jan 2026
Viewed by 128
Abstract
Biofuels have emerged as a promising alternative to conventional fuels, offering improved environmental sustainability. Nevertheless, inadequate control of their physicochemical properties can lead to increased emissions and potential engine damage. Existing methods for regulating these properties depend on costly and sophisticated laboratory equipment, [...] Read more.
Biofuels have emerged as a promising alternative to conventional fuels, offering improved environmental sustainability. Nevertheless, inadequate control of their physicochemical properties can lead to increased emissions and potential engine damage. Existing methods for regulating these properties depend on costly and sophisticated laboratory equipment, which poses significant challenges for integration into industrial production processes. Three-dimensional printing technology provides a cost-effective alternative to traditional fabrication methods, offering particular benefits for the development of low-cost designs for detecting liquid properties. In this work, we present a sensor system for assessing biofuel solutions. The presented device employs piezoelectric sensors integrated with 3D-printed, liquid-filled cells whose structural design is refined through experimental validation and novel optimization strategies that account for sensitivity, recovery and resolution. This system incorporates discrete electronic circuits and a microcontroller, within which artificial intelligence algorithms are implemented to correlate sensor responses with fluid viscosity and density. The proposed approach achieves calibration and resolution errors as low as 0.99% and 1.48×102 mPa·s for viscosity, and 0.0485% and 1.9×104 g/mL for density, enabling detection of small compositional variations in biofuels. Additionally, algorithmic methodologies for dimensionality reduction and data treatment are introduced to address temporal drift, enhance sensor lifespan and accelerate data acquisition. The resulting system is compact, precise and applicable to diverse industrial liquids. Full article
Show Figures

Figure 1

15 pages, 1465 KB  
Article
Experimental Study of Hydrodynamics During Fluid Flow from a Nozzle in a Differential-Contact Centrifugal Extractor
by Sergey Ivanovich Ponikarov and Artem Sergeevich Ponikarov
ChemEngineering 2026, 10(1), 13; https://doi.org/10.3390/chemengineering10010013 - 12 Jan 2026
Viewed by 159
Abstract
Modern processes to produce rare-earth elements, strategic metals, and nuclear fuel reprocessing require highly efficient liquid–liquid extraction in systems characterized by high viscosity, elevated interfacial tension, and small density differences. Traditional gravity-driven extractors exhibit low performance under these conditions, whereas centrifugal extractors enable [...] Read more.
Modern processes to produce rare-earth elements, strategic metals, and nuclear fuel reprocessing require highly efficient liquid–liquid extraction in systems characterized by high viscosity, elevated interfacial tension, and small density differences. Traditional gravity-driven extractors exhibit low performance under these conditions, whereas centrifugal extractors enable rapid mass transfer and nearly complete phase separation. Differential-contact annular centrifugal contactors offer the highest flexibility and efficiency, but their optimization is limited by the lack of experimental data on the hydrodynamics of liquid flow through perforated nozzles in a rotating field. This limitation hinders the development of accurate computational fluid dynamics (CFD) models (e.g., ANSYS Fluent), reliable equipment scale-up, and the design of optimized contactor configurations. The present study addresses this gap by experimentally determining the flow velocity of liquids through nozzles of various geometries across a wide range of centrifugal accelerations. From these data, a universal power-law correlation was derived, linking the flow rate to rotor speed, nozzle geometry, and the physicochemical properties of the phases. The proposed correlation provides a robust experimental basis for numerical model validation, computational design, and optimization of next-generation differential-contact centrifugal extractors. Full article
Show Figures

