Sign in to use this feature.

Years

Between: -

Subjects

remove_circle_outline
remove_circle_outline
remove_circle_outline
remove_circle_outline
remove_circle_outline
remove_circle_outline
remove_circle_outline
remove_circle_outline

Journals

remove_circle_outline
remove_circle_outline
remove_circle_outline
remove_circle_outline
remove_circle_outline
remove_circle_outline
remove_circle_outline
remove_circle_outline
remove_circle_outline

Article Types

Countries / Regions

remove_circle_outline
remove_circle_outline
remove_circle_outline
remove_circle_outline

Search Results (401)

Search Parameters:
Keywords = frontier orbitals

Order results
Result details
Results per page
Select all
Export citation of selected articles as:
17 pages, 3719 KB  
Article
Influence of Aza-Substitution on Molecular Structure, Spectral and Electronic Properties of t-Butylphenyl Substituted Vanadyl Complexes
by Daniil N. Finogenov, Alexander E. Pogonin, Yuriy A. Zhabanov, Ksenia V. Ksenofontova, Dominika Yu. Parfyonova, Alexey V. Eroshin and Pavel A. Stuzhin
Int. J. Mol. Sci. 2026, 27(2), 606; https://doi.org/10.3390/ijms27020606 - 7 Jan 2026
Viewed by 171
Abstract
Vanadyl octa-(4-tert-butylphenyl)phthalocyanine (VOPc(t-BuPh)8) and vanadyl octa-(4-tert-butylphenyl)tetrapyrazinoporphyrazine (VOTPyzPz(t-BuPh)8) complexes were synthesized for the first time and confirmed by IR and UV-Vis spectroscopy and MALDI-TOF spectrometry. The method of synthesis of [...] Read more.
Vanadyl octa-(4-tert-butylphenyl)phthalocyanine (VOPc(t-BuPh)8) and vanadyl octa-(4-tert-butylphenyl)tetrapyrazinoporphyrazine (VOTPyzPz(t-BuPh)8) complexes were synthesized for the first time and confirmed by IR and UV-Vis spectroscopy and MALDI-TOF spectrometry. The method of synthesis of their precursors, 4,5-bis(4-tert-butylphenyl)phthalonitrile ((t-BuPh)2PN) and 5,6-bis(4-tert-butylphenyl)pyrazine-2,3-dicarbonitrile ((t-BuPh)2PDC), was modified, resulting in higher yields. For the vanadyl complexes, the basic properties were studied, and it was found that the red shift in the Q band in the first protonation step is approximately two times greater than that of previously known complexes. An electrochemical study showed the influence of aza-substitution on the redox properties and on the energies of the frontier orbitals of all the compounds presented. For all four considered compounds, quantum chemical calculations of the molecular structure, IR spectra, and electronic absorption spectra were carried out using density functional theory (DFT) and time-dependent density functional theory (TDDFT and simplified sTDDFT) approaches. According to the DFT calculations, vanadyl macrocyclic complexes have dome-shaped distorted structures. Experimental and theoretical IR and electronic absorption spectra were compared and interpreted. Full article
(This article belongs to the Section Molecular Biophysics)
Show Figures

Graphical abstract

15 pages, 2112 KB  
Article
Tuning the Oxidative Activity of Single Atom Catalysts by Carbon Doping in Hexagonal Boron Nitride Supports
by Jie Zhang, Yingguang Zhou and Naixia Lv
Nanomaterials 2026, 16(1), 61; https://doi.org/10.3390/nano16010061 - 31 Dec 2025
Cited by 1 | Viewed by 291
Abstract
Single-atom catalysts (SACs) have gained significant attention due to their exceptional metal atom utilization efficiency and high catalytic activity. Using DFT calculations, single-atom metals (M = Ag, Au) on defective and carbon-doped h-BN supports (M@BN and M@nC-BN) are systematically investigated to elucidate the [...] Read more.
Single-atom catalysts (SACs) have gained significant attention due to their exceptional metal atom utilization efficiency and high catalytic activity. Using DFT calculations, single-atom metals (M = Ag, Au) on defective and carbon-doped h-BN supports (M@BN and M@nC-BN) are systematically investigated to elucidate the effects of C-doping concentration and configuration on their structural stability, and to explore their potential application in O2 activation. The results indicate the singlet O2 adsorbed configuration is more effective in activating the O–O bond than the triplet one. Ag@4C-BN and Au@6C-BN exhibit good stability comparable to their undoped counterparts. Compared to M@BN, the M@nC-BN surfaces, particularly M@4C-BN, exhibit significantly enhanced adsorption of singlet O2, accompanied by the most notable O–O bond elongation, indicating its superior capability for O2 activation. DOS and frontier orbital analysis reveals that C-doping upshifts the HOMO energy level of M@4C-BN, endowing the catalyst with a stronger electron-donating ability to O2 2π* and leading to efficient activation. This study provides a theoretical basis for the rational design and optimization of BN-based single-atom catalysts. Full article
(This article belongs to the Special Issue Theoretical Simulations on Single-Atom Materials)
Show Figures

