DFT Simulation for Properties Determination of Chelating Spironaphthoxazine Derivatives †
Abstract
1. Introduction
2. Methods
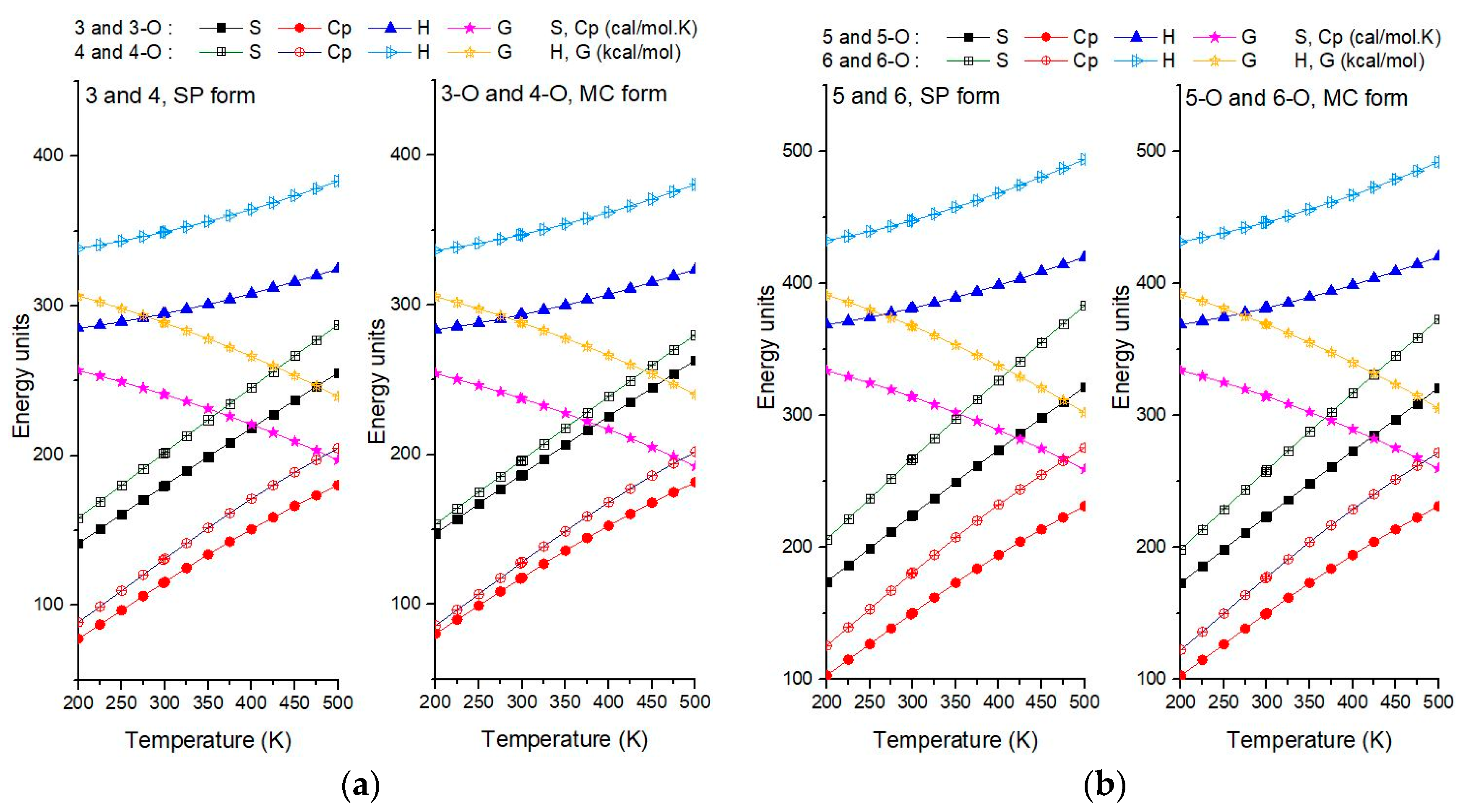
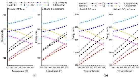
3. Results
4. Conclusions
Author Contributions
Funding
Institutional Review Board Statement
Informed Consent Statement
Data Availability Statement
Acknowledgments
Conflicts of Interest
References
- Minkovska, S.; Hadjichristov, G.B.; Neacsu, A.; Chihaia, V.; Fedorov, Y.V. Photoswitchable Photochromic Chelating Spironaphthoxazines: Synthesis, Photophysical Properties, Quantum-Chemical Calculations, and Complexation Ability. ACS Omega 2024, 9, 4144–4161. [Google Scholar] [CrossRef] [PubMed]
- Neacsu, A.; Chihaia, V.; Alexiev, V.; Hadjichristov, G.B.; Minkovska, S. Specifics of the Molecular Conformations and Physicochemical Properties of Merocyanine Form of Spirooxazine Derivative: Insights from Experimental and Molecular Dynamics Studies. Materials 2025, 18, 2505. [Google Scholar] [CrossRef] [PubMed]
- Grimme, S. Semiempirical GGA-type density functional constructed with a long-range dispersion correction. J. Comput. Chem. 2006, 27, 1787. [Google Scholar] [CrossRef] [PubMed]
- Flores-Holguín, N.; Frau, J.; Glossman-Mitnik, D. CDFT-Based Reactivity Descriptors as a Useful MEDT Chemoinformatics Tool for the Study of the Virotoxin Family of Fungal Peptides. Molecules 2019, 24, 2707. [Google Scholar] [CrossRef] [PubMed]





| Molecular Formula | R | R1 | R2 | R3 | SP Form Abb. | MC Form Abb. |
|---|---|---|---|---|---|---|
| C22 H20 N2 O | CH3 | H | H | H | 0 | 0-O |
| C22 H20 N2 O2 | CH3 | H | H | OH | 1 | 1-O |
| C25 H26 N2 O2 | C4H9 | H | H | OH | 2 | 2-O |
| C29 H23 N3 O S | CH3 | H | H | ![]() | 3 | 3-O |
| C32 H29 N3 O S | C4H9 | H | H | ![]() | 4 | 4-O |
| C37 H31 N3 O S | CH3 | (CH=CH2)2 | (CH=CH2)2 | ![]() | 5 | 5-O |
| C40 H37 N3 O4 S2 | C4H9 | (CH=CH2)2 | (CH=CH2)2 | ![]() | 6 | 6-O |
| C33 H29 N3 O3 S | C3H6COOCH3 | H | H | ![]() | 7 | 7-O |
| C32 H27 N3 O3 S | C3H6COOH | H | H | ![]() | 8 | 8-O |
