Sign in to use this feature.

Years

Between: -

Subjects

remove_circle_outline
remove_circle_outline
remove_circle_outline
remove_circle_outline
remove_circle_outline
remove_circle_outline
remove_circle_outline

Journals

Article Types

Countries / Regions

Search Results (20)

Search Parameters:
Keywords = freeze-drying and centrifugation

Order results
Result details
Results per page
Select all
Export citation of selected articles as:
12 pages, 804 KB  
Article
Development of Vitamin C-Enriched Oral Disintegration Films Using Chia Mucilage
by Simone Canabarro Palezi, Juliana Machado Latorres, Sibele Santos Fernandes and Vilásia Guimarães Martins
Processes 2025, 13(1), 250; https://doi.org/10.3390/pr13010250 - 16 Jan 2025
Viewed by 1784
Abstract
Oral disintegration films (ODFs) offer a convenient alternative for administering active compounds with quick absorption, no need for water, customizable formulation, and promising pharmaceutical applications. This study aimed to develop chia mucilage films as a new polymer to carry vitamin C. Chia mucilage [...] Read more.
Oral disintegration films (ODFs) offer a convenient alternative for administering active compounds with quick absorption, no need for water, customizable formulation, and promising pharmaceutical applications. This study aimed to develop chia mucilage films as a new polymer to carry vitamin C. Chia mucilage was extracted using the method of immersing the seeds in water, separated by vacuum filtration and using a sieve to remove the mucilaginous gel, then centrifuged and finally freeze-dried, with the mucilage obtained being used to produce films using the casting technique. The formulations included a control and a 1% vitamin C variant, with glycerol as a plasticizer. The produced films showed high solubility, pH close to the oral and a disintegration time of 53.17 s for the formulation with 1% vitamin C. The presence of vitamin C in the polymer matrix, as well as the interactions between them, were confirmed by DSC and FTIR spectra. On the first day of storage, after 1 min of reaction at 30 °C, the vitamin C concentration obtained was 477.50 mg/g, while at 40 °C was 411.28 mg/g. After 35 days of storage, the films showed a reduction in vitamin C concentration. Chia mucilage proved to be a promising polymer in the production of ODFs carrying vitamin C. Full article
Show Figures

Figure 1

17 pages, 986 KB  
Review
Retaining Resveratrol Content in Berries and Berry Products with Agricultural and Processing Techniques: Review
by Audrone Ispiryan, Ingrida Kraujutiene and Jonas Viskelis
Processes 2024, 12(6), 1216; https://doi.org/10.3390/pr12061216 - 13 Jun 2024
Cited by 8 | Viewed by 6338
Abstract
Resveratrol is a natural compound that can be found in red wine, grapes, and berries. It has attracted attention due to its potential health benefits. The aim of this review was to align ways of retaining resveratrol contents in berries and products made [...] Read more.
Resveratrol is a natural compound that can be found in red wine, grapes, and berries. It has attracted attention due to its potential health benefits. The aim of this review was to align ways of retaining resveratrol contents in berries and products made of berries, and to show which agricultural and processing techniques can maximize the content in the berries and their products and how this can be achieved. The scientific literature has revealed that resveratrol concentration in berries and berry-derived products varies significantly depending on the source and the processing techniques applied. Resveratrol content can range from 0.03–0.06 mg/kg in blueberries to 5–10 mg/kg in grape skins. Agricultural techniques such as controlled water stress (e.g., increasing resveratrol in grapes to 8.3–11.5 mg/kg), optimal sun exposure (e.g., enhancing blueberries to 1.5–2.1 mg/kg), balanced nutrient management, and selecting high-resveratrol cultivars (e.g., up to 15 mg/kg in certain grapes) can substantially increase resveratrol content. Processing methods like cold pressing, centrifugation, ultrafiltration, and freeze-drying are effective in preserving resveratrol levels, while traditional pasteurization tends to reduce its concentration. For instance, high-temperature short-time pasteurization can reduce resveratrol in juice from 1.5 mg/kg to 0.8 mg/kg, whereas cold pressing retains more resveratrol (1.5 mg/kg to 1.4 mg/kg). By optimizing these agricultural and processing techniques, manufacturers can enhance the resveratrol content in berry-derived products, meeting the growing consumer demand for health-enhancing natural products and supporting a healthier society. This approach aligns with the commitment to overcoming the technical challenges associated with resveratrol use, ensuring its potential is fully realized in both health-related and non-health-related applications. Full article
Show Figures