Graphical abstract

32 pages, 2135 KB  
Review
Phase-Specific Evaluation of Sciatic Nerve Regeneration in Preclinical Studies: A Review of Functional Assessment, Emerging Therapies, and Translational Value
by Denisa Mădălina Viezuină, Irina (Mușa) Burlacu, Andrei Greșiță, Irina-Mihaela Matache, Elena-Anca Târtea, Mădălina Iuliana Mușat, Manuel-Ovidiu Amzoiu, Bogdan Cătălin, Veronica Sfredel and Smaranda Ioana Mitran
Int. J. Mol. Sci. 2026, 27(1), 419; https://doi.org/10.3390/ijms27010419 - 31 Dec 2025
Viewed by 426
Abstract
Peripheral nerve injuries, particularly those involving the sciatic nerve, remain a major clinical challenge due to incomplete functional recovery and the limited translation of preclinical advances into effective therapies. This review synthesizes current evidence on the phase-specific evaluation of sciatic nerve regeneration in [...] Read more.
Peripheral nerve injuries, particularly those involving the sciatic nerve, remain a major clinical challenge due to incomplete functional recovery and the limited translation of preclinical advances into effective therapies. This review synthesizes current evidence on the phase-specific evaluation of sciatic nerve regeneration in preclinical models, integrating behavioral, sensory, electrophysiological, and morphological approaches across the acute, subacute (Wallerian degeneration), early regenerative, and late regenerative phases. By mapping functional readouts onto the underlying biological events of each phase, we highlight how tools such as the Sciatic Functional Index, Beam Walk test, Rotarod test, nerve conduction studies, and nociceptive assays provide complementary and often non-interchangeable information about motor, sensory, and neuromuscular recovery. We further examine emerging therapeutic strategies, including intraoperative electrical stimulation, immunomodulation, platelet-rich plasma, bioengineered scaffolds, conductive and piezoelectric conduits, exosome-based hydrogels, tacrolimus delivery systems, and small molecules, emphasizing the importance of aligning their mechanisms of action with the dynamic microenvironment of peripheral nerve repair. Despite substantial advancements in experimental models, an analysis of publication trends and registries reveals a persistent translational gap, with remarkably few clinical trials relative to the high volume of preclinical studies. To illustrate how mechanistic insights can be complemented by molecular-level characterization, we also present a targeted computational analysis of alpha-lipoic acid (ALA,) including frontier orbital energies, physicochemical descriptors, and docking interactions with IL-6, TGF-β, and a growth-factor receptor—performed solely for this molecule due to its documented structural availability and relevance. By presenting an integrated, phase-specific framework for functional assessment and therapeutic evaluation, this review underscores the need for standardized, biologically aligned methodologies to improve the rigor, comparability, and clinical relevance of future studies in sciatic nerve regeneration. Full article
(This article belongs to the Special Issue Advances in Neurorepair and Regeneration)
Show Figures

