Sign in to use this feature.

Years

Between: -

Subjects

remove_circle_outline
remove_circle_outline
remove_circle_outline
remove_circle_outline
remove_circle_outline
remove_circle_outline
remove_circle_outline
remove_circle_outline
remove_circle_outline

Journals

remove_circle_outline
remove_circle_outline
remove_circle_outline
remove_circle_outline
remove_circle_outline
remove_circle_outline
remove_circle_outline
remove_circle_outline
remove_circle_outline
remove_circle_outline
remove_circle_outline
remove_circle_outline
remove_circle_outline
remove_circle_outline

Article Types

Countries / Regions

remove_circle_outline
remove_circle_outline
remove_circle_outline
remove_circle_outline
remove_circle_outline

Search Results (2,004)

Search Parameters:
Keywords = friction pressure

Order results
Result details
Results per page
Select all
Export citation of selected articles as:
24 pages, 3942 KB  
Article
Optimising Drag-Reducing Agent Performance for Energy-Efficient Pipeline Transport
by Emad Q. Hussein, Farhan Lafta Rashid, Mudhar A. Al-Obaidi, Arman Ameen, Atef Chibani, Mohamed Kezzar and Ibrahim Mahariq
Energies 2026, 19(3), 812; https://doi.org/10.3390/en19030812 (registering DOI) - 4 Feb 2026
Abstract
The high energy consumption and cost of operation which result from substantial pressure losses during the transportation of crude oil over long-distance pipelines due to frictional drag created by turbulence are fundamental issues. In order to cope with such challenges, the current research [...] Read more.
The high energy consumption and cost of operation which result from substantial pressure losses during the transportation of crude oil over long-distance pipelines due to frictional drag created by turbulence are fundamental issues. In order to cope with such challenges, the current research intends to develop a simulation-based study that employs MATLAB R2016b and Minitab 21 to assess the effectiveness of drag-reducing agents (DRAs). An effective mathematical representation of the use of basic fluid mechanics with a semi-empirical correlation on the DRA performance is therefore created and its performance compared to actual pipeline data, showing good compatibility with experimental results. The findings show that DRA addition can produce a significant reduction in the pressure drop by 30–35% with an increase in the overall flow efficiency by 40–60%. Using 25 ppm DRA concentration at a Reynolds number of 323,159 enables an optimised prediction of 33.43% in drag reduction with an efficiency of 45.13%. Moreover, it is also found that there are considerable energy savings, flatter radial velocity profiles, and enhanced particle transport, which highlights the radical effect of DRAs on the hydrodynamics of flows. More importantly, it is determined that DRAs are one of the most effective and cost-efficient solutions to improve throughput and decrease the pumping power in the oil pipeline. However, further research is required to generalise the model to multiphase flows and use the newest optimisation algorithms to control the dosage dynamically. Full article
(This article belongs to the Special Issue Modeling and Planning of Energy Systems)
Show Figures

Figure 1

25 pages, 3088 KB  
Article
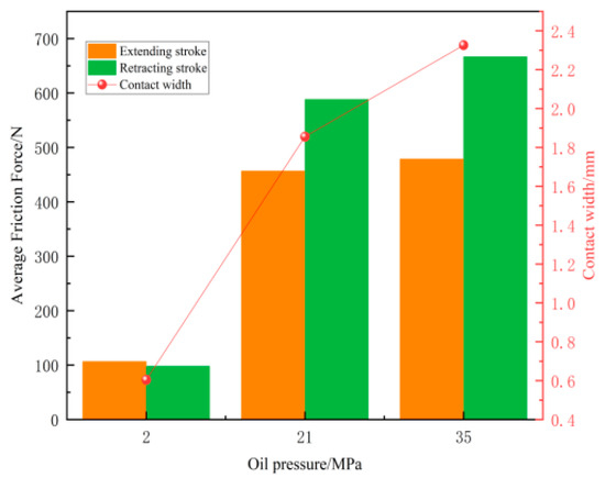
Research on Contact Performance and Friction Force of VL Seal of Aviation Actuator Under High Pressure Conditions
by Yanan Wang, Wenjun Yu, Jianping Ai, Xihui Tao, Qingyun Guo, Dongye Wang, Junying Suo and Xiuxu Zhao
Lubricants 2026, 14(2), 73; https://doi.org/10.3390/lubricants14020073 - 4 Feb 2026
Abstract
To elucidate the contact performance and friction force variation characteristics of VL seals for aviation actuators under high-pressure conditions, this study adopted a fluid–structure interaction (FSI)-coupled finite element model to analyze the maximum contact pressure and contact width and their respective variation trends [...] Read more.
To elucidate the contact performance and friction force variation characteristics of VL seals for aviation actuators under high-pressure conditions, this study adopted a fluid–structure interaction (FSI)-coupled finite element model to analyze the maximum contact pressure and contact width and their respective variation trends across varying oil pressures and reciprocating velocities. Subsequently, friction force tests of the seals were conducted under matching operating parameters, and the friction coefficients of polytetrafluoroethylene (PTFE) were measured and compared under different normal pressures. The results demonstrate that the friction force of the seals during both extending and retracting strokes increases with rising oil pressure, which is highly correlated with the theoretically predicted conclusion that the seal contact width expands as oil pressure increases. Further analysis confirms that reciprocating velocity exerts no significant influence on the aforementioned variation trends. This study provides a critical basis for the selection and optimal design of VL seals used in high-pressure aviation hydraulic actuators. Full article
(This article belongs to the Special Issue Mechanical Tribology and Surface Technology, 2nd Edition)
Show Figures