Figure 1

23 pages, 6291 KB  
Article
Prediction of the Properties of Vibro-Centrifuged Variatropic Concrete in Aggressive Environments Using Machine Learning Methods
by Alexey N. Beskopylny, Sergey A. Stel’makh, Evgenii M. Shcherban’, Irina Razveeva, Alexey Kozhakin, Anton Pembek, Tatiana N. Kondratieva, Diana Elshaeva, Andrei Chernil’nik and Nikita Beskopylny
Buildings 2024, 14(5), 1198; https://doi.org/10.3390/buildings14051198 - 23 Apr 2024
Cited by 8 | Viewed by 1858
Abstract
In recent years, one of the most promising areas in modern concrete science and the technology of reinforced concrete structures is the technology of vibro-centrifugation of concrete, which makes it possible to obtain reinforced concrete elements with a variatropic structure. However, this area [...] Read more.
In recent years, one of the most promising areas in modern concrete science and the technology of reinforced concrete structures is the technology of vibro-centrifugation of concrete, which makes it possible to obtain reinforced concrete elements with a variatropic structure. However, this area is poorly studied and there is a serious deficiency in both scientific and practical terms, expressed in the absence of a systematic knowledge of the life cycle management processes of vibro-centrifuged variatropic concrete. Artificial intelligence methods are seen as one of the most promising methods for improving the process of managing the life cycle of such concrete in reinforced concrete structures. The purpose of the study is to develop and compare machine learning algorithms based on ridge regression, decision tree and extreme gradient boosting (XGBoost) for predicting the compressive strength of vibro-centrifuged variatropic concrete using a database of experimental values obtained under laboratory conditions. As a result of laboratory tests, a dataset of 664 samples was generated, describing the influence of aggressive environmental factors (freezing–thawing, chloride content, sulfate content and number of wetting–drying cycles) on the final strength characteristics of concrete. The use of analytical techniques to extract additional knowledge from data contributed to improving the resulting predictive properties of machine learning models. As a result, the average absolute percentage error (MAPE) for the best XGBoost algorithm was 2.72%, mean absolute error (MAE) = 1.134627, mean squared error (MSE) = 4.801390, root-mean-square error (RMSE) = 2.191208 and R2 = 0.93, which allows to conclude that it is possible to use “smart” algorithms to improve the life cycle management process of vibro-centrifuged variatropic concrete, by reducing the time required for the compressive strength assessment of new structures. Full article
(This article belongs to the Section Building Materials, and Repair & Renovation)
Show Figures

Figure 1

16 pages, 772 KB  
Article
Preparation and Immunochemical Characterization of a Water-Soluble Gluten Peptide Fraction for Improving the Diagnosis of Celiac Disease
by Niklas Meyer, Boris Illarionov, Markus Fischer and Herbert Wieser
Nutrients 2024, 16(5), 742; https://doi.org/10.3390/nu16050742 - 5 Mar 2024
Viewed by 1876
Abstract
The diagnosis of celiac disease (CD) is complex and requires a multi-step procedure (symptoms, serology, duodenal biopsy, effect of a gluten-free diet, and optional genetic). The aim of the study was to contribute to the improvement of CD diagnosis by preparing a water-soluble [...] Read more.
The diagnosis of celiac disease (CD) is complex and requires a multi-step procedure (symptoms, serology, duodenal biopsy, effect of a gluten-free diet, and optional genetic). The aim of the study was to contribute to the improvement of CD diagnosis by preparing a water-soluble gluten peptide fraction (called Solgluten) and by selecting gluten-specific enzyme-linked immunosorbent assays (ELISA) for the detection of gluten immunogenic gluten peptides (GIPs) in urine and blood serum spiked with Solgluten. Food-grade Solgluten was prepared by the extraction of a peptic digest of vital gluten with water, centrifugation, and freeze-drying. The process was relatively easy, repeatable, and cheap. The content of gliadin-derived GIPs was 491 mg/g. Solgluten was used as antigenic material to compare two competitive ELISA kits (R7021 and K3012) and two sandwich ELISA kits (M2114 and R7041) in their quality regarding the quantitation of GIPs in urine and blood serum. The quality parameters were the reactivity, sensitivity, coefficients of variation and determination, and curve shape. The evaluation of the kits showed a number of discrepancies in individual quality parameters measured in urine and serum. Due to the lowest limit of quantitation and the highest coefficient of determination, M2114 may be the first choice, while R7021 appeared to be less suitable because of the high coefficients of variation and unfavorable curve progression. The results set the stage for improving CD diagnosis by supplementing conventional blood tests with oral provocation with Solgluten and subsequent ELISA measurement of GIPs that could support the no-biopsy approach and by better assessing the effect of a gluten-free diet by monitoring adherence to the diet by measuring GIPs in urine and blood. Full article
(This article belongs to the Special Issue Nutrition and Immunobiology of Celiac Disease)
Show Figures