Figure 1

43 pages, 6989 KB  
Review
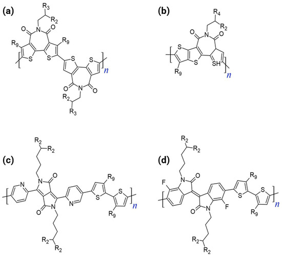
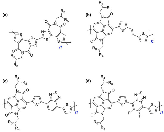
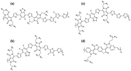
Multi- and All-Acceptor Polymers for High-Performance n-Type Polymer Field Effect Transistors
by Ganapathi Bharathi and Seongin Hong
Polymers 2026, 18(1), 80; https://doi.org/10.3390/polym18010080 - 27 Dec 2025
Viewed by 359
Abstract
Multi-acceptor and all-acceptor polymers solve the fundamental challenge of achieving unipolar electron transport without compromising stability in n-type polymer field-effect transistors. By systematically replacing electron-rich donors with acceptor units, these architectures push LUMO levels below −4.0 eV and HOMO levels below −5.7 eV. [...] Read more.
Multi-acceptor and all-acceptor polymers solve the fundamental challenge of achieving unipolar electron transport without compromising stability in n-type polymer field-effect transistors. By systematically replacing electron-rich donors with acceptor units, these architectures push LUMO levels below −4.0 eV and HOMO levels below −5.7 eV. Consequently, electron mobilities exceeding 7 cm2 V−1 s−1, on/off ratios approaching 107, and months-long ambient operation can be achieved. This review connects the molecular architecture to device function. We assert that short-range π-aggregation matters more than crystallinity—tight π-stacking over 5–10 molecules drives transport in rigid backbones. Device optimization through interface engineering (e.g., amine-functionalized self-assembled monolayers reduce the threshold voltages to 1–5 V), contact resistance minimization, and controlled processing transform the intrinsic material potential into working transistors. Current challenges, such as balancing the operating voltage against stability, scaling synthetic yields, and reducing contact resistance, define near-term research directions toward complementary circuits, thermoelectrics, and bioelectronics. Full article
(This article belongs to the Special Issue Polymer Nanocomposites for Energy Storage Applications)
Show Figures

Figure 1

33 pages, 7434 KB  
Article
From Deep-Sea Natural Product to Optimized Therapeutics: Computational Design of Marizomib Analogs
by Nasser Alotaiq and Doni Dermawan
Int. J. Mol. Sci. 2025, 26(24), 12159; https://doi.org/10.3390/ijms262412159 - 18 Dec 2025
Viewed by 281
Abstract
The proteasome β5 subunit plays a central role in protein degradation and is an established therapeutic target in glioblastoma. Marizomib (MZB), a natural β5 inhibitor, has shown promising anticancer activity, yet suboptimal pharmacological properties limit its clinical translation. Using a comprehensive computational approach, [...] Read more.
The proteasome β5 subunit plays a central role in protein degradation and is an established therapeutic target in glioblastoma. Marizomib (MZB), a natural β5 inhibitor, has shown promising anticancer activity, yet suboptimal pharmacological properties limit its clinical translation. Using a comprehensive computational approach, this study aimed to identify and characterize novel MZB analogs with improved binding affinity, stability, and drug-like profiles. An integrative in silico study was performed, including molecular docking, frontier molecular orbital (FMO) analysis, pharmacophore modeling, molecular dynamics (MD) simulations over 200 ns, MM/PBSA binding free energy calculations, and per-residue energy decomposition. ADMET profiling evaluated the pharmacokinetic and safety properties of MZB and top-performing analogs. Docking and pharmacophore modeling revealed strong complementarity between MZB analogs and the β5 catalytic pocket. MD simulations showed that MZBMOD-77 and MZBMOD-79 exhibited exceptional structural stability with low RMSD values (0.40–0.42 nm), persistent binding within the active site cavity, and significant disruption of hydrogen-bond networks in the active loop regions Ala19–Lys33 and Val87–Gly98. MM/PBSA analysis confirmed their superior binding free energies (−19.99 and −18.79 kcal/mol, respectively), surpassing native MZB (−6.26 kcal/mol). Per-residue decomposition highlighted strong contributions from Arg19, Ala20, Lys33, and Ala50. ADMET predictions indicated improved oral absorption, reduced toxicity, and favorable pharmacokinetics compared to native MZB. This integrative computational study identifies MZBMOD-77 and MZBMOD-79 as promising next-generation proteasome β5 inhibitors. These analogs mimic and enhance the inhibitory mechanism of native MZB, offering potential candidates for further optimization and preclinical development in glioblastoma therapy. Full article
(This article belongs to the Special Issue Latest Advances in Protein-Ligand Interactions)
Show Figures