Figure 1

23 pages, 4185 KB  
Article
Real-Time Axle-Load Sensing and AI-Enhanced Braking-Distance Prediction for Multi-Axle Heavy-Duty Trucks
by Duk Sun Yun and Byung Chul Lim
Appl. Sci. 2026, 16(3), 1547; https://doi.org/10.3390/app16031547 - 3 Feb 2026
Abstract
Accurate braking-distance prediction for heavy-duty multi-axle trucks remains challenging due to the large gross vehicle weight, tandem-axle interactions, and strong transient load transfer during emergency braking. Recent studies on tire–road friction estimation, commercial-vehicle braking control (EBS/AEBS), and weigh-in-motion (WIM) sensing have highlighted that [...] Read more.
Accurate braking-distance prediction for heavy-duty multi-axle trucks remains challenging due to the large gross vehicle weight, tandem-axle interactions, and strong transient load transfer during emergency braking. Recent studies on tire–road friction estimation, commercial-vehicle braking control (EBS/AEBS), and weigh-in-motion (WIM) sensing have highlighted that unmeasured vertical-load dynamics and time-varying friction are key sources of prediction uncertainty. To address these limitations, this study proposes an integrated sensing–simulation–AI framework that combines real-time axle-load estimation, full-scale robotic braking tests, fused road-friction sensing, and physics-consistent machine-learning modeling. A micro-electro-mechanical systems (MEMS)-based load-angle sensor was installed on the leaf-spring panel linking tandem axles, enabling the continuous estimation of dynamic vertical loads via a polynomial calibration model. Full-scale on-road braking tests were conducted at 40–60 km/h under systematically varied payloads (0–15.5 t) using an actuator-based braking robot to eliminate driver variability. A forward-looking optical friction module was synchronized with dynamic axle-load estimates and deceleration signals, and additional scenarios generated in a commercial ASM environment expanded the operational domain across a broader range of friction, grade, and loading conditions. A gradient-boosting regression model trained on the hybrid dataset reproduced measured stopping distances with a mean absolute error (MAE) of 1.58 m and a mean absolute percentage error (MAPE) of 2.46%, with most predictions falling within ±5 m across all test conditions. The results indicate that incorporating real-time dynamic axle-load sensing together with fused friction estimation improves braking-distance prediction compared with static-load assumptions and purely kinematic formulations. The proposed load-aware framework provides a scalable basis for advanced driver-assistance functions, autonomous emergency braking for heavy trucks, and infrastructure-integrated freight safety management. All full-scale braking tests were carried out at approximately 60% of the nominal service-brake pressure, representing non-panic but moderately severe braking conditions, and the proposed model is designed to accurately predict the resulting stopping distance under this prescribed braking regime rather than to minimize the absolute stopping distance itself. Full article
(This article belongs to the Topic Advances in Autonomous Vehicles, Automation, and Robotics)
Show Figures