Figure 1

12 pages, 2705 KB  
Article
One-Pot Hydrothermal Synthesis of mSiO2-N-CDs with High Solid-State Photoluminescence as a Fluorescent Probe for Detecting Dopamine
by Xiaogao Guan, Xianzhu Xu, Yanli Wu, Ruchun Yang, Xi Chen, Fangfang Kong and Qiang Xiao
Nanomaterials 2023, 13(23), 2989; https://doi.org/10.3390/nano13232989 - 21 Nov 2023
Cited by 1 | Viewed by 1621
Abstract
An effective fluorescent probe (mSiO2-N-CDs) was prepared by embedding N-CDs into mesoporous silica via a simple one-pot hydrothermal reaction and applied to the detection of dopamine (DA). Mesoporous silica not only provided a skeleton to prevent the aggregation of N-CDs but [...] Read more.
An effective fluorescent probe (mSiO2-N-CDs) was prepared by embedding N-CDs into mesoporous silica via a simple one-pot hydrothermal reaction and applied to the detection of dopamine (DA). Mesoporous silica not only provided a skeleton to prevent the aggregation of N-CDs but also a medium for the centrifugal collection of N-CDs, avoiding the need for dialysis and freeze-drying. The formation process, phase composition, morphology, and luminescence properties of the composite were studied in detail. The synthesized mSiO2-N-CDs possessed spherical morphology, a smooth surface, and a diameter of approximately 150 nm. The fluorescence results indicated that mSiO2-N-CDs emitted intense blue color fluorescence at 465 nm under the optimal excitation of 370 nm. Because the mesoporous silica effectively inhibited the self-quenching caused by the aggregation of N-CDs, the quantum yield of solid mSiO2-N-CDs powder reached 32.5%. Furthermore, the emission intensity of the solid mSiO2-N-CDs remained constant for 28 days. The good sensitivity and selectivity of mSiO2-N-CDs for DA enabled the establishment of a rapid, simple, and sensitive DA detection method. The linear range was 0–50 µM and the limit of detection was calculated to be 107 nM. This method was used for the determination of DA in urine, with recovery rates ranging between 98% and 100.8%. In addition, the sensing mechanism was characterized by fluorescence lifetime decay and UV–VIS spectral analysis. Full article
Show Figures