Figure 1

34 pages, 15926 KB  
Article
Rescuing Verubecestat: An Integrative Molecular Modeling and Simulation Approach for Designing Next-Generation BACE1 Inhibitors
by Doni Dermawan and Nasser Alotaiq
Int. J. Mol. Sci. 2025, 26(24), 12143; https://doi.org/10.3390/ijms262412143 - 17 Dec 2025
Viewed by 401
Abstract
β-site amyloid precursor protein cleaving enzyme 1 (BACE1) is a central therapeutic target in Alzheimer’s disease, as it catalyzes the rate-limiting step in amyloid-β production. Verubecestat (VER), a clinical BACE1 inhibitor, failed in late-stage trials due to limited efficacy and safety concerns. This [...] Read more.
β-site amyloid precursor protein cleaving enzyme 1 (BACE1) is a central therapeutic target in Alzheimer’s disease, as it catalyzes the rate-limiting step in amyloid-β production. Verubecestat (VER), a clinical BACE1 inhibitor, failed in late-stage trials due to limited efficacy and safety concerns. This study employed an integrative computational approach to design VER derivatives with improved binding affinity, stability, and pharmacokinetic profiles. Structural similarity analysis, Molecular docking, frontier molecular orbital (FMO) analysis, pharmacophore modeling, 200 ns molecular dynamics (MD) simulations, MM/PBSA free energy calculations, and per-residue decomposition were performed. In silico ADMET profiling assessed drug-likeness, absorption, and safety parameters. Docking and pharmacophore analyses identified derivatives with stronger complementarity in the BACE1 catalytic pocket. MD simulations revealed that VERMOD-33 and VERMOD-57 maintained low root mean square deviations (RMSDs) and stable binding orientations and induced characteristic flexibility in the flap and catalytic loops surrounding the catalytic dyad (Asp93 and Asp289), consistent with inhibitory activity. MM/PBSA confirmed the superior binding free energies of VERMOD-33 (−51.12 kcal/mol) and VERMOD-57 (−43.85 kcal/mol), both outperforming native VER (−35.33 kcal/mol). Per-residue decomposition highlighted Asp93, Asp289, and adjacent flap residues as major energetic contributors. ADMET predictions indicated improved oral absorption, BBB penetration, and no mutagenicity or toxicity alerts. Rationally designed VER derivatives, particularly VERMOD-33 and VERMOD-57, displayed enhanced binding energetics, stable inhibitory dynamics, and favorable pharmacokinetic properties compared with native VER. These findings provide a computational framework for rescuing VER and support further synthesis and experimental validation of next-generation BACE1 inhibitors for Alzheimer’s disease. Full article
Show Figures

Figure 1

19 pages, 10931 KB  
Article
Computational Biocompatibility and Safety Evaluation of Metal-Doped PET-Carbon Quantum Dots via Multi-Target Molecular Docking and ADMET Analysis on Human Proteins
by Christian Ebere Enyoh, Tochukwu Oluwatosin Maduka, Qingyue Wang, Miho Suzuki and Ifunanya Scholastica Enyoh
Physchem 2025, 5(4), 55; https://doi.org/10.3390/physchem5040055 - 10 Dec 2025
Viewed by 658
Abstract
Polyethylene terephthalate-derived fluorescent carbon quantum dots (PET-CQDs) are promising nanomaterials for sensing and biomedical uses, yet their biological interactions after metal doping require careful evaluation. Here, we report an in silico assessment of pristine and dual-site (via graphitic [G] and carbonyl [O]) metal-doped [...] Read more.
Polyethylene terephthalate-derived fluorescent carbon quantum dots (PET-CQDs) are promising nanomaterials for sensing and biomedical uses, yet their biological interactions after metal doping require careful evaluation. Here, we report an in silico assessment of pristine and dual-site (via graphitic [G] and carbonyl [O]) metal-doped PET-CQDs (Ca, Mg, Fe, Zn) using molecular docking against eight human proteins: HSA (distribution), CYP3A4 (metabolism), hemoglobin (systemic biocompatibility), transferrin (uptake), GST (detoxification), ERα (endocrine regulation), IL-6 (inflammation), and caspase-3 (cytotoxic signaling) together with ADMET profiling and DFT–docking correlation analysis. Docking affinities were compared with controls and ranged from −7.8 to −10.4 kcal·mol−1 across systems, with binding stabilized by π–π stacking, hydrogen bonding and metal–ligand coordination involving residues such as arginine, tyrosine and serine. Importantly, top-performing CQD variants differed by target: PET-CQDs, MgG_PET-CQDs and FeG_PET-CQDs were best for GST; ERα interacted favorably with all doped variants; IL-6 bound best to CaO_PET-CQDs and FeO_PET-CQDs (≈−7.1 kcal·mol−1); HSA favored CaG_PET-CQDs (−10.0 kcal·mol−1) and FeO_PET-CQDs (−9.9 kcal·mol−1); CYP3A4 bound most strongly to pristine PET-CQDs; hemoglobin favored MgG_PET-CQDs (−9.6 kcal·mol−1) and FeO_PET-CQDs (−9.3 kcal·mol−1); transferrin favored FeG_PET-CQDs; caspase-3 showed favored binding overall (pristine −6.8 kcal·mol−1; doped −7.4 to −7.6 kcal·mol−1). ADMET predictions indicated high GI absorption, improved aqueous solubility for some dopants (~18.6 mg·mL−1 for Ca-O/Mg-O), low skin permeability and no mutagenic/carcinogenic flags. Regression analysis showed frontier orbital descriptors (HOMO/LUMO) partially explain selective affinities for ERα and IL-6. These results support a target-guided selection of PET-CQDs for biomedical applications, and they call for experimental validation of selected dopant–target pairs. Full article
(This article belongs to the Section Theoretical and Computational Chemistry)
Show Figures