Figure 1

35 pages, 7550 KB  
Article
Stability Analysis of Tunnel Face in Nonhomogeneous Soil with Upper Hard and Lower Soft Strata Under Unsaturated Transient Seepage
by Wenjun Shao, De Zhou, Long Xia, Guihua Long and Jian Wang
Mathematics 2026, 14(3), 537; https://doi.org/10.3390/math14030537 - 2 Feb 2026
Abstract
To enhance the assessment accuracy of tunnel face instability risks of active collapse during shield tunneling, this study establishes a novel unified analytical framework that couples the effects of unsaturated transient seepage induced by excavation drainage with soil stratification and heterogeneity. Grounded in [...] Read more.
To enhance the assessment accuracy of tunnel face instability risks of active collapse during shield tunneling, this study establishes a novel unified analytical framework that couples the effects of unsaturated transient seepage induced by excavation drainage with soil stratification and heterogeneity. Grounded in unsaturated effective stress theory, the framework explicitly incorporates matric suction into the Mohr–Coulomb failure criterion via suction stress and apparent cohesion. By employing a horizontal two-layer nonhomogeneous soil model and solving the one-dimensional vertical Richards’ equation, an analytical solution for the face drainage boundary is derived to quantify the spatiotemporal evolution of suction stress and apparent cohesion. Subsequently, the critical support pressure is evaluated using the upper bound theorem of limit analysis, incorporating a horizontal layer-discretized rotational failure mechanism and the power balance equation. The validity of the proposed framework is confirmed through comparative analyses. Parametric studies reveal that in the upper hard and lower soft strata, the critical support pressure decreases and converges over time, indicating that unsaturated transient seepage exerts a significant influence in the short term that stabilizes over the long term. Additionally, sand–silt stratum exhibits lower overall stability and higher sensitivity to groundwater levels and temporal factors compared to silt–clay stratum. Conversely, silt–clay stratum displays a non-monotonic evolution with increasing cover-to-diameter ratios (C/D), reaching a minimum critical support pressure at approximately C/D = 1.1. Regarding heterogeneity, the internal friction angle of the lower layer exerts dominant control over the critical support pressure compared to seepage velocity, while the influence of other strength parameters remains secondary. These findings provide a theoretical basis for the time-dependent design of tunnel face support pressure under excavation drainage conditions. Full article
(This article belongs to the Special Issue Mathematical Modeling and Analysis in Mining Engineering)
28 pages, 7576 KB  
Article
Analysis of the Influence of Gradation Difference on the Stability of Dump Slope Based on Triaxial Test and Numerical Simulation
by Tianlong Zhou, Kegang Li, Jiawen Liu, Jian Meng, Mingliang Li, Rui Yue and Dong Tian
Eng 2026, 7(2), 68; https://doi.org/10.3390/eng7020068 - 2 Feb 2026
Viewed by 21
Abstract
Instability in dump slopes frequently induces landslides, a process governed by complex factors. To investigate the impact of gradation composition on dump slope stability, four distinct gradations were designed, and large-scale laboratory triaxial tests were conducted to characterize their strength and deformation behaviors [...] Read more.
Instability in dump slopes frequently induces landslides, a process governed by complex factors. To investigate the impact of gradation composition on dump slope stability, four distinct gradations were designed, and large-scale laboratory triaxial tests were conducted to characterize their strength and deformation behaviors under varying confining pressures. Concurrently, numerical models of dump slopes with these four gradations were established using Particle Flow Code (PFC) to simulate rainfall infiltration processes. Through a comparative analysis of particle contact force chains, pore water pressure evolution, particle displacement under varying rainfall durations, and safety factors under natural and rainfall conditions, the mechanisms governing the influence of gradation composition on slope stability were elucidated from both macroscopic and microscopic perspectives. Results indicate the following: (1) Gradation composition significantly affects the strength and deformation characteristics of dump materials. Sample group 3 (with a fine-to-coarse particle ratio of 4:6) exhibited the highest strength among the four test samples, with peak deviatoric stresses of 610 kPa, 1075 kPa, and 1539 kPa under confining pressures of 200 kPa, 400 kPa, and 600 kPa, respectively. Its corresponding shear strength parameters were a cohesion of 38.45 kPa and an internal friction angle of 32.55°. In contrast, sample group 4 (fine-to-coarse ratio of 6:4) showed the lowest strength, with peak deviatoric stresses of 489 kPa, 840 kPa, and 1290 kPa under the same confining pressures, and shear strength parameters of c = 25.35 kPa and φ = 30.02°. (2) Gradation modulates contact forces and failure modes via a “skeleton-filling” mechanism. (3) Gradation plays a critical role in controlling pore water pressure evolution and the seepage characteristics of the dump slope model. Among the four designed gradations and their corresponding numerical models, Model 3 was characterized by the highest contact forces and the lowest pore water pressure. It exhibited the highest stability under both natural and rainfall conditions, with safety factors of 1.70 and 1.22, respectively. Conversely, Model 4 showed weak particle contact forces and high pore pressure, demonstrating the poorest stability. It yielded safety factors of only 1.25 and 1.02 under natural and rainfall-saturated conditions, indicating that it represents the least favorable gradation composition. These findings provide valuable references for the optimization of dumping processes and stability control in similar engineering projects. Full article
(This article belongs to the Section Chemical, Civil and Environmental Engineering)
Show Figures