Figure 1

19 pages, 1900 KB  
Article
Experimental Evaluation of the Bioenergy Potential of Enterolobium cyclocarpum (Orejero) Fruit Peel Residue
by Zully-Esmeralda Gómez-Rosales, Paola-Andrea Hernández-Mejía, Andrés-Gonzalo Forero-González, Johanna-Karina Solano-Meza, Javier Rodrigo-Ilarri and María-Elena Rodrigo-Clavero
Energies 2026, 19(2), 360; https://doi.org/10.3390/en19020360 - 12 Jan 2026
Viewed by 210
Abstract
This study presents an experimental evaluation of the bioenergy potential of Enterolobium cyclocarpum (“orejero”) fruit peel residue, an underutilized agroforestry by-product in tropical America. Although the species is widely used for shade and fodder in livestock systems, its fruit peel has not yet [...] Read more.
This study presents an experimental evaluation of the bioenergy potential of Enterolobium cyclocarpum (“orejero”) fruit peel residue, an underutilized agroforestry by-product in tropical America. Although the species is widely used for shade and fodder in livestock systems, its fruit peel has not yet been characterized for energy recovery purposes. Fruit samples were collected in rural areas of Tesalia (Huila, Colombia), and the peel fraction was analyzed in certified laboratories. The moisture content of the peel was determined as 11 wt%, and the lower heating value was measured as 0.015 TJ/t following ASTM E711-06. Elemental analysis according to ASTM D5373-16 yielded (dry basis): 37.2 wt% C, 4.09 wt% H, 0.45 wt% N and 0.13 wt% S. Based on Colombian cultivation and production data, the theoretical energy potential was estimated as 3.6 TJ/year per hectare. The technical energy potential reached 0.18 and 0.21 TJ/year per hectare for combustion and gasification, respectively. CO2-equivalent emissions were also estimated for both conversion routes, revealing a trade-off between the higher energy yield and higher specific emissions associated with gasification. Overall, the results show that E. cyclocarpum fruit peel residue has a calorific value comparable to widely used agri-food residues in Colombia (e.g., sugarcane bagasse and oil palm fiber), but with a substantially higher per-hectare energy potential due to its large residue fraction. Its high availability, favorable fuel properties, and compatibility with decentralized combustion and gasification technologies support its use as a promising feedstock for bioenergy generation in rural or off-grid areas, in line with circular economy and sustainable energy transition strategies. Full article
(This article belongs to the Special Issue Biomass and Waste-to-Energy for Sustainable Energy Production)
Show Figures

Figure 1

14 pages, 1865 KB  
Article
Quality Management of Inert Material During Fluidized Bed Combustion of Biomass
by Marta Wesolowska, Krystian Wisniewski, Jaroslaw Krzywanski, Wojciech Nowak and Agnieszka Kijo-Kleczkowska
Materials 2026, 19(2), 288; https://doi.org/10.3390/ma19020288 - 10 Jan 2026
Viewed by 247
Abstract
Fluidized bed combustion of biomass requires maintaining stable properties of the inert bed material, which plays a key role in heat transfer, temperature stabilization and uniform fuel distribution in circulating fluidized bed (CFB) boilers. During long-term operation, quartz sand, i.e., the most commonly [...] Read more.
Fluidized bed combustion of biomass requires maintaining stable properties of the inert bed material, which plays a key role in heat transfer, temperature stabilization and uniform fuel distribution in circulating fluidized bed (CFB) boilers. During long-term operation, quartz sand, i.e., the most commonly used inert material, undergoes physical and chemical degradation processes such as attrition, sintering and coating with alkali-rich ash, leading to changes in particle size distribution (PSD), deterioration of fluidization quality, temperature non-uniformities and an increased risk of bed agglomeration. This study analyzes quality management strategies for inert bed materials in biomass-fired CFB systems, with particular emphasis on the influence of PSD on boiler hydrodynamics and thermal behavior. Based on industrial operating data, sieve analyses and CFD simulations performed under representative operating conditions, a recommended mean particle diameter range of approximately 150–200 μm is identified as critical for maintaining stable circulation and uniform temperature fields. Numerical results demonstrate that deviations toward coarser bed materials significantly reduce solids circulation, promote segregation in the lower furnace region and lead to local temperature increases, thereby increasing agglomeration risk. The study further discusses practical approaches to bed material monitoring, regeneration and make-up management in relation to biomass type and ash characteristics. The results confirm that systematic control of inert bed material quality is an essential prerequisite for reliable, efficient and low-emission operation of biomass-fired CFB boilers. Full article
Show Figures