Figure 1

15 pages, 5457 KB  
Article
The UV-Visible Absorption Spectra of Coumarin and Nile Red in Aqueous Solution: A Polarizable QM/MM Study
by Tommaso Giovannini, Matteo Ambrosetti and Chiara Cappelli
Molecules 2025, 30(24), 4675; https://doi.org/10.3390/molecules30244675 - 5 Dec 2025
Viewed by 599
Abstract
We present a comprehensive computational study of the UV-visible absorption spectra of 7-methoxycoumarin and Nile red in aqueous solution. Our fully atomistic workflow couples classical molecular dynamics (MD) with polarizable QM/MM based on fluctuating charges (QM/FQ) and dipoles (QM/FQFμ). Ensemble-averaged spectra [...] Read more.
We present a comprehensive computational study of the UV-visible absorption spectra of 7-methoxycoumarin and Nile red in aqueous solution. Our fully atomistic workflow couples classical molecular dynamics (MD) with polarizable QM/MM based on fluctuating charges (QM/FQ) and dipoles (QM/FQFμ). Ensemble-averaged spectra are constructed from the snapshots extracted from the MD, embedding solvent fluctuations and specific solute–solvent interactions in the electronic response of organic dyes. The spectral profiles, obtained at the various levels, reflect the underlying solute–solvent interactions and dynamics, and we rationalize them in terms of hydrogen bonding and frontier molecular orbitals involved in the main electronic transitions. Finally, the simulated spectra and solvatochromic shifts are compared with the available experimental data, showing an overall good agreement and demonstrating the robustness of the computational protocol. Full article
(This article belongs to the Section Computational and Theoretical Chemistry)
Show Figures

Figure 1

10 pages, 1733 KB  
Article
Cyclo[48]carbon—Evaluation of Its Inherent Magnetic Behavior and Anisotropy from DFT Calculations
by Peter L. Rodríguez-Kessler and Alvaro Muñoz-Castro
Chemistry 2025, 7(6), 192; https://doi.org/10.3390/chemistry7060192 - 1 Dec 2025
Viewed by 677
Abstract
Cyclo[48]carbon (C48) exhibits an aesthetically pleasant structure featuring a cyclic polyyne, and it serves as a prototypical medium-sized ring that moves us towards an understanding of its overall magnetic behavior in a challenging molecular shape through analysis of its induced magnetic field. The [...] Read more.
Cyclo[48]carbon (C48) exhibits an aesthetically pleasant structure featuring a cyclic polyyne, and it serves as a prototypical medium-sized ring that moves us towards an understanding of its overall magnetic behavior in a challenging molecular shape through analysis of its induced magnetic field. The isotropic induced magnetic field (NICS) profile shows a strong deshielding region at the ring center and a shielding region near the carbon rim, indicating antiaromatic behavior. Under a perpendicular magnetic field, a pronounced deshielding cone extends from the ring center, whereas a parallel external field induces a localized shielding near the carbon backbone. This results in significant magnetic anisotropy above and below the ring plane, characteristic of its medium-sized cyclic structure. Decomposition of the magnetic shielding highlights that paramagnetic effects predominantly govern the magnetic response and anisotropy of C48, with diamagnetic contributions playing a minor role. These insights suggest that chemical modifications targeting frontier orbitals could effectively tune the magnetic properties of cyclo[48]carbon, providing a foundation for the design of substituted derivatives with tailored diamagnetic anisotropy for advanced material applications. Full article
Show Figures