| C40 H37 N3 O S | C4H8SO3H | (CH=CH2)2 | (CH=CH2)2 | H | 9 | 9-O |
| Molecular Formula | TS Name | ΔE (SP-MC) [eV] | Energy of Reaction [kJ/mol] | Energy of Barrier [kJ/mol] |
|---|---|---|---|---|
| C22 H20 N2 O | (0-TS) | −28,170.682760 | 9.992 | 13.679 |
| C22 H20 N2 O2 | (1-TS) | −30,213.788084 | 9.133 | 13.268 |
| C29 H23 N3 O S | (3-TS) | −47,807.757338 | 10.696 | 20.898 |
| C33 H29 N3 O3 S | (7-TS) | −56,150.123369 | 10.878 | 15.119 |
| C32 H27 N3 O3 S | (8-TS) | −55,080.590484 | 11.475 | 15.509 |
Disclaimer/Publisher’s Note: The statements, opinions and data contained in all publications are solely those of the individual author(s) and contributor(s) and not of MDPI and/or the editor(s). MDPI and/or the editor(s) disclaim responsibility for any injury to people or property resulting from any ideas, methods, instructions or products referred to in the content. |
© 2025 by the authors. Licensee MDPI, Basel, Switzerland. This article is an open access article distributed under the terms and conditions of the Creative Commons Attribution (CC BY) license (https://creativecommons.org/licenses/by/4.0/).
Share and Cite
Neacsu, A.; Minkovska, S.; Alexiev, V.; Chihaia, V. DFT Simulation for Properties Determination of Chelating Spironaphthoxazine Derivatives. Chem. Proc. 2025, 18, 67. https://doi.org/10.3390/ecsoc-29-26899
Neacsu A, Minkovska S, Alexiev V, Chihaia V. DFT Simulation for Properties Determination of Chelating Spironaphthoxazine Derivatives. Chemistry Proceedings. 2025; 18(1):67. https://doi.org/10.3390/ecsoc-29-26899
Chicago/Turabian StyleNeacsu, Andreea, Stela Minkovska, Valentin Alexiev, and Viorel Chihaia. 2025. "DFT Simulation for Properties Determination of Chelating Spironaphthoxazine Derivatives" Chemistry Proceedings 18, no. 1: 67. https://doi.org/10.3390/ecsoc-29-26899
APA StyleNeacsu, A., Minkovska, S., Alexiev, V., & Chihaia, V. (2025). DFT Simulation for Properties Determination of Chelating Spironaphthoxazine Derivatives. Chemistry Proceedings, 18(1), 67. https://doi.org/10.3390/ecsoc-29-26899