Figure 1

20 pages, 1489 KB  
Article
Sustainable Valorization of Framiré Sawdust: Extraction of Secondary Metabolites and Conversion of Residues into Fuel Briquettes
by Junior Maimou Nganko, Narcis Barsan, Paul Magloire Ekoun Koffi, Andrei Zaharia, Kouassi Esaie Kouadio Appiah, Echua Elisabeth Jasmine Bilé, Emilian Mosnegutu, Valex Nzouengo Djeukui, Florin-Marian Nedeff, Prosper Gbaha, Diana Mirila, Kouassi Benjamin Yao, Claudia Tomozei and Valentin Nedeff
Appl. Sci. 2026, 16(2), 716; https://doi.org/10.3390/app16020716 - 9 Jan 2026
Viewed by 240
Abstract
Faced with the depletion of fossil resources and the need to promote a circular economy, lignocellulosic biomass represents a solution for energy transition and bioeconomy. However, wood sawdust, which contains bioactive compounds (secondary metabolites), is often burned in the open by many sawmills. [...] Read more.
Faced with the depletion of fossil resources and the need to promote a circular economy, lignocellulosic biomass represents a solution for energy transition and bioeconomy. However, wood sawdust, which contains bioactive compounds (secondary metabolites), is often burned in the open by many sawmills. This study aims to valorize Framiré wood sawdust by extracting its secondary metabolites through maceration and infusion, then converting the depleted residue into combustible briquettes. The yellowness index of the extracts ranged from 73.490 ± 0.021 (maceration) to 81.720 ± 0.014 (infusion). The total phenolic content varied from 0.097 ± 0.001 to 0.63 ± 0.049 gGAE/100 g dry matter for maceration and infusion, respectively. The extraction of bioactive compounds did not significantly affect the energy or mechanical properties of the fuels. Their higher heating value ranged from 26,153 ± 92 to 26,201 ± 90 kJ/kg for fuels with and without secondary metabolites, respectively. The Shock Resistance Index ranged from 139.33 ± 7.51% (without metabolites) to 153.00 ± 5.20% (with metabolites). A significant difference was observed in the specific consumption of the fuels, decreasing from 1.400 ± 0.100 to 0.861 ± 0.001 kg/L for fuels without and with secondary metabolites, respectively. These results open promising prospects, particularly for the use of Framiré extracts to develop flame-retardant products for wood and its derivatives. Full article
Show Figures

Figure 1

39 pages, 10403 KB  
Article
High-Temperature Degradation of Hastelloy C276 in Methane and 99% Cracked Ammonia Combustion: Surface Analysis and Mechanical Property Evolution at 4 Bar
by Mustafa Alnaeli, Burak Goktepe, Steven Morris and Agustin Valera-Medina
Processes 2026, 14(2), 235; https://doi.org/10.3390/pr14020235 - 9 Jan 2026
Viewed by 197
Abstract
This study examines the high-temperature degradation of Hastelloy C276, a corrosion-resistant nickel-based alloy, during exposure to combustion products generated by methane and 99% cracked ammonia. Using a high-pressure optical combustor (HPOC) at 4 bar and exhaust temperatures of 815–860 °C, standard tensile specimens [...] Read more.
This study examines the high-temperature degradation of Hastelloy C276, a corrosion-resistant nickel-based alloy, during exposure to combustion products generated by methane and 99% cracked ammonia. Using a high-pressure optical combustor (HPOC) at 4 bar and exhaust temperatures of 815–860 °C, standard tensile specimens were exposed for five hours to fully developed post-flame exhaust gases, simulating real industrial turbine or burner conditions. The surfaces and subsurface regions of the samples were analysed using scanning electron microscopy (SEM; Zeiss Sigma HD FEG-SEM, Carl Zeiss, Oberkochen, Germany) and energy-dispersive X-ray spectroscopy (EDX; Oxford Instruments X-MaxN detectors, Oxford Instruments, Abingdon, United Kingdom), while mechanical properties were evaluated by tensile testing, and the gas-phase compositions were tracked in detail for each fuel blend. Results show that exposure to methane causes moderate oxidation and some grain boundary carburisation, with localised carbon enrichment detected by high-resolution EDX mapping. In contrast, 99% cracked ammonia resulted in much more aggressive selective oxidation, as evidenced by extensive surface roughening, significant chromium depletion, and higher oxygen incorporation, correlating with increased NOx in the exhaust gas. Tensile testing reveals that methane exposure causes severe embrittlement (yield strength +41%, elongation −53%) through grain boundary carbide precipitation, while cracked ammonia exposure results in moderate degradation (yield strength +4%, elongation −24%) with fully preserved ultimate tensile strength (870 MPa), despite more aggressive surface oxidation. These counterintuitive findings demonstrate that grain boundary integrity is more critical than surface condition for mechanical reliability. These findings underscore the importance of evaluating material compatibility in low-carbon and hydrogen/ammonia-fuelled combustion systems and establish critical microstructural benchmarks for the anticipated mechanical testing in future work. Full article
(This article belongs to the Special Issue Experiments and Diagnostics in Reacting Flows)
Show Figures