Figure 1

7 pages, 2041 KB  
Proceeding Paper
Use of By-Products of Selection Process of Bean (Phaseolus vulgaris L.): Extraction of Protein and Starch
by Matias M. Alancay, Sonia R. Calliope, Rita M. Miranda and Norma C. Samman
Biol. Life Sci. Forum 2023, 25(1), 10; https://doi.org/10.3390/blsf2023025010 - 28 Sep 2023
Viewed by 1641
Abstract
The industrial selection process of bean (Phaseolus vulgaris L.) produced in Northwest Argentina (NOA) region produces 7000 tons/year of by-products integrated from broken, bruised, and reduced-sized seeds. This investigation aimed to study the possibilities of using these by-products as a source of [...] Read more.
The industrial selection process of bean (Phaseolus vulgaris L.) produced in Northwest Argentina (NOA) region produces 7000 tons/year of by-products integrated from broken, bruised, and reduced-sized seeds. This investigation aimed to study the possibilities of using these by-products as a source of protein and starch. Samples were crushed to obtain flour (BF) with particle size of 250 µm. Starch and protein were extracted in a 6:1 and 10:1 water/flour ratio at pH 9 and 10, respectively. After centrifugation, the protein was precipitated from the supernatant at pH 4.5, and a bean protein concentrate (BPC) was obtained. The chemical composition of BF, S, and BPC was determined. Starch swelling power (SP), water solubility index (WSI), water absorption index (WAI), and syneresis in cooling (SC) and freezing (SF) conditions were determined. The proportion of molecular structure of BPC was determined using deconvolution of infrared spectrum (Amide I zone), and their solubility using Bradford reactive. The yield of obtaining processes of BPC and bean starch (BS) of high purities was 13.0 and 50.3 g/100 g of BF, respectively. The BS showed SP, WSI, and WAI values of 3.5 ± 0.5 (sediment weight g/100 g BS), 1.7 ± 1.6 (weight of the soluble BS g/100 g of BS), and 3.6 ± 0.5 (sediment weight g/weight of BS (dry solid) g), respectively. The SC was higher than SF and was double with respect to starches of other origins. The BPC solubility was 15.5 g protein/100 g BPC (pH 4.5), higher than concentrates of conventional vegetable proteins. The infrared profile showed higher proportions of deployed structures, i.e., β-sheets (22%) and random coils (18.8%), suitable for emulsifying and gelling properties. Results showed bean by-products as an alternative source of ingredients for the food industry. Full article
(This article belongs to the Proceedings of V International Conference la ValSe-Food and VIII Symposium Chia-Link)
Show Figures

Figure 1

14 pages, 4510 KB  
Article
Quality Evaluation of Shiitake Blanched and Centrifuged Broths as Functional Instant Drinks
by Shin-Yu Chen, Jim Tseng, Cheng-Rong Wu and Sheng-Dun Lin
Foods 2023, 12(15), 2925; https://doi.org/10.3390/foods12152925 - 1 Aug 2023
Cited by 2 | Viewed by 2074
Abstract
In the process of making mushrooms into vacuum-fried crisps, the resulting blanched broth (BB) and centrifuged broth (CB) are often discarded, thereby increasing the amount of wastewater and treatment costs. This study measured the proximate compositions, bioactive components, taste components, and minerals of [...] Read more.
In the process of making mushrooms into vacuum-fried crisps, the resulting blanched broth (BB) and centrifuged broth (CB) are often discarded, thereby increasing the amount of wastewater and treatment costs. This study measured the proximate compositions, bioactive components, taste components, and minerals of freeze-dried BB and CB and then used functional indigestible dextrin (Fibersol-2) as a carrier to make these two broths into instant drinks. The solids of the BB and CB contained protein (16.88–19.21%), fat (0.01–0.23%), ash (12.89–13.50%), carbohydrate (67.28–70.00%), sugars and polyols (40.55–45.68%), free amino acids (6.58–6.69%), 5′-nucleotides (0.98–1.47%), and bioactive components, especially polysaccharides (4.53–7.45%), ergothioneine (both 0.19%), and total phenols (0.15–0.36%). The equivalent umami concentration of BB was 2.77-fold higher than that of the CB. Both BB and CB showed compositions and essential minerals that are rich in taste. Using a nine-point hedonic test, it was found that the solid contents of BB and CB in the instant drink affected the consumer’s preference. The flavor and overall preference of instant drinks with 2.5% BB or CB were the best amongst consumers. Overall, the BB and CB were rich in nutrients and bioactive and taste components and could be developed as a functional food in the form of a drink. Full article
Show Figures