Figure 1

19 pages, 5901 KB  
Article
Effect of Groove Structures on Lubrication and Vibration Characteristics of Multi-Layer Composite Water-Lubricated Bearings
by Meng Kong, Gengyuan Gao, Lei Wang and Shijie Yu
Lubricants 2026, 14(2), 68; https://doi.org/10.3390/lubricants14020068 - 2 Feb 2026
Viewed by 51
Abstract
To meet the demand for water-lubricated bearings (WLBs) with low vibration, low noise and high load-carrying capacity in propulsion systems, this study designed and tested a three-layer composite WLB consisting of an inner phenolic working layer, a middle rubber damping layer and a [...] Read more.
To meet the demand for water-lubricated bearings (WLBs) with low vibration, low noise and high load-carrying capacity in propulsion systems, this study designed and tested a three-layer composite WLB consisting of an inner phenolic working layer, a middle rubber damping layer and a glass-fiber-reinforced composite layer. The lubrication, vibration and wear behaviors of three bearings with different groove structures, namely a non-grooved bushing, a fully straight-grooved bushing and a fully spiral-grooved bushing, were comparatively investigated under combined variations in rotational speed (20–400 r/min), specific pressure (0.18–0.8 MPa) and water flow rate (5–20 L/min). The results demonstrate that both specific pressure and flow rate strongly govern the transition from mixed lubrication to hydrodynamic lubrication and the associated vibration response. As the specific pressure and water flow rate increase, the transition speed and coefficient of friction of grooved bearings, particularly straight-grooved bearings, increase markedly. Non-grooved bearings consistently maintain the lowest levels, while spiral-grooved bearings exhibit lubrication performance intermediate between the above two types. Under low-speed and heavy-load conditions, non-grooved bearings show the smallest increase in vibration amplitude. Grooves amplify high-frequency vibrations and inject medium- and high-frequency energy as rotational speed increases. Considering lubrication, vibration control, and wear resistance simultaneously, spiral-grooved bearings exhibit the most robust overall performance under realistic operating conditions. The results provide experimental evidence and practical design guidance for groove-structure selection in multi-layer composite WLBs operating under low-speed and heavy-load conditions. Full article
(This article belongs to the Special Issue Water Lubricated Bearings)
Show Figures

Figure 1

18 pages, 2652 KB  
Article
Fluid–Structure Interaction Study of S-CO2 Radial Hydrodynamic Lubricated Bearings Under Different Rotational Speeds
by Chengtao Niu, Sung-Ki Lyu, Yu-Ting Wu, Zhen Qin, Shixuan Wang and Sicheng Niu
Coatings 2026, 16(2), 182; https://doi.org/10.3390/coatings16020182 - 1 Feb 2026
Viewed by 102
Abstract
High-speed rotating machinery often demands bearings with superior load capacity and thermal stability. Here, a four-chamber radial hydrodynamic sliding bearing using supercritical carbon dioxide (S-CO2) as a lubricant is investigated to address these requirements. The work is carried out on the [...] Read more.
High-speed rotating machinery often demands bearings with superior load capacity and thermal stability. Here, a four-chamber radial hydrodynamic sliding bearing using supercritical carbon dioxide (S-CO2) as a lubricant is investigated to address these requirements. The work is carried out on the ANSYS Workbench 2024 R1 platform. Computational fluid dynamics (CFD) and structural mechanics are combined to build a fluid–structure interaction (FSI) numerical model. The model accounts for real-gas thermophysical property variations. S-CO2 properties are dynamically retrieved using the REFPROP database and MATLAB curve fitting. Unlike previous studies that mainly focused on hydrostatic structures and general parameters, this research examines hydrodynamic lubrication behavior under ultra-high-speed conditions. It systematically analyzes the effects of rotational speed on oil film pressure distribution, load capacity, friction coefficient, and housing deformation. It also investigates cavitation characteristics in a specific speed range. Simulation outcomes reveal that higher rotational speeds lead to an increase in both oil film load capacity and peak pressure. In particular, when the speed rises from 4000 r/min to 12,000 r/min, the maximum positive pressure increases from about 10 MPa to approximately 10.4 MPa. Meanwhile, the negative pressure region becomes significantly larger, which raises the cavitation risk and indicates a less stable lubrication state at very high speeds. These results confirm that lubrication simulations incorporating real-gas effects can reliably represent the operating behavior and provide useful guidance. It also provides new theoretical support for the design optimization and engineering application of S-CO2-lubricated bearings in high-speed machinery. Full article
(This article belongs to the Section Liquid–Fluid Coatings, Surfaces and Interfaces)
Show Figures