Graphical abstract

20 pages, 2290 KB  
Article
Raman-Validated Macromolecular Model of SG Coking Coal: ESP–FMO Mapping Unravels Site-Selective Oxidation in Combustion
by Xiaoxu Gao, Lu Du, Jinzhang Jia, Hao Tian and Xiaoqi Huang
Appl. Sci. 2025, 15(23), 12540; https://doi.org/10.3390/app152312540 - 26 Nov 2025
Viewed by 307
Abstract
Based on comprehensive experimental datasets—proximate/ultimate analyses, XPS, solid-state 13C NMR, and Raman spectroscopy—we constructed and optimized a compositionally faithful macromolecular model of SG coking coal. Using density-functional theory (DFT) calculations, we simulated electrostatic-potential (ESP) fields and frontier molecular orbitals (FMO) to probe [...] Read more.
Based on comprehensive experimental datasets—proximate/ultimate analyses, XPS, solid-state 13C NMR, and Raman spectroscopy—we constructed and optimized a compositionally faithful macromolecular model of SG coking coal. Using density-functional theory (DFT) calculations, we simulated electrostatic-potential (ESP) fields and frontier molecular orbitals (FMO) to probe elementary oxidation steps relevant to combustion, and focused on how heteroatom speciation and carbon ordering govern site-selective reactivity. Employing multi-peak deconvolution and parameter synthesis, we obtained an aromatic fraction fa = 76.56%, a bridgehead-to-periphery ratio XBP = 0.215, and Raman indices ID1/IG ≈ 1.45 (area) with FWHM(G) ≈ 86.7 cm−1; the model composition C190H144N2O21S and its predicted 13C NMR envelope validated the structural assignment against experiment. ESP–FMO synergy revealed electron-rich hotspots at phenolic/ether/carboxyl and thiophenic domains and electron-poor belts at H-terminated edges/aliphatic bridges, rationalizing carbon-end oxidation of CO, weak electrostatic steering by O2/CO2, and a benzylic H-abstraction → edge addition → O-insertion/charge-transfer sequence toward CO2/H2O, with thiophenic sulfur comparatively robust. We quantified surface functionalities (C–O 65.46%, O–C=O 24.51%, C=O 10.03%; pyrrolic/pyridinic N dominant; thiophenic-S with minor oxidized S) and determined a naphthalene-dominant, stacked-polyaromatic architecture with sparse alkyl side chains after Materials Studio optimization. The findings are significant for mechanistic understanding and control of coking-coal oxidation, providing actionable hotspots and a reproducible workflow (multi-probe constraints → model building/optimization → DFT reactivity mapping → spectral back-validation) for blend design and targeted oxidation-inhibition strategies. Full article
Show Figures