Figure 1

30 pages, 7707 KB  
Article
A Comparative Study of Utilizing Waste Palm Oil Fuel Ash and Tile Ceramics to Enhance Slag–Fly Ash Geopolymer Property-Based Composite
by Ghasan Fahim Huseien and Akram M. Mhaya
J. Compos. Sci. 2026, 10(1), 33; https://doi.org/10.3390/jcs10010033 - 8 Jan 2026
Viewed by 361
Abstract
Geopolymers are a new breed of construction materials that are environmentally friendly and replace old Portland cement. These materials are produced through the alkaline activation of industrial and agricultural waste rich in aluminosilicates. The growing interest in sustainable building solutions has driven research [...] Read more.
Geopolymers are a new breed of construction materials that are environmentally friendly and replace old Portland cement. These materials are produced through the alkaline activation of industrial and agricultural waste rich in aluminosilicates. The growing interest in sustainable building solutions has driven research into their development. Palm oil fuel ash (POFA) and waste ceramic tile powder (WTCP) are both highly rich in reactive aluminosilicates and widely recommended for the production of sustainable geopolymers. This study aims to evaluate the suitability of POFA and WTCP as sustainable alternatives to conventional binders and to identify the potential advantages of each waste material in developing eco-friendly, high-performance geopolymers. The results indicate that specimens prepared with a high content (50 wt%) of POFA or WTCP, incorporating fly ash and slag, can achieve compressive strengths of up to 50 MPa after 28 days of curing. However, increasing the proportion of POFA or WTCP from 50% to 60% and 70% resulted in a significant reduction in compressive strength. In contrast, specimens containing higher proportions of POFA and WTCP demonstrated superior durability when exposed to aggressive environments. In summary, the findings indicate that WTCP is more suitable than POFA for producing geopolymers as eco-friendly construction materials. Its superior reactivity, workability, early-age strength development, and durability make it a promising precursor for sustainable applications in the construction sector. Full article
(This article belongs to the Section Composites Manufacturing and Processing)
Show Figures

Figure 1

17 pages, 2369 KB  
Article
Deciphering the Promoter Aspects of Potassium for Green Methanol Fuel Synthesis by Catalytic CO2 Conversion
by Israf Ud Din, Abdulrahman I. Alharthi, Mshari A. Alotaibi, Md Afroz Bakht, Gabriele Centi, Tooba Saeed, Abdul Naeem and Ho Soon Min
Catalysts 2026, 16(1), 75; https://doi.org/10.3390/catal16010075 - 8 Jan 2026
Viewed by 216
Abstract
Continuous excessive CO2 emissions have a negative impact on the environment. In order to address the issue of CO2 emission control, its conversion to some valuable commodities is the way forward in dealing with this issue. Additionally, the conversion of CO [...] Read more.
Continuous excessive CO2 emissions have a negative impact on the environment. In order to address the issue of CO2 emission control, its conversion to some valuable commodities is the way forward in dealing with this issue. Additionally, the conversion of CO2 to some valuable product such as methanol fuel will not only tackle the issue but also result in producing energy. Here, the co-precipitation method was used to synthesize Cu-ZnO bimetallic catalysts based on TiO2 support to be applied for CO2 conversion to methanol fuel. To elucidate the role of potassium (K) as a promoter, varied concentrations of K were added to parent Cu-ZnO/TiO2 catalysts. A number of analytical techniques were used to scrutinize the physico-chemical properties of calcined Cu-ZnO/TiO2 catalysts. The crystalline nature of TiO2 catalyst support with high metal oxide dispersion were the major findings disclosed based on X-ray diffraction examinations. The combination of the mesoporous and microporous character of the K-promoted Cu-ZnO/TiO2 catalysts was discovered using the N2 adsorption–desorption technique. Similarly, N2 adsorption–desorption studies also revealed surface defects by K-promotion. The creation of surface defects was also endorsed by X-ray photoelectron spectroscopy (XPS) by showing additional XPS peaks for O1s in higher binding energy (BE) regions. XPS also showed the oxidation states of K-promoted Cu-ZnO/TiO2 catalysts as well as metal–support interactions. Activity results demonstrated the active profile of K-promoted Cu-ZnO/TiO2 catalysts for methanol synthesis via CO2 reduction in a liquid phase slurry reactor. The methanol synthesis rate was accelerated from 35 to 53 g.MeOH/kg.cat.h by incorporating of K to parent Cu-ZnO/TiO2 catalysts at reaction temperature and pressure of 210 °C and 30 bar, respectively. Structure–activity investigations revealed a promoting role of K by facilitating Cu reduction as well metal–support interaction. The comparative study further revealed the importance of K promotion for the title reaction. Full article
(This article belongs to the Special Issue Multifunctional Metal–Organic Framework Materials as Catalysts)
Show Figures

Figure 1

Back to TopTop