Figure 1

34 pages, 13512 KB  
Article
Performance and Scalability Analysis of Hydrodynamic Fluoride Salt Lubricated Bearings in Fluoride-Salt-Cooled High-Temperature Reactors
by Yuqi Liu and Minghui Chen
J. Nucl. Eng. 2026, 7(1), 11; https://doi.org/10.3390/jne7010011 - 29 Jan 2026
Viewed by 195
Abstract
This study evaluates the performance and scalability of fluoride-salt-lubricated hydrodynamic journal bearings used in primary pumps for Fluoride-salt-cooled High-temperature Reactors (FHRs). Because full-scale pump prototypes have not been tested, a scaling analysis is used to relate laboratory results to commercial conditions. Bearings with [...] Read more.
This study evaluates the performance and scalability of fluoride-salt-lubricated hydrodynamic journal bearings used in primary pumps for Fluoride-salt-cooled High-temperature Reactors (FHRs). Because full-scale pump prototypes have not been tested, a scaling analysis is used to relate laboratory results to commercial conditions. Bearings with different length-to-diameter (L/D) ratios were assessed over a range of shaft speeds to quantify geometric and hydrodynamic effects. High-temperature bushing test data in FLiBe at 650 °C were used as inputs to three-dimensional computational fluid dynamics (CFD) simulations in STAR-CCM+. Applied load, friction force, and power loss were computed across operating speeds. Applied load increases linearly with shaft speed due to hydrodynamic pressure buildup, while power loss increases approximately quadratically, indicating greater energy dissipation at higher speeds. The resulting correlations clarify scaling effects beyond small-scale testing and provide a basis for bearing design optimization, prototype development, and the deployment of FHR technology. This work benchmarks speed-scaling relations for fluoride-salt-lubricated hydrodynamic journal bearings within the investigated regime. Full article
(This article belongs to the Special Issue Advances in Thermal Hydraulics of Nuclear Power Plants)
Show Figures

Figure 1

19 pages, 1818 KB  
Article
Probabilistic Seismic Fragility of Arch Dam Abutments Under Uplift Pressure
by Hosein Izadi, Seyed Alireza Zareei, Niloofar Salemi and Hadi Bahmani
Buildings 2026, 16(3), 567; https://doi.org/10.3390/buildings16030567 - 29 Jan 2026
Viewed by 87
Abstract
Uplift pressure is a major contributor to seismic instability in arch dam abutments, particularly where jointed rock masses form wedge-shaped failure blocks. This study develops an integrated numerical framework combining nonlinear finite element analysis, the Londe limit-equilibrium method, and Incremental Dynamic Analysis (IDA) [...] Read more.
Uplift pressure is a major contributor to seismic instability in arch dam abutments, particularly where jointed rock masses form wedge-shaped failure blocks. This study develops an integrated numerical framework combining nonlinear finite element analysis, the Londe limit-equilibrium method, and Incremental Dynamic Analysis (IDA) to quantify the seismic stability of multiple abutment wedges in the Bakhtiari Arch Dam. A three-dimensional finite element model is used to compute dam–abutment thrust forces, while sixteen far-field ground motions are scaled to capture the progression of wedge instability with increasing spectral acceleration. Uplift pressures on joint planes are varied to represent different levels of grout curtain performance. The results indicate that uplift pressure is the dominant factor controlling wedge stability, substantially reducing effective normal stresses and shifting IDA and fragility curves toward lower acceleration demands. Deep wedges (WL4, WL5, WL6 located in the left abutment of the dam) exhibit the highest vulnerability, with instability probabilities exceeding 50% at spectral accelerations as low as 0.34 g under 50% uplift conditions, compared with values greater than 0.65 g for upper wedges. Parametric analyses further show that increasing the joint friction angle significantly enhances seismic resistance, whereas cohesion has a comparatively minor effect. The findings emphasize the necessity of accurate uplift characterization and wedge-specific seismic assessment, and they highlight the crucial role of grout-curtain effectiveness in ensuring the seismic safety of arch dam abutments. Full article
(This article belongs to the Special Issue Innovative Solutions for Enhancing Seismic Resilience of Buildings)
Show Figures