Figure 1

27 pages, 4949 KB  
Article
Mechanistic Evaluation of Radical Scavenging Pathways in Ginger Phenolics: A DFT Study of 6-Gingerol, 6-Shogaol, and 6-Paradol
by Hassane Lgaz, Mouslim Messali and Han-seung Lee
Int. J. Mol. Sci. 2025, 26(22), 11217; https://doi.org/10.3390/ijms262211217 - 20 Nov 2025
Viewed by 715
Abstract
Understanding the molecular determinants of antioxidant activity in natural phenolic compounds is essential for explaining their biological performance and designing new radical scavengers. In this work, the radical-scavenging mechanisms of three major ginger phenolics—6-gingerol (GIN), 6-shogaol (SHO), and 6-paradol (PAR)—were systematically investigated using [...] Read more.
Understanding the molecular determinants of antioxidant activity in natural phenolic compounds is essential for explaining their biological performance and designing new radical scavengers. In this work, the radical-scavenging mechanisms of three major ginger phenolics—6-gingerol (GIN), 6-shogaol (SHO), and 6-paradol (PAR)—were systematically investigated using density functional theory (DFT) thermochemistry at the M06-2X/6-31+G(d,p) level in the gas phase, benzene, and water. Three canonical pathways—hydrogen atom transfer (HAT), single-electron transfer followed by proton transfer (SET–PT), and sequential proton loss–electron transfer (SPLET)—were evaluated through full optimization and frequency calculations at 298.15 K, combined with the SMD solvation model. Frontier molecular orbital (FMO), molecular electrostatic potential (MEP), and quantum theory of atoms in molecules (QTAIM) analyses were employed to correlate electronic structure with reactivity. The results reveal a distinct solvent-dependent mechanistic crossover. In the gas phase and benzene, the low dielectric constant suppresses charge separation, making HAT the thermodynamically dominant pathway. In water, strong stabilization of ionic species lowers both the ionization and deprotonation barriers, allowing SPLET and SET–PT to become competitive or even preferred. Across all media, the phenolic O–H group is the principal reactive site, while the aliphatic O–H of GIN remains inactive. SHO exhibits the most versatile redox profile, combining a highly conjugated α,β-unsaturated chain with favorable charge delocalization; PAR is somewhat less redox-active, while GIN shows intermediate performance governed by intramolecular hydrogen bonding. The assembled thermodynamics for HOO• scavenging confirm that all three phenolics are thermodynamically competent antioxidants (ΔG° ≈ −4 kcal mol−1 in water), with comparable driving forces; electronic descriptors indicate SHO is the most redox-flexible, GIN(phenolic) is moderately and PAR is somewhat less charge-transfer-prone, while GIN(aliphatic) remains inactive. These findings provide a comprehensive structure-to-mechanism correlation for ginger phenolics and establish a predictive framework for solvent-controlled antioxidant behavior in phenolic systems. Full article
Show Figures

Figure 1

481 KB  
Proceeding Paper
Quantum Chemical Parameters of TM-Pc Molecules: A Theoretical Investigation
by Manel Mabrouk and Jacek A. Majewski
Chem. Proc. 2025, 18(1), 119; https://doi.org/10.3390/ecsoc-29-26885 - 13 Nov 2025
Viewed by 72
Abstract
We investigated quantum chemical parameters for single-molecule magnets using theoretical calculations using the density functional theory (DFT), which includes the Hubbard component (PBE+U). An investigation is conducted into the transition metal phthalocyanine molecules TM-Pc (3d transition metal with TM = Ti, Cr, Mn, [...] Read more.
We investigated quantum chemical parameters for single-molecule magnets using theoretical calculations using the density functional theory (DFT), which includes the Hubbard component (PBE+U). An investigation is conducted into the transition metal phthalocyanine molecules TM-Pc (3d transition metal with TM = Ti, Cr, Mn, Co, and Cu). The energy of the frontier molecular orbitals, gap (HOMO-LUMO), electronegativity, chemical potential, global hardness, softness, and electrophilicity index are among the electronic characteristics and reactivity indices associated with TM-Pc molecules that are displayed. These characteristics are intended to help comprehend and predict the future course of innovative experimental research. As a result, the suggested materials exhibit promising properties for spintronic applications. Full article
Show Figures

Figure 1

2619 KB  
Proceeding Paper
DFT Simulation for Properties Determination of Chelating Spironaphthoxazine Derivatives
by Andreea Neacsu, Stela Minkovska, Valentin Alexiev and Viorel Chihaia
Chem. Proc. 2025, 18(1), 67; https://doi.org/10.3390/ecsoc-29-26899 - 13 Nov 2025
Viewed by 133
Abstract
This work focuses on the investigation of ten newly synthesized spironaphthoxazines using DFT to elucidate how substituents control physicochemical behavior. Frontier-orbital analyses show substituent changes primarily shift the LUMO, controlling HOMO–LUMO gaps and electrophilicity; the open forms (MC) structures exhibit smaller gaps than [...] Read more.
This work focuses on the investigation of ten newly synthesized spironaphthoxazines using DFT to elucidate how substituents control physicochemical behavior. Frontier-orbital analyses show substituent changes primarily shift the LUMO, controlling HOMO–LUMO gaps and electrophilicity; the open forms (MC) structures exhibit smaller gaps than closed spiro forms (SP) due to extended conjugation. Simulated IR/Raman spectra provide diagnostic markers for structural assignment. Thermodynamic parameters (S, Cp, H, G; 200–500 K) reveal higher S and Cp for MC and for longer alkyl chains, yielding lower G at elevated temperatures. Transition-state calculations indicate accessible SP↔MC isomerization barriers, confirming accessible switching. These results offer a predictive framework to position functional groups and tailor optical response, switching kinetics, and stability for responsive materials. Full article
Show Figures