Figure 1

19 pages, 1370 KB  
Article
Impact of Solubilized Substances on the Techno-Functional, Pasting and Rheological Properties of Ultrasound-Modified Rice, Tef, Corn and Quinoa Flours
by Antonio J. Vela, Marina Villanueva, Grazielle Náthia-Neves and Felicidad Ronda
Foods 2023, 12(3), 484; https://doi.org/10.3390/foods12030484 - 20 Jan 2023
Cited by 10 | Viewed by 2693
Abstract
The modification of flours by ultrasound (US) treatments requires excess water to suspend the sample to be treated, which must be removed after treatment to recover the ultrasonicated flour. The aim of this study was to determine the influence that the water removal [...] Read more.
The modification of flours by ultrasound (US) treatments requires excess water to suspend the sample to be treated, which must be removed after treatment to recover the ultrasonicated flour. The aim of this study was to determine the influence that the water removal method has on the final characteristics of US-treated gluten-free flours (rice, brown tef, corn and quinoa). US treatment parameters were constant, and two water removal methods were studied: freeze-drying and centrifugation + drying. The elimination of water by centrifugation resulted in the loss of solubilized compounds from the treated flours, which led to important differences between the final characteristics of US-treated flours. Ultrasonication resulted in the reduction of flours’ particle size and modification of their color parameters. Techno-functional properties were modified by US treatment, where the water removal method was more influential in whole grain samples (brown tef and quinoa). Few differences were found in thermal properties among pairs of US-treated samples, indicative that the effect caused to starch was mainly attributed to ultrasonication conditions than to the drying method. The water removal method markedly influenced the pasting properties of US-treated flours, resulting in lower profiles when freeze-drying was applied and higher profiles when flours were retrieved by centrifugation. Gels made with tef, corn and quinoa presented reduced tan(δ)₁ values after sonication, while gels made with rice did not show any modification. The water removal method is a decisive step in US treatments, defining the final characteristics of the treated matter, and having a great influence in the modification attributed to ultrasonication. Full article
(This article belongs to the Section Grain)
Show Figures

Figure 1

21 pages, 3891 KB  
Article
Effect of Nanocellulose Types on Microporous Acrylic Acid/Sodium Alginate Super Absorbent Polymers
by Saeed Ismaeilimoghadam, Mehdi Jonoobi, Yahya Hamzeh and Serena Danti
J. Funct. Biomater. 2022, 13(4), 273; https://doi.org/10.3390/jfb13040273 - 5 Dec 2022
Cited by 14 | Viewed by 3114
Abstract
The aim of this study was to investigate the effect of different types of nanocellulose, i.e., cellulose nanocrystal (CNC), cellulose nanofiber (CNF) and bacterial nanocellulose (BNC), and also different drying methods (oven-drying and freeze-drying) on the properties of acrylic acid (AA)/sodium alginate (SA) [...] Read more.
The aim of this study was to investigate the effect of different types of nanocellulose, i.e., cellulose nanocrystal (CNC), cellulose nanofiber (CNF) and bacterial nanocellulose (BNC), and also different drying methods (oven-drying and freeze-drying) on the properties of acrylic acid (AA)/sodium alginate (SA) super absorbent polymers (SAPs). In addition, the presence of ammonium per sulfate as an initiator and N-N methylene-bis-acrylamide as a cross-linker were considered. Synthesized SAPs were characterized by Fourier transform infrared (FTIR) spectroscopy and scanning electron microscopy (SEM). The absorption and rheological properties (i.e., storage modulus and loss modulus) were also investigated. The results of FTIR spectroscopy demonstrated several types of interactions, such as hydrogen and esterification, between SA, AA and nanocellulose. SEM analysis revealed a microporous structure in the SAPs. All SAPs had a centrifuge retention capacity (CRC)/free swelling capacity (FSC) ≥ 69%. The absorption behavior showed that the oven-dried SAPs had superior (about 2×) CRC and FRC in different aqueous media compared to the freeze-dried counterparts. The freeze-dried SAPs showed increased rheological properties in comparison to the oven-dried ones, with SAPs containing BNC and CNC having the highest rheological properties, respectively. Overall, it can be concluded that oven-dried SAPs containing CNC had better absorption properties than the other ones tested in this study. Full article
Show Figures