Figure 1

22 pages, 1147 KB  
Article
Frictional Contact of Functionally Graded Piezoelectric Materials with Arbitrarily Varying Properties
by Xiuli Liu, Kaiwen Xiao, Changyao Zhang, Xinyu Zhou, Lingfeng Gao and Jing Liu
Mathematics 2026, 14(3), 450; https://doi.org/10.3390/math14030450 - 27 Jan 2026
Viewed by 90
Abstract
This study investigates the two-dimensional (2D) steady-state frictional contact behavior of functionally graded piezoelectric material (FGPM) coatings under a high-speed rigid cylindrical punch. An electromechanical coupled contact model considering inertial effects is established, while a layered model is employed to simulate arbitrarily varying [...] Read more.
This study investigates the two-dimensional (2D) steady-state frictional contact behavior of functionally graded piezoelectric material (FGPM) coatings under a high-speed rigid cylindrical punch. An electromechanical coupled contact model considering inertial effects is established, while a layered model is employed to simulate arbitrarily varying material parameters. Based on piezoelectric elasticity theory, the steady-state governing equations for the coupled system are derived. By utilizing the transfer matrix method and the Fourier integral transform, the boundary value problem is converted into a system of coupled Cauchy singular integral equations of the first and second kinds in the frequency domain. These equations are solved semi-analytically, using the least squares method combined with an iterative algorithm. Taking a power-law gradient distribution as a case study, the effects of the gradient index, relative sliding speed, and friction coefficient on the contact pressure, in-plane stress, and electric displacement are systematically analyzed. Furthermore, the contact responses of FGPM coatings with power-law, exponential, and sinusoidal gradient profiles are compared. The findings provide a theoretical foundation for the optimal design of FGPM coatings and for enhancing their operational reliability under high-speed service conditions. Full article
19 pages, 13479 KB  
Article
Friction and Wear of Extrusion Dies Under Extreme Transient High-Temperature Conditions in the Extrusion of a Novel Nickel-Based High-Temperature Powder Alloy
by Baizhi Sun, Jinhui Wang, Yanzhuo Liu, Kongyan Zhang, Yuhua Zhang, Zifeng Liu, Falin Zhang, Guangyun Duan, Hongqiang Du, Yongsheng Wei, Yingnan Shi and Xinmei Hou
Lubricants 2026, 14(2), 55; https://doi.org/10.3390/lubricants14020055 - 27 Jan 2026
Viewed by 228
Abstract
During the extrusion of novel nickel-based powder superalloy bars, the die is subjected to elevated temperatures, high pressures, and severe friction, which readily lead to abrasive wear and thermal-fatigue damage. These failures deteriorate the quality of the extruded products and significantly shorten the [...] Read more.
During the extrusion of novel nickel-based powder superalloy bars, the die is subjected to elevated temperatures, high pressures, and severe friction, which readily lead to abrasive wear and thermal-fatigue damage. These failures deteriorate the quality of the extruded products and significantly shorten the service life of the die. Frequent repair and replacement of the tooling ultimately increase the overall manufacturing cost. This study investigates the friction and wear behavior of H13 and 5CrNiMo hot-work tool steels under extreme transient high-temperature conditions by combining finite element simulation with tribological testing. The temperature and stress distributions of the billet and key tooling components during extrusion were analyzed using DEFORM-3D. In addition, pin-on-disk friction and wear tests were conducted at 1000 °C to examine the friction coefficient, wear morphology, and subsurface grain structural evolution under various loading conditions. The results show that the extrusion die and die holder experience the highest loads and most severe wear during the extrusion process. For 5CrNiMo tool steel, the wear mechanism under low loads is dominated by mild abrasive wear and oxidative wear, whereas increasing the load causes a transition toward adhesive wear and severe oxidative wear. In contrast, H13 tool steel exhibits a transition from abrasive wear to severe oxidative wear. In 5CrNiMo steel, friction-induced recrystallization, grain refinement, and softening lead to the formation of a mechanically mixed layer, which, together with a stable third-body layer, markedly reduces and stabilizes the friction coefficient. H13 steel, however, undergoes surface strain localization and spalling, resulting in persistent fluctuations in the friction coefficient. The toughness and adhesion of the oxide film govern the differences in wear mechanisms between the two steels. Owing to its higher Cr, V, and Mo contents, H13 forms a dense but highly brittle oxide scale dominated by Cr and Fe oxides at 1000 °C. This oxide layer readily cracks and delaminates under frictional shear and thermal cycling. The repeated spalling exposes the fresh surface to further oxidation, accompanied by recurrent adhesion–delamination cycles. Consequently, the subsurface undergoes alternating intense shear and transient load variations, leading to localized dislocation accumulation and cracking, which suppresses the progression of continuous recrystallization. Full article
(This article belongs to the Special Issue Friction and Wear Mechanism Under Extreme Environments)
Show Figures