Figure 1

567 KB  
Proceeding Paper
Exploiting the Reactivity of Destabilized Pyrrolylketene for the Stereoselective Synthesis of β-Lactams
by Elaheh Babaei
Chem. Proc. 2025, 18(1), 116; https://doi.org/10.3390/ecsoc-29-26697 - 11 Nov 2025
Viewed by 79
Abstract
β-Lactams are key scaffolds in synthetic and medicinal chemistry, valued for both therapeutic relevance and synthetic utility. Classical ketene-imine [2+2] cycloadditions often employ stabilized aryl ketenes, which display reduced reactivity and modest stereoselective. Disruption of π-conjugation in N-pyrrolylketene has been shown [...] Read more.
β-Lactams are key scaffolds in synthetic and medicinal chemistry, valued for both therapeutic relevance and synthetic utility. Classical ketene-imine [2+2] cycloadditions often employ stabilized aryl ketenes, which display reduced reactivity and modest stereoselective. Disruption of π-conjugation in N-pyrrolylketene has been shown to enhance electrophilicity and direct stereochemical outcomes in reactions with aromatic imines. The ketene, generated in situ from N-pyrrolylpropanoic acid, undergoes cycloaddition under mild conditions to give β-lactams with a strong preference for the trans isomer. Frontier molecular orbital analysis and mechanistic interpretation suggest a polar asynchronous pathway, highlighting ketene destabilization as a practical strategy for stereoselective β-lactam synthesis. Full article
Show Figures

Scheme 1

26 pages, 13029 KB  
Article
Design, In Silico, and Experimental Evaluation of Novel Naproxen–Azetidinone Hybrids as Selective COX-2 Inhibitors
by Ayad Kareem Khan, Noor Riyadh Mahmood and Mohammed Abdulaali Sahib
Molecules 2025, 30(22), 4358; https://doi.org/10.3390/molecules30224358 - 11 Nov 2025
Viewed by 782
Abstract
The therapeutic use of non-steroidal anti-inflammatory drugs (NSAIDs) is limited by gastrointestinal and renal adverse effects caused by non-selective COX-1 and COX-2 inhibition. To address this issue, a new series of naproxen–azetidinone hybrids was rationally designed and synthesized to enhance COX-2 selectivity and [...] Read more.
The therapeutic use of non-steroidal anti-inflammatory drugs (NSAIDs) is limited by gastrointestinal and renal adverse effects caused by non-selective COX-1 and COX-2 inhibition. To address this issue, a new series of naproxen–azetidinone hybrids was rationally designed and synthesized to enhance COX-2 selectivity and reduce off-target toxicity. The synthesis involved esterification, hydrazide formation, Schiff base condensation, and intramolecular cyclization with chloroacetyl chloride. Structural characterization was achieved through FT-IR, 1H NMR, and 13C NMR analyses. In silico ADMET profiling confirmed compliance with Lipinski’s rule and predicted favorable gastrointestinal absorption. Molecular docking revealed high COX-2 binding affinities (−11.93 to −9.72 kcal/mol), while MM/GBSA analysis identified compound N4c (ΔG = −62.27 kcal/mol) as the most stable complex, surpassing meloxicam and naproxen. DFT (B3LYP/6-31G(d,p)) frontier molecular orbital analysis indicated a narrow HOMO–LUMO gap (ΔE = 2.97 eV) for N4c, suggesting high electronic reactivity and strong enzyme interaction. Molecular dynamics simulations confirmed complex stability. In vivo anti-inflammatory testing using an egg-white-induced rat paw edema model showed that N4d, N4e, and N4f achieved higher inhibition (19.22%, 16.98%, and 16.98%) than naproxen (4.3%). These results highlight 2-azetidinone–naproxen hybrids as promising selective COX-2 inhibitors with enhanced pharmacokinetic and electronic properties. Full article
Show Figures

Figure 1

Back to TopTop