Graphical abstract

19 pages, 4217 KB  
Article
Impact of Kefiran Exopolysaccharide Extraction on Its Applicability for Tissue Engineering and Regenerative Medicine
by Susana Correia, Cristiana Gonçalves, Joaquim M. Oliveira, Hajer Radhouani and Rui L. Reis
Pharmaceutics 2022, 14(8), 1713; https://doi.org/10.3390/pharmaceutics14081713 - 17 Aug 2022
Cited by 5 | Viewed by 3089
Abstract
Kefiran is an exopolysaccharide produced by the microflora of kefir grains used to produce the fermented milk beverage kefir. The health-promoting and physicochemical properties of kefiran led to its exploration for a range of applications, mainly in the food industry and biomedical fields. [...] Read more.
Kefiran is an exopolysaccharide produced by the microflora of kefir grains used to produce the fermented milk beverage kefir. The health-promoting and physicochemical properties of kefiran led to its exploration for a range of applications, mainly in the food industry and biomedical fields. Aiming to explore its potential for tissue engineering and regenerative medicine (TERM) applications, the kefiran biopolymer obtained through three different extraction methodologies was fully characterized and compared. High-quality kefiran polysaccharides were recovered with suitable yield through different extraction protocols. The methods consisted of heating the kefir grains prior to recovering kefiran by centrifugation and differed mainly in the precipitation steps included before lyophilization. Then, kefiran scaffolds were successfully produced from each extract by cryogelation and freeze-drying. In all extracts, it was possible to identify the molecular structure of the kefiran polysaccharide through 1H-NMR and FTIR spectra. The kefiran from extraction 1 showed the highest molecular weight (~3000 kDa) and the best rheological properties, showing a pseudoplastic behavior; its scaffold presented the highest value of porosity (93.2% ± 2), and wall thickness (85.8 µm ± 16.3). All extracts showed thermal stability, good injectability and desirable viscoelastic properties; the developed scaffolds demonstrated mechanical stability, elastic behavior, and pore size comprised between 98–94 µm. Additionally, all kefiran products proved to be non-cytotoxic over L929 cells. The interesting structural, physicochemical, and biological properties showed by the kefiran extracts and cryogels revealed their biomedical potential and suitability for TERM applications. Full article
Show Figures

Figure 1

19 pages, 3805 KB  
Article
Influence of Convective and Vacuum-Type Drying on Quality, Microstructural, Antioxidant and Thermal Properties of Pretreated Boletus edulis Mushrooms
by Miruna Popa, Ioan Tăușan, Olga Drăghici, Amalia Soare and Simona Oancea
Molecules 2022, 27(13), 4063; https://doi.org/10.3390/molecules27134063 - 24 Jun 2022
Cited by 12 | Viewed by 2931
Abstract
Freshly harvested Boletus edulis mushrooms are subjected to rapid loss of quality due to the high moisture content and enzymatic activity. Drying time, quality characteristics, microstructural and thermal properties were studied in mushrooms ground to puree subjected to hot air drying (HAD), freeze [...] Read more.
Freshly harvested Boletus edulis mushrooms are subjected to rapid loss of quality due to the high moisture content and enzymatic activity. Drying time, quality characteristics, microstructural and thermal properties were studied in mushrooms ground to puree subjected to hot air drying (HAD), freeze drying (FD) and centrifugal vacuum drying (CVD). The influence of hot water blanching and UV-C pretreatments was additionally investigated. The rehydration ability of mushroom powders was improved by FD, especially without pretreatment or combined to UV-C exposure. The HAD and CVD, with no pretreatment or combined to UV-C, ensured good preservation of phenolics and antioxidant activity of dried mushrooms. The total difference in color of mushroom pigments extracted in acetone was lower in samples dried by CVD and higher in ones by FD. Blanching before HAD produced whiter product probably due to the reduced polyphenoloxidase activity. Scanning Electron Microscopy (SEM) analysis showed fewer physical changes in FD-samples. Heat-induced structural changes were noticed by Differential Scanning Calorimetry (DSC), Thermogravimetry (TG) and Derivative Thermogravimetry (DTG) analysis, in particular of biopolymers, confirmed by ATR-FTIR analysis. Based on our complex approach, the UV pretreatment of mushrooms could be a better alternative to water blanching. Centrifugal vacuum emerged as a new efficient drying method in terms of bioactive compounds, color and thermal stability, while FD led to better rehydration ability and microstructure. Full article
(This article belongs to the Section Food Chemistry)
Show Figures