Figure 1

19 pages, 9544 KB  
Article
Synergistic Tribofilm Growth in Ethylene Glycol: A Dual-Additive Approach for Superior Lubrication
by Xiangli Wen, Peng Gong, Ningyi Yuan, Yu Tian, Lvzhou Li and Jianning Ding
Materials 2026, 19(3), 493; https://doi.org/10.3390/ma19030493 - 26 Jan 2026
Viewed by 131
Abstract
This study provides an original insight into the synergistic mechanism through which TM-104 and Vanlube 672 facilitate the in situ formation of a nanoscale bilayer tribofilm in ethylene glycol-based hydraulic fluid. By optimizing the additive formulation to 0.5 wt.% TM-104 and 2.0 wt.% [...] Read more.
This study provides an original insight into the synergistic mechanism through which TM-104 and Vanlube 672 facilitate the in situ formation of a nanoscale bilayer tribofilm in ethylene glycol-based hydraulic fluid. By optimizing the additive formulation to 0.5 wt.% TM-104 and 2.0 wt.% Vanlube 672, a structurally graded tribofilm was autonomously assembled at the friction interface, comprising a 6 nm-thick PxOy-rich inner layer and a 140 nm-thick amorphous carbon outer layer. This engineered interlayer delivers exceptional tribological enhancements, with a 31% improvement in lubricity, a 71% increase in wear resistance, and a remarkable 577% enhancement in extreme-pressure load capacity. The first discovery was that there were differences in the mechanisms between these two layers: the inner PxOy layer establishes strong chemisorption bonds with the substrate, while the outer carbon layer facilitates energy dissipation through shear-induced graphitization. These findings establish a new paradigm for designing multi-functional lubricant additives and provide a scientific basis for developing high-performance fire-resistant hydraulic fluids operable under extreme conditions. Full article
Show Figures

Figure 1

26 pages, 3013 KB  
Article
Advancing ML-Based Thermal Hydrodynamic Lubrication: A Data-Free Physics-Informed Deep Learning Framework Solving Temperature-Dependent Lubricated Contact Simulations
by Faras Brumand-Poor, Georg Michael Puntigam, Marius Hofmeister and Katharina Schmitz
Lubricants 2026, 14(2), 53; https://doi.org/10.3390/lubricants14020053 - 26 Jan 2026
Viewed by 205
Abstract
Thermo-hydrodynamic (THD) lubrication is a key mechanism in injection pumps, where frictional heating and heat transfer strongly influence lubrication performance. Accurate numerical modeling remains challenging due to the nonlinear coupling of temperature- and pressure-dependent fluid properties and the high computational cost of iterative [...] Read more.
Thermo-hydrodynamic (THD) lubrication is a key mechanism in injection pumps, where frictional heating and heat transfer strongly influence lubrication performance. Accurate numerical modeling remains challenging due to the nonlinear coupling of temperature- and pressure-dependent fluid properties and the high computational cost of iterative solvers. The rising relevance of bio-hybrid fuels, however, demands the investigation of a great number of fuel mixtures and conditions, which is currently infeasible with traditional solvers. Physics-informed neural networks (PINNs) have recently been applied to lubrication problems; existing approaches are typically restricted to stationary cases or rely on data to improve training. This work presents a novel, purely physics-based PINN framework for solving coupled, transient THD lubrication problems in injection pumps. By embedding the Reynolds equation, energy conservation laws, and temperature- and pressure-dependent fluid models directly into the loss function, the proposed approach eliminates the need for any simulation or experimental data. The PINN is trained solely on physical laws and validated against an iterative solver for 16 transient test cases across two fuels and eight operating scenarios. The good agreement of PINN and iterative solver demonstrates the strong potential of PINNs as efficient, scalable surrogate models for transient THD lubrication and iterative design applications. Full article
(This article belongs to the Special Issue Thermal Hydrodynamic Lubrication)
17 pages, 9958 KB  
Article
Medial Malleolar Fracture Fixation with Stainless Steel, Titanium, Magnesium, and PLGA Screws: A Finite Element Analysis
by Mehmet Melih Asoglu, Volkan Kızılkaya, Ali Levent, Huseyin Kursat Celik, Ozkan Kose and Allan E. W. Rennie
J. Funct. Biomater. 2026, 17(2), 59; https://doi.org/10.3390/jfb17020059 - 24 Jan 2026
Viewed by 352
Abstract
Background: Implant material may influence interfragmentary mechanics in medial malleolar (MM) fracture fixation. This study aimed to compare stainless steel, titanium, magnesium, and PLGA screws under identical conditions using finite element analysis (FEA). Methods: A CT-based ankle model with a unilateral oblique MM [...] Read more.
Background: Implant material may influence interfragmentary mechanics in medial malleolar (MM) fracture fixation. This study aimed to compare stainless steel, titanium, magnesium, and PLGA screws under identical conditions using finite element analysis (FEA). Methods: A CT-based ankle model with a unilateral oblique MM fracture (θ = 60° to the medial tibial plafond) was fixed with two parallel M4 × 35 mm screws placed perpendicular to the fracture plane (inter-axial distance 13 mm). Contacts were defined as nonlinear frictional, and each screw was assigned a pretension force of 2.5 N. Static single-leg stance was simulated with physiologic tibia/fibula load sharing. Four scenarios differed only by screw material. Primary outputs were interfragmentary micromotion (maximum sliding and gap). Secondary measures included fracture interface contact/frictional stresses, screw/bone von Mises stress, global construct displacement, and average tibiotalar cartilage contact pressure. Results: Interfragmentary micromotion increased as screw stiffness decreased. Maximum sliding was 32.2–33.8 µm with stainless steel/titanium, 40.4 µm with magnesium, and 65.0 µm with PLGA; corresponding gaps were 31.2–32.0 µm with stainless steel and titanium, 31.2 µm with magnesium, and 54.1 µm with PLGA, respectively. Interface stresses followed the same pattern: contact pressure (3.18–3.24 MPa for stainless steel/titanium/magnesium vs. 4.29 MPa for PLGA); frictional stress (1.46–1.49 MPa vs. 1.98 MPa). Peak screw von Mises stress was highest in stainless steel (104.1 MPa), then titanium (73.4 MPa), magnesium (47.4 MPa), and PLGA (17.9 MPa). Global axial displacement (0.26–0.27 mm) and average tibiotalar cartilage contact pressure (0.73–0.75 MPa) were essentially unchanged across materials. All conditions remained below commonly cited thresholds for primary bone healing (gap < 100 µm); however, PLGA exhibited a reduced safety margin. Conclusions: Under identical geometry and loading conditions, titanium and stainless steel yielded the most favorable interfragmentary mechanics for oblique MM fixation; magnesium showed intermediate performane, and PLGA produced substantially greater micromotion and interface stresses. These findings support the use of metallic screws when maximal initial stability is required and suggest that magnesium may be a selective alternative when reducing secondary implant removal is prioritized. Full article
(This article belongs to the Section Bone Biomaterials)
Show Figures

Figure 1

27 pages, 7548 KB  
Article
Eco-Friendly Illite as a Sustainable Solid Lubricant in Calcium Grease: Evaluating Its Thermal Stability, Tribological Performance, and Energy Efficiency
by Maria Steffy, Shubrajit Bhaumik, Nabajit Dev Choudhury, Viorel Paleu and Vitalie Florea
Materials 2026, 19(3), 464; https://doi.org/10.3390/ma19030464 - 23 Jan 2026
Viewed by 370
Abstract
This study investigates the influence of the additive illite on the thermal, tribological, and energy efficiency characteristics of calcium grease (CG) at different concentrations (0.05 wt.%, 0.1 wt.%, 0.2 wt.%, 0.4 wt.%, 0.6 wt.%, and 0.8 wt.%). Thermo-gravimetric analysis under inert and oxidative [...] Read more.
This study investigates the influence of the additive illite on the thermal, tribological, and energy efficiency characteristics of calcium grease (CG) at different concentrations (0.05 wt.%, 0.1 wt.%, 0.2 wt.%, 0.4 wt.%, 0.6 wt.%, and 0.8 wt.%). Thermo-gravimetric analysis under inert and oxidative atmospheres revealed that illite enhances thermal stability by increasing inorganic residue under N2, but promotes oxidative degradation under O2, limiting practical thermal use to around 400 °C. Grease with 0.1 wt.% illite (CGI2) performed well in tribological tests by reducing the coefficient of friction and wear scar diameter by 53% and 57%, respectively, compared to the base grease. Fleischer’s energy-based wear model showed that all grease samples operated within the mixed friction regime, and CGI2 exhibited a 93% higher apparent frictional energy density and a substantially lower wear intensity that was 47% lower than the base grease, indicating improved energy dissipation and wear resistance. All samples had the same weld load (1568 N), but CGI2 had a 21% higher load–wear index than the base grease in the extreme-pressure test, indicating better load-carrying capacity. In the energy consumption test, a 6% reduction in current consumption was observed in CGI2 in comparison with the base grease. Overall, illite at an optimal concentration significantly enhances lubrication performance, wear protection, and energy efficiency. Full article
(This article belongs to the Section Green Materials)
Show Figures

Graphical abstract

Back to TopTop