Graphical abstract

12 pages, 3322 KB  
Article
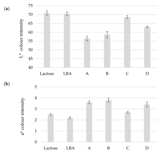
Downstream Approach Routes for the Purification and Recovery of Lactobionic Acid
by Inga Sarenkova, Sara Sáez-Orviz, Manuel Rendueles, Inga Ciprovica, Jelena Zagorska and Mario Díaz
Foods 2022, 11(4), 583; https://doi.org/10.3390/foods11040583 - 17 Feb 2022
Cited by 8 | Viewed by 3463
Abstract
The successful development of a lactobionic acid (LBA) bioconversion process on an industrial scale demands the selection of appropriate downstream methodological approaches to achieve product purification once the bioconversion of LBA is completed. These approaches depend on the nature of the substrate available [...] Read more.
The successful development of a lactobionic acid (LBA) bioconversion process on an industrial scale demands the selection of appropriate downstream methodological approaches to achieve product purification once the bioconversion of LBA is completed. These approaches depend on the nature of the substrate available for LBA production, and their necessary implementation could constitute a drawback when compared to the lesser effort required in downstream approaches in the production of LBA obtained by chemical synthesis from refined lactose. Thus, the aim of this research is to separate LBA from an acid whey substrate after bioconversion with Pseudomonas taetrolens. Freeze drying, crystallization, adsorption with activated carbon, microfiltration, centrifugation, and precipitation with 96% (v/v) ethanol were carried out to separate and purify LBA. The closest product to commercial LBA was obtained using precipitation with ethanol, obtaining a white powder with 95 ± 2% LBA concentration. The procedure described in this paper could help to produce LBA on an industrial scale via microbial bioconversion from acid whey, developing a promising biotechnological approach for lactose conversion. Full article
(This article belongs to the Section Food Biotechnology)
Show Figures

Figure 1

22 pages, 2320 KB  
Article
Production of Exopolysaccharides by Cultivation of Halotolerant Bacillus atrophaeus BU4 in Glucose- and Xylose-Based Synthetic Media and in Hydrolysates of Quinoa Stalks
by Diego Chambi, Jenny Lundqvist, Erik Nygren, Luis Romero-Soto, Katherine Marin, András Gorzsás, Mattias Hedenström, Markus Carlborg, Markus Broström, Ola Sundman, Cristhian Carrasco, Leif J. Jönsson and Carlos Martín
Fermentation 2022, 8(2), 79; https://doi.org/10.3390/fermentation8020079 - 14 Feb 2022
Cited by 8 | Viewed by 5257
Abstract
A halotolerant, exopolysaccharide-producing bacterium isolated from the Salar de Uyuni salt flat in Bolivia was identified as Bacillus atrophaeus using next-generation sequencing. Comparisons indicate that the genome most likely (p-value: 0.0024) belongs to a subspecies previously not represented in the database. [...] Read more.
A halotolerant, exopolysaccharide-producing bacterium isolated from the Salar de Uyuni salt flat in Bolivia was identified as Bacillus atrophaeus using next-generation sequencing. Comparisons indicate that the genome most likely (p-value: 0.0024) belongs to a subspecies previously not represented in the database. The growth of the bacterial strain and its ability to produce exopolysaccharides (EPS) in synthetic media with glucose or xylose as carbon sources, and in hydrolysates of quinoa stalks, was investigated. The strain grew well in all synthetic media, but the growth in glucose was better than that in xylose. Sugar consumption was better when initial concentrations were low. The growth was good in enzymatically produced cellulosic hydrolysates but was inhibited in hemicellulosic hydrolysates produced using hydrothermal pretreatment. The EPS yields were up to 0.064 g/g on initial glucose and 0.047 g/g on initial xylose, and was higher in media with relatively low sugar concentrations. The EPS was isolated and purified by a sequential procedure including centrifugation, cold ethanol precipitation, trichloroacetic acid treatment, dialysis, and freeze-drying. Glucose and mannose were the main sugars identified in hydrolyzed EPS. The EPS was characterized by size-exclusion chromatography, Fourier-transform infrared (FTIR) spectroscopy, heteronuclear single-quantum coherence nuclear magnetic resonance (HSQC NMR) spectroscopy, scanning electron microscopy, X-ray diffraction, and thermogravimetric analysis. No major differences were elucidated between EPS resulting from cultivations in glucose- or-xylose-based synthetic media, while some divergences with regard to molecular-weight averages and FTIR and HSQC NMR spectra were detected for EPS from hydrolysate-based media. Full article
(This article belongs to the Special Issue Food Wastes: Feedstock for Value-Added Products: 3rd Edition)
Show Figures

Figure 1

17 pages, 3450 KB  
Article
Modeling the Effects of Seasonal Weathering on Centrifuged Oil Sands Tailings
by Umme Salma Rima, Nicholas Beier and Ahlam Abdulnabi
Processes 2021, 9(11), 1906; https://doi.org/10.3390/pr9111906 - 26 Oct 2021
Cited by 1 | Viewed by 2700
Abstract
The oil sands industry employs different technologies at pilot and commercial demonstration scales in order to improve the dewatering rate of fluid fine tailings. Of these technologies, centrifugation has advanced to the commercial scale and is playing a major role in the fluid [...] Read more.
The oil sands industry employs different technologies at pilot and commercial demonstration scales in order to improve the dewatering rate of fluid fine tailings. Of these technologies, centrifugation has advanced to the commercial scale and is playing a major role in the fluid fine tailings management strategy. However, centrifuge technology on its own may not develop the required strength to ensure fine tailings can be incorporated into dry landform reclamation, which requires water contents close to their plastic limit. Hence, it is paramount to combine more than one technology to maximize post-depositional dewatering. Management of the tailings deposit to promote seasonal weathering (freeze–thaw, evaporation and self-weight consolidation) can promote further dewatering. Properly assessing the contributions of the seasonal weathering components is vital to optimizing this strategy. Using the geotechnical properties of centrifuged tailings, the effects of seasonal weathering on tailings were modeled under two different freezing temperature gradients. A coupled analysis combining FSConsol and Unsatcon was used to simulate the deposition scenario similar to the laboratory. The modeling results were found to match the laboratory response reasonably well, indicating the coupled approach proposed in this manuscript is valid and helps to predict the seasonal weathering effects on dewatering. Full article
(This article belongs to the Special Issue Numerical Modeling in Civil and Mining Geotechnical Engineering)
Show Figures

Figure 1

16 pages, 2741 KB  
Article
Exopolysaccharides Production by Cultivating a Bacterial Isolate from the Hypersaline Environment of Salar de Uyuni (Bolivia) in Pretreatment Liquids of Steam-Exploded Quinoa Stalks and Enzymatic Hydrolysates of Curupaú Sawdust
by Diego Chambi, Luis Romero-Soto, Roxana Villca, Felipe Orozco-Gutiérrez, José Vega-Baudrit, Jorge Quillaguamán, Rajni Hatti-Kaul, Carlos Martín and Cristhian Carrasco
Fermentation 2021, 7(1), 33; https://doi.org/10.3390/fermentation7010033 - 28 Feb 2021
Cited by 34 | Viewed by 6218
Abstract
The halotolerant bacterial strain BU-4, isolated from a hypersaline environment, was identified as an exopolysaccharide (EPS) producer. Pretreatment liquids of steam-exploded quinoa stalks and enzymatic hydrolysates of Curupaú sawdust were evaluated as carbon sources for EPS production with the BU-4 strain, and the [...] Read more.
The halotolerant bacterial strain BU-4, isolated from a hypersaline environment, was identified as an exopolysaccharide (EPS) producer. Pretreatment liquids of steam-exploded quinoa stalks and enzymatic hydrolysates of Curupaú sawdust were evaluated as carbon sources for EPS production with the BU-4 strain, and the produced EPS was characterized using FTIR, TGA, and SEM. Cultivation was performed at 30 °C for 48 h, and the cells were separated from the culture broth by centrifugation. EPS was isolated from the cell pellets by ethanol precipitation, and purified by trichloroacetic acid treatment, followed by centrifugation, dialysis, and freeze-drying. EPS production from quinoa stalks- and Curupaú sawdust-based substrates was 2.73 and 0.89 g L−1, respectively, while 2.34 g L−1 was produced when cultivation was performed on glucose. FTIR analysis of the EPS revealed signals typical for polysaccharides, as well as ester carbonyl groups and sulfate groups. High thermal stability, water retention capacity and gel-forming ability were inferred from SEM and TGA. The capability of the halotolerant isolate for producing EPS from pretreatment liquids and hydrolysates was demonstrated, and characterization of the EPS revealed their broad application potential. The study shows a way for producing value-added products from waste materials using a bacterium from a unique Bolivian ecosystem. Full article
(This article belongs to the Special Issue Food Wastes: Feedstock for Value-Added Products: 2nd Edition)
Show Figures

Figure 1

Back to TopTop